Abstract
In this study, experimental tests, together with computer analyses, were carried out to identify the essential nutritional markers that can offer protein supplementation-based nutrition support for hypertension. In particular, 16 marine shellfish proteins were firstly screened for in silico hydrolysis by gastrointestinal enzymes and then the binding abilities of the obtained oligopeptides to angiotensin-converting enzyme (ACE) were examined. In addition, the ACE inhibition activities of selected oligopeptides were assayed in vitro. It was discovered that mussel-derived NADH dehydrogenase and AMP-activated protein kinase and razor-clam-derived cytochrome b, NADH dehydrogenase, and ATP synthase were excellent sources of protein that are able to release a high amount of ACE-binding peptides. Meanwhile, four oligopeptides (SCCGY, SSGAW, PICQF, and IQPEW) were detected as strong ACE binders, with IC50 values of 0.09, 0.25, 0.41, and 0.60 mM, respectively. Therefore, our findings demonstrate that shellfish proteins can serve as nutritional support for hypertension when patients are supplemented with these markers. In particular, oligopeptides are identified as the most promising compounds.
1. Introduction
As one of the most common chronic diseases, hypertension is associated with many other diseases such as cardiovascular diseases, arteriosclerosis, and stroke. Now, it is estimated that the total number of worldwide hypertension patients is approximately 1 billion and will increase to more than 1.6 billion by 2025 [1], and it kills 9 million people annually [2].
Angiotensin I-converting enzyme (ACE) is a crucial enzyme in regulating blood pressure, as it can transform angiotensin I to angiotensin II in the human renin-angiotensin system and also convert vasodilator bradykinin into an inactive peptide via kallikrein–kinin systems [3]. Therefore, ACE is demonstrated as a potential target for antihypertensive agents. Currently, synthetic ACE inhibitors, including captopril, benazepril, enalapril, and perindopril, are associated with various side effects, such as coughing, taste disturbance, allergic reactions, and skin rashes [4]. This raises the need to find more ACE inhibitors with less adverse effects for hypertension management [5].
Food-derived ACE inhibitors have become popular in hypertension management due to their fewer number of adverse effects. A number of ACE inhibitory peptides have been detected from marine sources, such as algae protein [6], sardine protein [7], cod skin gelatin [8], salmon byproduct protein [9], and sea cucumbers [10]. However, shellfish-derived ACE inhibitory peptides have been rarely reported, although a few examples are available, such as cyclina sinensis protein [11] and pearl oyster protein [12].
It is noted that the entire process of isolating ACE inhibitory peptides from natural proteins by conventional methods is cumbersome and time consuming. Generally, several steps are involved, such as membrane separation, ion exchange chromatography, gel permeation chromatography, and high-performance liquid chromatography, which greatly complicates the preparation process and increases the cost [13]. Alternatively, computer-aided prediction and identification of food-protein-derived bioactive peptides has become a feasible method [14]. Compared with traditional experimental studies, in silico analyses are time saving and more economical to quickly discover novel ACE inhibitory peptides. For example, Fu et al. [15] used in silico proteolysis to identify ACE inhibitory peptides from bovine collagen, and the most active one was identified as a pentapeptide (Gly-Pro-Arg-Gly-Phe). Similarly, an in silico analysis was carried out to predict the likelihood of obtaining ACE inhibitory peptides from oat protein hydrolysates, and nine peptides (FFG, IFFFL, PFL, WWK, WCY, FPIL, CPA, FLLA, and FEPL) were found to inhibit ACE by between 86.5 ± 10.7% and 96.5 ± 25.8% [16].
More importantly, proteins will be degraded to amino acids or peptides after gastrointestinal consumption; hence, the nutritional value of protein supplements is dependent on the released peptides after degradation in the gastrointestinal tract. To keep the released peptides active after ingestion, they have to be resistant to gastrointestinal degradation [17]. The goal of this study is to identify shellfish-derived proteins and peptides to be supplemented in the diet of hypertensive patients, which is expected to help lower blood pressure. Specifically, in silico gastrointestinal proteolysis was performed on marine shellfish proteins, producing a large number of peptides. Additionally, the binding abilities of these peptides to the key target ACE were then computationally accessed, whereas the in vitro ACE inhibitory activities of the identified peptides were further confirmed by experimental results. Thus, proteins with a high content of ACE-binding peptides are expected to provide nutritional support for hypertensive patients. In particular, the identified peptides with a high binding ability to ACE can serve as the leading compounds in the development of ACE inhibitors.
2. Materials and Methods
2.1. In Silico Proteolysis
Sixteen proteins (https://www.ncbi.nlm.nih.gov/protein/, accessed on 3 March 2022) from four species of marine shellfish (razor clams, clams, scallops, and mussels) were selected (Table 1). The in silico proteolysis (pepsin, trypsin, and chymotrypsin) (no order) was performed using the BIOPEP-UWM database [18]. The theoretical degree of hydrolysis (TDH) was calculated using the following equation: TDH = d/D × 100%, where d is the number of hydrolyzed peptide bonds and D is the total number of peptide bonds in a protein chain.
Table 1.
Sequences and frequencies of high-affinity oligopeptides binding to angiotensin-converting enzyme from marine shellfish proteins digested in silico by gastrointestinal enzymes.
2.2. Molecular Docking
Using HPEPDOCK software [19], ACE (PDB code: 2XY9) was docked to the oligopeptides generated by in silico hydrolysis. LigPlot [20] was employed to determine the binding residues of the selected high-affinity oligopeptides to the target ACE. The occurrence frequency (F) of oligopeptides (2 ≤ peptide length ≤ 5) with a high binding affinity (docking score ≤ −110) was determined as follows: F = N/L, where N is the number of high-affinity oligopeptides within the protein chain of length L.
2.3. In Vitro ACE Activity
The selected oligopeptides (PICQF, IQPEW, VQPEW, SCCGY, SSGAW, VICGH, and ISGTF) were synthesized (Yuanpeptide Co., Ltd. Nangjing, China). The samples (50 μL, 1 mg/mL) and enzymes (50 μ L, pH 8.3, 150 mM Tris HCl buffer solution) were mixed (37 °C, 10 min), then the substrate (200 μL, 0.45 mM) ABZ Gly phe-(NO2)-Pro and buffer solution (pH 8.3, 1.125 M NaCl, 150 mM Tris HCl) were added (37 °C, 30 min), and the fluorescence intensity (FLU) of the product o-aminobenzoylglycine (ABZ-Gly) was immediately determined at wavelengths of 355 nm and 405 nm. The ACE enzyme inhibition rate was calculated as follows:
where FLUsample, FLUbackground, FLUcontrol, and FLUcontrolbackground represent the absorbance of the corresponding group. Each group was repeated 3 times.
2.4. Statistical Analysis
Each treatment was performed in triplicate, the values were expressed as mean values ± standard deviation, the significance level between different groups was p < 0.05, and statistical analyses were conducted by a one-way ANOVA using SPSS 22.0 (SPSS Software Inc., Chicago, IL, USA).
3. Results
3.1. In Silico Gastrointestinal Enzyme Hydrolysis
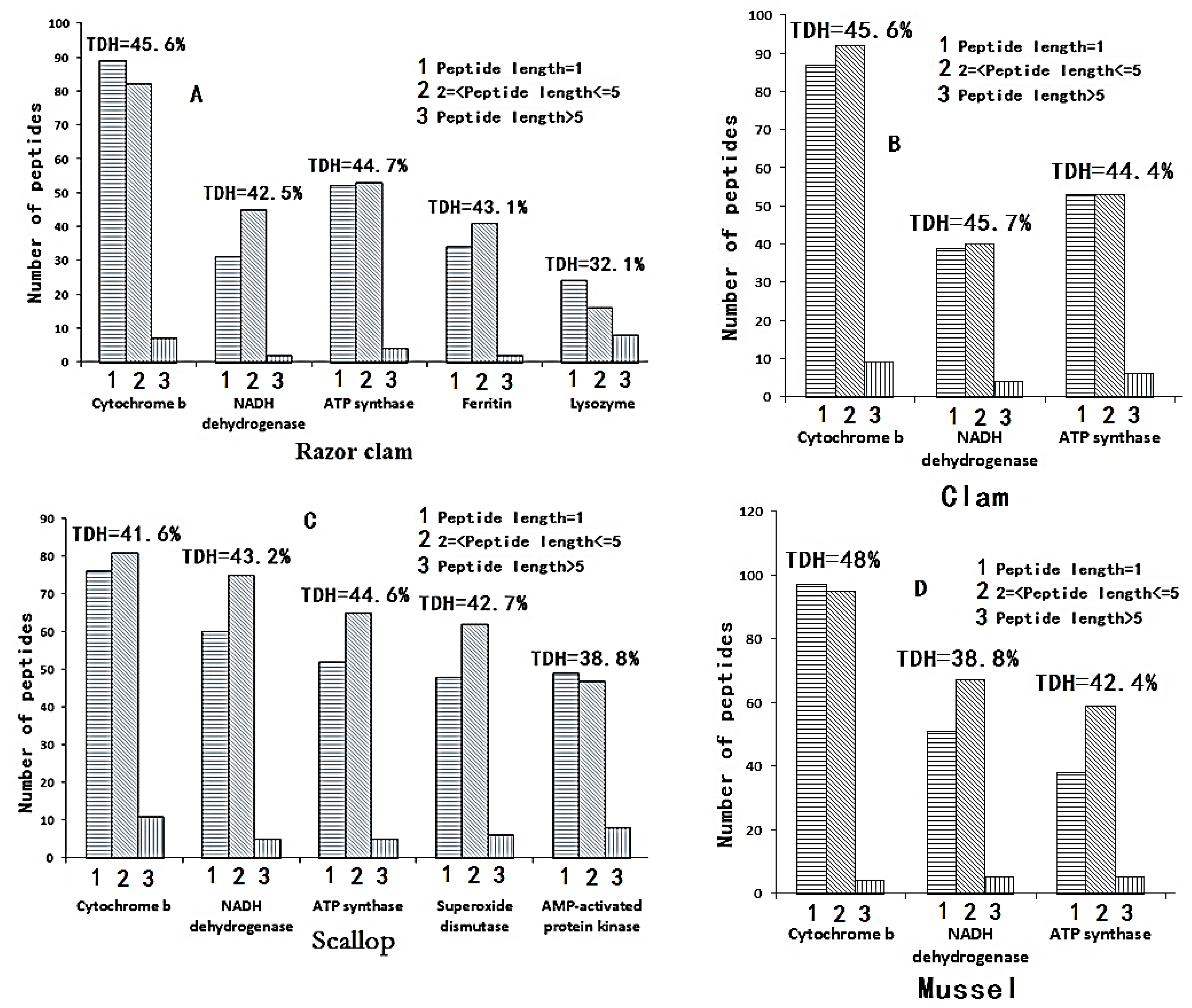
In order to obtain bioactive peptides with resistance to gastrointestinal degradation, sixteen proteins from four species of shellfish (razor clams, clams, scallops, and mussels) were in silico digested by three enzymes (pepsin, trypsin, and chymotrypsin). It can be seen from Figure 1 that the theoretical degrees of hydrolysis (TDH) were within the range of 32.1–48%, and the largest TDH was achieved by cytochrome b from mussels (48%). On the other hand, hydrolysates were mainly composed of amino acids, oligopeptides (2 ≤ peptide length ≤ 5), and a few polypeptides (peptide length > 5). The most amino acids (97) and oligopeptides (95) were generated by mussel-derived cytochrome b, while the highest proportions of oligopeptides were produced by razor-clam-derived NADH dehydrogenase (57.6%) and ferritin (57.7%) and mussel-derived ATP synthase (57.8%).
Figure 1.
In silico hydrolysis of marine shellfish proteins. Sixteen proteins from four species of marine shellfish (razor clams (A), clams (B), scallops (C), and mussels (D)) were selected, their amino acids sequences were retrieved from the NCBI database (https://www.ncbi.nlm.nih.gov/protein/, accessed on 5 March 2022), and their in silico hydrolysis by gastrointestinal enzymes (pepsin, trypsin, and chymotrypsin) (no order) was performed using the BIOPEP-UWM database (https://biochemia.uwm.edu.pl/biopep-uwm, accessed on 20 March 2022).
3.2. Binding Ability of the Digested Peptides to Angiotensin-Converting Enzyme
The released oligopeptides (2 ≤ peptide length ≤ 5) by in silico digestion of 16 proteins were docked to angiotensin-converting enzyme. Table 1 presents the high-affinity oligopeptides with a binding score of <−110. The results indicated that mussel-derived NADH dehydrogenase possessed the largest F value (0.0721), followed by razor-clam-derived cytochrome b, NADH dehydrogenase, and ATP synthase, as well as mussel-derived AMP-activated protein kinase, which also had the largest F values (>0.06).
There were 18 top high-affinity oligopeptides with a binding score of <−180 (Table 2). Subsequently, seven peptides (IQPEW, PICQF, VQPEW, SCCGY, SSGAW, VICGH, and ISGTF) were synthesized, and their ACE inhibition activities are presented in Figure 2. The data indicated that SCCGY, PICQF, and SSGAW had strong inhibition activities, with inhibition percentages of 96.04%, 89.755, and 82.72%, respectively, at the concentration of 2 mM. The IC50 values of SCCGY, SSGAW, IQPEW, PICQF, and VQPEW were determined as 0.09883, 0.2529, 0.6098, 0.4131, and 1.189 mM, respectively.
Table 2.
Top high-affinity oligopeptides.
Figure 2.
Inhibitory activities of the synthesized peptides on angiotensin-converting enzyme (A) and IC50 values (mM) (B). The selected oligopeptides (PICQF, IQPEW, VQPEW, SCCGY, SSGAW, VICGH, and ISGTF) were synthesized by a standard solid-phase method (Yuanpeptide Co., Ltd. Nangjing, China). The samples (50 μL, 1 mg/mL) and enzymes (50 μ L, pH 8.3, 150 mM Tris HCl buffer solution) were mixed and incubated at 37 °C for 10 min, and then the substrate (200 μL, 0.45 mM) ABZ Gly phe-(NO2)-Pro and buffer solution (pH 8.3, 1.125 M NaCl, 150 mM Tris HCl) were added and reacted at 37 °C for 30 min. The fluorescence intensity (FLU) of the product, o-aminobenzoylglycine (ABZ-Gly), was immediately determined at the excitation wavelength λex = 355 nm and the emission wavelength λem = 405 nm. The control group was combined with buffer (50 μL) and enzyme (50 μL). The background group was combined with sample solution (50 μL) and buffer (50 μL). The ACE enzyme inhibition rate was calculated. Each treatment was performed in triplicate, the values were expressed as mean values ± standard deviation, the significance level between different groups was p < 0.05, and statistical analysis was conducted by a one-way ANOVA using SPSS 22.0 (SPSS Software Inc., Chicago, IL, USA).
The interactions of SCCGY and PICQF with the target protein ACE are shown in Figure 3 and Figure 4. For SCCGY and ACE (Figure 3A), seven pairs of hydrogen bonds were formed: Cys 2 (peptide) vs. Cys 3 (peptide), Gly 4 (peptide) vs. Ala354 (ACE), Gly 4 (peptide) vs. His353 (ACE), Gly 4 (peptide) vs. His513 (ACE), Gly 4 (peptide) vs. Tyr5 (peptide), Gly 4 (peptide) vs. Gln281 (ACE), and Gly 4 (peptide) vs. Asp415 (ACE). There were eight residues involved in hydrophobic contacts: His387, Phe512, Ser355, Ala356, His410, Val518, Phe457, and Phe 527 (Figure 3B). For PICQF and ACE (Figure 4A), three pairs of hydrogen bonds existed: Cys 3 (peptide) vs. Ala 356 (enzyme), Gln 4 (peptide) vs. Arg 522 (enzyme), and Phe 5 (peptide) vs. Arg 124 (enzyme). In addition, 13 residues were involved in hydrophobic contacts: Trp 59, Tyr 62, Ile 88, His 353, Ala 354, Ser 355, Trp 357, His 387, Glu 411, Phe 512, His 513, Pro 519, and Tyr 523 (Figure 4B).
Figure 3.
Binding of the representative oligopeptides to angiotensin-converting enzyme and the interacting residues, angiotensin-converting enzyme and SCCGY (A,B). The crystal structure of angiotensin-converting enzyme (ACE) (PDB code: 2XY9) was obtained from the PDB database, which was docked to the oligopeptides generated by in silico hydrolysis using HPEPDOCK software (http://huanglab.phys.hust.edu.cn/hpepdock, accessed on 5 March 2022).
Figure 4.
Binding of the representative oligopeptides to angiotensin-converting enzyme and the interacting residues, angiotensin-converting enzyme and PICQF (A,B). The crystal structure of angiotensin-converting enzyme (ACE) (PDB code: 2XY9) was obtained from the PDB database, which was docked to the oligopeptides generated by in silico hydrolysis using HPEPDOCK software (http://huanglab.phys.hust.edu.cn/hpepdock, accessed on 5 March 2022).
4. Discussion
It is known that resistance to degradation of gastrointestinal enzymes and subsequent adsorption via intestinal cells are required for the orally digested peptides to exert bioactivity in vivo [21]. Hence, this study firstly employed in silico proteolysis of 16 proteins by gastrointestinal enzymes to obtain peptides, and then focused on oligopeptides with 2–5 amino acids only, which are considered to be trans-epithelially absorbable or transportable by specific transport systems, including the PepT1 or PepT2 transporter-mediated transport system for di- and tri-peptides [22] and the SOPT1/SOPT2 system for tetra- and penta-peptides [23]. Based on these facts, a number of oligopeptides (2 ≤ peptide length ≤ 5) from 16 shellfish proteins were investigated for their binding ability to angiotensin-converting enzyme. The present data demonstrated that mussel-derived NADH dehydrogenase could be a good source of potent binders to target protein ACE, with a frequency value (F = 0.0721) of high-affinity oligopeptides. Moreover, razor-clam-derived cytochrome b and ATP synthase were also good selections for strong binders, with F values of 0.0604 and 0.0603, respectively. Thus, it could be helpful for to supplement hypertensive patients with these proteins or protein extracts from razor clams or mussels.
The amino acid composition of a peptide is important for its activity [24]. It was reported that N-terminal amino acids with a high frequency of occurrence were leucine (L), valine (V), isoleucine (I), alanine (A), glycine (G), tyrosine (Y), and phenylalanine (F). Among them, L has the highest frequency at 14.70%. The C-terminal amino acids with a higher frequency of occurrence were proline (P), tyrosine (Y), phenylalanine (F.), isoleucine (I), and leucine (L). Among them, P has the highest frequency at 23.21% [25]. In this study, 18 top high-affinity oligopeptides were identified as binding to angiotensin-converting enzyme (Table 2). The proportion of these oligopeptides containing hydrophobic N- or C-terminals is 88.9%, suggesting the importance of hydrophobic amino acids. This is consistent with a previous report that hydrophobic amino acids have a good inhibitory activity [26] and are more common clinically than hydrophilic-based amino acids [27]. Moreover, among the identified oligopeptides, there are five abundant residues: hydrophobic valine (V, 22.2%) and isoleucine (I, 22.2%) and hydrophilic serine (S, 33.3%) in the N-terminal, and hydrophobic tryptophan (W, 33.3%) and phenylalanine (F, 38.9%) in the C-terminal. This is partly consistent with the above results and supports previous reports that valine (V) may contribute to the inhibitory activity of antihypertensive peptides [28] and that the presence of aliphatic or aromatic amino acids at the N- or C-terminus can enhance the inhibitory activity [29].
Angiotensin-converting enzyme is a major target for lowering blood pressure and its inhibition will leads to an overall antihypertensive effect. Many angiotensin converting enzyme inhibitory peptides have been identified from food sources, including various marine animals [30]. Ngo et al. [8] utilized several enzymes (pepsin, papain, alpha-chymotrypsin, trypsin, neutrase, and alcalase) to hydrolyze Pacific cod skin and two ACE inhibitory peptides, GASSGMPG and LAVA, were obtained with IC50 values of 6.9 and 14.5 μM, respectively. Je et al. [31] found that the peptide CNVPLSP isolated from seahorses (Hippocampus abdominalis) showed a potent ACE inhibitory effect with an IC50 value of 0.088 ± 0.002 mg/mL. Kang et al. [32] purified a peptide (LWHTH) from the marine animal Styela clava, which inhibited ACE with an IC50 value of 16.42 +/− 0.45 μM. In particular, some marine shellfish-derived peptides were found to have ACE inhibitory activities, such as, oyster protein peptide VVYPWTTQRF (IC50 = 0.066 mM) [33], fresh water clam muscle protein peptide VKK (IC50 = 1.045 mM) [34], and pearl oyster meat protein-derived peptides HLHT and GWA (0.458 and 0.109 mM, respectively) [12]. In this study, the in vitro activity assay showed that SCCGY, SSGAW, IQPEW, and PICQF exhibited strong inhibition of ACE, with IC50 values of 0.09883, 0.2529, 0.6098, and 0.4131 mM, respectively. Thus, the ACE inhibitory activities of the peptides (SCCGY, SSGAW, IQPEW, and PICQF) identified by the present computational strategy were moderate compared with previous reports.
Generally, there are three main active-site pockets (S1, S2, and S1′) in the ACE enzyme. The residues Ala354, Glu384, and Tyr523 are included in the S1 pocket; the residues Gln281, His353, Lys511, His513, and Tyr520 are included in the S2 pocket; and the Glu162 residue is included in S1′ pocket [35]. In the present study, SCCGY formed hydrogen bonds with Ala354 of S1 as well as Gln281 and His353 of S2 (Figure 3B). PICQF had hydrophobic contacts with Ala354 of S1 as well as His353 and His513 of S2 (Figure 4B). It was reported that Ala354 is an important residue of ACE, interacting with its inhibitor lisinopril [36]. This suggested the potential for ACE inhibition.
At last, the limitation of this study is that the present results were obtained by in silico proteolysis; real gastrointestinal digestion is involved in sequential digestion by enzymatic proteolysis (e.g., pepsin, trypsin, pancreatin, and other enzymes), which is a very complicated process; thus, a more detailed study on sequential digestion of protein hydrolysates is necessary. On the other hand, even the strongest peptide SCCGY (IC50 = 0.09883 mM) was weaker than captopril (IC50 = 0.017 mM), which is known as a potent, competitive inhibitor of ACE [37]. It is worth pointing out that comparing these IC50 values is not suitable if they are not obtained with same method and under same conditions. Nonetheless, these peptides deserve further study in vivo to confirm their activities due to the fact that food-derived peptides should be safer than chemical agents.
5. Conclusions
The present study developed a novel computational strategy to evaluate the potential of shellfish proteins for releasing ACE inhibitory peptides, and the results indicated that some proteins from razor clams or mussel could be a good source of ACE-binding peptides. Furthermore, some shellfish-derived oligopeptides with strong ACE-binding abilities were identified and validated. This suggests that marine shellfish proteins are a promising source of ACE inhibitory peptides and could be deemed as potential anti-hypertensive ingredients for dietary supplements and functional food.
Author Contributions
L.Y. performed the investigation, T.S. conducted the data analysis, K.W. conducted the validation and realized the visualization, Z.Y. revised the manuscript, and X.Z. wrote the manuscript. All authors have read and agreed to the published version of the manuscript.
Funding
This research was partly supported by The Program of The Department of Natural Resources of Guangdong Province, China (GDNRC [2021] 49).
Data Availability Statement
Data available on request.
Acknowledgments
The authors express thanks to Sibo Zhao for his help in the study.
Conflicts of Interest
The authors report no conflict of interest.
Ethical Statement
No animal experiments were involved.
References
- Ferreira-Santos, P.; Carron, R.; Recio, I.; Sevilla, M.Á.; Montero, M.J. Effects of milk casein hydrolyzate supplemented with phytosterols on hypertension and lipid profile in hypercholesterolemic hypertensive rats. J. Funct. Food 2017, 28, 168–176. [Google Scholar] [CrossRef]
- Aluko, R.E. Food protein-derived renin-inhibitory peptides: In vitro and in vivo properties. J. Food Biochem. 2019, 43, e12648. [Google Scholar] [CrossRef] [PubMed]
- Chen, Y.; Gao, X.; Wei, Y.; Liu, Q.; Jiang, Y.; Zhao, L.; Ulaah, S. Isolation, purification and the anti-hypertensive effect of a novel angiotensin I-converting enzyme (ACE) inhibitory peptide from Ruditapes philippinarum fermented with Ba-cillus natto. Food Funct. 2018, 9, 5230–5237. [Google Scholar] [CrossRef]
- Vercruysse, L.; Van Camp, J.; Smagghe, G. ACE inhibitory peptides derived from enzymatic hydrolysates of animal muscle protein: A review. J. Agric. Food Chem. 2005, 53, 8106–8115. [Google Scholar] [CrossRef] [PubMed]
- Aluko, R.E. Antihypertensive Peptides from Food Proteins. Ann. Rev. Food Sci. Technol. 2015, 6, 235–262. [Google Scholar] [CrossRef]
- Sheih, I.; Fang, T.; Wu, T. Isolation and characterisation of a novel angiotensin I-converting enzyme (ACE) inhibitory peptide from the algae protein waste. Food Chem. 2009, 115, 279–284. [Google Scholar] [CrossRef]
- Huang, J.; Liu, Q.; Xue, B.; Chen, L.; Wang, Y.; Ou, S.; Peng, X. Angiotensin-i-converting enzyme inhibitory activities and in vivo antihypertensive effects of sardine protein hydrolysate. J. Food Sci. 2016, 81, H2831–H2840. [Google Scholar] [CrossRef]
- Ngo, D.; Vo, T.; Ryu, B.; Kim, S. Angiotensin-I-converting enzyme (ACE) inhibitory peptides from Pacific cod skin gel-atin using ultrafiltration membranes. Process Biochem. 2016, 51, 1622–1628. [Google Scholar] [CrossRef]
- Ahn, C.B.; Jeon, Y.J.; Kim, Y.T.; Je, J.Y. Angiotensin I converting enzyme (ACE) inhibitory peptides from salmon byproduct protein hydrolysate by Alcalase hydrolysis. Process Biochem. 2012, 47, 2240–2245. [Google Scholar] [CrossRef]
- Vishkaei, M.S.; Ebrahimpour, A.; Abdul-Hamid, A.; Ismail, A.; Saari, N. Angiotensin-I converting enzyme (ACE) Inhibitory and anti-hypertensive effect of protein hydrolysate from actinopyga lecanora (sea cucumber) in rats. Mar. Drugs 2016, 14, 176. [Google Scholar] [CrossRef]
- Yu, F.; Zhang, Z.; Luo, L.; Zhu, J.; Huang, F.; Yang, Z.; Tang, Y.; Ding, G. Identification and Molecular Docking Study of a Novel Angiotensin-I Converting Enzyme Inhibitory Peptide Derived from Enzymatic Hydrolysates of Cyclina sinensis. Mar. Drugs. 2018, 16, 411. [Google Scholar] [CrossRef] [PubMed]
- Liu, P.; Lan, X.; Yaseen, M.; Wu, S.; Feng, X.; Zhou, L.; Sun, J.; Liao, A.; Liao, D.; Sun, L. Purification, Characterization and Evaluation of Inhibitory Mechanism of ACE Inhibitory Peptides from Pearl Oyster (Pinctada fucata martensii) Meat Protein Hydrolysate. Mar. Drugs. 2019, 17, 463. [Google Scholar] [CrossRef] [PubMed]
- Udenigwe, C.C. Bioinformatics approaches, prospects and challenges of food bioactive peptide research. Trends Food Sci. Tech. 2014, 36, 137–143. [Google Scholar] [CrossRef]
- Lafarga, T.; O’Connor, P.; Hayes, M. Identification of novel dipeptidyl peptidase-IV and angiotensin-I-converting enzyme inhibitory peptides from meat proteins using in silico analysis. Peptides 2014, 59, 53–62. [Google Scholar] [CrossRef] [PubMed]
- Fu, Y.; Young, J.F.; Løkke, M.M.; Lametsch, R.; Aluko, R.E.; Therkildsen, M. Revalorisation of bovine collagen as a potential precursor of angiotensin I-converting enzyme (ACE) inhibitory peptides based on in silico and in vitro protein digestions. J. Funct. Foods 2016, 24, 196–206. [Google Scholar] [CrossRef]
- Bleakley, S.; Hayes, M.; O’Shea, N.; Gallagher, E.; Lafarga, T. Predicted release and analysis of novel ACE-I, renin, and DPP-IV inhibitory peptides from common oat (Avena sativa) protein hydrolysates using in silico analysis. Foods 2017, 6, 108. [Google Scholar] [CrossRef]
- Yang, X.; Wang, K.; Liu, Q.; Zhang, X. Discovery of monoamine oxidase A inhibitory peptides from hairtail (Trichiurus japonicus) using in vitro simulated gastrointestinal digestion and in silico studies. Bioorg. Chem. 2020, 101, 104032. [Google Scholar] [CrossRef]
- Minkiewicz, P.; Iwaniak, A.; Darewicz, M. BIOPEP-UWM Database of Bioactive Peptides: Current Opportunities. Int. J. Mol. Sci. 2019, 20, 5978. [Google Scholar] [CrossRef]
- Zhou, P.; Jin, B.; Li, H.; Huang, S.Y. HPEPDOCK: A web server for blind peptide-protein docking based on a hierarchical al-gorithm. Nucleic Acids Res. 2018, 46, W443–W450. [Google Scholar] [CrossRef]
- Laskowski, R.A.; Swindells, M.B. LigPlot+: Multiple ligand-protein interaction diagrams for drug discovery. J. Chem. Inf. Model. 2011, 51, 2778–2786. [Google Scholar] [CrossRef]
- Wang, C.Y.; Liu, S.; Xie, X.N.; Tan, Z.R. Regulation profile of the intestinal peptide transporter 1 (PepT1). Drug Des. Dev. Ther. 2017, 11, 3511–3517. [Google Scholar] [CrossRef] [PubMed]
- Gleeson, J.P.; Brayden, D.J.; Ryan, S.M. Evaluation of PepT1 transport of food-derived antihypertensive peptides, Ile-Pro-Pro and Leu-Lys-Pro using in vitro, ex vivo and in vivo transport models. Eur. J. Pharm. Biopharm. 2017, 115, 276–284. [Google Scholar] [CrossRef] [PubMed]
- Chothe, P.; Singh, N.; Ganapathy, V. Evidence for two different broadspecificity oligopeptide transporters in intesti-nal cell line Caco-2 and colonic cell line CCD841. Am. J. Physiol. Cell Physiol. 2011, 300, C1260–C1269. [Google Scholar] [CrossRef] [PubMed]
- Chen, J.D.; Sun, S.S.; Li, Y.S.; Liu, R. Proteolysis of tilapia skin collagen: Identification and release behavior of ACE-inhibitory peptides. LWT Food Sci. Technol. 2021, 139, 110502. [Google Scholar] [CrossRef]
- Ding, Q.; Sheikh, A.R.; Chen, Q.; Hu, Y.; Sun, N.; Su, X.; Luo, L.; Ma, H.; He, R. Understanding the Mechanism for the Structure-Activity Relationship of Food-Derived ACEI Peptides. Food Rev. Int. 2021, 1936005. [Google Scholar] [CrossRef]
- Li, G.; Le, G.; Shi, Y.; Shrestha, S. Angiotensin I–converting enzyme inhibitory peptides derived from food proteins and their physiological and pharmacological effects. Nutr. Res. 2004, 24, 469–486. [Google Scholar] [CrossRef]
- Moskowitz, D.W. Is ‘somatic’ angiotensin I-converting enzyme a mechanosensor? Diabetes Technol. Ther. 2002, 4, 841–858. [Google Scholar] [CrossRef]
- Korhonen, H.; Pihlanto, A. Bioactive peptides: Production and functionality. Int. Dairy J. 2006, 16, 945–960. [Google Scholar] [CrossRef]
- Chen, F.; Ning, D.; Wang, Y.; Du, J.; Liu, F.; Zhao, L.; Cao, Y. Application and structure-activity relationship of antihy-pertensive peptides derived from milk protein. China Dairy Ind. 2015, 43, 29–33. [Google Scholar]
- Miralles, B.; Amigo, L.; Recio, I. Critical review and perspectives on food-derived antihypertensive peptides. J. Agric. Food Chem. 2018, 66, 9384–9390. [Google Scholar] [CrossRef]
- Je, J.-G.; Kim, H.-S.; Lee, H.-G.; Oh, J.-Y.; Lu, Y.A.; Wang, L.; Rho, S.; Jeon, Y.-J. Low-molecular weight peptides isolated from seahorse (Hippocampus abdominalis) improve vasodilation via inhibition of angiotensin-converting enzyme in vivo and in vitro. Process Biochem. 2020, 95, 30–35. [Google Scholar] [CrossRef]
- Kang, N.; Ko, S.C.; Kim, H.S.; Yang, H.W.; Ahn, G.; Lee, S.C.; Lee, T.G.; Lee, J.S.; Jeon, Y.J. Structural Evidence for Antihypertensive Effect of an Antioxidant Peptide Purified from the Edible Marine Animal Styela clava. J. Med. Food. 2020, 23, 132–138. [Google Scholar] [CrossRef] [PubMed]
- Wang, J.; Hu, J.; Cui, J.; Bai, X.; Du, Z.; Miyaguchi, Y.; Lin, B. Purification and identification of a ACE inhibitory peptide from oyster proteins hydrolysate and the antihypertensive effect of hydrolysate in spontaneously hypertensive rats. Food Chem. 2008, 111, 302–308. [Google Scholar] [CrossRef] [PubMed]
- Tsai, J.; Lin, T.; Chen, J.; Pan, B. The inhibitory effects of freshwater clam (Corbicula fluminea, Muller) muscle protein hy-drolysates on angiotensin I converting enzyme. Process Biochem. 2006, 41, 2276–2281. [Google Scholar] [CrossRef]
- Regulska, K.; Stanisz, B.; Regulski, M.; Murias, M. How to design a potent, specific, and stable angiotensin-converting enzyme inhibitor. Drug Discov. Today 2014, 19, 1731–1743. [Google Scholar] [CrossRef]
- Jimsheena, V.; Gowda, L.R. Arachin derived peptides as selective angiotensin I-converting enzyme (ACE) inhibitors: Structure−activity relationship. Peptides 2010, 31, 1165–1176. [Google Scholar] [CrossRef]
- Bravo, R.K.D.; Angelia, M.R.N.; Uy, L.Y.C.; Garcia, R.N.; Torio, M.A.O. Isolation, purification and characterization of the antibac-terial, antihypertensive and antioxidative properties of the bioactive peptides in the purified and proteolyzed major storage protein of pigeon pea (Cajanus cajan) seeds. Food Chem. 2021, 4, 100062. [Google Scholar]
Disclaimer/Publisher’s Note: The statements, opinions and data contained in all publications are solely those of the individual author(s) and contributor(s) and not of MDPI and/or the editor(s). MDPI and/or the editor(s) disclaim responsibility for any injury to people or property resulting from any ideas, methods, instructions or products referred to in the content. |
© 2023 by the authors. Licensee MDPI, Basel, Switzerland. This article is an open access article distributed under the terms and conditions of the Creative Commons Attribution (CC BY) license (https://creativecommons.org/licenses/by/4.0/).



