Development of a Fully Compliant Bistable Mechanism Based on Circular Beams with Enhanced Pitch Stiffness
Abstract
:1. Introduction
1.1. Background
1.2. Motivation
1.3. Contributions
2. CBBM Design
3. Kinetostatic Model
3.1. CBCM for Circular Beams
3.2. CBCM of Three-Stage CBBM
4. Finite Element Simulations
4.1. Simulation Results
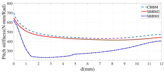
4.2. Finite Element Simulation for Pitch Stiffness
5. Experiments
5.1. Force–Displacement Relationship
5.2. Anti−Torsion Test
5.3. Discussion
6. Conclusions
Author Contributions
Funding
Institutional Review Board Statement
Informed Consent Statement
Data Availability Statement
Acknowledgments
Conflicts of Interest
Abbreviations
| SBBM | Straight-beam bistable mechanism |
| CBBM | Circular-beam bistable mechanism |
| BCM | Beam constraint model |
| CBCM | Chain-beam constraint model |
References
- Kirmse, S.; Campanile, L.F.; Hasse, A. Synthesis of compliant mechanisms with selective compliance–An advanced procedure. Mech. Mach. Theory 2021, 157, 104184. [Google Scholar] [CrossRef]
- Medina, L.; Gilat, R.; Krylov, S. Bistable behavior of electrostatically actuated initially curved micro plate. Sens. Actuators Phys. 2016, 248, 193–198. [Google Scholar] [CrossRef]
- Liu, M.; Wu, X.; Niu, Y.; Yang, H.; Zhu, Y.; Wang, W. Research Progress of MEMS Inertial Switches. Micromachines 2022, 13, 359. [Google Scholar] [CrossRef]
- Chang, P.L.; Chi, I.T.; Tran, N.D.K.; Wang, D.A. Design and modeling of a compliant gripper with parallel movement of jaws. Mech. Mach. Theory 2020, 152, 103942. [Google Scholar] [CrossRef]
- Mouazé, N.; Birglen, L. Bistable compliant underactuated gripper for the gentle grasp of soft objects. Mech. Mach. Theory 2022, 170, 104676. [Google Scholar] [CrossRef]
- Chen, K.; Ding, X.; Tian, L.; Shen, H.; Song, R.; Bian, Y.; Yang, Q. An M- shaped buckled beam for enhancing nonlinear energy harvesting. Mech. Syst. Signal Process. 2023, 188, 110066. [Google Scholar] [CrossRef]
- Fan, Y.; Ghayesh, M.H.; Lu, T.F.; Amabili, M. Design, development, and theoretical and experimental tests of a nonlinear energy harvester via piezoelectric arrays and motion limiters. Int. J. Non-Linear Mech. 2022, 142, 103974. [Google Scholar] [CrossRef]
- Li, B.; Jiang, L.; Ma, W.; Zhang, Y.; Sun, W.; Chen, G. A Switchable Dual-Mode Actuator Enabled by Bistable Structure. Adv. Intell. Syst. 2022, 4, 2100188. [Google Scholar] [CrossRef]
- Kadic, M.; Milton, G.W.; van Hecke, M.; Wegener, M. 3D metamaterials. Nat. Rev. Phys. 2019, 1, 198–210. [Google Scholar] [CrossRef]
- Cai, C.; Zhou, J.; Wang, K.; Pan, H.; Tan, D.; Xu, D.; Wen, G. Flexural wave attenuation by metamaterial beam with compliant quasi-zero-stiffness resonators. Mech. Syst. Signal Process. 2022, 174, 109119. [Google Scholar] [CrossRef]
- Ma, F.; Chen, G. Influence of non-ideal fixed-end constraints on kinetostatic behaviors of compliant bistable mechanisms. Mech. Mach. Theory 2019, 133, 267–277. [Google Scholar] [CrossRef]
- Han, Q.; Jin, K.; Chen, G.; Shao, X. A novel fully compliant tensural-compresural bistable mechanism. Sens. Actuators A Phys. 2017, 268, 72–82. [Google Scholar] [CrossRef]
- Chen, G.; Du, Y. Double-Young tristable mechanisms. J. Mech. Robot. 2013, 5, 011007. [Google Scholar] [CrossRef]
- Chi, I.T.; Ngo, T.H.; Chang, P.L.; Tran, N.D.K.; Wang, D.A. Design of a bistable mechanism with B-spline profiled beam for versatile switching forces. Sens. Actuators A Phys. 2019, 294, 173–184. [Google Scholar] [CrossRef]
- Cherry, B.B.; Howell, L.L.; Jensen, B.D. Evaluating three-dimensional effects on the behavior of compliant bistable micromechanisms. J. Micromech. Microeng. 2008, 18, 095001. [Google Scholar] [CrossRef]
- Hansen, B.; Carron, C.; Jensen, B.; Hawkins, A.; Schultz, S. Plastic latching accelerometer based on bistable compliant mechanisms. Smart Mater. Struct. 2007, 16, 1967. [Google Scholar] [CrossRef]
- Van Tran, H.; Ngo, T.H.; Chang, P.L.; Chi, I.T.; Tran, N.D.K.; Wang, D.A. A threshold gyroscope based on a bistable mechanism. Mechatronics 2019, 63, 102280. [Google Scholar] [CrossRef]
- Chen, G.; Wu, H.; Li, B.; Wang, M.Y. Fully compliant bistable mechanisms with enhanced pitch stiffness. Mech. Syst. Signal Process. 2021, 161, 107926. [Google Scholar] [CrossRef]
- Camescasse, B.; Fernandes, A.; Pouget, J. Bistable buckled beam: Elastica modeling and analysis of static actuation. Int. J. Solids Struct. 2013, 50, 2881–2893. [Google Scholar] [CrossRef]
- Holst, G.L.; Teichert, G.H.; Jensen, B.D. Modeling and experiments of buckling modes and deflection of fixed-guided beams in compliant mechanisms. J. Mech. Des. 2011, 133, 051002. [Google Scholar] [CrossRef]
- Huang, Y.; Zhao, J.; Liu, S. Design optimization of segment-reinforced bistable mechanisms exhibiting adjustable snapping behavior. Sens. Actuators A Phys. 2016, 252, 7–15. [Google Scholar] [CrossRef]
- Zhang, H.; Zhang, X.; Zhu, B.; Wang, R.; Li, H. Design and analysis of corrugated flexure-based lamina emergent spatial joints for symmetrical compliant kaleidocycles. Mech. Mach. Theory 2022, 167, 104525. [Google Scholar] [CrossRef]
- Lee, Y.; Jeong, S.; Yoo, H.H. Modeling for transient and modal analysis of a flexible beam attached to a rigid shaft undergoing free rotational motion considering two-way inertia coupling. J. Sound Vib. 2023, 543, 117362. [Google Scholar] [CrossRef]
- Hao, G.; Mullins, J. On the comprehensive static characteristic analysis of a translational bistable mechanism. Proc. Inst. Mech. Eng. Part C: J. Mech. Eng. Sci. 2016, 230, 3803–3817. [Google Scholar] [CrossRef]
- Cao, Y.; Derakhshani, M.; Fang, Y.; Huang, G.; Cao, C. Bistable structures for advanced functional systems. Adv. Funct. Mater. 2021, 31, 2106231. [Google Scholar] [CrossRef]
- Sen, S.; Awtar, S. A closed-form nonlinear model for the constraint characteristics of symmetric spatial beams. J. Mech. Des. 2013, 135, 031003. [Google Scholar] [CrossRef]
- Chen, G.; Ma, F.; Hao, G.; Zhu, W. Modeling large deflections of initially curved beams in compliant mechanisms using chained beam constraint model. J. Mech. Robot. 2019, 11, 011002. [Google Scholar] [CrossRef]
- Ma, F.; Chen, G. Modeling large planar deflections of flexible beams in compliant mechanisms using chained beam-constraint-model. J. Mech. Robot. 2016, 8, 021018. [Google Scholar] [CrossRef]


















| Parameter | CBBM | SBBM1 | SBBM2 |
|---|---|---|---|
| 4 | 4 | 4 | |
| W | 6 mm | 6 mm | 6 mm |
| 10.5 mm | 10.4 mm | 10.5 mm | |
| 10.5 mm | 10.4 mm | 10.5 mm | |
| 10.5 mm | 10.4 mm | 10.5 mm | |
| 20.8 | 12.1 | 17.6 | |
| 2.8 | 12.1 | 11.87 | |
| 9 | 12.1 | 5.87 | |
| 6 | - | - | |
| = | 1 mm | 1 mm | 1 mm |
| 4 mm | 4 mm | 4 mm | |
| D | 200 mm | 200 mm | 200 mm |
| Pitch Stiffness (N · mm)/Rad | FEA | Experiment | ||
|---|---|---|---|---|
| Initial Position | Second Position | Initial Position | Second Position | |
| CBBM | 698.3 | 481.1 | 744.2 | 489.9 |
| SBBM1 | 607.0 | 363.9 | 621.2 | 382.3 |
| SBBM2 | 634.2 | 426.3 | 645.7 | 439.2 |
Disclaimer/Publisher’s Note: The statements, opinions and data contained in all publications are solely those of the individual author(s) and contributor(s) and not of MDPI and/or the editor(s). MDPI and/or the editor(s) disclaim responsibility for any injury to people or property resulting from any ideas, methods, instructions or products referred to in the content. |
© 2023 by the authors. Licensee MDPI, Basel, Switzerland. This article is an open access article distributed under the terms and conditions of the Creative Commons Attribution (CC BY) license (https://creativecommons.org/licenses/by/4.0/).
Share and Cite
Yan, L.; Lu, S.; Liu, P. Development of a Fully Compliant Bistable Mechanism Based on Circular Beams with Enhanced Pitch Stiffness. Appl. Sci. 2023, 13, 1642. https://doi.org/10.3390/app13031642
Yan L, Lu S, Liu P. Development of a Fully Compliant Bistable Mechanism Based on Circular Beams with Enhanced Pitch Stiffness. Applied Sciences. 2023; 13(3):1642. https://doi.org/10.3390/app13031642
Chicago/Turabian StyleYan, Liangliang, Shuaishuai Lu, and Pengbo Liu. 2023. "Development of a Fully Compliant Bistable Mechanism Based on Circular Beams with Enhanced Pitch Stiffness" Applied Sciences 13, no. 3: 1642. https://doi.org/10.3390/app13031642
APA StyleYan, L., Lu, S., & Liu, P. (2023). Development of a Fully Compliant Bistable Mechanism Based on Circular Beams with Enhanced Pitch Stiffness. Applied Sciences, 13(3), 1642. https://doi.org/10.3390/app13031642

