High-Dimensional Mapping Entropy Method and Its Application in the Fault Diagnosis of Reciprocating Compressors
Abstract
:1. Introduction
2. Review of Sample Entropy (SE)
- (1)
- Reconstruct the time series in phase space in m dimensions:
- (2)
- Define the maximum in the absolute value as the Chebyshev distance between the two vectors :
- (3)
- Preset the value of similarity tolerance , count the number of all vectors whose Chebyshev distance is less than , and ratio this number of vectors to the total number of distances N − m − 1 to obtain the ratio :
- (4)
- Calculate the average of :
- (5)
- Increase the reconstruction dimension to m + 1 and repeat the above steps, thus obtaining :
- (6)
- Finally, calculate the sample entropy of the time series:
3. High-Dimensional Mapping Entropy
3.1. High-Dimensional Mapping Theory
3.1.1. Kernel Function Selection
- (1)
- Linear kernel function: Linear kernel functions are straightforward and map input vectors directly into higher-dimensional spaces. They are suitable for effectively handle linearly separable problems and data that exhibit strong linear correlations;
- (2)
- Polynomial kernel function: Polynomial kernel functions introduce non-linearity by calculating polynomial combinations of input vectors. To some extent, non-linear relations can be handled. However, the application of the polynomial kernel function needs to be determined in advance, as using too high of an order can lead to overfitting problems;
- (3)
- Gaussian (RBF) kernel function: Gaussian kernel functions are one of the most commonly used and versatile kernel functions. They are based on the concept of a Gaussian distribution and maps input vectors to infinite-dimensional feature spaces. Gaussian kernel functions have excellent non-linear modelling capabilities and can adapt well to various data distributions.
- Take any samples in the dimensional sample space
- Using non-linear mapping , map the samples in the original space to the feature space after the samples are .The inner product of two functions in the eigenspace is a binary function that is reproducible when its kernel matrix is a semi-positive definite matrix [26]:
3.1.2. Distance Measure of High-Dimensional Mapping Entropy
- (1)
- The Euclidean distance, being the most commonly used distance measurement, quantifies the straight-line separation between two points. It effectively preserves the geometric characteristics of data in a high-dimensional space, making it an ideal choice for evaluating continuous features;
- (2)
- The Manhattan distance neglects the correlation between the variables, instead concentrating solely on the aggregation of discrepancies. This can result in inaccurate representation of true differences in the data;
- (3)
- The Mahalanobis distance can produce unreliable results when the covariance matrix of the data is computationally unstable or difficult to estimate. In addition, the computational complexity of the procedure increases significantly in high-dimensional datasets;
- (4)
- The Chebyshev distance measures the difference between vectors by calculating their maximum difference in each dimension. The distance calculation potentially overlooks correlation in other dimensions, thereby neglecting critical information across multiple dimensions.
3.1.3. Determination of Similarity Tolerance for High-Dimensional Mapping Entropy
3.2. High-Dimensional Mapping Entropy Algorithm
- (1)
- For a given N point time series with a pre-determined embedding dimension , perform m-dimensional reorganization to obtain an vector:
- (2)
- Map the recombinant vector samples to a high-dimensional kernel space using non-linear mapping based on the kernel method.
- (3)
- To calculate the Chebyshev distance between two vectors and ′ in a high-dimensional space , we need to determine the absolute difference between the corresponding elements of the two vectors:
- (4)
- Pre-set the value of the similarity tolerance and count the of the number of distances, denoted as , and compare this result with the total number of distances to obtain the ratio :
- (5)
- Calculate the above of of the above, denoted as :
- (6)
- Repeat the above steps 1–5 when increasing the reconstruction dimension to m + 1, and similarly obtain :
- (7)
- This results in the high-dimensional mapping entropy of this time series:
3.3. Simulated Signal Analysis
3.4. Parameter Discussion
- (1)
- Embedded dimension m: This parameter defines the number of points in time to consider when reconstructing the phase space. Bearing fault signals often contain multiple dynamic behaviors, so m is needed to capture these complexities. Increasing m provides more information for sequence reconstruction but at the cost of reduced computational efficiency. Selecting a small value of m may result in insufficient data length and potential loss of important information. As per the literature, in this paper it is set as m = 2;
- (2)
- Similarity tolerance r is utilised to assess the level of similarity between two vectors. An appropriate r can help distinguish between normal and faulty dynamics. In scenarios where r is small, the entropy findings are prone to noise interference, and the statistical effect is insufficient. Conversely, if r is large, the detailed information of the time series can be forfeited. Generally, r is taken as 0.1 SD–0.25 SD; in this paper, it is taken as r = 0.15 SD;
- (3)
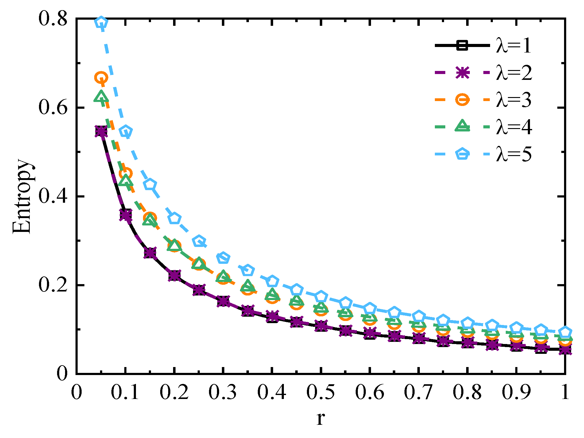
- Time delay : The degree to which a time series is sampled is determined by , which affects the MHDME measure of signal complexity. As shown in Figure 5, if the λ becomes too large, it will lead to the loss of characteristic features in the time series and distortion of the sampled data. The time delay needs to be selected according to the sampling frequency of the signal and the fault characteristics of interest to ensure that the fault characteristics are effectively captured. It is generally taken as = 1;
- (4)
- Data length N: The data length represents the operating state of the bearing. The data length needs to be sufficient to cover the entire cycle of bearing failure development. Comparing the entropy of mixed signals with different lengths N is shown in Figure 6. The analysis indicates that the multi-scale high-dimensional mapping entropy is consistent with different values of N, and the signal length requirement is low;
- (5)
- Scale factor : This determines the granularity of the signal complexity analysis. For bearing fault signals, different scales may highlight different fault characteristics. From N = , m = 2, so N , the scale factor has a small effect on the entropy; in this paper, it is set as = 20;
- (6)
- The value of the kernel parameter sigma affects the distance between reconstructed vectors, and if it is too large or too small it will lead to inaccuracy when calculating the spacing. The determined kernel parameters should be able to distinguish between signal fluctuations under normal operating conditions and signal changes caused by failures. In this paper, we take the Gaussian kernel parameter as = 0.05 and the polynomial kernel values as d = 2 and = 1.
4. Multi-Scale High-Dimensional Mapping Entropy (MHDME)
4.1. Refined Composite Multi-Scale Studies
4.1.1. Multi-Scale High-Dimensional Mapping Entropy
- (1)
- Pre-set the original sequence with r, m, and N to create a new coarse-grained sequence:
- (2)
- Calculate the high-dimensional mapping entropy for each coarse-grained sequence to obtain the variation of the multi-scale high-dimensional mapping entropy with increasing scale factor:
4.1.2. Refined Composite Multi-Scale High-Dimensional Mapping Entropy (RCMHDME)
- (1)
- The Equation (26) is used to preprocess the original time series and obtain a coarse-grained time series of :
- (2)
- Given a statistically determined scale factor , under which all coarse-grained time series satisfy the conditional vector pair and .
- (3)
- Calculate the mean , of individual and , respectively. To log the ratio of to , define RCMHDME:
4.2. Simulation Comparative Analysis
5. Application for Reciprocating Compressor
5.1. Feature Extraction Method
- (1)
- Signal adaptive decomposition processing
- (2)
- Characteristic component screening and reconstructing signals
- (3)
- Computing MHDME to construct the set of feature matrices
- (4)
- Intelligent optimization
- (5)
- Support vector machine pattern recognition
5.2. Reciprocating Compressor Bearing Clearance Failure Experimental Study
5.3. Application for Reciprocating Compressor Fault Diagnosis
5.3.1. Vibration Signal Preprocessing of Different States
5.3.2. Fault Principal Component Selection in Different States
5.3.3. Calculate the Different Entropies in the Three States
5.3.4. Intelligent Preference of Features for Different States
5.3.5. Support Vector Machine Pattern Recognition Results
6. Conclusions
- (1)
- HDME, grounded in the noise reduction theory of high-dimensional space mapping, aims to effectively mitigate the issue of traditional entropy’s abrupt changes. It integrates sample entropy vector distance measurement steps to achieve efficient vector differentiation in high-dimensional spaces. When applied to simulated signals, the method exhibits a smooth transition with similarity tolerance and demonstrates strong performance in terms of parameter consistency and sensitivity. By introducing the scale factor, the MHDME is proposed, and the RCMHDME is proposed by integrating the refined composite multi-scale criteria. Simulation results indicate that RCMHDME exhibits low sensitivity to parameters, smaller entropy error bars, and improved stability;
- (2)
- The state feature extraction strategy for MHDME is constructed to achieve the identification and diagnosis of different fault state types. The VMD method is used for preprocessing to quantitatively describe the state signals in terms of MHDME and construct the feature set. The LS intelligent algorithm is used to perform feature preference, form feature vectors, and combine with SVM to achieve complete fault feature extraction and diagnosis;
- (3)
- The MHDME method has been applied to extract features from vibration signals of reciprocating compressors experiencing three bearing clearance fault states. The results show that the single fault diagnosis recognition rate and average recognition rate using the MHDME method are the highest among the three methods, and the variance value is the smallest. Therefore, this study confirms the proposed method’s authenticity and reliability in detecting bearing clearance faults within reciprocating compressors.
Author Contributions
Funding
Institutional Review Board Statement
Informed Consent Statement
Data Availability Statement
Conflicts of Interest
References
- Tang, Y.; Yang, X. Research on a small sample feature transfer method for fault diagnosis of reciprocating compressors. J. Loss Prev. Process Ind. 2023, 85, 105163. [Google Scholar] [CrossRef]
- Zhao, H.; Li, X.; Liu, Z. A Double Interpolation and Mutation Interval Reconstruction LMD and Its Application in Fault Diagnosis of Reciprocating Compressor. Appl. Sci. 2023, 13, 7543. [Google Scholar] [CrossRef]
- Tang, Y.; Xiao, X.; Guan, M. The multi-source signal fusion reciprocating compressor fault diagnosis method. J. Shandong Univ. (Eng. Sci.) 2023, 53, 10–19. [Google Scholar]
- Miao, Y.; Zhang, B.; Li, C. Feature mode decomposition: New decomposition theory for rotating machinery fault diagnosis. IEEE Trans. Ind. Electron. 2022, 70, 1949–1960. [Google Scholar] [CrossRef]
- Fang, Z.; Wang, W.; Cao, Y. Reciprocating Compressors Intelligent Fault Diagnosis under Multiple Operating Conditions Based on Adaptive Variable Scale Morphological Filter. Measurement 2023, 224, 113778. [Google Scholar] [CrossRef]
- Zhang, J.; Zhu, X.; Li, W. Refined composite multiscale fuzzy entropy based fault diagnosis of diesel engine. J. Low-Freq. Noise Vib. Act. Control 2023, 42, 420–437. [Google Scholar] [CrossRef]
- Wang, C.; Cun, J.; Xu, Z. Mix-VAEs: A novel multisensor information fusion model for intelligent fault diagnosis. Neurocomputing 2022, 492, 234–244. [Google Scholar] [CrossRef]
- Chen, B.; Chen, X.; Chen, F. Integrated early fault diagnosis method based on direct fast iterative filtering decomposition and effective weighted sparseness kurtosis to rolling bearings. Mech. Syst. Signal Process. 2022, 171, 108897. [Google Scholar] [CrossRef]
- Liu, Z.; Fang, L.; Jiang, D. A machine-learning-based fault diagnosis method with adaptive secondary sampling for multiphase drive systems. IEEE Trans. Power Electron. 2022, 37, 8767–8772. [Google Scholar] [CrossRef]
- Wang, H. Improved bearing fault detection strategy based on artificial bee colony algorithm. CAAI Trans. Intell. Technol. 2022, 37, 557–581. [Google Scholar] [CrossRef]
- Hou, B.; Wang, D.; Xia, T. Generalized Gini indices: Complementary sparsity measures to Box-Cox sparsity measures for machine condition monitoring. Mech. Syst. Signal Process. 2022, 169, 108751. [Google Scholar] [CrossRef]
- Zhao, Z.; Li, T.; Wu, J. Deep learning algorithms for rotating machinery intelligent diagnosis: An open source benchmark study. ISA Trans. 2020, 107, 224–255. [Google Scholar] [CrossRef] [PubMed]
- Barai, V.; Ramteke, S.M.; Dhanalkotwar, V. Bearing fault diagnosis using signal processing and machine learning techniques: A review. In IOP Conference Series: Materials Science and Engineering; IOP Publishing: Bristol, UK, 2022; Volume 1259, p. 012034. [Google Scholar]
- Jiang, Z.; Zhao, Y.; Zhang, S.; Li, M. Application of fine composite multiscale fluctuation scattering entropy in hydraulic pump fault diagnosis. Vib. Shock 2022, 41, 7–16. [Google Scholar]
- Pincus, S.M. Approximate entropy as a measure of system complexity. Proc. Natl. Acad. Sci. USA 1991, 88, 2297–2301. [Google Scholar] [CrossRef] [PubMed]
- Richman, J.S.; Moorman, J.R. Physiological time-series analysis using approximate entropy and sample entropy. Am. J. Physiol.-Heart Circ. Physiol. 2000, 278, 2039–2049. [Google Scholar] [CrossRef] [PubMed]
- Chen, W.; Wang, Z.; Xie, H. Characterization of Surface EMG signal based on Fuzzy Entropy. IEEE Trans. Neural Syst. Rehabil. Eng. 2007, 15, 266–272. [Google Scholar] [CrossRef] [PubMed]
- Bandt, C.; Pompe, B. Permutation entropy: A natural complexity measure for time series. Phys. Rev. Lett. 2002, 88, 174102. [Google Scholar] [CrossRef] [PubMed]
- Rostaghi, M.; Azami, H. Dispersion Entropy: A Measure for Time-Series Analysis. IEEE Signal Process. Lett. 2016, 23, 610–614. [Google Scholar] [CrossRef]
- Costa, M.; Goldberger, A.L.; Peng, C.K. Multiscale entropy analysis of biological signals. Phys. Rev. E 2005, 71, 021906. [Google Scholar] [CrossRef]
- Wu, S.; Wu, C.; Lin, S. Analysis of complex time series using refined composite multiscale entropy. Phys. Lett. Sect. A Gen. At. Solid State Phys. 2014, 378, 1369–1374. [Google Scholar] [CrossRef]
- Huo, Z.; Martínez-García, M.; Zhang, Y. Entropy measures in machine fault diagnosis: Insights and applications. IEEE Trans. Instrum. Meas. 2020, 69, 2607–2620. [Google Scholar] [CrossRef]
- Sun, W.; Zhang, H.; Wang, L. Based on high dimensional space clustering central heating end data anomaly detection. J. Instrum. Meters 2021, 42, 235–242. [Google Scholar] [CrossRef]
- Carlucci, F.; Porzi, L.; Caputo, B.; Ricci, E. Autodial: Automatic domain alignment layers. In Proceedings of the 2017 IEEE International Conference on Computer Vision (ICCV), Venice, Italy, 22–29 October 2017; pp. 5077–5085. [Google Scholar]
- Wang, B.; Zhang, X. Sparse representation theory for support vector machine kernel function selection and its application in high-speed bearing fault diagnosis. ISA Trans. 2021, 118, 207–218. [Google Scholar] [CrossRef] [PubMed]
- Wang, F.; Dun, B.; Deng, G. A deep neural network based on kernel function and auto-encoder for bearing fault diagnosis. In Proceedings of the 2018 IEEE International Instrumentation and Measurement Technology Conference (I2MTC), Houston, TX, USA, 14–17 May 2018; IEEE: New York, NY, USA, 2018; pp. 1–6. [Google Scholar]
- Lu, S.; Gao, W.; Hong, C. A newly-designed fault diagnostic method for transformers via improved empirical wavelet transform and kernel extreme learning machine. Adv. Eng. Inform. 2021, 49, 101320. [Google Scholar] [CrossRef]
- Ren, G.; Jia, J.; Jia, X. A diesel engine vibration signal denoising method based on VMD and Euclidean distance. J. Mil. Traffic Coll. 2018, 20, 39–44. [Google Scholar]
- Case Western Reserve University. Bearing Data Center. 20 January 2019. Available online: https://csegroups.case.Edu./Iambearingdatacenter/pages/welcome-case-western-reserveuniversity-bearing-data-centre-website (accessed on 1 June 2022).
- Zhan, Y.; Cheng, L.; Wang, T. Fault Diagnosis Performance Optimization Based on Correlation Multi-frequency Empirical Mode Decomposition. J. Vib. Shock 2019, 39, 115–122. [Google Scholar]
- Han, M.; Wu, Y.; Wang, Y. Roller bearing fault diagnosis based on LMD and multi-scale symbolic dynamic information entropy. J. Mech. Sci. Technol. 2021, 35, 1993–2005. [Google Scholar] [CrossRef]
- Zhu, X.; Huang, Z.; Chen, J. Rolling bearing fault diagnosis method based on VMD and LSSVM. J. Phys. Conf. Ser. 2021, 1792, 5–9. [Google Scholar] [CrossRef]
- Peng, H.; Long, F.; Ding, C. Feature selection based on mutual information: Criteria of max-dependency, max-relevance, and min-redundancy. IEEE Trans. Pattern Anal. Mach. Intell. 2005, 27, 1226–1238. [Google Scholar] [CrossRef] [PubMed]
- He, X.; Deng, C.; Niyogi, P. Laplacian score for feature selection. Adv. Neural Inf. Process. Syst. 2005, 18, 507–514. [Google Scholar]
- Li, Z.; Du, J.; Nie, B. A review of feature selection methods. Comput. Eng. Appl. 2019, 55, 10–19. [Google Scholar]
- Zhang, Y.; Zhang, L. Intelligent fault detection of reciprocating compressor using a novel discrete state space. Mech. Syst. Signal Process. 2022, 169, 108583. [Google Scholar] [CrossRef]
- Sim, H.; Ramli, R.; Saifizul, A.; Soong, M. Detection and estimation of valve leakage losses in reciprocating compressor using acoustic emission technique. Measurement 2020, 152, 107315. [Google Scholar] [CrossRef]
- Song, M.; Wang, J.; Zhao, H.; Li, Y. Bearing failure of reciprocating compressor sub-health recognition based on CAGOA-VMD and GRCMDE. Adv. Mech. Eng. 2022, 14, 168781322210829. [Google Scholar] [CrossRef]
- Li, Y.; Wang, J.; Zhao, H. Fault diagnosis method of reciprocating compressor bearings based on parameter optimization VMD and MDE. Comb. Mach. Tools Autom. Mach. Technol. 2019, 542, 120–123+132. [Google Scholar]
- Xing, J. Research on the Fault Diagnosis Method of Reciprocating Compressor Based on LMD and MFE. Master’s Thesis, Northeast Petroleum University, Daqing, China, 2016. [Google Scholar]
- Song, Y.; Wang, W. A Fault Feature Extraction Method for Rolling Bearings Based on Refined Composite Multi-Scale Amplitude Aware Permutation Entropy. IEEE Access 2021, 9, 71979–71993. [Google Scholar] [CrossRef]
















| Parameter Type | Parameter Valve |
|---|---|
| Shaft power (kW) | 500 |
| Exhaust volume (m3/min) | 70 |
| Primary exhaust pressure (MPa) | 0.2746~0.2942 |
| Secondary exhaust pressure (MPa) | 1.2749 |
| Piston stroke (mm) | 240 |
| Crank speed (rpm) | 496 |
| Fault Type | Value of the Correlation Coefficient between the Modal Component and the Original Signal | ||||||
|---|---|---|---|---|---|---|---|
| BLIMF1 | BLIMF2 | BLIMF3 | BLIMF4 | BLIMF5 | BLIMF6 | BLIMF7 | |
| Normal state | 0.3683 | 0.5439 | 0.5462 | 0.5069 | 0.3954 | 0.1945 | 0.0700 |
| Moderate wear condition | 0.2081 | 0.2714 | 0.3429 | 0.5265 | 0.6930 | 0.5243 | 0.1172 |
| Heavy wear condition | 0.3224 | 0.3279 | 0.5874 | 0.6996 | 0.3805 | 0.2582 | 0.0460 |
| Measurable Indicator | SVM (X = 2) | SVM (X = 3) | SVM (X = 4) | SVM (X = 5) | SVM (X = 6) | SVM (X = 7) | SVM (X = 8) |
|---|---|---|---|---|---|---|---|
| Average training time (s) | 4.02 | 4.27 | 3.81 | 3.80 | 3.76 | 3.75 | 3.72 |
| Average fault recognition rate (%) | 80.81 | 92.24 | 96.15 | 97.32 | 99.68 | 99.53 | 99.11 |
| Troubleshooting Methods | Normal State Recognition Rate (%) | Moderate Wear Condition Recognition Rate (%) | Heavy Wear Condition Recognition Rate (%) | Average Recognition Rate (%) |
|---|---|---|---|---|
| VMD-MHDME | 100 0.21 | 98 1.86 | 97 0.73 | 98.33 0.93 |
| VMD-MPE | 95 1.86 | 96 2.55 | 88 | 93.00 2.17 |
| VMD-MSE | 86 1.29 | 90 .56 | 75 3.72 | 83.67 2.52 |
Disclaimer/Publisher’s Note: The statements, opinions and data contained in all publications are solely those of the individual author(s) and contributor(s) and not of MDPI and/or the editor(s). MDPI and/or the editor(s) disclaim responsibility for any injury to people or property resulting from any ideas, methods, instructions or products referred to in the content. |
© 2023 by the authors. Licensee MDPI, Basel, Switzerland. This article is an open access article distributed under the terms and conditions of the Creative Commons Attribution (CC BY) license (https://creativecommons.org/licenses/by/4.0/).
Share and Cite
Chen, G.; Wang, X.; Zhao, H.; Li, X.; Zhao, L. High-Dimensional Mapping Entropy Method and Its Application in the Fault Diagnosis of Reciprocating Compressors. Appl. Sci. 2023, 13, 13084. https://doi.org/10.3390/app132413084
Chen G, Wang X, Zhao H, Li X, Zhao L. High-Dimensional Mapping Entropy Method and Its Application in the Fault Diagnosis of Reciprocating Compressors. Applied Sciences. 2023; 13(24):13084. https://doi.org/10.3390/app132413084
Chicago/Turabian StyleChen, Guijuan, Xiao Wang, Haiyang Zhao, Xue Li, and Lixin Zhao. 2023. "High-Dimensional Mapping Entropy Method and Its Application in the Fault Diagnosis of Reciprocating Compressors" Applied Sciences 13, no. 24: 13084. https://doi.org/10.3390/app132413084
APA StyleChen, G., Wang, X., Zhao, H., Li, X., & Zhao, L. (2023). High-Dimensional Mapping Entropy Method and Its Application in the Fault Diagnosis of Reciprocating Compressors. Applied Sciences, 13(24), 13084. https://doi.org/10.3390/app132413084
