Classification of Mineral Foam Flotation Conditions Based on Multi-Modality Image Fusion
Abstract
1. Introduction
2. Methods
2.1. Foam Image Fusion
2.1.1. Non-Subsampled Shearlet Transform (NSST)
2.1.2. Parameter Adaptive Pulse Coupled Neural Network (PAPCNN)
2.1.3. Fusion Rules Based on Image Quality Detection
2.2. Image Classification Based on CNN-PCA-SVM
3. Results
3.1. Algorithm Flow
3.2. Experimental Data
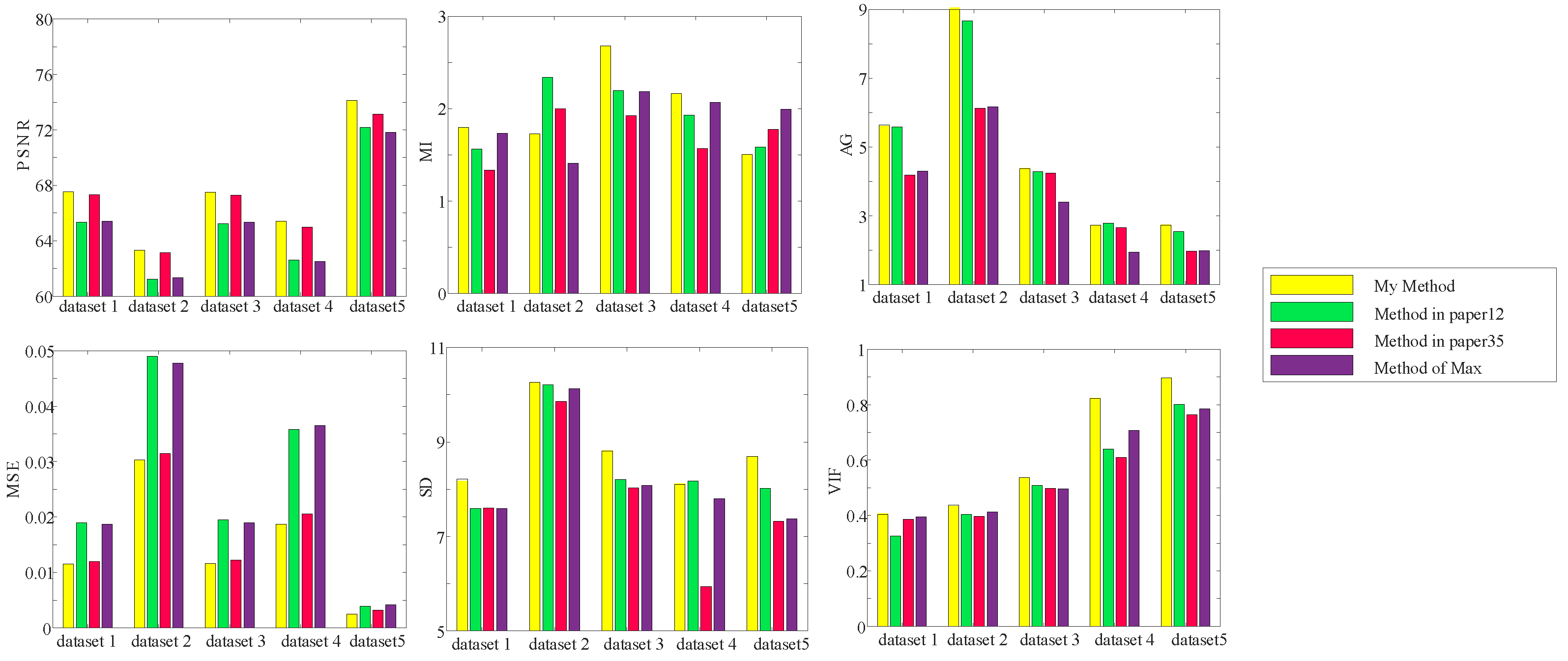
3.2.1. Image Fusion
3.2.2. Image Classification
4. Conclusions and Future Directions
Author Contributions
Funding
Data Availability Statement
Conflicts of Interest
References
- Gui, W.; Yang, C.; Xu, D.-G.; Lu, M.; Xie, Y. Machine-vision-based Online Measuring and Controlling Technologies for Mineral Flotation—A Review. Acta Autom. Sin. 2013, 39, 1879–1888. [Google Scholar] [CrossRef]
- Moolman, D.W.; Aldrich, C.; Van Deventer, J.S.J.; Stange, W.W. Digital image processing as a tool for on-line monitoring of froth in flotation plants. Miner. Eng. 1994, 7, 1149–1164. [Google Scholar] [CrossRef]
- Lu, M.; Gui, W.H.; Peng, T.; Xie, Y.F. Equivalent size distribution feature extraction of flotation froth image. Control. Decis. 2015, 30, 131–136. [Google Scholar]
- Li, Z.; Gui, W.; Zhu, J. Fault detection in flotation processes based on deep learning and support vector machine. J. Cent. South Univ. 2019, 26, 2504–2515.1. [Google Scholar] [CrossRef]
- Morar, S.H.; Bradshaw, D.J.; Harris, M.C. The use of the froth surface lamellae burst rate as a flotation froth stability measurement. Miner. Eng. 2012, 36, 152–159. [Google Scholar] [CrossRef]
- Zhang, J.; Liao, Y.; Chen, S.; Wang, W. Floatation Dosing State Recognition Based on Multiscale CNN Features and RAE-KELM. Laser Optoelectron. Prog. 2021, 58, 417–426. [Google Scholar]
- Ma, J.; Ma, Y.; Li, C. Infrared and visible image fusion methods and applications: A survey. Inf. Fusion 2019, 45, 153–178. [Google Scholar] [CrossRef]
- Fernandez-Beltran, R.; Haut, J.M.; Paoletti, M.E.; Plaza, J.; Plaza, A.; Pla, F. Remote Sensing Image Fusion Using Hierarchical Multimodal Probabilistic Latent Semantic Analysis. IEEE J. Sel. Top. Appl. Earth Obs. Remote Sens. 2019, 11, 4982–4993. [Google Scholar] [CrossRef]
- Singh, R.; Vatsa, M.; Noore, A. Integrated multilevel image fusion and match score fusion of visible and infrared face images for robust face recognition. Pattern Recognit. 2008, 41, 880–893. [Google Scholar] [CrossRef]
- Liu, Y.; Chen, X.; Wang, Z.; Wang, Z.J.; Ward, R.K.; Wang, X. Deep learning for pixel-level image fusion: Recent advances and future prospects. Inf. Fusion 2018, 42, 158–173. [Google Scholar] [CrossRef]
- Kumar, P.; Mittal, A.; Kumar, P. Fusion of Thermal Infrared and Visible Spectrum Video for Robust Surveillance; Springer: Berlin/Heidelberg, Germany, 2006; pp. 528–539. [Google Scholar]
- Liu, Y.; Liu, S.; Wang, Z. A general framework for image fusion based on multi-scale transform and sparse representation. Inf. Fusion 2015, 24, 147–164. [Google Scholar] [CrossRef]
- Li, H.; Manjunath, B.; Mitra, S. Multisensor Image Fusion Using the Wavelet Transform. Graph. Model. Image Process. 1995, 57, 235–245. [Google Scholar] [CrossRef]
- Do, M.N.; Vetterli, M. The contourlet transform: An efficient directional multiresolution image representation. IEEE Trans. Image Process. A Publ. IEEE Signal Process. Soc. 2005, 14, 2091–2106. [Google Scholar] [CrossRef]
- Zhang, Q.; Guo, B. Multifocus image fusion using the nonsubsampled contourlet transform. Signal Process. 2009, 89, 1334–1346. [Google Scholar] [CrossRef]
- Gao, G.; Xu, L.; Feng, D. Multi-focus image fusion based on non-subsampled shearlet transform. IET Image Process. 2013, 7, 633–639. [Google Scholar]
- Eckhorn, R.; Reitboeck, H.J.; Arndt, M.T.; Dicke, P. Feature Linking via Synchronization among Distributed Assemblies: Simulations of Results from Cat Visual Cortex. Neural Comput. 2014, 2, 293–307. [Google Scholar] [CrossRef]
- Yin, M.; Liu, X.; Liu, Y.; Chen, X. Medical Image Fusion With Parameter-Adaptive Pulse Coupled Neural Network in Nonsubsampled Shearlet Transform Domain. IEEE Trans. Instrum. Meas. 2019, 68, 49–64. [Google Scholar] [CrossRef]
- Chen, Y.; Park, S.K.; Ma, Y.; Ala, R. A new automatic parameter setting method of a simplified PCNN for image segmentation. IEEE Trans. Neural Netw. 2011, 22, 880–892. [Google Scholar] [CrossRef]
- Liu, W.; Lu, M.; Wang, F.; Wang, Y. Extraction of Textural Feature and Recognition of Coal Flotation Forth. CIESC J. 2003, 830–835. Available online: https://kns.cnki.net/kcms2/article/abstract?v=3uoqIhG8C44YLTlOAiTRKgchrJ08w1e7ZCYsl4RS_3i2FXAmiHbArp5T3rBRxOFO-FKDw_byrUbXt_3qgLxiKUMvj38ZwLPQ&uniplatform=NZKPT (accessed on 5 March 2023).
- Patel, A.K.; Chatterjee, S.; Gorai, A.K. Development of a machine vision system using the support vector machine regression (SVR) algorithm for the online prediction of iron ore grades. Earth Sci. Inform. 2019, 12, 197–210. [Google Scholar] [CrossRef]
- Guyon, I.; Weston, J.; Barnhill, S.; Vapnik, V. Gene Selection for Cancer Classification using Support Vector Machines. Mach. Learn. 2002, 46, 389–422. [Google Scholar] [CrossRef]
- Kale, A.P.; Wahul, R.M.; Patange, A.D.; Soman, R.; Ostachowicz, W. Development of Deep Belief Network for Tool Faults Recognition. Sensors 2023, 23, 1872. [Google Scholar] [CrossRef]
- Nahiduzzaman, M.; Goni, M.O.F.; Anower, M.S.; Islam, M.R.; Ahsan, M.; Haider, J.; Gurusamy, S.; Hassan, R.; Islam, M.R. A Novel Method for Multivariant Pneumonia Classification Based on Hybrid CNN-PCA Based Feature Extraction Using Extreme Learning Machine with CXR Images. IEEE Access 2021, 9, 147512–147526. [Google Scholar] [CrossRef]
- Simonyan, K.; Zisserman, A. Very Deep Convolutional Networks for Large-Scale Image Recognition. Comput. Sci. 2014. Available online: https://arxiv.org/abs/1409.1556 (accessed on 5 March 2023).
- Shafiq, M.; Gu, Z. Deep Residual Learning for Image Recognition: A Survey. Appl. Sci. 2022, 12, 8972. [Google Scholar] [CrossRef]
- Wagner, S.A. SAR ATR by a combination of convolutional neural network and support vector machines. IEEE Trans. Aerosp. Electron. Syst. 2016, 52, 2861–2872. [Google Scholar] [CrossRef]
- Easley, G.; Labate, D.; Lim, W.Q. Sparse directional image representations using the discrete shearlet transform. Appl. Comput. Harmon. Anal. 2007, 25, 25–46. [Google Scholar] [CrossRef]
- Pacifici, F.; Del Frate, F. Automatic Change Detection in Very High Resolution Images with Pulse-Coupled Neural Networks. IEEE Geosci. Remote Sens. Lett. 2010, 7, 58–62. [Google Scholar] [CrossRef]
- Wang, Z.; Ma, Y.; Cheng, F.; Yang, L. Review of pulse-coupled neural networks. Image Vis. Comput. 2009, 28, 5–13. [Google Scholar] [CrossRef]
- Guan, S.; Zhang, Y.; Tian, Z. Research on Human Behavior Recognition based on Deep Neural Network. In Proceedings of the 3rd International Conference on Mechatronics Engineering and Information Technology(ICMEIT 2019), Dalian, China, 29–30 March 2019; pp. 793–797, Analysis and Extension of the PCA Method. [Google Scholar]
- Catanzaro, B.; Sundaram, N.; Keutzer, K. Fast support vector machine training and classification on graphics processors. In Proceedings of the 25th International Conference on Machine Learning, Helsinki, Finland, 5–9 July 2008; pp. 104–111. [Google Scholar]
- Kramar, V.A.; Alchakov, V.V.; Dushko, V.R.; Kramar, T.V. Application of support vector machine for prediction and classification. J. Phys. Conf. Ser. 2018, 1015, 032070. [Google Scholar] [CrossRef]
- Jiang, X.; Liu, J.; Wang, L.; Lei, B.; Hu, M. Flotation condition recognition based on multi-scale convolutional neural network and LBP algorithm. J. Min. Sci. Technol. 2023, 8, 202–212. [Google Scholar]
- Ng, H.W.; Nguyen, V.D.; Vonikakis, V.; Winkler, S. Deep Learning for Emotion Recognition on Small Datasets Using Transfer Learning. In Proceedings of the 2015 ACM on International Conference on Multimodal Interaction, Seattle, WA, USA; pp. 443–449. Available online: https://dl.acm.org/doi/10.1145/2818346.2830593 (accessed on 5 March 2023).
- Chen, J.; Li, X.; Luo, L.; Mei, X.; Ma, J. Infrared and visible image fusion based on target-enhanced multiscale transform decomposition. Inf. Sci. 2020, 508, 64–78. [Google Scholar] [CrossRef]
- Bajaj Naman, S.; Patange Abhishek, D.; Jegadeeshwaran, R.; Pardeshi Sujit, S.; Kulkarni Kaushal, A.; Ghatpande Rohan, S. Application of metaheuristic optimization based support vector machine for milling cutter health monitoring. Intell. Syst. Appl. 2023, 18. Available online: https://www.sciencedirect.com/science/article/pii/S2667305323000212 (accessed on 5 March 2023).
- Fu, Y.; Aldrich, C. Froth image analysis by use of transfer learning and convolutional neural networks. Miner. Eng. 2018, 115, 68–78. [Google Scholar] [CrossRef]
- Wang, X.; Chen, S.; Yang, C.; Xie, Y. Process working condition recognition based on the fusion of morphological and pixel set features of froth for froth flotation. Miner. Eng. 2018, 128, 17–26. [Google Scholar] [CrossRef]
- Fu, Y.; Aldrich, C. Flotation froth image recognition with convolutional neural networks. Miner. Eng. 2019, 132, 183–190. [Google Scholar] [CrossRef]
- Patange, A.D.; Pardeshi, S.S.; Jegadeeshwaran, R.; Zarkar, A.; Verma, K. Augmentation of Decision Tree Model Through Hyper-Parameters Tuning for Monitoring of Cutting Tool Faults Based on Vibration Signatures. J. Vib. Eng. Technol. 2022, 22, 781–789. [Google Scholar] [CrossRef]
















| Number of Decomposition Sub-Bands | The Direction Number of Each Level |
|---|---|
| 1 | 16 |
| 2 | 16, 16 |
| 3 | 16, 16, 8 |
| 4 | 16, 16, 8, 8 |
| Type | Precision | Recall | F1 | Accuracy (%) |
|---|---|---|---|---|
| Overflow | 0.97 | 0.88 | 0.92 | - |
| Normal | 0.91 | 0.95 | 0.93 | - |
| Sinking | 0.94 | 0.98 | 0.96 | - |
| Average | 0.94 | 0.94 | 0.94 | 93.7 |
| Type | Precision | Recall | F1 | Accuracy (%) |
|---|---|---|---|---|
| Overflow | 0.98 | 0.93 | 0.95 | - |
| Normal | 0.94 | 0.97 | 0.95 | - |
| Sinking | 0.96 | 0.98 | 0.97 | - |
| Average | 0.96 | 0.96 | 0.96 | 95.9 |
| Type | Precision | Recall | F1 | Accuracy (%) |
|---|---|---|---|---|
| Overflow | 0.97 | 0.88 | 0.92 | - |
| Normal | 0.90 | 0.96 | 0.93 | - |
| Sinking | 0.96 | 0.98 | 0.97 | - |
| Average | 0.94 | 0.94 | 0.94 | 94.2 |
| Type | Precision | Recall | F1 | Accuracy (%) |
|---|---|---|---|---|
| Overflow | 0.92 | 0.90 | 0.91 | - |
| Normal | 0.90 | 0.92 | 0.91 | - |
| Sinking | 0.96 | 0.95 | 0.95 | - |
| Average | 0.93 | 0.92 | 0.92 | 92.3 |
| Type | Running Time (sec) |
|---|---|
| 10-fold cross-validation mode | 7064 |
| Training dataset | 3405 |
| Testing dataset | 203 |
| Blind dataset | 216 |
Disclaimer/Publisher’s Note: The statements, opinions and data contained in all publications are solely those of the individual author(s) and contributor(s) and not of MDPI and/or the editor(s). MDPI and/or the editor(s) disclaim responsibility for any injury to people or property resulting from any ideas, methods, instructions or products referred to in the content. |
© 2023 by the authors. Licensee MDPI, Basel, Switzerland. This article is an open access article distributed under the terms and conditions of the Creative Commons Attribution (CC BY) license (https://creativecommons.org/licenses/by/4.0/).
Share and Cite
Jiang, X.; Zhao, H.; Liu, J. Classification of Mineral Foam Flotation Conditions Based on Multi-Modality Image Fusion. Appl. Sci. 2023, 13, 3512. https://doi.org/10.3390/app13063512
Jiang X, Zhao H, Liu J. Classification of Mineral Foam Flotation Conditions Based on Multi-Modality Image Fusion. Applied Sciences. 2023; 13(6):3512. https://doi.org/10.3390/app13063512
Chicago/Turabian StyleJiang, Xiaoping, Huilin Zhao, and Junwei Liu. 2023. "Classification of Mineral Foam Flotation Conditions Based on Multi-Modality Image Fusion" Applied Sciences 13, no. 6: 3512. https://doi.org/10.3390/app13063512
APA StyleJiang, X., Zhao, H., & Liu, J. (2023). Classification of Mineral Foam Flotation Conditions Based on Multi-Modality Image Fusion. Applied Sciences, 13(6), 3512. https://doi.org/10.3390/app13063512
