Abstract
Knowledge of ergonomics/human factors plays an important role in the creation and design of safety shoes and insoles, contributing to worker protection, comfort, and stability. The purpose of this study is to compare previous insole designs and analyze the plantar pressure and gait pattern kinematics using the Oxford foot model protocol. The tests were performed comparing the environments on the three rockers of the gait, represented by the heel, midfoot, and forefoot, according to the classification of foot type. The analysis of plantar pressure, regarding its total and maximum distribution, showed that the innovative insole presents a better load distribution in terms of the maximum plantar pressure exerted in the hindfoot and forefoot regions. In the biomechanical analysis of gait, the five variables studied did not show variation in the normal mechanics of the foot in any of the three environments considered. The hallux joint was the one that presented the greatest divergences with the barefoot in terms of amplitude and variability, as expected.
1. Introduction
Human factors and ergonomics (HF/E) are terms with worldwide acceptance that describe the study of human characteristics and abilities to improve human interaction with the physical, social, and organizational environment towards the improvement of the performance and well-being of the self [1,2]. Systems may include a work system, where the human is the worker and the environment is the work, or a product system, where the human is the user of the product, and the environment is the product to be used. Therefore, as a scientific discipline, HF/E can contribute to the planning, design, implementation, redesign, and continuous improvement of tasks, products, technologies, and processes [3].
Then, it is possible to verify the wide diversity of processes in which ergonomics can act. In a broader view, ergonomic tasks can be classified into corrective or design. It is considered a correction task when ergonomics is used to solve problems that are a consequence of the use of a product or related to a specific environment [4]. It is considered a design task when ergonomics is used to assess the global quality of the systems people need to relate to during their normal daily living activities [5]. To achieve this, ergonomics is associated with two other scientific areas: anthropometry and biomechanics.
Anthropometry is the science that deals with the measurements of the body: size, shape, strength, and work capacity. Anthropometric data are extremely important for the application of ergonomic principles in the creation and innovation of products for different users [6]. Products and workplaces that are incompatible with the end-user’s anthropometric characteristics can increase the risk of developing musculoskeletal injuries. Therefore, anthropometric measurements have high significance in the design of equipment, products, clothes, tools, and environments, which are directly proportional to the comfort, fit, safety, and productivity of the individual [7].
Biomechanical data are essential to help the ergonomic study of a product or environment, as they can help to highlight and to quantify causes of perceived discomfort of system users [8]. For instance, Lin et al. [9] evaluated the biomechanics of the standing and sitting positions workers used during working time, identifying that different postures adopted for the shoulder and forearm between workstations and the presence of greater postural variability in the standing position increase shoulder rotation and extension patterns that could be associated with working problems. Harari et al. [10] investigated worker biomechanics during multi-task manual materials handling in order to develop a predictive model for the moments acting on the worker’s body and its joint angles during those tasks. On the other hand, McDonald et al. [11] evaluated muscle and kinematic adaptations during repetitive work and concluded that significant signs of muscle fatigue and strength loss were present in addition to coordinated compensation as a strategy to maintain performance. Karakolis et al. [12] investigated the effect of a seated and standing office workstation on trunk and lumbar biomechanics and contributed key elements of posture guidance for seated workstations.
Therefore, as working conditions, such as those that include walking and standing for long periods, can increase the risk of the development of musculoskeletal disorders [13], the type of shoe used in these tasks can affect joint and muscle mobility, increasing fatigue and as a consequence, the risk of injuries. Regarding this, one can clearly understand the role of ergonomics in the design of safe footwear [14] more if the goal is not only to achieve the main objective of this type of footwear (the protection of feet against impact and compression injuries) but also to promote comfort and stability, without affecting the user’s normal movement patterns such as gait. For Goto and Abe [15], investigating the effects of walking with safety shoes can contribute to the design of shoes that allow greater comfort and energy efficiency as well as provide important recommendations to improve policies that regulate work safety and protective footwear. Even with the evidence that insoles are a great non-invasive solution for foot pathologies and deformities and the fact that insoles promote the better plantar distribution and reduce perceived discomfort [16], the standard insole within a protective shoe has a thin appearance, with insufficient support arch and inadequate materials [17].
With the latter in mind, the present study aimed to analyze the effects of using an innovative insole for protective shoes in terms of plantar pressure and kinematics of the gait pattern using the Oxford foot model protocol compared to a previous insole model. The innovation consists of an insole that is adapted to the arch type of the subject which are divided into the three arch types described in the literature: normal, flat (pronated), or cavus (supinated). To achieve this aim, we performed an ankle and foot joint kinematics variation analysis and obtained the related pressure data along the gait stance in comparison to a standard insole solution.
2. Materials and Methods
The execution of the data collection was carried out at the University of Minho in the laboratory of the Computer Graphics Center (CCG), in partnership with Indústria de Comércio e Calçado (ICC) and with the help of the CrossLab, Laboratory for Research in Health of the Escola Superior de Saúde da Cruz Vermelha Portuguesa, Lisbon.
Data related to the kinematics and kinetics of gait of 25 participants from a group of operative professional subjects were analyzed. Subjects’ arch type was assessed to allow insole selection using the arch index computation (Figure 1). The arch height index [18] is determined by the relationship between the height of the arch and the length of the truncated foot (length from the most medial end of the first metatarsophalangeal joint to the most posterior end of the heel). All participants included in the study signed a consent form and were subject to the experiment protocols approved by the University of Minho Ethics Committee for Research in Social and Human Sciences (CEICSH), reference CEICSH064/2023.
Figure 1.
Arch height index measures: arch height and truncated foot length, respectively.
Measurements were performed on both feet of all participants with a measuring tape by a previously trained physiotherapist. Foot type classification was then assigned to each participant’s foot using the application of the scale: values between 0.22 and 0.31 were classified as normal or neutral feet [18]; values below 0.22 were classified as flat feet; values above 0.31 were classified as cavus feet (Table 1).
Table 1.
Foot type classification.
To fulfill the objective of this study, different analyzes were chosen, which will be discussed below. Gait data collection explained how plantar pressure analysis and gait biomechanical analysis were performed, and then 3D anthropometry measurements were reported.
2.1. General Procedures
Kinematic and kinetic variables were obtained simultaneously. Participants were asked to attend a single testing session in the laboratory. Participants received appropriate clothing for the test (for women, tight-fitting spandex fiber shorts and a top and for men, tight spandex fiber shorts).
After they dressed, the participants’ anthropometric data, which was needed for the kinematic and kinetic analysis, was measured. The number of environments which each participant was put through was established according to the classification of the height of the medial longitudinal arch used in this study. Subjects who were classified equally in both feet (symmetrical) performed in an:
- (1)
- Environment consisting of barefoot walking;
- (2)
- Environment consisting of walking with the standard insole adjusted to participants’ shoe size;
- (3)
- Environment based on the innovative insole, according to the participants’ foot type classification (normal, flat, and cavus feet).
In the case of participants with different foot classification (asymmetry between feet), the data collection was performed in an:
- (1)
- Environment consisting of barefoot walking;
- (2)
- Environment consisting of walking with the standard insole adjusted to participants’ shoe size;
- (3)
- Environment using the normal insole on both feet;
- (4)
- Environment consisting of each foot with appropriate insole as to foot type classification (e.g., normal and flat);
- (5)
- Environment where both feet wore the corrected insole (e.g., both feet wear a flat insole even if one foot is normal).
No participant showed extreme difference in flat—cavus relation. These asymmetrical environments were added to understand if there is a need to have a different insole on each foot or if the use of the insole according to the main participant’s need is sufficient.
Each participant received an insole according to their feet size. In order to fix the insole on the participant’s foot, a double-sided adhesive tape (Tesa, universal: 50 mm of width) was used on the insole–foot surface. In addition, an elastic adhesive tape (Dreamk kinesio: 97% cotton, 3% elastane, and acrylic adhesive) was used to allow more fixation (Figure 2). The characteristics of the insoles (Figure 3) are shown in Table 2.
Figure 2.
Insole fixed to the foot.
Figure 3.
Standard and innovative insoles.
Table 2.
Characteristics of the insoles.
Prior to gait data collection, participants were instructed to walk at a comfortable speed across the platform, looking straight ahead, without aiming at the pressure platform. Each participant had 3 min to freely explore the walking corridor for habituation before data collection.
After participants were adapted to the data collection environment, they were asked to go to the start point and start walking at sign, with a comfortable self-selected speed, until they were asked to stop by the examiner.
2.2. Gait Data Collection
To measure gait data, a 6 m walking corridor was used, with a 3 m pressure corridor formed by two 1.5 m pressure plate platforms (Zebris Medical GmbH, Isny im Allgäu, Germany) at its center, collecting kinetic data at 100 Hz. Kinematic data were collected using the Oxford foot model (OFM) [19]. To compute OFM, a three-dimensional optometric motion analysis system consisting of 14 cameras (Vicon Motion Systems Ltd., Oxford, UK), collecting at 100 Hz, was used to track the forty-three reflective markers attached at the anatomical points defined by the OFM protocol (Figure 4).
Figure 4.
Test environment.
To achieve the best synchronization possible, the start of the walking sequence was initiated by the same examiner on both systems (Zebris and Vicon). Data synchronization was obtained on post-processing using the identification of the initial contact of the first step on the pressure platform and optometric system. The subjects made a total of 5 corridors without stopping. The turning task was performed at the corridor tops with participants asked to sustain walking speed.
The three rotations or rockers of the gait in the stance phase were used to study plantar pressure variables (heel, midfoot, and forefoot).
2.3. Statistical Analysis of Gait Data
All collected data (plantar pressure and gait data) were organized using Microsoft Excel 16 (Microsoft Excel®, Microsoft Corporation, Redmond, WA, USA). As the data showed a normal distribution, the characteristics were described using mean and standard deviation. To compare these characteristics between groups, the t-test for independent data was used [20].
Kinematic data were normalized to gait stance. The intraclass correlation coefficient (ICC) was used to assess the agreement between the time series. According to Koo and Li [21], the tools used for evaluation must have their reliability established. Reliability is translated as the extent to which measures can be replicated, not only in terms of correlation but in agreement between measures. The reliability value varies between 0 and 1. Values closer to 1 represent greater reliability. Values below 0.5 indicate poor agreement, values between 0.5 and 0.75 indicate moderate agreement, values between 0.75 and 0.9 indicate good reliability, and values above 0.9 indicate strong or excellent agreement between values [19]. Both the t-test and ICC estimates and their 95% confidence intervals were calculated using IBM SPSS statistics (version 27, SPSS INC., Chicago, IL, USA).
2.4. 3D Anthropometry Measurement
To perform the 3D digitalization of the anthropometric measurements of the participants’ feet, the measurements to be performed were initially defined. These were established based on the Mondopoint R1 scaling system. Mondopoint is a universal shoe sizing system that calculates foot width and length in millimeters (International Organization for Standardization, 2019). Thus, the measures chosen were: (1) foot length, characterized as the distance parallel to the long axis of the foot, from the most extreme point of the heel to the tip of the longest toe [22]; (2) foot width, considered as the maximum horizontal width along the foot, perpendicular to the long axis [22]; and (3) foot perimeter, as the circumference from the side of the head of the first metatarsal to the fifth metatarsal [23].
To mark the anatomical points to be measured later, blue stickers were glued to the participants’ skin. The measurements were taken using a sensor for mobile devices, Structure Sensor 3D Scanner. Participants needed to remain in two positions for foot scanning; the first in an orthostatic position and the second lying with the foot elevated and in a neutral position (Figure 5). Measurements were performed using Blender™ software (v.2.9/2020).
Figure 5.
Position 1 and 2 for foot scanner.
3. Results and Discussion
This section is divided into the studied variables in terms of kinetics (plantar pressure variables), kinematic variables (OFM), and 3D anthropometry measurements.
3.1. Plantar Pressure Variables
The assessment of pressure variables was performed by dividing gait stance into the three rockers identified in the literature [24]: heel, midfoot, and forefoot. In addition, a right and left foot analysis was conducted. Concerning the total pressure variable, the hypothesis test was performed with H0, µstd = µinv; that is, there are no significant differences in the averages of the total plantar pressure between the standard insole (STD) and the innovative insole (INV) in the three rockers of the gait. With H1, µstd ≠ µinv, there are significant differences in the total plantar pressure between the two insoles in the three gait rockers.
According to the results obtained in the t-test, in the two samples paired for means, it was found that the highest average values of the total pressure were in the midfoot and hindfoot in both feet. In Table 3, it is possible to see the averages of the STD and the INV, as well as the standard deviation (s.d.) of each of them. Therefore, according to the two-tailed p-value ≥ 0.05, the null hypothesis is not rejected in any of the feet. Thus, it can be said that there are no significant differences between the averages of the total plantar pressure between the insoles. However, although there are no significant differences, it is possible to observe that there was a reduction in the mean values with the INV on the left foot in the three gait rockers. This result demonstrates that there is a probability that the STD already presents good results for plantar pressure during gait in terms of total pressure.
Table 3.
t-test: paired two samples for means total plantar pressure (N/cm2).
In the maximum plantar pressure variable defined by Bilek et al. [25] as the maximum amount of pressure located at a point in the plantar region during gait, it was found that, on average, the highest values are in the rockers represented by the right forefoot (35.30 N/cm²) and the right hindfoot (27.31 N/cm²). According to Wafai et al. [26], the change in plantar pressure is caused by movements performed by the foot during the stance phase of non-pathological gait and generally follows a similar pattern, with greater pressure located on the hindfoot as the body weight is supported by the heel. As the foot advances toward the ground, the body weight is distributed by the entire foot and therefore allows for a more even distribution of pressure as the foot is in full support. Finally, the individual’s body weight is transferred to the forefoot, causing an increase in plantar pressure in this region as the toes prepare to propel the body forward.
In general, when comparing the values of the maximum plantar pressure in the environments of the STD and the INV, it was observed that when using the INV, 56% of the individuals in the sample showed improvement in the maximum plantar pressure in both feet in the rocker of the forefoot, 52% showed improvement in both feet in the heel rocker, and 52% of the individuals in the sample showed improvement in one of the feet in the midfoot.
The hypothesis test performed to evaluate the maximum plantar pressure was described as H0, µstd = µinv; that is, there are no significant differences in the maximum plantar pressure between the test performed with the STD and the test performed with the INV in any of the gait rockers. H1, µstd > µinv means that there is a significant difference between the insoles in some gait rockers and that one average is better than the other; that is, the insole with the lowest average is considered the best.
Therefore, according to the results obtained, it was verified that there are significant differences between the insoles and that the INV showed a reduction in the maximum plantar pressure in the rockers represented by the forefoot (32.99 N/cm²) and the hindfoot (25.67 N/cm²) in both feet (one-tailed p-value < 0.05) when comparing the average pressures of the STD in these rockers (34.31 N/cm² and 26.97 N/cm², respectively), as seen in Table 4. According to Hurst et al. [27], the place most affected by pain and discomfort from footwear is the forefoot, which demonstrates a significant result with the use of the INV. In the midfoot in the right feet, there was a significant increase in plantar pressure, which was expected due to the improvement in the pressure distribution through the reduction in the local pressure peaks and the extension of the contact area caused by the INV [28].
Table 4.
t-test: paired two samples for means maximum plantar pressure (N/cm2).
For participants who presented asymmetry, the same hypothesis test was performed: H0, µstd = µinv and H1, µstd > µinv. When comparing the STD and the INV, it was found that there are no significant differences between the insoles of these participants in any of the gait rockers, with the exception of the rocker represented by the midfoot (one-tailed p-value < 0.05), which showed a significant difference between the insoles, and the STD had a better average (17.17 N/cm²) when compared to the innovative insole (18.13 N/cm²). Although they do not show significant differences according to the t-test, it is possible to observe through the average values that the INV obtained better results in the forefoot and hindfoot (Table 5).
Table 5.
t-test: paired two samples for means maximum plantar pressure of asymmetric participants (N/cm2).
Then, when comparing the INV with the insoles used in environment four called INV4, which corresponds to the environment composed of each foot with an adequate insole regarding the classification of the type of foot, the results achieved were significant only in the right hindfoot, which showed a reduction in the mean plantar pressure from the INV (26.85 N/cm²) to the INV4 (25.75 N/cm²) with a one-tailed p-value = 0.02. The other rockers did not show significant differences between the analyzed insoles and, therefore, H0 is not rejected in the other regions (Table 6).
Table 6.
t-test: paired two sample for means maximum plantar pressure (INV and INV4) of asymmetric participants (N/cm2).
Finally, the INV was compared with the innovative insole of environment five, in which both feet used the corrected insole; here, it is called INV5. The results obtained were similar to the previous test; there was a significant improvement in the rocker of the right hindfoot when using the INV5 (25.94 N/cm²) when compared to the INV (26.85 N/cm²) with one-tailed p-value = 0.04 (Table 7).
Table 7.
t-test: paired two samples for means maximum plantar pressure (INV and INV5) of asymmetric participants (N/cm2).
According to the behavior of the maximum plantar pressure of the asymmetric participants, it was found that, a priori, there is no need to use divergent insoles; normal or asymmetry correction insoles can be used, according to the individual’s requirement.
According to what has been reported in other studies, adequate footwear is determined by the good adaptation of the foot and insole without losing the fit and function of the footwear, and one of the objectives of the insole is to promote stability and comfort [29]. Therefore, in terms of weight distribution on the ground, the results were positive. The INV showed a significant improvement in the distribution of maximum plantar pressure in the rockers represented by the forefoot and hindfoot, places where there is greater effort when compared to the STD, which indicates the comfort and efficiency of the insole itself, even though it is not specific to everyone. In addition, some of the participants in the sample spontaneously reported that when performing the test with the INV, they perceived greater comfort; one of the participants even declared: “-the difference is really noticeable, and I am very sensitive in my feet”. These reports are important, as comfort is a complex and subjective measure and therefore depends on the user’s perception and their physical and emotional conceptions [30]. However, it is necessary to understand at the stability level if this improvement in the plantar pressure distribution somehow altered the kinematics of the foot during gait through the biomechanical analysis of the gait.
3.2. Kinematic Variables
All variables related to this study were normalized for the gait cycle as well as for the time of the variables obtained by the model. Then, the means and standard deviation for each trial was calculated. In total, 25 gait cycles were obtained for analysis. The kinematic variables analyzed were Ankle_X, Ankle_Y, FETBA_Y, FFHFA_Y, and HXFFA_X, which correspond, respectively, to the ankle angle in the sagittal plane (dorsiflexion/plantar flexion) and in the frontal plane (eversion/inversion), to the tibia angle for joint visualization midtarsal joint (Chopart joint) in the frontal plane, at the angle of the forefoot in relation to the hindfoot, for visualization of the tarsometatarsal joint (Lisfranc joint) in the frontal plane, and the angle of the big toe in relation to the forefoot in the sagittal plane (dorsiflexion only).
All kinematic variables were observed between the three environments that participants were asked to execute: (1) barefoot, (2) standard insole, and (3) innovative insole. The insole likely causes stabilization to the foot, but it is necessary to understand whether the magnitude of stabilization is significantly different in the three environments (1, 2, and 3) and whether this stabilization does not compromise functional and individual mobility [31].
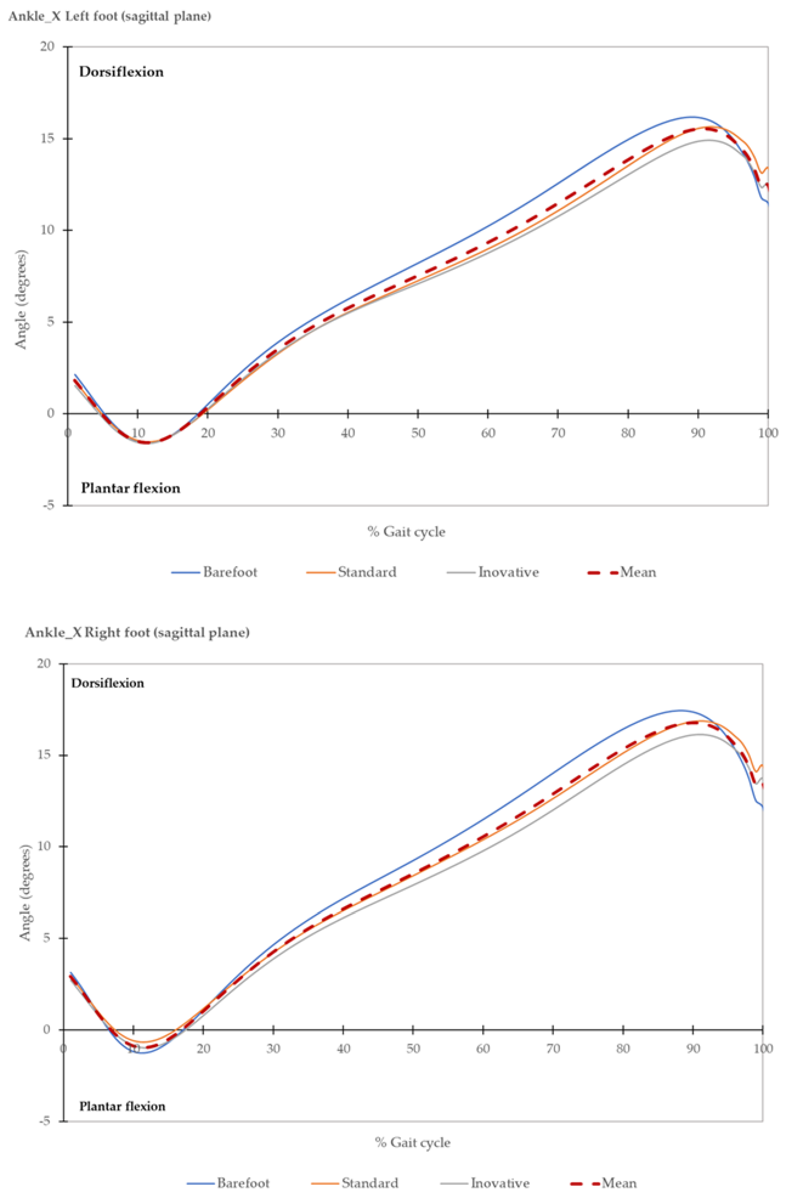
Observing the sagittal variation of the ankle, no great difference was observed in the three environments in both feet (Figure 6). The barefoot environment has a greater amplitude in relation to the environments with insoles; although it was expected that the insole constrains some of the movement, it did not escape the normality. There is a small variation in terms of the range of motion; effectively, the left foot obtained greater plantar flexion compared to the right foot. On the other hand, the right foot achieved more dorsiflexion when compared to the left foot, yet there was no major discrepancy between the values.
Figure 6.
Sagittal variation of the left and right ankle in the three environments (barefoot—blue line, standard insole—orange line, and with innovative insole—gray line).
Regarding the frontal variation of the ankle, it was found that there were no significant differences between the values in the three environments (barefoot, standard, and innovative); the temporal tracings presented similar behavior. In the left foot, there was a smaller range of motion in the inversion and a greater range in the eversion when compared to the right foot, which had a greater range in the inversion movement and a smaller range in the eversion. In addition, it was observed that, in this plane, there were no amplitude constraints in the eversion and inversion directions due to the use of insoles. Only at the end of the gait cycle on the right foot, in the innovative insole environment, there was a slight reduction in the amplitude of the inversion when compared to other environments.
Considering the tendency of the angular variation at the intrinsic midfoot joints, the midtarsal joint presents a very small variation of −1 to 3 degrees in the left foot and from −4 to 0 degrees in the right foot. In addition, it was observed that the temporal behavior in the three environments were similar (Figure 7). The left foot demonstrated a small range of inversion movement at the beginning of gait and a range of neutral position, while the right foot remained in inversion throughout the cycle. The tarsometatarsal joint also showed a slight variation of 5 degrees in the left foot and −1 to 4 degrees in the right foot. The behavior was also similar in the three environments. The left foot showed a greater eversion range of motion compared to the right foot, which at the end of the gait cycle reached a small range of inversion and neutral position.
Figure 7.
Frontal variation of the left and right ankle in the three environments (barefoot—blue line, standard insole—orange line, and with innovative insole—gray line).
The ICC statistical test was performed with the aim of confirming whether there is significant agreement between the temporal tracings of the joints in all environments to reiterate the results described. Therefore, in relation to the ankle sagittal variation (Ankle_X), the ICC estimate ranged between 0.995 and 1. In the ankle frontal variation (Ankle_Y), the ICC values ranged from 0.971 to 0.999. The ICC values in the midfoot joints (FETBA and FFHFA) variables ranged from 0.958 to 0.995, and 0.972 to 0.999, respectively. In the hallux (HXFFA), the ICC values presented values < 0.5 in bare feet and with insoles, indicating a low agreement, which was already expected because of the effect of the insole on the mobility of the hallux. However, the values between the foot with the standard and innovative insole were 0.915 (left foot) and 0.953 (right foot), which indicates a strong agreement between the environments. According to the classification by Koo and Li [21], these values describe that the time series are significantly in agreement, and therefore, there was no variation in the normal mechanics of the foot in any of the three environments analyzed; that is, the angular variation of the variable kinematics studied showed a similar behavior in the bare foot, in the foot with the standard insole, and in the foot with the innovative insole.
To determine to what extent the ranges of motion are being limited and whether there are significant differences between the three environments, the absolute range value was calculated through the maximum and minimum values of the ranges. The purpose of the insole is to support the foot, facilitating the maintenance of normal range in a sustainable way. For this, it is important that the insole not only exceeds the normal range limit but also does not favor an excessive restriction in a way that modifies the individual gait pattern and facilitates the occurrence of injuries.
Therefore, when evaluating the amplitudes in each kinematic variable and in the three environments, it was possible to verify that there were no significant changes in the amplitudes at the angles studied; all subjects maintained similar degrees of amplitude in the three environments, according to their individual characteristics. This result is confirmed by observing the dispersion of the standard deviation data in Figure 8, regarding how much the amplitude varied in each environment in the five kinematic variables, both in the left foot and in the right foot. It was found that the angle that presented the greatest variation in amplitude was the hallux (HXFFA) due to the conditioning developed by the insole, as explained above. Therefore, on average, the amplitude on the left foot in Ankle_X varies at around 0.36; in Ankle_Y, it varies at around 0.24; in the FETBA, it varies at approximately 0.24; in the FFHFA, it varies at an average of 0.39; and in HXFFA, it varies at an average of 2.56. On the right foot, the amplitude varies at an average of 0.52 in Ankle_X, 0.35 in Ankle_Y, 0.43 in FETBA, 0.75 in FFHFA, and 2.03 in HXFFA. Demonstrating that, in practice, there was no loss of amplitude, it remained stable in the three environments at the five angles observed.
Figure 8.
Scatter plot of amplitude data in the five kinematic variables in all subjects (Ankle_X—green circle, Ankle_Y—orange circle, FETBA—purple circle, FFHFA—yellow circle, and HXFFA—blue circle), in both feet.
As well as the amplitude, the coefficient of variation, defined by the ratio of the standard deviation to the average in percentage, was applied to the angular values to understand the variability of the data; after all, a smaller variation is an indicator of greater stability provided by the insole. Therefore, according to the analyzed data, the variability values in most cases reduced with the insoles or remained close to the values of the barefoot environment. To verify this finding, the averages module of the differences between each insole and the barefoot environment was performed. With the removal of some outliers that will be evaluated later, it was observed that in the left foot, the Ankle_X variable on average showed that the innovative insole showed a lower variability of 0.95 compared to the standard insole that obtained an average of 1.44. In Ankle_Y, the innovative insole showed an average variation of 20.03, and the standard insole showed an average of 24.00. In the FETBA, the innovative insole showed an average variation of 20.96 and the standard insole 38.40. In the FFHFA, the innovative insole showed an average variability of 5.95, and the standard insole showed 4.88. In the HXFFA, the innovative insole showed an average of 13.82, and the standard insole showed an average of 12.46. On the right foot in Ankle_X, the innovative insole presented an average of 2.25 variability and the standard insole 0.16. In Ankle_Y, the innovative insole obtained an average of 1.50 and the standard an average of 2.20. In the FETBA, the average obtained was 10.64 for the innovative insole and 6.41 for the standard. In the FFHFA, the innovative insole obtained 35.62 and the standard 40.68. In the HXFFA, the average obtained was 4.36 for the innovative insole and 4.49 for the standard (Table 8).
Table 8.
Averages module of the differences between each insole and the barefoot environment.
Therefore, the innovative insole showed a lower mean variability in the left foot at the Ankle_X, Ankle_Y, and FETBA angles. On the right foot, on average, there was less variability in the Ankle_Y, FFHFA, and HXFFA angles. The values were compared in relation to the barefoot environment because, according to Petersen et al. [32], barefoot walking is a less restrictive environment for movement control due to the increased sensitivity of the sensory mechanisms and the better activation of the foot and leg muscles. Furthermore, Franklin et al. [33] reported in their study that footwear design must provide a balance between ensuring that the foot is protected by the footwear and allows the foot’s natural movement and structure to be maintained.
In view of this, the evidence in the biomechanical analysis of the gait performed in this study demonstrates that the insole did not cause any loss in terms of amplitude and variability in the normal dynamics of the gait in most of the participants; therefore, any kinematic alteration that may arise with the addition of the complete shoe is more likely to be associated with the shoe itself than the insole.
3.3. 3D Anthropometric Measurements
Finally, regarding the 3D anthropometric measurements of women and men obtained through the analysis of the 3D scans, the mean, standard deviation, and 5th and 95th percentiles of the values were taken, as described, respectively, in Table 9 and Table 10.
Table 9.
Anthropometric measurements of women.
Table 10.
Anthropometric measurements of men.
4. Conclusions
Professional shoes may be associated with musculoskeletal disorders in the lower limbs due to their relevance in biomechanical variables, plantar pressure, and muscle activity. Therefore, it is necessary to pay attention to important factors when choosing shoes, such as comfort, the physical properties of the shoes and insoles, and the possible effects caused.
This study shows that the innovative insole has a better distribution, namely, in terms of the maximum plantar pressure in the forefoot and hindfoot regions, associated with heel and forefoot swing events. Somehow, there was a penalization in the midfoot. However, it may be due to the mitigating effect related to the pressure decrease on the other rockers.
Although both insoles demonstrate a reduced range of motion when walking barefoot, presenting very close behaviors, the innovative insole is shown to be closer to the barefoot behavior, an indicator that probably the stiffness of the innovative insole allows a better adjustment to the normal feet function. In addition, it is possible that the composition in terms of the material of the innovative insole influences the results obtained when compared to the standard insole. Further studies with bigger samples are needed to investigate these assumptions. The tool used to classify foot type should be reviewed as foot classification intervals could have an influence on correct insole selection.
Author Contributions
Conceptualization, A.L.G.d.M.L., S.C. and N.C.; data curation, A.L.G.d.M.L., S.C., N.C., C.P.L., T.A. and R.B.M.; formal analysis, A.L.G.d.M.L., S.C., N.C., C.P.L., A.S.P.M., T.A., R.B.M. and J.M.; funding acquisition, F.D.; investigation, A.L.G.d.M.L., S.C., N.C. and T.A.; methodology, A.L.G.d.M.L., S.C., N.C., M.C., T.A. and J.M.; project administration, S.C., N.C. and F.D.; resources, S.C., N.C., A.S.P.M., M.C., T.A., R.B.M., J.M. and P.A.; supervision, S.C., N.C. and P.A.; validation, S.C. and N.C.; visualization, A.L.G.d.M.L., S.C., N.C., T.A., P.A. and F.D.; writing—original draft, A.L.G.d.M.L., S.C., N.C., C.P.L. and T.A.; writing—review and editing, A.L.G.d.M.L., S.C., N.C., C.P.L., T.A., R.B.M. and F.D. All authors have read and agreed to the published version of the manuscript.
Funding
SHOE@FUTURE: Technological Solutions for Professional Footwear, POCI-01-0247-FEDER-033835, co-financed by the European Regional Development Fund (FEDER) through the Competitiveness and Internationalization Operational Program under the “Portugal 2020” Program. This work has been supported by FCT—Fundação para a Ciência e Tecnologia within the R&D Units Project Scope: UIDB/00319/2020.
Institutional Review Board Statement
The study was conducted in accordance with the Declaration of Helsinki and approved by the Ethics Committee of University of Minho with the document identification CEICSH 064/2023 (date of approval: 12 May 2023).
Informed Consent Statement
Informed consent was obtained from all subjects involved in the study.
Data Availability Statement
Not applicable.
Conflicts of Interest
The authors declare no conflict of interest.
References
- Gruber, C.; Vergara, L.G.L.; Gontijo, L.A. A review of the application of ergonomics in instructional design. Work 2019, 64, 601–611. [Google Scholar] [CrossRef] [PubMed]
- De Macêdo, T.A.M.; Cabral, E.L.D.S.; Silva Castro, W.R.; De Souza Junior, C.C.; Da Costa Junior, J.F.; Pedrosa, F.M.; Da Silva, A.B.; De Medeiros, V.R.F.; De Souza, R.P.; Cabral, M.A.L.; et al. Ergonomics and telework: A systematic review. Work 2020, 66, 777–788. [Google Scholar] [CrossRef] [PubMed]
- Reiman, A.; Kaivo-oja, J.; Parviainen, E.; Takala, E.P.; Lauraeus, T. Human factors and ergonomics in manufacturing in the industry 4.0 context—A scoping review. Technol. Soc. 2021, 65, 101572. [Google Scholar] [CrossRef]
- Tosi, F. Ergonomics in Design, current development and new challenges. Work 2020, 66, 913–916. [Google Scholar] [CrossRef]
- Dianat, I.; Molenbroek, J.; Castellucci, H.I. A review of the methodology and applications of anthropometry in ergonomics and product design. Ergonomics 2018, 61, 1696–1720. [Google Scholar] [CrossRef]
- Rodríguez Vega, G.; Zaldívar Colado, U.; Zaldívar Colado, X.P.; Rodríguez Vega, D.A.; de la Vega Bustillos, E.J. Comparison of univariate and multivariate anthropometric accommodation of the northwest Mexico population. Ergonomics 2021, 64, 1018–1034. [Google Scholar] [CrossRef]
- Bravo, G.; Bragança, S.; Arezes, P.M.; Molenbroek, J.F.M.; Castellucci, H.I. A literature review of anthropometric studies of school students for ergonomics purposes: Are accuracy, precision and reliability being considered? Work 2018, 60, 3–17. [Google Scholar] [CrossRef]
- Kačerová, I.; Kubr, J.; Hořejší, P.; Kleinová, J. Ergonomic Design of a Workplace Using Virtual Reality and a Motion Capture Suit. Appl. Sci. 2022, 12, 2150. [Google Scholar] [CrossRef]
- Lin, J.H.; Harris-Adamson, C.; Bao, S.; Rempel, D.; Cavuoto, L.; Robertson, M.M.; Honan, M. Alternative workstations: Magic pills for office worker health? Proc. Hum. Factors Ergon. Soc. 2017, 61, 460–464. [Google Scholar] [CrossRef]
- Harari, Y.; Bechar, A.; Riemer, R. Workers’ biomechanical loads and kinematics during multiple-task manual material handling. Appl. Ergon. 2020, 83, 102985. [Google Scholar] [CrossRef]
- McDonald, A.C.; Mulla, D.M.; Keir, P.J. Muscular and kinematic adaptations to fatiguing repetitive upper extremity work. Appl. Ergon. 2019, 75, 250–256. [Google Scholar] [CrossRef] [PubMed]
- Karakolis, T.; Barrett, J.; Callaghan, J.P. A comparison of trunk biomechanics, musculoskeletal discomfort and productivity during simulated sit-stand office work. Ergonomics 2016, 59, 1275–1287. [Google Scholar] [CrossRef] [PubMed]
- Yazgan, E.; Ozkan, N.F.; Ulutas, B.H. A questionnaire-based musculoskeletal disorder assessment for aircraft maintenance technicians. Aircr. Eng. Aerosp. Technol. 2022, 94, 240–247. [Google Scholar] [CrossRef]
- Alferdaws, F.F.; Ramadan, M.Z. Effects of lifting method, safety shoe type, and lifting frequency on maximum acceptable weight of lift, physiological responses, and safety shoes discomfort rating. Int. J. Environ. Res. Public Health 2020, 17, 3012. [Google Scholar] [CrossRef]
- Goto, K.; Abe, K. Gait characteristics in women’s safety shoes. Appl. Ergon. 2017, 65, 163–167. [Google Scholar] [CrossRef]
- Haris, F.; Liau, B.Y.; Jan, Y.K.; Akbari, V.B.H.; Primanda, Y.; Lin, K.H.; Lung, C.W. A review of the plantar pressure distribution effects from insole materials and at different walking speeds. Appl. Sci. 2021, 11, 11851. [Google Scholar] [CrossRef]
- Caravaggi, P.; Giangrande, A.; Lullini, G.; Padula, G.; Berti, L.; Leardini, A. In shoe pressure measurements during different motor tasks while wearing safety shoes: The effect of custom made insoles vs. prefabricated and off-the-shelf. Gait Posture 2016, 50, 232–238. [Google Scholar] [CrossRef]
- Motantasut, P.; Hunsawong, T.; Mato, L.; Donpunha, W. Reliability of novice and experienced physiotherapists using the normalized navicular height truncated and the foot posture index-6 for classifying static foot posture in adults. J. Phys. Ther. Sci. 2019, 31, 392–397. [Google Scholar] [CrossRef]
- Stebbins, J.; Harrington, M.; Thompson, N.; Zavatsky, A.; Theologis, T. Repeatability of a model for measuring multi-segment foot kinematics in children. Gait Posture 2006, 23, 401–410. [Google Scholar] [CrossRef]
- Bruce, P.; Bruce, A. Estatística Prática para Cientistas de Dados—50 Conceitos Essenciais, 1st ed.; Editora Alta Books: Rio de Janeiro, Brazil, 2019; ISBN 9788550813004. [Google Scholar]
- Koo, T.K.; Li, M.Y. A Guideline of Selecting and Reporting Intraclass Correlation Coefficients for Reliability Research. J. Chiropr. Med. 2016, 15, 155–163. [Google Scholar] [CrossRef]
- Pheasant, S. Bodyspace: Antropometry, Ergonomics and the Design of Work, 2nd ed.; CRC Press: Boca Raton, FL, USA, 2003; Volume 1, ISBN 0-203-79089-8. [Google Scholar]
- Menin, M. Antropometria Das Extremidades Dos Membros Inferiores De Obesos: Parâmetros Para O Desing Ergonômico de Calçados. Master’s Thesis, Universidade Estaduaul Paulista, Bauru, Brazil, 2009. [Google Scholar]
- Perry, J.; Burnfield, J.M. Gait Analysis: Normal and Pathological Function, 2nd ed.; SLACK Incorporated: West Deptford, NJ, USA, 2010; ISBN 9781617114304. [Google Scholar]
- Bilek, F.; Deniz, G.; Esmez, O.; Belhan, O. Spatiotemporal Parameters of the Operated and Non-Operated Knees Before and After Unilateral Total Knee Arthroplasty. Gait Posture 2021, 91, 192–197. [Google Scholar] [CrossRef] [PubMed]
- Wafai, L.; Zayegh, A.; Woulfe, J.; Mahfuzul, S.; Begg, R. Identification of foot pathologies based on plantar pressure asymmetry. Sensors 2015, 15, 20392–20408. [Google Scholar] [CrossRef] [PubMed]
- Hurst, B.; Branthwaite, H.; Greenhalgh, A.; Chockalingam, N. Medical-grade footwear: The impact of fit and comfort. J. Foot Ankle Res. 2017, 10, 2. [Google Scholar] [CrossRef] [PubMed]
- Naemi, R.; Linyard-Tough, K.; Healy, A.; Chockalingam, N. The influence of slow recovery insole on plantar pressure and contact area during walking. J. Mech. Med. Biol. 2015, 15, 1540005. [Google Scholar] [CrossRef]
- Ramos-Petersen, L.; Nester, C.J.; Ortega-Avila, A.B.; Skidmore, S.; Gabriel, H. A qualitative study exploring the experiences and perceptions of patients with rheumatoid arthritis before and after wearing foot orthoses for 6 months. Health Soc. Care Community 2021, 29, 829–836. [Google Scholar] [CrossRef]
- Teixeira, R.; Coelho, C.; Oliveira, J.; Gomes, J.; Pinto, V.V.; Ferreira, M.J.; Nóbrega, J.M.; Da Silva, A.F.; Carneiro, O.S. Towards customized footwear with improved comfort. Materials 2021, 14, 1738. [Google Scholar] [CrossRef]
- Lung, C.W.; Mo, P.C.; Cao, C.; Zhang, K.; Wu, F.L.; Liau, B.Y.; Jan, Y.K. Effects of walking speeds and durations on the plantar pressure gradient and pressure gradient angle. BMC Musculoskelet. Disord. 2022, 23, 823. [Google Scholar] [CrossRef]
- Petersen, E.; Zech, A.; Hamacher, D. Walking barefoot vs. with minimalist footwear—Influence on gait in younger and older adults. BMC Geriatr. 2020, 20, 88. [Google Scholar] [CrossRef]
- Franklin, S.; Grey, M.J.; Heneghan, N.; Bowen, L. Barefoot vs. common footwear: A systematic review of the kinematic, kinetic and muscle activity differences during walking. Gait Posture 2015, 42, 230–239. [Google Scholar] [CrossRef]
Disclaimer/Publisher’s Note: The statements, opinions and data contained in all publications are solely those of the individual author(s) and contributor(s) and not of MDPI and/or the editor(s). MDPI and/or the editor(s) disclaim responsibility for any injury to people or property resulting from any ideas, methods, instructions or products referred to in the content. |
© 2023 by the authors. Licensee MDPI, Basel, Switzerland. This article is an open access article distributed under the terms and conditions of the Creative Commons Attribution (CC BY) license (https://creativecommons.org/licenses/by/4.0/).







