Abstract
Globally, the efforts to find the best cancer treatment are demanding and very intensive. Immunotherapy has gained an important role as a second or sometimes first line of treatment for various types of cancer. PD-1/PD-L1 checkpoint inhibitors are an impending category of immunotherapy, and their mechanism, as well as their interaction with T cells, are well studied. However, our knowledge about any possible effect(s) of immunotherapy on B cells is limited. In this prospective study, we asked the question of any possible alterations of circulating B cells (numbers and subsets) occurring during immunotherapy in patients with cancer and of the potential correlation of such changes with the outcomes and with development of immune-related adverse events (irAEs). We enrolled 20 cancer patients who received PD-1 checkpoint inhibitors and 8 healthy donors (HD). Patients underwent regular clinical assessment and imaging using the iRECIST criteria for 6 months following immunotherapy. Peripheral blood samples were collected before and during PD-1 checkpoint inhibitor therapy, and flow cytometry analysis of peripheral blood mononuclear cells (PBMCs) was performed, evaluating various circulating B cell subset phenotypes, including mature naïve B cells, memory B cells, regulatory B cells (Bregs), antibody-secreting cells (ASCs), and age-related B cells (ABCs). Statistical analysis was employed to compare the differences of B cells between different groups and among sequential data within the same group. Total circulating CD19+ B cell counts remained stable across both groups (responders (R), nonresponders (NR)) and timepoints. However, there was a significant rise in mature naïve B cells and decline in memory B cells at the initiation of the treatment in the R group compared to healthy donors and to the NR group. Such changes were correlated with a good response to immunotherapy. On the contrary, higher numbers of ABCs at baseline were seen in the NR group and were correlated with resistance to treatment. As far as immune-related adverse events are concerned, no significant changes were recorded among the different B cell subpopulations evaluated in both groups. Our study provides preliminary data suggesting that B cell subset changes during immunotherapy may correlate with immune checkpoint inhibitor-induced clinical responses in patients with neoplasia. Further investigations to delineate the potential role(s) of B cells in patients undergoing immunotherapy are needed.
1. Introduction
Cancer is one of the most common diseases and the leading cause of death worldwide in the last decades. Furthermore, in the last two decades, there have been approximately 20 million new cancer cases per year, according to World Health Organization in 2024, accounting for nearly 10 million deaths [1,2], making it the second deadliest disease in the United States, after heart disease [1,2,3]. Breast cancer seems to be the most common type of cancer among females, while lung cancer is not only the commonest one in the male population but also the deadliest one, regardless of gender [2].
After years of research, a promising treatment option of immune checkpoint inhibitors emerged, such as anti-CTLA-4 and anti-PD-1/PD-L1, but only a small amount of data are known about their effect on B cells.
Undeniably, the immune system’s role in cancer pathophysiology has been the center of investigations during the last decades. Cancer acceleration and proliferation depend on the equilibrium among cancer immunosurveillance, genetic instability, immune homeostasis, and the ability of cancer cells to escape detection [4]. Cancer cell evasion can occur through activating negative regulatory pathways (checkpoints), such as cytotoxic T-lymphocyte protein 4 (CTLA-4) and programmed cell death protein 1 (PD-1) [5,6]. CTLA-4 is a protein receptor that is expressed on the surface of T cells and, by competing for the co-stimulatory molecule CD28 for binding to CD80 and CD86 ligands, downregulates the naïve T cell activation in the initial stages. Alongside this, antigen-stimulated T cells express PD-1 receptors on their surface, that bind to its ligand PD-L1 or PD-L2, and inhibit T cell proliferation, cytokine release, and cytotoxicity [5,7].
PD-1 is a type I transmembrane glycoprotein of 288 amino acids that is encoded by the PDCP1 gene in chromosome 2 and belongs to the CD28 family. It is expressed on the surface of T cells, B cells, dendritic cells (DCs), activated monocytes, natural killer cells (NKs), macrophages, and many tumor-infiltrating T cells (TILS). It has two ligands that belong to the B7 family: PD-L1, a type I transmembrane protein of 290 amino acids encoded by the CD274 gene in chromosome 9, and PD-L2, a protein of 273 amino acids encoded by the CD273 gene. PD-L1 is expressed in resting T cells, B cells, DCs, macrophages, monocytes, vascular endothelial cells, pancreatic islets, and many types of cancer cells, whereas PD-L2 is expressed in macrophages, DCs, and mast cells. Multiple proinflammatory molecules that are produced by tumor microenvironments (TMEs), such as INF-γ, TNF-α, IL-2, IL-10, GM-CSF, VEGF, and oncogenes such as PTEN, induce the upregulation of PD-L1 [8,9,10,11,12,13,14]. Under normal circumstances, the PD-1/PD-L1 signaling pathway plays a critical role in the homeostasis of the immune system in response to inflammation (infection, cancer etc.), avoiding overstimulation of effector T cells, hence protecting the healthy tissues and avoiding autoimmunity [15,16]. However, many cancer cells overexpress the PD-L1, helping the tumor cells to evade the immune surveillance by inducing apoptosis of activated effector T cells, driving them into exhaustion, inhibiting their proliferation, and enhancing the function of regulatory T cells (Tregs) [8,9,17,18]. Through these interactions, the tumor disrupts the equilibrium between suppressive and promoter anticancer factors, inducing its acceleration and metastasis.
Immune checkpoint inhibitors (ICIs) are monoclonal antibodies (mAbs) that block the PD-1/PD-L1 and CTLA-4 axis, promoting a dynamic and limitless anticancer response of effector T cells. To date, there are eight FDA approved mAbs that are used on a daily clinical routine, blocking PD-1 (nivolumab, pembrolizumab, cemiplimab, and dostarlimab), its ligand PD-L1 (atezolizumab, avelumab, and durvalumab) or the CTLA-4 receptor (ipilimumab), improving overall survival (OS) and progression-free survival (PFS) rates in a lot of patients with advanced malignancies, included melanoma, non-small-cell lung cancer (NSCLC), head and neck squamous cell carcinoma, urothelial carcinoma (UC), renal cell carcinoma (RCC), hepatocellular carcinoma, metastatic small-cell lung cancer (SCLC), colorectal carcinoma, and Hodgkin’s lymphoma [8,11,19,20,21,22], whereas alternative potential checkpoint targets in immune cells are under investigation, such as lymphocyte activation gene-3 (LAG-3) that interacts with major histocompatibility complex (MHC) class II, along with T cell immunoglobulin-3 (TIM-3) that binds with galectin-9 and carcinoembryonic antigen-related cell adhesion molecule (CARCAM)-1, preventing the promotion of immune tolerance [21]
Despite the promising results of immunotherapy, several patients will not benefit from this therapy. Many tumor cells’ intrinsic and extrinsic factors induce primary resistance mechanisms, including insufficient tumor immunogenicity and neoantigen presentation (MHC dysfunction), PD-L1 expression and irreversible T cell exhaustion, immunosuppressive tumor microenvironment (TME), and cellular signaling pathways as a primary resistance to INF-γ signaling [14,23]. Hence, predictive biomarkers that determine tumor response to therapy are essential. It is debated, though, whether the PD-L1 tumor microenvironment overexpression is a positive or negative biomarker. High nonsynonymous mutation burden, DNA mismatch repair deficiency, and tumor-infiltrating immune cells are also possible predictive factors; however, their use is limited [5,10,24]. Nevertheless, the host’s immune system and gut microbiome are critical parameters in the prediction of the response in any type of therapy. Peripheral blood biomarkers such as absolute neutrophil count, neutrophil to lymphocytes ratio, eosinophil counts and lactate dehydrogenase levels may anticipate cheaper and more accessible predictive markers [5,10,24,25,26].
ICIs are considered to have less toxicity and better safety and tolerance in comparison to conventional treatment, though, occasionally, toxicity can range from mild to fatal, inducing the discontinuation of immunotherapy [27,28]. Most toxicities are the result of excessive immune activation against healthy tissues and could affect any organ system [29]. These immune-related adverse events (irAEs) have a median onset within 2–16 weeks from the first dose of immunotherapy; nevertheless, late irAEs could be mentioned even after 12 months from the completion of therapy [29,30]. The severity of irAEs depends on the used ICI, the dose, and the host’s immune status, and increases exponentially by receiving a combination of agents [28,29]. Conventionally, irAEs are endocrinopathies, cutaneous, gastrointestinal, pulmonary, renal, neurologic, rheumatic manifestations, and vasculitis; however, autoimmune colitis, pneumonitis, and myocarditis are the most fatal [28,29,30,31,32,33,34,35]. Although there is a strong correlation between irAEs and improved PFS in patients who received ICIs, there is a need to develop personalized surveillance strategies during treatment to reduce the incidence and mortality of immune-related toxicities [28,36].
As far as B cells are concerned, their role in cancer immunity is controversial [37,38]. Studies report that they can have both protumor and antitumor effects and their activity depends on various factors, including the context of the tumor microenvironment, the histologic type of cancer, and the stage of cancer progression. Beyond any doubt, their involvement in adaptive immunity as antibody-secreting cells (ASCs), antigen-presenting cells (APCs), and cytotoxic cells is well clarified [37,39]. In a tumor microenvironment, B cells can be activated by cancer antigens, neoantigens, or self-antigens through T-dependent or T-independent response [40,41]. This activation can lead to the differentiation of B cells into short-lived plasmablasts, long-lived plasma cells, and memory cells, which all produce high-affinity antibodies that mediate opsonization, antibody-dependent cellular cytotoxicity (ADCC), and activation of the complement-dependent cytotoxicity (CDC), thus making B cells the pivotal effector cell of humoral immunity [37,41,42]. Moreover, B cells can act as APCs to activate T effector cells in TME [37,39], though the role of regulatory B cells (Bregs) in cancer immunity and their intervention in tumor growth is under great investigation. These cells can arise with many different phenotypes from different subpopulations of B cells, while the CD19 + CD24hiCD38hi phenotype seems to be the most common human one for Bregs. Their signature characteristic is the production of cytokines such as IL-10, IL-35, and TGF-β and the capacity to inhibit T cell-mediated tumor cytotoxicity [37,39,41,42,43,44]. Furthermore, activated B cells and Bregs that express in their surface the PD-L1, an immune checkpoint, can, as mentioned before, induce tolerance and limit effector T cell responses [37,40,41,42,43]. Finally, it is necessary to mention that the age-associated B cells (ABCs), a unique memory B cell subpopulation, are implicated in aging, autoimmunity, and chronic inflammation through autoantibody production, cytokine induction, and T cell helper activation [45,46], yet their role in cancer and immunotherapy is understudied.
The role of circulating B cells as a prognostic factor in patients treated with ICIs is not established. In this study, we wanted to explore the role of distinct circulating B cell populations during treatment with immune checkpoint inhibitors in cancer patients and investigate the possibility of finding a precise biomarker for treatment response. Additionally, we wanted to explore if there are any alterations in different circulating B cell populations in patients who developed immune-related adverse events (irAE group). Our aim was to examine whether any circulating B cell population could potentially be used as a prediction marker for the development of irAEs.
2. Material and Methods
2.1. Patients and Healthy Donors
In this prospective study, 20 patients with a histologic diagnosis of NSCLC, UC, RCC, or squamous cell carcinoma of head and neck (SCCHN) who were at the starting point of their treatment with a PD-1 inhibitor, either nivolumab or pembrolizumab, were enrolled. The study was conducted in accordance with the Declaration of Helsinki and the International Conference on Harmonization for Good Clinical Practice standards of care and was approved by the University Hospital of Patras Ethics Committee. A written informed consent was provided from the participants before their enrolment. Our patients’ median age was 58 years (range 43–80), all of whom were Caucasians, and the male-to-female ratio was 14 to 6. The cancer diagnosis was as follows: fourteen patients were diagnosed with non-small-cell lung cancer (NSCLC), four with urothelial carcinoma (UC), one with renal cell carcinoma (RCC), and one with head–neck cancer of squamous cells (SCCHN). Patients’ demographics are shown in Table 1. All study subjects included in the study were patients who needed treatment with monotherapy with immune checkpoint inhibitors as a second- or third-line treatment option. All patients were enrolled sequentially at recruitment and were not selected based on their cancer type. More patients included had NSCLC, since this type of cancer is more common in our Oncology department. None of the patients had past medical history of autoimmune disease. None of the patients were treated with corticosteroids at least 6 months before study enrolment [47]. Additionally, eight age- and sex-matched healthy donors with no history of malignancy or autoimmune disease were enrolled, representing the control subject group.
Table 1.
Demographics of study subjects. Patients’ (Pt) and healthy donors’ (HD) demographics are shown in the table along with evaluation of response during the first 6 months of CPI treatment (irAEs: immune-related adverse events, PD: progressive disease, R: response; complete response; partial response; stable disease, M: male, F: female, †: indicates deceased patients, ANA: antinuclear antibody).
2.2. Cells
Heparinized peripheral blood was drawn (15 mL) immediately before each scheduled treatment with ICI infusion from all patients. Subsequently, peripheral blood mononuclear cells (PBMCs) were promptly separated using a density gradient centrifugation medium according to the manufacturer’s instructions (LYMPHOSEP, Biowest) and then stored at −80 °C until flow cytometry analysis, as previously described [48].
2.3. Flow Cytometry
In our study, we examined the percentages of B cells at each timepoint during the patient’s therapy by analyzing both intracellular and surface expression of labeled antigens as previously described (49) (Supplemental Figure S1). Briefly, PBMCs were washed in phosphate-buffered saline (PBS), and then incubated on ice for 45 min with a purified human IgG (Antibodies Inc, Davis, CA, USA), to block nonspecific Fc binding sites. Cells were then washed and incubated on ice with the fluorochrome-conjugated mAb or their respective isotypic-control mAb for 1 h. Antibodies against intracellular targets were added after fixation and permeabilization of the cells based on manufacturer’s instructions (True-NuclearTM Transcription Factor Buffer Set, Bio Legend). It is important to note that we carried out assessments for all time points of each patient on the same day. We carried out experiments of the patients and healthy subjects in parallel. All the flow cytometry experiments were conducted using a Beckman Counter Cytomics FC 500 cytometer. All antibodies used are shown in Supplemental Table S1. The surface markers for each subpopulation used are shown below and as previously described: mature naïve B cells: CD19 + CD24loCD38lo [49,50], memory B cells: CD19 + CD24hiCD38lo [49,50], Bregs: CD19 + CD24hiCD38hi [37,49,50,51,52], antibody-secreting cells (ASCs): CD19 + CD24loCD38hi [49,50], age-associated B cells (ABCs): CD19 + CD11c + CD21-Tbet + [45,53,54,55,56].
2.4. Statistical Analysis
An unpaired t-test was employed when comparing data between different groups (responders, nonresponders, or healthy donors), and a one-way repeated-measures ANOVA analysis was used to analyze sequential data within the same group of patients (responders or nonresponders). Values of p < 0.05 were considered statistically significant. Analyses were performed using GraphPad Prism 5 (Version 10) by GraphPad Software Inc. (Boston, MA, USA).
3. Results
3.1. Study Design
All patients who participated in the study were evaluated, especially for new symptoms correlated with possible irAEs, every 2 or 3 weeks at their scheduled visits for the ICI administration. Those who were clinically stable underwent computed tomography scans at the timepoints of 12 and 24 weeks after therapy initiation to assess the outcome of immunotherapy, according to the immune response evaluation criteria in solid tumors (iRECIST) [47]. The majority of our patients (n = 14) received nivolumab at a standard dose of 240 mg intravenously every two weeks and seven patients received pembrolizumab (n = 7) at a standard dose of 300 mg intravenously every three weeks. Patients with disease progression according to iRECIST were considered nonresponders (NRs), while cancer patients with partial or complete response and those with stable disease were characterized as responders (Rs).
Peripheral blood samples were analyzed in sequential time points (explanation of the study design is shown in Figure 1) immediately before every infusion of the inhibitor, as well as at three and six months after treatment initiation.
Figure 1.
Study design: Timepoints of the study.
3.2. Patients’ Response to Treatment and Adverse Events
All the patients in the study received CPI as a second- or third-line treatment due to previous treatment failures. Among our patients, 10 out of 20 continued their immunotherapy for more than 6 months as they were categorized as responders by that time, and no serious adverse events were reported for them. On the other hand, 10 out of 20 patients were nonresponders. Six of them succumbed to disease progression after receiving 2–3 doses of CPI, while three patients switched to alternative treatment regimens due to disease progression, which was diagnosed during scheduled computed tomography (CT) scans (two switched at the 3-month timepoint and one at the 6-month timepoint). One patient passed away due to autoimmune pneumonitis 3 months after initiating CPI treatment without being marked as a responder or nonresponder (Table 1, Supplemental Table S2).
In terms of autoimmune complications within the first six months of immunotherapy, one patient, who was evaluated as a nonresponder, receiving pembrolizumab developed fatal pneumonitis. Three patients who were assumed as responders, two of them receiving nivolumab, experienced hypothyroidism, and the other one, who received pembrolizumab, reported persistent diarrhea. It was noticed that the irAEs in these patients were developed within about 2–3 months after the initiation of ICI treatment, just before the third timepoint (Table 1).
At timepoint 0, antinuclear antibody (ANA) screenings were available for all the patients. Among them, four were found to be ANA-positive, despite not having a history of autoimmune disease. Notably, half of the patients who eventually developed immune-related adverse events (irAEs) (two out of four) had a positive ANA test before the beginning of treatment. The patient who developed autoimmune pneumonitis had the highest ANA titer at baseline, which was 1/640.
3.3. CD19+ Cells
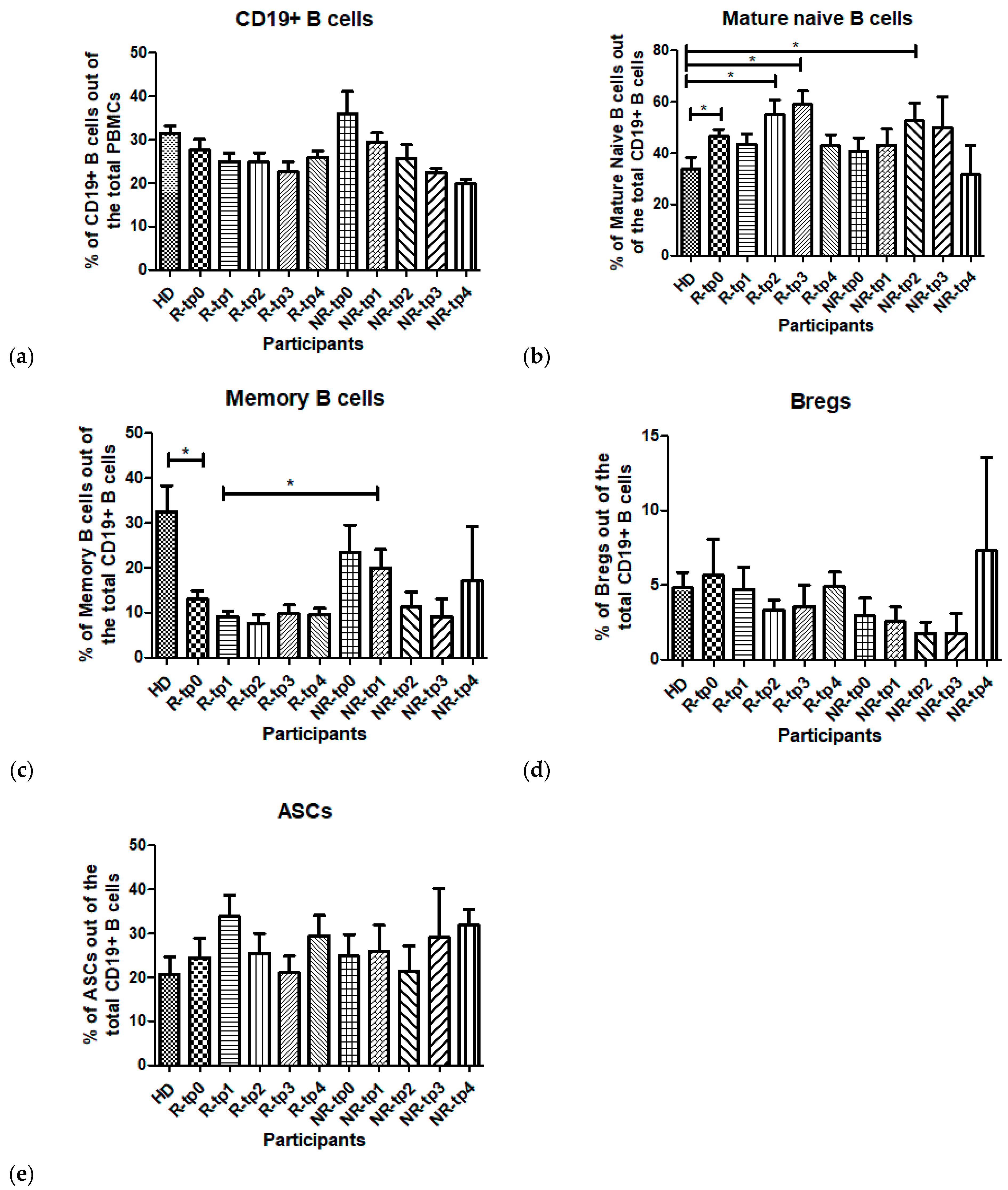
At baseline, there was no significant difference in CD19+ subpopulation among responders (Rs), nonresponders (NRs), and healthy subjects (Supplemental Table S3). We did not find any significant change in the circulating CD19+ subpopulation at any time point examined between patients and healthy subjects (Figure 2a, Supplemental Table S3). Our data analysis showed no remarkable outcome from the comparison among responders, nonresponders, and HDs at any timepoint in our study. Moreover, when a repeated-measures one-way ANOVA was performed to investigate the consequences of ICI treatment on CD19+ counts of either the responder or nonresponder group, no significant results were found during the study period. This analysis suggests that PD-1 inhibitors have no specific impact on a CD19+ circulating B cell subpopulation.
Figure 2.
Change in B cell populations during treatment with immune checkpoint inhibitors. The changes in the percentages of CD19+ B cells, mature naïve B cells, memory B cells, Bregs, and ASC among participants enrolled in the study at each timepoint are shown (HD, healthy donors; R-tp0-4, responders’ groups at every timepoint of the study subsequentially from 0 to 4; NR-tp0-4, nonresponders’ groups at every timepoint of the study from 0 to 4; * if p < 0.05). (a) CD19+ subpopulation remained almost stable among HDs, Rs, and NRs during the period of immunotherapy. (b) Responders (Rs) had significantly elevated levels of mature naïve B cells compared to healthy donors (HDs) at timepoints (tps) 0, 2, and 3. Nonresponders (NRs) confirmed significant elevation of that subpopulation compared to healthy donors (HDs) only at timepoint 2. (c) At baseline, responders (Rs) had significantly fewer memory B cells compared to healthy donors (HDs). Additionally, the only significant difference between responders and nonresponders was at timepoint 1. (d) No significant difference was noticed in Bregs. (e) ASC counts were almost similar among HDs, Rs, and NRs during study.
3.3.1. Mature Naïve B Cells
At all timepoints examined, responders had constantly elevated levels of the mature naïve circulating B cells compared to HDs; however, statistical significance was reached only at timepoints 0, 2, and 3 (p0 = 0.0232, p2 = 0.0139, p3 = 0.00027) (Figure 2b, Supplemental Table S4). Additionally, comparing NRs to HDs during the study, NRs had similar levels of mature naïve B cells, except from timepoint 2, where an important increase in the nonresponders’ group was observed (p = 0.0472). These data imply that antitumor therapy with PD-1 inhibitors may have better efficacy in patients who start treatment with higher levels of circulating mature naïve B cells compared to patients with lower levels.
3.3.2. Memory B Cells
We also observed that Rs had significantly lower circulating memory B cells compared to HDs at timepoint 0 (p = 0.0033) (Figure 2c). In contrast, differences between NRs and HDs at baseline were not of statistical significance (p = 0.3058). Interestingly, at timepoint 1, memory B cells that belonged to Rs were significantly lower than NR’s (p = 0.0224), although when looking at time points 2–4, there was no observation of the same pattern (Figure 2c, Supplemental Table S5). These results led us to the conclusion that patients who initiate treatment with lower counts of memory B cells and maintain these levels during immunotherapy may show better response.
3.4. Regulatory B Cells (Bregs) and Antibody-Secreting Cells (ASC)
During the comparison of the subpopulations of Bregs and ASCs among R, NR, and HD study groups, at all timepoints, no statistically significant difference was observed (Figure 2d,e, Supplemental Tables S6 and S7, respectively). Notably, although the Breg subpopulation was decreased in the NR group compared to the HD and R groups, no statistical significance was reached at any timepoint (Figure 2d). Moreover, when a repeated-measures one-way ANOVA test was performed to examine the impact of the immunotherapy in Bregs counts, no significant changes were reported (responders: p = 0.8, F = 0.4; nonresponders: p = 0.35, F = 1.13).
Similar results were obtained comparing ASC among HDs, Rs and NRs (Figure 2e, Supplemental Table S7). Furthermore, the number of ASCs remained stable throughout the treatment, indicating no substantial impact of immunotherapy on ASC by one-way ANOVA (responders: p = 0.31, F = 1.226; nonresponders: p = 0.91, F = 0.23).
Our results suggest that Bregs and ASC circulating populations are not affected during treatment.
3.5. Aged-Associated B Cells (ABCs)
At baseline, the NR group showed significantly higher circulating ABC counts compared to R group (p = 0.04), although there was no statistical significance compared to HDs (p = 0.06) (Figure 3a, Supplemental Table S8). Moreover, at timepoint 4, responders had a significant decrease compared to HDs (p = 0.02). Contrary, comparing NR’s ABCs at timepoints 1–3 to the ABC counts of HDs, they had constantly significantly increased levels (p1 = 0.01, p2 = 0.02, p3 = 0.03). Notably, in either group, there were no significant deviations in ABC counts during the treatment period (one-way ANOVA test, responders: p = 0.48; nonresponders: p = 0.45).
Figure 3.
ABCs and Tbet levels show significant differences during treatment. The graphs show the alterations in the percentage of ABC cells and change in MFI of Tbet among all participants enrolled in the study at each timepoint (HD, healthy donors; R-tp0-4, responder groups at every timepoint of the study subsequentially from 0 to 4; NR-tp0-4, nonresponder groups at every timepoint of the study from 0 to 4; * if p < 0.05, ** if p < 0.001). (a) Nonresponders (NR) had a significantly elevated ABC count compared to responders (R) at the baseline. At the same time, similar alterations of NRs’ ABC counts were noticed compared to healthy donors (HDs) at all three following timepoints examined. At timepoint (tp) 4, responders (Rs) had significantly decreased counts compared to healthy donors. (b) Only at baseline did nonresponders have significantly higher levels of MFI Tbet compared to responders. At timepoint (tp) 3, nonresponders revealed a significant elevation of MFI Tbet.
When we analyzed the mean fluorescence intensity (MFI) of Tbet, we found a significant difference between Rs and NRs at baseline (p = 0.0002), but there was no difference at any other timepoint (Figure 3b, Supplemental Table S9). However, regarding the nonresponders’ group, the repeated-measures one-way ANOVA revealed a statistically significant impact of immunotherapy on ABC counts (F = 7.451, p = 0.001), showing a significant increase 3 months after a numerical decrease in the preceding timepoints. Differences were significant between timepoints 1 and 3 (95% C.I. = [−1.410, −0.3147]) and 2 and 3 (95% C.I. = [−1.370, −0.2577]).
Based on these results, the ABC subpopulation may play a major role in the PD-1 inhibitor therapy response. Patients with steadily increased counts of ABCs have inadequate outcomes from ICI therapy. Moreover, the fact that in the NR group a significant elevation in their ABCs counts at timepoint 3 was noted suggests that ABCs could potentially serve as new negative prediction markers, but further investigation is needed to come to a definite conclusion.
Immune-Related Adverse Events (irAEs)
We then examined the possible alterations of the B cell subpopulations analyzed between patients who developed adverse events and those who did not. Firstly, as far as total CD19+ B cells are concerned, there was no statistically significant difference among the groups of HDs, patients who developed irAEs (irAE group), and those who did not develop immune-related adverse events (non-irAE group). However, at timepoint 4, total CD19+ B cells were remarkably decreased in both groups of patients compared to the HD group (pirAEs = 0.01, pnon-irAEs = 0.009), as they also were for the non-irAE group at timepoint 3 (p = 0.04) (Figure 4a, Supplemental Table S10).

Figure 4.
Alterations in different B cell populations in patients who developed immune-related adverse events (HD, healthy donors; irAEs (0)–(4), the patient group that developed irAEs at every timepoint of the study subsequential from 0 to 4; N-irAEs (0)–(4), the patient group that did not develop irAEs at every timepoint of the study from 0 to 4; * if p < 0.05, ** if p < 0.001). (a) CD19+ alterations were similar between patients who developed irAEs and those who did not. (b) An increase in mature naïve B cell counts at timepoints 2 and 3 in both groups was observed. (c) Similar alterations in memory B cell subpopulation between both groups compared to HDs were noticed at almost all timepoints. (d) Significant changes were noted only at timepoint 2 in the non-irAE group compared to healthy donors, despite the numerical decline of Bregs counts in both groups at timepoints 2 and 3. (e) No significant variations of ASC count among irAEs, non-irAEs, and healthy donors during the period of immunotherapy. (f,g) ABC subpopulation of the non-irAE group was significantly increased compared to healthy donors only at timepoints 1 and 2.
The subpopulation of mature naïve B cells seemed to follow a similar motif in both groups (patients who developed irAEs and those who did not) when they were compared to healthy donors (Figure 4b, Supplemental Table S11). Especially, both groups confirmed a significant elevation compared to HDs only at timepoints 2 (pirAEs = 0.0103, pnon-irAEs = 0.0292) and 3 (pirAEs = 0.005, pnon-irAEs = 0.0). No significant difference was observed during the comparison between the irAE group and non-irAE group at any timepoint. Additionally, when a repeated-measures one-way ANOVA test was performed, none of these groups were affected by immunotherapy during our study (irAEs: F = 1.625, p = 0.2036; non-irAEs: F = 1.1, p = 0.3657).
Moreover, the subpopulation of memory B cells was notably diminished in both irAE and non-irAE groups compared to HDs at almost all timepoints (pirAEs(1) = 0.04, pirAEs(2) = 0.01, pirAEs(3) = 0.03, pirAEs(4) = 0.02) (pnon-irAEs(0) = 0.03, pnon-irAEs(1) = 0.006, pnon-irAEs(2) = 0.0004, pnon-irAEs(3) = 0.002, pnon-irAEs(4) = 0.01) (Figure 4c, Supplemental Table S12). However, it seemed that there was no difference between irAE and non-irAE groups in memory B cell counts, as we did not observe any impact of immunotherapy in these groups for the particular subpopulation when we regarded a repeated-measures one-way ANOVA test (memory irAΕs: F = 0.41, p = 0.79; memory non-irAEs: F = 1.49, p = 0.21).
Regarding Bregs pattern, it seemed that in both groups there was a numerical decline in their count at timepoints 2 and 3, whereas significant changes were noted at time point 2 in the non-irAE group compared to HDs (p = 0.025) (Figure 4d, Supplemental Table S13). Additionally, no noticeable impact of immunotherapy was found during the first 6 months of our observation in the Bregs count in each group. Moreover, in ABCs subpopulation counts, we observed an increase only in timepoint 1 (p = 0.03) and 2 (p = 0.04) of the non-irAE group when compared to HDs (Figure 4f,g, Supplemental Table S14). However, at timepoint 4 in irAE and non-irAE groups, there was a numerical decrease; regarding a repeated-measures one-way ANOVA test, no significant alterations were noticed (irAEs: F0.55, p = 0.69; non-irAEs: F = 0.77, p = 0.55). Finally, it is important to mention that no significant differences were observed when comparing the count of ASC B cells of irAE, non-irAE, and HD groups at every timepoint separately, as long as they had variation during the period of treatment (Figure 4e).
There is a strong involvement of almost all subpopulations of circulating B cells in the possibility of a patient developing, or not, irAEs due to ICI administration. Nevertheless, even if the differences were significant in both groups compared to HDs, important alterations between the irAE and non-irAE groups were not found. As PD-1 inhibitors trigger the patient’s immune system against tumors, our facts empower the suggestion that circulating B cells are strongly involved in this procedure. However, from these data, we could not extract a specific marker that would determine whether or not a patient is going to develop irAEs.
4. Discussion
In this prospective study, we tried to understand the impact of ICIs in circulating B cells, with the potential of creating in the future an easy and accessible marker for ICI response. Starting from ICI initiation up to six months, including five subsequent timepoints of blood sampling and clinical evaluation, we focused on B cells as the main mediator of autoimmunity and their crucial subpopulations, whose role is understudied. We examined the circulating CD19+, mature naïve, memory, regulatory, antibody-secreting, and age-associated B cells and how they correlate with alterations in ICI response and the development of irAEs.
Our aim was to explore the potential effect of the ICI treatment on different circulating B cell populations. Our analysis revealed nuanced variations between responders, nonresponders, and healthy donors; nevertheless, it depicted distinct alterations in various B cell subpopulations during the course of immunotherapy. While CD19+ B cell counts remained relatively stable within all groups and timepoints, suggesting a low impact of ICIs on them, significant differences were observed in specific B cell subsets. At the treatment onset, responders revealed a notable rise in mature naïve B cells and a decline in memory cells compared to HDs, showcasing a potential correlation with positive treatment responses. This assumption was reinforced by the fact that responders’ mature naïve B cells exhibited, during the period of the study, elevated counts compared to HDs, with the timepoints 2 and 3 to be the ones with a statistically significant result; in addition, there was a significant reduction in memory B cell subpopulation at time point 1 compared to nonresponders. Notwithstanding, nonresponders exhibited a numerical decrease in the memory B cell subset, with no statistical significance to be obtained, in combination with the fact that in the mature naïve B cell subset, nonresponders showed a significant increase only at time point 2 when compared to HDs, weakening the potential functional discrepancy in the immunomodulatory effects of ICIs between the two groups. The detected elevation in ABCs in nonresponders at baseline compared to responders, although not significant compared to HDs, enhanced by similar results of Tbet MFI analysis, suggests a possible treatment resistance.
In the procedure of investigating a possible pattern of irAEs incidence, the similar behavior of both irAE and non-irAE groups compared to HDs did not reveal a possible prognostic factor. However, CD19+ and memory B cells showed a decrease, while mature naïve B cells obtained an increase in both groups compared to HDs at multiple timepoints, indicating no significant difference between irAE and non-irAE groups. Regarding the non-irAE group, the significant elevation of ABCs at timepoints 1 and 2 and the decline of B regs cells at timepoint 2 compared to HDs showcased a possible correlation with irAEs induction, though further investigation is needed.
Our findings align with the existing literature, supporting that there is no significant association of B cell count and their subtypes between responders and nonresponders at the baseline of the treatment [40,57,58,59], though some data revealed a lower CD19+ count in patients with partial response or stable disease compared to nonresponders [60]. Moreover, according to a published similar study, elevated levels of nonswitched memory cells at baseline were associated with a higher proportion of response as well as an improvement in OS and PFS [61]. When a study for the behavior of B cells in melanoma and RCC was demonstrated, it revealed that responders had a higher count of B cell receptors (BCRs) and higher expression of memory and activated B cells [40,62]. As far as the elevation of ABCs in nonresponders is concerned, our data validate established research, confirming that higher counts of the CD21− subtype were associated with lower odds for treatment response [57], not to mention that early changes in the peripheral B cells, especially an increase in CD21− and plasmablasts, were associated with higher frequency and grade of irAEs. Especially, a reduction in baseline levels of total circulating B cells and an increase in CD21lo and plasmablasts during immunotherapy were related to significantly higher odds of development of high-grade irAEs [41,58,63].
To date, it is established that tumor-associated B cells are crucial to maintaining intratumor inflammation, in addition to the association of B cell depletion with improved survival, whereas further investigation is needed [40,59,64]. Additionally, when a similar anti-PD-L1 drug (atezolizumab) was studied, it depicted the importance of intratumoral B cells and especially plasma cells and their correlation with OS and the possible use as predictive value [65]. In partial agreement with our results, a study observed B cell changes when a combination of immune checkpoint inhibitors was performed, revealed a lower count of circulating B cells, a stable behavior of naïve and memory cells, and a higher rate of plasmablasts and CD21− cells that induce higher rates of irAEs [58]. Very recently, it was shown that targeting and lowering myeloid-derived hematopoietic stem cells can potentially rejuvenate the immune system [66]. Whether this applies to ICI needs to be determined.
Limitations of our study are the following: First, the small number of patients analyzed cannot lead us to definite conclusions, but this study was used as a starting point to further analyze the time points of potential interest in a larger population. Second, most of our patients received ICI as a second- or third-line treatment option. We cannot safely exclude that previous treatment has no effect on B cell populations. Additionally, the long-term alterations in B cells or the late onset of irAEs might not be captured in a six-month period of follow-up.
5. Conclusions
In conclusion, we show, for the first time, the analysis of different B cell subpopulations in different timepoints through a 6-month period of immunotherapy with anti-PD-1 drugs. Although the number analyzed is small to come to definite conclusions, we show distinct differences in various B cell subsets, offering a serious candidacy for novel biomarkers in ICI response or irAEs development. Interesting in our study are the main variations observed in subpopulations of naïve B cells, memory B cells, and ABCs, both in response interplay and in the possibility of irAEs development. These findings enhance the complex role of B cells in the context of ICI treatment, providing the necessity for further investigation to develop personalized treatment strategies and better management of irAEs in the future.
Supplementary Materials
The following supporting information can be downloaded at: https://www.mdpi.com/article/10.3390/app14124990/s1.
Author Contributions
F.P. performed research, collected and analyzed data, and wrote the manuscript; C.S. performed research, collected and analyzed data; S.K. analyzed data and wrote the manuscript; E.V. performed research; E.L., A.K., T.M. and C.K. collected data; S.-N.L. critically reviewed the manuscript; E.E.S. performed conception and study design, analyzed data, and revised the manuscript. All authors have read and agreed to the published version of the manuscript.
Funding
This research received no external funding.
Institutional Review Board Statement
The studies involving human participants were reviewed and approved by the Ethics Committee of the University Hospital of Patras (Protocol code 30320/20-11-2020).
Informed Consent Statement
The patients/participants provided written informed consent to participate in this study.
Data Availability Statement
The raw data supporting the conclusions of this article will be made available by the authors on request.
Acknowledgments
The authors would like to thank all patients who participated in this study.
Conflicts of Interest
The authors declare that the research was conducted in the absence of any commercial or financial relationships that could be construed as a potential conflict of interest.
Abbreviations
| ABCs | age-associated B cells |
| ADCC | antibody-dependent cellular cytotoxicity |
| ANA | antinuclear antibody |
| APCs | antigen-presenting cells |
| ASCs | antibody-secreting cells |
| BCR B | cell receptor |
| Bregs | regulatory B cells |
| CARCAM | carcinoembryonic antigen-related cell adhesion molecule |
| CDC | complement-dependent cytotoxicity |
| CRC | colorectal carcinoma |
| CT | computed tomography |
| CTLA-4 | cytotoxic T-lymphocyte protein 4 |
| DC | dendritic cells |
| HCC | hepatocellular carcinoma |
| HD | healthy donor |
| HL | Hodgkin’s lymphoma |
| ICI | immune checkpoint inhibitor |
| irAEs | immune-related adverse events |
| iRECIST | immune-related response evaluation criteria in solid tumors |
| LAG-3 | lymphocyte activation gene-3 |
| mAb | monoclonal antibody |
| MHC | major histocompatibility complex |
| NSCLC | non-small-cell lung cancer |
| NK | natural killer cells |
| NR | nonresponders |
| NR-tp | nonresponders timepoint |
| OS | overall survival |
| PBMCs | peripheral blood mononuclear cells |
| PFS | progression-free survival |
| R | responders |
| RCC | renal cell carcinoma |
| R-tp | responders timepoint |
| SCCHN | squamous cell carcinoma of head and neck |
| SCLC | metastatic small cells lung cancer |
| TILs | tumor-infiltrating lymphocytes |
| TIM-3 | T cell immunoglobulin-3 |
| TME | tumor microenvironment |
| Tregs | regulatory T cells |
| UC | urothelial carcinoma |
References
- Siegel, R.L.; Giaquinto, A.N.; Jemal, A. Cancer statistics. CA Cancer J. Clin. 2024, 74, 12–49. [Google Scholar] [CrossRef] [PubMed]
- WHO by International Agency for Research on Cancer (IARCs). Global cancer burden growing, amidst mounting need for services. Saudi Med. J. 2024, 45, 326–327. [Google Scholar]
- Siegel, R.L.; Miller, K.D.; Wagle, N.S.; Jemal, A. Cancer statistics, 2023. CA Cancer J. Clin. 2023, 73, 17–48. [Google Scholar] [CrossRef] [PubMed]
- Dunn, G.P.; Old, L.J.; Schreiber, R.D. The immunobiology of cancer immunosurveillance and immunoediting. Immunity 2004, 21, 137–148. [Google Scholar] [CrossRef] [PubMed]
- Chen, D.S.; Mellman, I. Elements of cancer immunity and the cancer-immune set point. Nature 2017, 541, 321–330. [Google Scholar] [CrossRef]
- Mellman, I.; Coukos, G.; Dranoff, G. Cancer immunotherapy comes of age. Nature 2011, 480, 480–489. [Google Scholar] [CrossRef] [PubMed]
- Farkona, S.; Diamandis, E.P.; Blasutig, I.M. Cancer immunotherapy: The beginning of the end of cancer? BMC Med. 2016, 14, 1–18. [Google Scholar] [CrossRef] [PubMed]
- He, J.; Hu, Y.; Hu, M.; Li, B. Development of PD-1/PD-L1 Pathway in Tumor Immune Microenvironment and Treatment for Non-Small Cell Lung Cancer. Sci. Rep. 2015, 5, 13110. [Google Scholar] [CrossRef] [PubMed]
- Setordzi, P.; Chang, X.; Liu, Z.; Wu, Y.; Zuo, D. The recent advances of PD-1 and PD-L1 checkpoint signaling inhibition for breast cancer immunotherapy. Eur. J. Pharmacol. 2021, 895, 173867. [Google Scholar] [CrossRef] [PubMed]
- Vareki, S.M.; Garrigós, C.; Duran, I. Biomarkers of response to PD-1/PD-L1 inhibition. Crit. Rev. Oncol. Hematol. 2017, 116, 116–124. [Google Scholar] [CrossRef] [PubMed]
- Lin, X.; Lu, X.; Luo, G.; Xiang, H. Progress in PD-1/PD-L1 pathway inhibitors: From biomacromolecules to small molecules. Eur. J. Med. Chem. 2020, 186, 111876. [Google Scholar] [CrossRef] [PubMed]
- Salmaninejad, A.; Valilou, S.F.; Shabgah, A.G.; Aslani, S.; Alimardani, M.; Pasdar, A.; Sahebkar, A. PD-1/PD-L1 pathway: Basic biology and role in cancer immunotherapy. J. Cell Physiol. 2019, 234, 16824–16837. [Google Scholar] [CrossRef] [PubMed]
- Ameli, M.; Ameli, M.; Cui, X. Prospective role of PD-1/PD-L1 immune checkpoint inhibitors in GI cancer. Pathol. Res. Pract. 2023, 244, 154338. [Google Scholar] [CrossRef] [PubMed]
- Bai, J.; Gao, Z.; Li, X.; Dong, L.; Han, W.; Nie, J. Regulation of PD-1/PD-L1 pathway and resistance to PD-1/PD-L1 blockade. Oncotarget 2017, 8, 110693–110707. [Google Scholar] [CrossRef] [PubMed]
- Liu, K.; Sun, Q.; Liu, Q.; Li, H.; Zhang, W.; Sun, C. Focus on immune checkpoint PD-1/PD-L1 pathway: New advances of polyphenol phytochemicals in tumor immunotherapy. Biomed. Pharmacother. 2022, 154, 113618. [Google Scholar] [CrossRef] [PubMed]
- de Miguel, M.; Calvo, E. Clinical Challenges of Immune Checkpoint Inhibitors. Cancer Cell 2020, 38, 326–333. [Google Scholar] [CrossRef] [PubMed]
- Dong, H.; Strome, S.E.; Salomao, D.R.; Tamura, H.; Hirano, F.; Flies, D.B.; Roche, P.C.; Lu, J.; Zhu, G.; Tamada, K.; et al. Tumor-associated B7-H1 promotes T-cell apoptosis: A potential mechanism of immune evasion. Nat. Med. 2002, 8, 793–800. [Google Scholar] [CrossRef] [PubMed]
- Pardoll, D. Cancer and the Immune System: Basic Concepts and Targets for Intervention. Semin. Oncol. 2015, 42, 523–538. [Google Scholar] [CrossRef]
- Ferris, R.L.; Blumenschein, G., Jr.; Fayette, J.; Guigay, J.; Colevas, A.D.; Licitra, L.; Harrington, K.J.; Kasper, S.; Vokes, E.E.; Even, C.; et al. Nivolumab vs investigator’s choice in recurrent or metastatic squamous cell carcinoma of the head and neck: 2-year long-term survival update of CheckMate 141 with analyses by tumor PD-L1 expression. Oral. Oncol. 2018, 81, 45–51. [Google Scholar] [CrossRef] [PubMed]
- Kwok, G.; Yau, T.C.C.; Chiu, J.W.; Tse, E.; Kwong, Y.L. Pembrolizumab (Keytruda). Hum. Vaccin. Immunother 2016, 12, 2777–2789. [Google Scholar] [CrossRef] [PubMed]
- Marin-Acevedo, J.A.; Kimbrough, E.M.O.; Lou, Y. Next generation of immune checkpoint inhibitors and beyond. J. Hematol. Oncol. 2021, 14, 1–29. [Google Scholar] [CrossRef] [PubMed]
- Stenehjem, D.D.; Tran, D.; Nkrumah, M.A.; Gupta, S. PD1/PDL1 inhibitors for the treatment of advanced urothelial bladder cancer. Onco Targets Ther. 2018, 11, 5973–5989. [Google Scholar] [CrossRef] [PubMed]
- Lei, Q.; Wang, D.; Sun, K.; Wang, L.; Zhang, Y. Resistance Mechanisms of Anti-PD1/PDL1 Therapy in Solid Tumors. Front. Cell Dev. Biol. 2020, 8, 672. [Google Scholar] [CrossRef] [PubMed]
- Ganesan, S.; Mehnert, J. Biomarkers for Response to Immune Checkpoint Blockade. Annu. Rev. Cancer Biol. 2020, 4, 331–351. [Google Scholar] [CrossRef]
- Doroshow, D.B.; Bhalla, S.; Beasley, M.B.; Sholl, L.M.; Kerr, K.M.; Gnjatic, S.; Wistuba, I.I.; Rimm, D.L.; Tsao, M.S.; Hirsch, F.R.; et al. PD-L1 as a biomarker of response to immune-checkpoint inhibitors. Nat. Rev. Clin. Oncol. 2021, 18, 345–362. [Google Scholar] [CrossRef] [PubMed]
- Prelaj, A.; Tay, R.; Ferrara, R.; Chaput, N.; Besse, B.; Califano, R. Predictive biomarkers of response for immune checkpoint inhibitors in non-small-cell lung cancer. Eur. J. Cancer 2019, 106, 144–159. [Google Scholar] [CrossRef]
- Nishijima, T.F.; Shachar, S.S.; Nyrop, K.A.; Muss, H.B. Safety and Tolerability of PD-1/PD-L1 Inhibitors Compared with Chemotherapy in Patients with Advanced Cancer: A Meta-Analysis. Oncologist 2017, 22, 470–479. [Google Scholar] [CrossRef] [PubMed]
- Martins, F.; Sofiya, L.; Sykiotis, G.P.; Lamine, F.; Maillard, M.; Fraga, M.; Shabafrouz, K.; Ribi, C.; Cairoli, A.; Guex-Crosier, Y.; et al. Adverse effects of immune-checkpoint inhibitors: Epidemiology, management and surveillance. Nat. Rev. Clin. Oncol. 2019, 16, 563–580. [Google Scholar] [CrossRef] [PubMed]
- Ramos-Casals, M.; Brahmer, J.R.; Callahan, M.K.; Flores-Chávez, A.; Keegan, N.; Khamashta, M.A.; Lambotte, O.; Mariette, X.; Prat, A.; Suárez-Almazor, M.E. Immune-related adverse events of checkpoint inhibitors. Nat. Rev. Dis. Primers. 2020, 6, 38. [Google Scholar] [CrossRef] [PubMed]
- Nigro, O.; Pinotti, G.; De Galitiis, F.; Di Pietro, F.R.; Giusti, R.; Filetti, M.; Bersanelli, M.; Lazzarin, A.; Bordi, P.; Catino, A.; et al. Late immune-related adverse events in long-term responders to PD-1/PD-L1 checkpoint inhibitors: A multicentre study. Eur. J. Cancer 2020, 134, 19–28. [Google Scholar] [CrossRef] [PubMed]
- Sonpavde, G.P.; Grivas, P.; Lin, Y.; Hennessy, D.; Hunt, J.D. Immune-related adverse events with PD-1 versus PD-L1 inhibitors: A meta-analysis of 8730 patients from clinical trials. Future Oncol. 2021, 17, 2545–2558. [Google Scholar] [CrossRef]
- Byun, D.J.; Wolchok, J.D.; Rosenberg, L.M.; Girotra, M. Cancer immunotherapy-immune checkpoint blockade and associated endocrinopathies. Nat. Rev. Endocrinol. 2017, 13, 195–207. [Google Scholar] [CrossRef] [PubMed]
- Boland, P.; Heath, J.; Sandigursky, S. Immune checkpoint inhibitors and vasculitis. Curr. Opin. Rheumatol. 2020, 32, 53–56. [Google Scholar] [CrossRef] [PubMed]
- Daxini, A.; Cronin, K.; Sreih, A.G. Vasculitis associated with immune checkpoint inhibitors—A systematic review. Clin. Rheumatol. 2018, 37, 2579–2584. [Google Scholar] [CrossRef] [PubMed]
- Voudouri, D.; Nikolaou, V.; Laschos, K.; Charpidou, A.; Soupos, N.; Triantafyllopoulou, I.; Panoutsopoulou, I.; Aravantinos, G.; Syrigos, K.; Stratigos, A. Anti-PD1/PDL1 induced psoriasis. Curr. Probl. Cancer 2017, 41, 407–412. [Google Scholar] [CrossRef]
- Shafqat, H.; Gourdin, T.; Sion, A. Immune-related adverse events are linked with improved progression-free survival in patients receiving anti-PD-1/PD-L1 therapy. Semin. Oncol. 2018, 45, 156–163. [Google Scholar] [CrossRef] [PubMed]
- Tan, R.; Nie, M.; Long, W. The role of B cells in cancer development. Front. Oncol. 2022, 12, 958756. [Google Scholar] [CrossRef]
- Engelhard, V.; Conejo-Garcia, J.R.; Ahmed, R.; Nelson, B.H.; Willard-Gallo, K.; Bruno, T.C.; Fridman, W.H. B cells and cancer. Cancer Cell 2021, 39, 1293–1296. [Google Scholar] [CrossRef] [PubMed]
- Tokunaga, R.; Naseem, M.; Lo, J.H.; Battaglin, F.; Soni, S.; Puccini, A.; Berger, M.D.; Zhang, W.; Baba, H.; Lenz, H.J. B cell and B cell-related pathways for novel cancer treatments. Cancer Treat. Rev. 2019, 73, 10–19. [Google Scholar] [CrossRef] [PubMed]
- Kim, S.S.; Sumner, W.A.; Miyauchi, S.; Cohen, E.E.W.; Califano, J.A.; Sharabi, A.B. Role of B cells in responses to checkpoint blockade immunotherapy and overall survival of cancer patients. Clin. Cancer Res. 2021, 27, 6075–6082. [Google Scholar] [CrossRef] [PubMed]
- Largeot, A.; Pagano, G.; Gonder, S.; Moussay, E.; Paggetti, J. The B-side of cancer immunity: The underrated tune. Cells 2019, 8, 449. [Google Scholar] [CrossRef] [PubMed]
- Shalapour, S.; Karin, M. The neglected brothers come of age: B cells and cancer. Semin. Immunol. 2021, 52, 101479. [Google Scholar] [CrossRef] [PubMed]
- Schwartz, M.; Zhang, Y.; Rosenblatt, J.D. B cell regulation of the anti-tumor response and role in carcinogenesis. J. Immunother Cancer 2016, 4, 1–15. [Google Scholar] [CrossRef] [PubMed]
- Horii, M.; Matsushita, T. Regulatory B cells and T cell Regulation in Cancer. J. Mol. Biol. 2021, 433, 166685. [Google Scholar] [CrossRef]
- Cancro, M.P. Age-Associated B Cells. Annu. Rev. Immunol. 2020, 38, 315–340. [Google Scholar] [CrossRef] [PubMed]
- Mouat, I.C.; Goldberg, E.; Horwitz, M.S. Age-associated B cells in autoimmune diseases. Cell Mol. Life Sci. 2022, 79, 402. [Google Scholar] [CrossRef]
- Eisenhauer, E.A.; Therasse, P.; Bogaerts, J.; Schwartz, L.H.; Sargent, D.; Ford, R.; Dancey, J.; Arbuck, S.; Gwyther, S.; Mooney, M.; et al. New response evaluation criteria in solid tumours: Revised RECIST guideline (version 1.1). Eur. J. Cancer 2009, 45, 228–247. [Google Scholar] [CrossRef] [PubMed]
- Liossis, S.N.; Solomou, E.E.; Dimopoulos, M.A.; Panayiotidis, P.; Mavrikakis, M.M.; Sfikakis, P.P. B-cell kinase lyn deficiency in patients with systemic lupus erythematosus. J. Investig. Med. 2001, 49, 157–165. [Google Scholar] [CrossRef] [PubMed]
- Sanz, I.; Wei, C.; Jenks, S.A.; Cashman, K.S.; Tipton, C.; Woodruff, M.C.; Hom, J.; Lee, F.E.H. Challenges and Opportunities for Consistent Classification of Human B Cell and Plasma Cell Populations. Front. Immunol. 2019, 10, 2458. [Google Scholar] [CrossRef] [PubMed]
- Oleinika, K.; Mauri, C.; Salama, A.D. Effector and regulatory B cells in immune-mediated kidney disease. Nat. Rev. Nephrol. 2019, 15, 11–26. [Google Scholar] [CrossRef] [PubMed]
- Guo, F.F.; Cui, J.W. The Role of Tumor-Infiltrating B Cells in Tumor Immunity. J. Oncol. 2019, 2019, 2592419. [Google Scholar] [CrossRef] [PubMed]
- Gavrielatou, N.; Vathiotis, I.; Economopoulou, P.; Psyrri, A. The Role of B Cells in Head and Neck Cancer. Cancers 2021, 13, 5383. [Google Scholar] [CrossRef] [PubMed]
- Yam-Puc, J.C.; Hosseini, Z.; Horner, E.C.; Gerber, P.P.; Beristain-Covarrubias, N.; Hughes, R.; Lulla, A.; Rust, M.; Boston, R.; Ali, M.; et al. Age-associated B cells predict impaired humoral immunity after COVID-19 vaccination in patients receiving immune checkpoint blockade. Nat. Commun. 2023, 14, 3292. [Google Scholar] [CrossRef] [PubMed]
- Phalke, S.; Marrack, P. Age (autoimmunity) associated B cells (ABCs) and their relatives. Curr. Opin. Immunol. 2018, 55, 75–80. [Google Scholar] [CrossRef]
- Sachinidis, A.; Xanthopoulos, K.; Garyfallos, A. Age-Associated B Cells (ABCs) in the Prognosis, Diagnosis and Therapy of Systemic Lupus Erythematosus (SLE). Mediterr. J. Rheumatol. 2020, 31, 311–318. [Google Scholar] [CrossRef] [PubMed]
- Solomou, E.E.; Kattamis, A.; Symeonidis, A.; Sirinian, C.; Salamaliki, C.; Tzanoudaki, M.; Diamantopoulos, P.; Plakoula, E.; Palasopoulou, M.; Giannakoulas, N.; et al. Increased age-associated B cells in patients with acquired aplastic anemia correlate with IFN-γ. Blood Adv. 2024, 8, 399–402. [Google Scholar] [CrossRef] [PubMed]
- Barth, D.A.; Stanzer, S.; Spiegelberg, J.A.; Bauernhofer, T.; Absenger, G.; Szkandera, J.; Gerger, A.; Smolle, M.A.; Hutterer, G.C.; Ahyai, S.A.; et al. Patterns of Peripheral Blood B-Cell Subtypes Are Associated with Treatment Response in Patients Treated with Immune Checkpoint Inhibitors: A Prospective Longitudinal Pan-Cancer Study. Front. Immunol. 2022, 13, 840207. [Google Scholar] [CrossRef]
- Das, R.; Bar, N.; Ferreira, M.; Newman, A.M.; Zhang, L.; Bailur, J.K.; Bacchiocchi, A.; Kluger, H.; Wei, W.; Halaban, R. Early b cell changes predict autoimmunity following combination immune checkpoint blockade. J. Clin. Investig. 2018, 128, 715–720. [Google Scholar] [CrossRef] [PubMed]
- Damsky, W.; Jilaveanu, L.; Turner, N.; Perry, C.; Zito, C.; Tomayko, M.; Leventhal, J.; Herold, K.; Meffre, E.; Bosenberg, M.; et al. B cell depletion or absence does not impede anti-tumor activity of PD-1 inhibitors. J. Immunother Cancer 2019, 7, 1–7. [Google Scholar] [CrossRef] [PubMed]
- Yuan, S.; Liu, Y.; Till, B.; Song, Y.; Wang, Z. Pretreatment Peripheral B Cells Are Associated with Tumor Response to Anti-PD-1-Based Immunotherapy. Front. Immunol. 2020, 11, 563653. [Google Scholar] [CrossRef] [PubMed]
- Carril-Ajuria, L.; Desnoyer, A.; Meylan, M.; Dalban, C.; Naigeon, M.; Cassard, L.; Vano, Y.; Rioux-Leclercq, N.; Chouaib, S.; Beuselinck, B.; et al. Baseline circulating unswitched memory B cells and B-cell related soluble factors are associated with overall survival in patients with clear cell renal cell carcinoma treated with nivolumab within the NIVOREN GETUG-AFU 26 study. J. Immunother Cancer 2022, 10, e004885. [Google Scholar] [CrossRef] [PubMed]
- Author, B.A.H.; Woodman, S.Z.K. B cells and tertiary lymphoid structures promote immunotherapy response. Nature 2020, 577, 549–555. [Google Scholar]
- Liudahl, S.M.; Coussens, L.M. B cells as biomarkers: Predicting immune checkpoint therapy adverse events. J. Clin. Investig. 2018, 128, 577–579. [Google Scholar] [CrossRef] [PubMed]
- Griss, J.; Bauer, W.; Wagner, C.; Simon, M.; Chen, M.; Grabmeier-Pfistershammer, K.; Maurer-Granofszky, M.; Roka, F.; Penz, T.; Bock, C.; et al. B cells sustain inflammation and predict response to immune checkpoint blockade in human melanoma. Nat. Commun. 2019, 10, 4186. [Google Scholar] [CrossRef] [PubMed]
- Patil, N.S.; Nabet, B.Y.; Müller, S.; Koeppen, H.; Zou, W.; Giltnane, J.; Au-Yeung, A.; Srivats, S.; Cheng, J.H.; Takahashi, C.; et al. Intratumoral plasma cells predict outcomes to PD-L1 blockade in non-small cell lung cancer. Cancer Cell 2022, 40, 289–300.e4. [Google Scholar] [CrossRef] [PubMed]
- Ross, J.B.; Myers, L.M.; Noh, J.J.; Collins, M.M.; Carmody, A.B.; Messer, R.J.; Dhuey, E.; Hasenkrug, K.J.; Weissman, I.L. Depleting myeloid-biased haematopoietic stem cells rejuvenates aged immunity. Nature 2024, 628, 162–170. [Google Scholar] [CrossRef] [PubMed]
Disclaimer/Publisher’s Note: The statements, opinions and data contained in all publications are solely those of the individual author(s) and contributor(s) and not of MDPI and/or the editor(s). MDPI and/or the editor(s) disclaim responsibility for any injury to people or property resulting from any ideas, methods, instructions or products referred to in the content. |
© 2024 by the authors. Licensee MDPI, Basel, Switzerland. This article is an open access article distributed under the terms and conditions of the Creative Commons Attribution (CC BY) license (https://creativecommons.org/licenses/by/4.0/).