Reliability Investigation of Pavement Performance Evaluation Based on Blind-Number Theory: A Confidence Model
Abstract
1. Introduction
2. Testing Methods for Pavement Performances
2.1. Evaluation Indexes and Data Collection Methods
2.2. Probability Distribution Analyses of Evaluation Indexes
2.3. Analysis Framework Pavement Performance Reliability
2.3.1. Principle of Blind-Number Theory
” denote the four arithmetic operations applied to the blind numbers. A^ and B^ can be any element within the matrix of possible values, expressed as A⊗B, where i = 1, 2 … k and j = 1, 2 … m. To illustrate the blind number operation using addition, this study considers x1, x2, …, xk and y1, y2, …, yn as lists of real numbers in descending order, referred to as the sequence of possible values for A^ and B^. The vertical side of a matrix is denoted by x1, x2, …, xk, while the horizontal edge is represented by y1, y2, …, ym. The bounded matrix is perpendicular horizontal and vertical axes, and the possible values of A^ and B^ are associated with the edges and matrices, as depicted in Table 2.
2.3.2. Confidence Modeling of Pavement Quality Index
3. Analysis of Examples
3.1. Statistical Result Analysis
3.2. Confidence Analysis Based on Blind-Number Theory
4. Conclusions and Outlook
- (1)
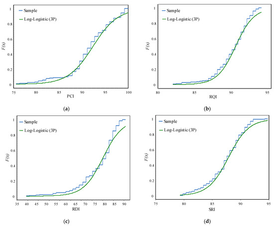
- The Pavement Condition Index (PCI), Riding Quality Index (RQI), Rutting Depth Index (RDI), and Skidding Resistance Index (SRI) of pavement facilities do not exhibit complete adherence to the normal distribution. Furthermore, the probability distribution of the pavement performance evaluation index differs.
- (2)
- A blind-number expression for the pavement performance evaluation index is developed in this study. Additionally, a confidence model for analyzing the confidence of pavement performance is constructed using the method of determining the weight information entropy weight of the pavement performance evaluation index. The model effectively integrates blind information into the pavement performance evaluation system, making it independent of the probability distribution function.
- (3)
- Compared to the traditional method, the proposed confidence model for pavement performance confidence analysis has several advantages. Firstly, it provides a clear evaluation level for pavement performance, allowing for a more precise assessment. Secondly, it also assigns corresponding credibility to the evaluation level, which enhances the scientific and rational nature of the evaluation process. This improvement ensures that the evaluation takes into account the confidence of the data and the assessment results.
Author Contributions
Funding
Institutional Review Board Statement
Informed Consent Statement
Data Availability Statement
Conflicts of Interest
References
- Upadrashta, D.; Yang, Y. Experimental investigation of performance reliability of macro fiber composite for piezoelectric energy harvesting applications. Sens. Actuators A Phys. 2016, 244, 223–232. [Google Scholar] [CrossRef]
- Ren, S.; Liu, X.; Lin, P.; Jing, R.; Erkens, S. Toward the long-term aging influence and novel reaction kinetics models of bitumen. Int. J. Pavement Eng. 2022, 1–16. [Google Scholar] [CrossRef]
- Shon, H.; Cho, C.-S.; Byon, Y.-J.; Lee, J. Autonomous condition monitoring-based pavement management system. Autom. Constr. 2022, 138, 104222. [Google Scholar] [CrossRef]
- Shon, H.; Lee, J. Integrating multi-scale inspection, maintenance, rehabilitation, and reconstruction decisions into system-level pavement management systems. Transp. Res. Part C: Emerg. Technol. 2021, 131, 103328. [Google Scholar] [CrossRef]
- de Bortoli, A.; Baouch, Y.; Masdan, M. BIM can help decarbonize the construction sector: Primary life cycle evidence from pavement management systems. J. Clean. Prod. 2023, 391, 136056. [Google Scholar] [CrossRef]
- Sultan, S.A.; Guo, Z. Evaluating life cycle costs of perpetual pavements in China using operational pavement management system. Int. J. Transp. Sci. Technol. 2016, 5, 103–109. [Google Scholar] [CrossRef]
- Cano-Ortiz, S.; Pascual-Munoz, P.; Castro-Fresno, D. Machine learning algorithms for monitoring pavement performance. Autom. Constr. 2022, 139, 104309. [Google Scholar] [CrossRef]
- García-Segura, T.; Montalbán-Domingo, L.; Llopis-Castelló, D.; Lepech, M.D.; Sanz, M.A.; Pellicer, E. Incorporating pavement deterioration uncertainty into pavement management optimization. Int. J. Pavement Eng. 2022, 23, 2062–2073. [Google Scholar] [CrossRef]
- Majidifard, H.; Jahangiri, B.; Rath, P.; Contreras, L.U.; Buttlar, W.G.; Alavi, A.H. Developing a prediction model for rutting depth of asphalt mixtures using gene expression programming. Constr. Build. Mater. 2021, 267, 120543. [Google Scholar] [CrossRef]
- Fan, W.; Dai, L. Pavement evaluation with AHP based on expert’s assessment. In Proceedings of the 2015 23rd international conference on Geoinformatics, Wuhan, China, 19–21 June 2015; pp. 1–3. [Google Scholar]
- Olowosulu, A.; Kaura, J.; Murana, A.; Adeke, P. Development of framework for performance prediction of flexible road pavement in Nigeria using Fuzzy logic theory. Int. J. Pavement Eng. 2022, 23, 3809–3818. [Google Scholar] [CrossRef]
- Li, J.; Wei, H.; Yao, Y.; Hu, X.; Wang, L. Contribution modeling on condition evaluation of asphalt pavement using uncertainty measurement and entropy theory. Adv. Mater. Sci. Eng. 2021, 2021, 9995926. [Google Scholar] [CrossRef]
- He, L.; Zhu, H.; Gao, Z. Performance evaluation of asphalt pavement based on BP neural network. NeuroQuantology 2018, 16, 537–545. [Google Scholar] [CrossRef]
- Song, Z.; Sun, F.; Zhang, R.; Du, Y.; Li, C. Prediction of road network traffic state using the NARX neural network. J. Adv. Transp. 2021, 2021, 2564211. [Google Scholar] [CrossRef]
- Bao, Q.; Ruan, D.; Shen, Y.; Hermans, E.; Janssens, D. Improved hierarchical fuzzy TOPSIS for road safety performance evaluation. Knowl.-Based Syst. 2012, 32, 84–90. [Google Scholar] [CrossRef]
- Abed, A.; Thom, N.; Neves, L. Probabilistic prediction of asphalt pavement performance. Road Mater. Pavement Des. 2019, 20, S247–S264. [Google Scholar] [CrossRef]
- Li, J.; Liu, T.; Wang, X.; Yu, J. Automated asphalt pavement damage rate detection based on optimized GA-CNN. Autom. Constr. 2022, 136, 104180. [Google Scholar] [CrossRef]
- Marcelino, P.; de Lurdes Antunes, M.; Fortunato, E.; Gomes, M.C. Machine learning approach for pavement performance prediction. Int. J. Pavement Eng. 2021, 22, 341–354. [Google Scholar] [CrossRef]
- Hanandeh, S. Introducing mathematical modeling to estimate pavement quality index of flexible pavements based on genetic algorithm and artificial neural networks. Case Stud. Constr. Mater. 2022, 16, e00991. [Google Scholar] [CrossRef]
- Elhadidy, A.A.; El-Badawy, S.M.; Elbeltagi, E.E. A simplified pavement condition index regression model for pavement evaluation. Int. J. Pavement Eng. 2021, 22, 643–652. [Google Scholar] [CrossRef]
- Damirchilo, F.; Hosseini, A.; Mellat Parast, M.; Fini, E.H. Machine Learning Approach to Predict International Roughness Index Using Long-Term Pavement Performance Data. J. Transp. Eng. Part B Pavements 2021, 147, 04021058. [Google Scholar] [CrossRef]
- Kaya, O.; Ceylan, H.; Kim, S.; Waid, D.; Moore, B.P. Statistics and artificial intelligence-based pavement performance and remaining service life prediction models for flexible and composite pavement systems. Transp. Res. Rec. 2020, 2674, 448–460. [Google Scholar] [CrossRef]
- Wojtkiewicz, S.F.; Khazanovich, L.; Gaurav, G.; Velasquez, R. Probabilistic numerical simulation of pavement performance using MEPDG. Road Mater. Pavement Des. 2010, 11, 291–306. [Google Scholar] [CrossRef]
- Piryonesi, S.M.; El-Diraby, T.E. Examining the relationship between two road performance indicators: Pavement condition index and international roughness index. Transp. Geotech. 2021, 26, 100441. [Google Scholar] [CrossRef]
- Bashar, M.Z.; Torres-Machi, C. Performance of machine learning algorithms in predicting the pavement international roughness index. Transp. Res. Rec. 2021, 2675, 226–237. [Google Scholar] [CrossRef]
- Gong, M.; Zhang, H.; Liu, Z.; Fu, X. Study on PQI standard for comprehensive maintenance of asphalt pavement based on full-cycle. Int. J. Pavement Eng. 2022, 23, 4277–4290. [Google Scholar] [CrossRef]
- Jia, X.; Woods, M.; Gong, H.; Zhu, D.; Hu, W.; Huang, B. Evaluation of network-level data collection variability and its influence on pavement evaluation utilizing random forest method. Transp. Res. Rec. 2021, 2675, 331–345. [Google Scholar] [CrossRef]
- Han, C.; Ma, T.; Chen, S. Asphalt pavement maintenance plans intelligent decision model based on reinforcement learning algorithm. Constr. Build. Mater. 2021, 299, 124278. [Google Scholar] [CrossRef]
- Pandey, A.K.; Iqbal, R.; Maniak, T.; Karyotis, C.; Akuma, S.; Palade, V. Convolution neural networks for pothole detection of critical road infrastructure. Comput. Electr. Eng. 2022, 99, 107725. [Google Scholar] [CrossRef]
- Hu, A.; Bai, Q.; Chen, L.; Meng, S.; Li, Q.; Xu, Z. A review on empirical methods of pavement performance modeling. Constr. Build. Mater. 2022, 342, 127968. [Google Scholar] [CrossRef]
- Yu, J.; Zhang, X.; Xiong, C. A methodology for evaluating micro-surfacing treatment on asphalt pavement based on grey system models and grey rational degree theory. Constr. Build. Mater. 2017, 150, 214–226. [Google Scholar] [CrossRef]



| Type | Test Method |
|---|---|
| Kolmogorov–Smirnov Test | |
| Anderson–Darling Goodness Test | |
| Chi-Squared Goodness Test | , |
| Serial Number | Distribution Function | Kolmogorov–Smirnov | Anderson–Darling | Chi-Squared | |||
|---|---|---|---|---|---|---|---|
| Statistic | Sort | Statistic | Sort | Statistic | Sort | ||
| PCI | Log-Logistic | 0.10416 | 5 | 2.5466 | 5 | 18.017 | 6 |
| Log-Logistic (3P) | 0.05657 | 1 | 1.3167 | 1 | 8.0729 | 2 | |
| Logistic | 0.07701 | 2 | 1.6292 | 2 | 6.5873 | 1 | |
| Lognormal | 0.10857 | 6 | 3.0129 | 6 | 17.641 | 5 | |
| Lognormal (3P) | 0.10026 | 4 | 2.5372 | 4 | 13.059 | 4 | |
| Normal | 0.09952 | 3 | 2.3536 | 3 | 13.057 | 3 | |
| RQI | Log-Logistic | 0.08961 | 5 | 2.83 | 6 | 14.394 | 3 |
| Log-Logistic (3P) | 0.06286 | 1 | 1.6038 | 1 | 10.768 | 1 | |
| Logistic | 0.09492 | 6 | 2.3974 | 2 | 11.416 | 2 | |
| Lognormal | 0.08381 | 4 | 2.8015 | 5 | 19.881 | 6 | |
| Lognormal (3P) | 0.07966 | 3 | 2.6147 | 4 | 18.457 | 5 | |
| Normal | 0.07928 | 2 | 2.4687 | 3 | 15.721 | 4 | |
| RDI | Log-Logistic | 0.169 | 6 | 9.2652 | 6 | 79.025 | 6 |
| Log-Logistic (3P) | 0.10865 | 1 | 4.6751 | 1 | 41.345 | 1 | |
| Logistic | 0.16246 | 4 | 6.3528 | 2 | 60.395 | 2 | |
| Lognormal | 0.16794 | 5 | 8.9946 | 5 | 77.588 | 5 | |
| Lognormal (3P) | 0.15262 | 2 | 6.606 | 4 | 63.712 | 4 | |
| Normal | 0.15298 | 3 | 6.4046 | 3 | 62.267 | 3 | |
| SRI | Log-Logistic | 0.09108 | 6 | 2.1105 | 6 | 5.8546 | 1 |
| Log-Logistic (3P) | 0.0554 | 1 | 1.2219 | 1 | 8.7292 | 5 | |
| Logistic | 0.07973 | 2 | 1.8442 | 4 | 10.447 | 6 | |
| Lognormal | 0.08903 | 5 | 2.031 | 5 | 7.0076 | 4 | |
| Lognormal (3P) | 0.08081 | 3 | 1.7982 | 3 | 6.5312 | 3 | |
| Normal | 0.08172 | 4 | 1.6595 | 2 | 6.3648 | 2 | |
| No. | PQI (Grade) | PQI^ (Grade) | KPQI^ (90) | KPQI^ (80) |
|---|---|---|---|---|
| 1 | 83.64 | 73.31757 | 0.81464 | 0.91647 |
| 2 | 83.79 | 76.23695 | 0.847077 | 0.952962 |
| 3 | 84.89 | 76.85353 | 0.853928 | 0.960669 |
| 4 | 85.98 | 78.84341 | 0.876038 | 0.985543 |
| 5 | 84.90 | 80.23577 | 0.891509 | 1.002947 |
| 6 | 87.01 | 81.69958 | 0.907773 | 1.021245 |
| 7 | 84.92 | 82.01217 | 0.911246 | 1.025152 |
| 8 | 85.45 | 82.64352 | 0.918261 | 1.033044 |
| 9 | 84.96 | 82.85526 | 0.920614 | 1.035691 |
| 10 | 87.14 | 82.93161 | 0.921462 | 1.036645 |
| 11 | 84.72 | 83.26604 | 0.925178 | 1.040826 |
| 12 | 87.61 | 83.40383 | 0.926709 | 1.042548 |
| 13 | 87.67 | 83.48033 | 0.927559 | 1.043504 |
| 14 | 86.60 | 84.10160 | 0.934462 | 1.051270 |
| 15 | 86.36 | 84.60134 | 0.940015 | 1.057517 |
| 16 | 87.76 | 84.83564 | 0.942618 | 1.060446 |
| 17 | 87.91 | 84.84281 | 0.942698 | 1.060535 |
| 18 | 87.86 | 85.12389 | 0.945821 | 1.064049 |
| 19 | 88.06 | 85.74850 | 0.952761 | 1.071856 |
| 20 | 89.21 | 86.82397 | 0.964711 | 1.085300 |
| 21 | 89.70 | 87.03685 | 0.967076 | 1.087961 |
| 22 | 89.23 | 87.35512 | 0.970612 | 1.091939 |
| 23 | 89.22 | 87.47873 | 0.971986 | 1.093484 |
| 24 | 88.56 | 87.48089 | 0.972010 | 1.093511 |
| 25 | 89.42 | 87.75188 | 0.975021 | 1.096899 |
| 26 | 88.19 | 88.27680 | 0.980853 | 1.103460 |
| 27 | 89.83 | 88.34652 | 0.981628 | 1.104331 |
| 28 | 89.83 | 88.36494 | 0.981833 | 1.104562 |
| 29 | 90.35 | 88.42565 | 0.982507 | 1.105321 |
| 30 | 90.16 | 88.50354 | 0.983373 | 1.106294 |
| 31 | 89.74 | 88.56722 | 0.984080 | 1.107090 |
| 32 | 90.57 | 88.84937 | 0.987215 | 1.110617 |
| 33 | 89.18 | 88.98633 | 0.988737 | 1.112329 |
| 34 | 90.39 | 89.02159 | 0.989129 | 1.112770 |
| 35 | 90.99 | 89.17456 | 0.990828 | 1.114682 |
| 36 | 91.41 | 89.56480 | 0.995164 | 1.11956 |
| 37 | 90.84 | 89.72866 | 0.996985 | 1.121608 |
| 38 | 91.94 | 90.05702 | 1.000634 | 1.125713 |
| 39 | 92.94 | 90.97604 | 1.010845 | 1.137200 |
| 40 | 92.00 | 91.01112 | 1.011235 | 1.137639 |
Disclaimer/Publisher’s Note: The statements, opinions and data contained in all publications are solely those of the individual author(s) and contributor(s) and not of MDPI and/or the editor(s). MDPI and/or the editor(s) disclaim responsibility for any injury to people or property resulting from any ideas, methods, instructions or products referred to in the content. |
© 2023 by the authors. Licensee MDPI, Basel, Switzerland. This article is an open access article distributed under the terms and conditions of the Creative Commons Attribution (CC BY) license (https://creativecommons.org/licenses/by/4.0/).
Share and Cite
Wei, H.; Liu, Y.; Li, J.; Liu, L.; Liu, H. Reliability Investigation of Pavement Performance Evaluation Based on Blind-Number Theory: A Confidence Model. Appl. Sci. 2023, 13, 8794. https://doi.org/10.3390/app13158794
Wei H, Liu Y, Li J, Liu L, Liu H. Reliability Investigation of Pavement Performance Evaluation Based on Blind-Number Theory: A Confidence Model. Applied Sciences. 2023; 13(15):8794. https://doi.org/10.3390/app13158794
Chicago/Turabian StyleWei, Hui, Yunyao Liu, Jue Li, Lihao Liu, and Honglin Liu. 2023. "Reliability Investigation of Pavement Performance Evaluation Based on Blind-Number Theory: A Confidence Model" Applied Sciences 13, no. 15: 8794. https://doi.org/10.3390/app13158794
APA StyleWei, H., Liu, Y., Li, J., Liu, L., & Liu, H. (2023). Reliability Investigation of Pavement Performance Evaluation Based on Blind-Number Theory: A Confidence Model. Applied Sciences, 13(15), 8794. https://doi.org/10.3390/app13158794

