New Inogranic Scintillators’ Application in the Electromagnetic Calorimetry in High-Energy Physics
Abstract
1. Introduction
2. Simulations in Geant4
- (1)
- Light yield simulation: the number of photons on the photodetector changes according to the Poisson distribution, with mean values of 420 phe/MeV and 6 phe/MeV for GAGG crystals and PWO crystals in the case of APD mm2 at T = –25 °C (for a convenient comparison with test beam measurements using PHOS [18]), respectively, and then recalculated back into energy;
- (2)
- Emulation of the noise of electronics, which was modeled as a random Gaussian distribution with parameters = 0 and = 5 MeV (high noise) or = 1 MeV (low noise) and then added to the energy released in each cell;
- (3)
- Cuts to the minimum energy in a cell: only those cells with an energy release above some set threshold (10 MeV for high noise; 2 MeV for low noise) were included;
- (4)
- Clustering: as in the ALICE analysis and simulation package, AliROOT [2], a cell was discarded if it did not have at least one vertex in common with the rest of the cluster.
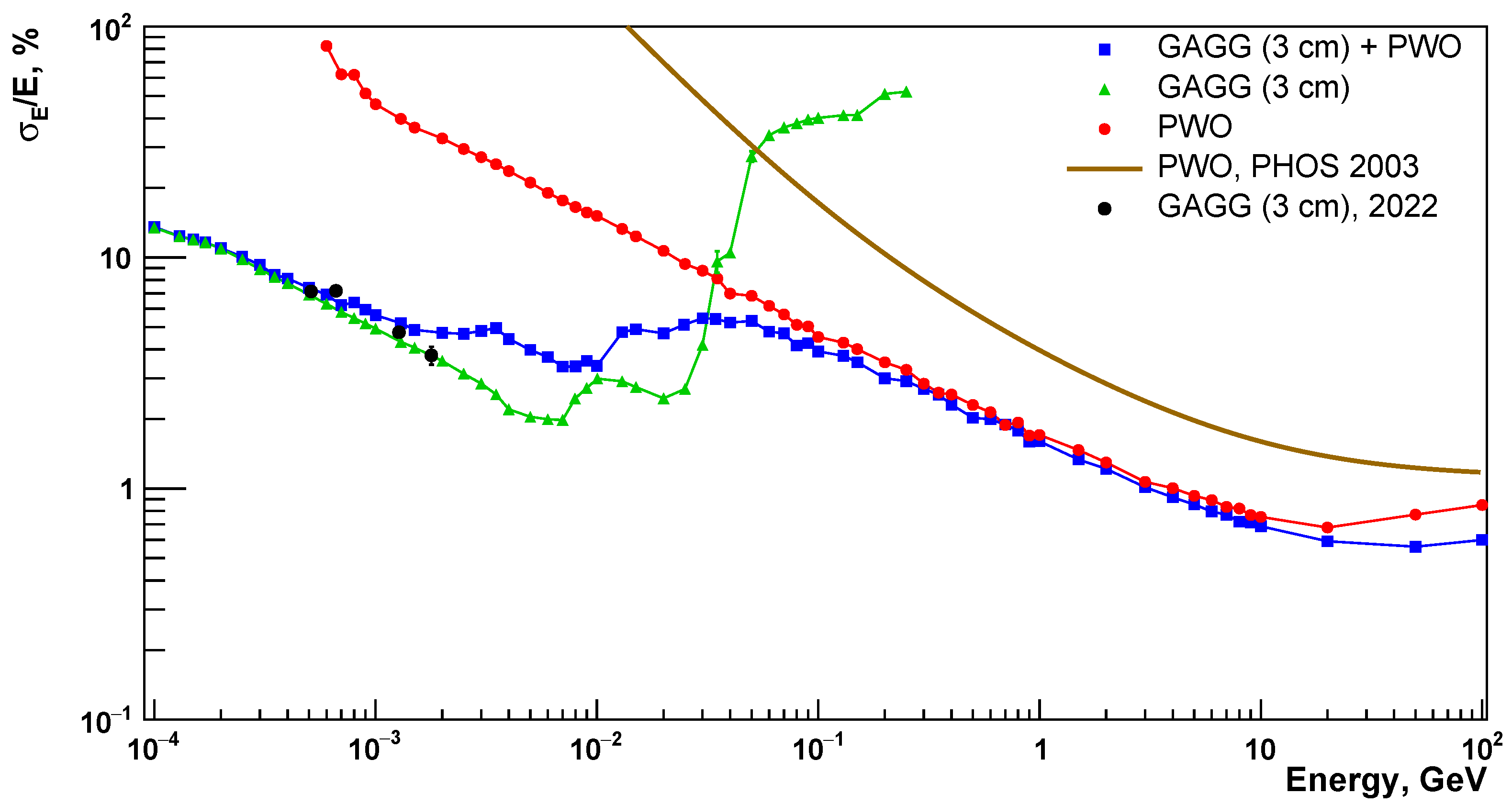
2.1. Validation of the Simulations for Pure GAGG and PWO Calorimeters
2.2. Results of the Simulations for Combined Calorimeters
3. Conclusions
Author Contributions
Funding
Institutional Review Board Statement
Informed Consent Statement
Data Availability Statement
Acknowledgments
Conflicts of Interest
References
- ALICE Collaboration; Dellacasa, G. ALICE Technical Design Report of the Photon Spectrometer (PHOS); CERN-LHCC-99-004; CERN: Geneva, Switzerland, 1999. [Google Scholar]
- Alice Collaboration. ALICE: Physics Performance Report, Volume II. J. Phys. G Nucl. Part. Phys. 2006, 32, 1295. [Google Scholar] [CrossRef]
- Collaboration, T.C. CMS Physics Technical Design Report, Volume II: Physics Performance. J. Phys. G Nucl. Part. Phys. 2007, 34, 995. [Google Scholar] [CrossRef]
- Adriani, O.; Akaike, Y.; Asaoka, Y.; Asano, K.; Bagliesi, M.G.; Bigongiari, G.; Binns, W.R.; Bongi, M.; Buckley, J.H.; Cassese, A.; et al. Status and performance of the CALorimetric Electron Telescope (CALET) on the International Space Station. Nucl. Phys. Proc. Suppl. 2014, 256–257, 225–232. [Google Scholar] [CrossRef]
- Acharya, S.; Adamová, D.; Adhya, S.P.; Adler, A.; Adolfsson, J.; Aggarwal, M.M.; Rinella, G.A.; Agnello, M.; Ahammed, Z.; Ahmad, S.; et al. Calibration of the photon spectrometer PHOS of the ALICE experiment. J. Instrum. 2019, 14, P05025. [Google Scholar] [CrossRef]
- Adam, J.; Adamová, D.; Aggarwal, M.M.; Rinella, G.A.; Agnello, M.; Agrawal, N.; Ahammed, Z.; Ahn, S.U.; Aiola, S.; Akindinov, A.; et al. Direct photon production in Pb–Pb collisions at 2.76 TeV . Phys. Lett. B 2016, 754, 235–248. [Google Scholar] [CrossRef]
- Low, F.E. Bremsstrahlung of Very Low-Energy Quanta in Elementary Particle Collisions. Phys. Rev. 1958, 110, 974–977. [Google Scholar] [CrossRef]
- Abdallah, J.; Abreu, P.; Adam, W.; Adzic, P.; Albrecht, T.; Alderweireld, T.; Alemany-Fern, R.; Allmendinger, T.; Allport, P.P.; Amaldi, U.; et al. Evidence for an excess of soft photons in hadronic decays of Z0. Eur. Phys. J. C Part. Fields 2006, 47, 273–294. [Google Scholar] [CrossRef]
- Antos, J.; Beker, H.; Brons, S.; Bussmann, K.; Dagan, S.; Drees, A.; Erd, C.; Esten, M.J.; Fabjan, C.W.; Glässel, P.; et al. Soft photon production in 450 GeV/c p-Be collisions. Z. Phys. C Part. Fields 1993, 59, 547–553. [Google Scholar] [CrossRef]
- Fomos Materials Company, GAGG(Ce) Scintillation Elements—Pixels, Lines and Matrices. Available online: https://en.newpiezo.com/products/scintillation_elements/ (accessed on 8 April 2023).
- Furuno, T.; Koshikawa, A.; Kawabata, T.; Itoh, M.; Kurosawa, S.; Morimoto, T.; Murata, M.; Sakanashi, K.; Tsumura, M.; Yamaji, A. Response of the GAGG(Ce) scintillator to charged particles compared with the CsI(Tl) scintillator. J. Instrum. 2021, 16, P10012. [Google Scholar] [CrossRef]
- Kamada, K.; Yanagida, T.; Pejchal, J.; Nikl, M.; Endo, T.; Tsutsumi, K.; Fujimoto, Y.; Fukabori, A.; Yoshikawa, A. Crystal Growth and Scintillation Properties of Ce Doped Gd3(Ga,Al)5O12 Single Crystals. IEEE Trans. Nucl. Sci. 2012, 59, 2112–2115. [Google Scholar] [CrossRef]
- CRYTUR, spol. s r.o., GAGG+. Available online: https://www.crytur.cz/materials/gagg/ (accessed on 8 April 2023).
- Pizzichemi, M. The Phase II upgrade of the LHCb calorimeter system. J. Instrum. 2020, 15, C05062. [Google Scholar] [CrossRef]
- Qi, B.; Liu, Y. R&D of a Novel High Granularity Crystal Electromagnetic Calorimeter. Instruments 2022, 6, 40. [Google Scholar] [CrossRef]
- Bigongiari, G.; Adriani, O.; Albergo, S.; Ambrosi, G.; Auditore, L.; Basti, A.; Berti, E.; Bonechi, L.; Bonechi, S.; Bongi, M.; et al. A New Approach to Calorimetry in Space-Based Experiments for High-Energy Cosmic Rays. Universe 2019, 5, 72. [Google Scholar] [CrossRef]
- Agostinelli, S.; Allison, J.; Amako, K.A.; Apostolakis, J.; Araujo, H.; Arce, P.; Asai, M.; Axen, D.; Banerjee, S.; Barr, G.J.N.I.; et al. Geant4—A simulation toolkit. Nucl. Instrum. Methods Phys. Res. Sect. A Accel. Spectrometers Detect. Assoc. Equip. 2003, 506, 250–303. [Google Scholar] [CrossRef]
- Aleksandrov, D.V.; Burachas, S.F.; Ippolitov, M.S.; Lebedev, V.A.; Manko, V.I.; Nikulin, S.A.; Nyanin, A.S.; Sibiriak, I.G.; Tsvetkov, A.A.; Vasiliev, A.A.; et al. A high resolution electromagnetic calorimeter based on lead-tungstate crystals. Nucl. Instrum. Methods Phys. Res. Sect. A Accel. Spectrometers Detect. Assoc. Equip. 2005, 550, 169–184. [Google Scholar] [CrossRef]
- Evdokimov, V.N.; Polyakov, V.A.; Rykalin, V.I. Spectral Characteristics of Some Types of PMs. IEEE Trans. Nucl. Sci. 1986, 86–34, 1–10. [Google Scholar]
- Averyanov, D.A.; Blau, D.S.; Tsyvkunova, E.A. Perspectives of Inorganic Scintillator GAGG Application for Precision Electromagnetic Calorimetry. Phys. Atom. Nucl. 2023, 86, 33–43. [Google Scholar] [CrossRef]
- Shiomi, K.; Togawa, M.; Tajima, Y.; Matsumura, T.; Kamada, K.; Shoji, Y.; Yoshikawa, A. Development of a new inorganic crystal GAGG for the calorimeter capable of the separation between neutrons and gammas. J. Instrum. 2020, 15, C07011. [Google Scholar] [CrossRef]
- Ma, L.; Zhang, L.; Wang, Z.; Qian, S.; Zhu, Y.; Wu, Q.; Yan, M.; Guo, H.; Peng, S.; Hua, Z. Study on the Possibility of Neutron Gamma Discrimination in GAGG Crystal. J. Phys. Conf. Ser. 2022, 2374, 012133. [Google Scholar] [CrossRef]
- Tamagawa, Y.; Inukai, Y.; Ogawa, I.; Kobayashi, M. Alpha–gamma pulse-shape discrimination in Gd3Al2Ga3O12 (GAGG):Ce3+ crystal scintillator using shape indicator. Nucl. Instrum. Methods Phys. Res. Sect. A Accel. Spectrometers Detect. Assoc. Equip. 2015, 795, 192–195. [Google Scholar] [CrossRef]
- Gaiser, J.E. Charmonium Spectroscopy From Radiative Decays of the J/ψ and ψ′. Master’s Thesis, Stanford University, Stanford, CA, USA, 1982. [Google Scholar]















| Property | Gd3Al2Ga3O12:Ce (GAGG) | PbWO4 (PWO) | Lu3Al5O12:Ce (LuAG) | Lu2SiO5:Ce (LSO) | NaI:Tl | CsI:Tl |
|---|---|---|---|---|---|---|
| Density, g/cm3 | 6.68 | 8.28 | 6.73 | 7.4 | 3.67 | 4.53 |
| Wavelength of radiation, nm | 530 | 520 | 535 | 420 | 415 | 550 |
| X0, cm | 1.59 | 0.89 | 1.30 | 1.10 | 2.60 | 1.86 |
| Light yield, photons/MeV | 50,000 | 100–300 | 25,000 | 30,000 | 40,000 | 54,000 |
| Decay time, ns | 95 | 20 | 70 | 70 | 230 | 680 |
| Hygroscopicity | None | None | None | None | Strong | Slight |
| Cut | Energy | Efficiency, % | Contamination , % | Contamination , % |
|---|---|---|---|---|
| ( 1.5 cm2, 2 cm2) | 5 GeV | 98.2 | 10.1 | 1.3 |
| ( 2.2 cm2, 5 cm2) | 5 GeV | 99.8 | 22.9 | 10.4 |
| ( 1.5 cm2, 2 cm2) | 500 MeV | 39.5 | 17.1 | 0.9 |
| ( 2.2 cm2, 5 cm2) | 500 MeV | 92.8 | 44.1 | 3.8 |
Disclaimer/Publisher’s Note: The statements, opinions and data contained in all publications are solely those of the individual author(s) and contributor(s) and not of MDPI and/or the editor(s). MDPI and/or the editor(s) disclaim responsibility for any injury to people or property resulting from any ideas, methods, instructions or products referred to in the content. |
© 2023 by the authors. Licensee MDPI, Basel, Switzerland. This article is an open access article distributed under the terms and conditions of the Creative Commons Attribution (CC BY) license (https://creativecommons.org/licenses/by/4.0/).
Share and Cite
Averyanov, D.; Blau, D. New Inogranic Scintillators’ Application in the Electromagnetic Calorimetry in High-Energy Physics. Appl. Sci. 2023, 13, 6189. https://doi.org/10.3390/app13106189
Averyanov D, Blau D. New Inogranic Scintillators’ Application in the Electromagnetic Calorimetry in High-Energy Physics. Applied Sciences. 2023; 13(10):6189. https://doi.org/10.3390/app13106189
Chicago/Turabian StyleAveryanov, Dmitry, and Dmitry Blau. 2023. "New Inogranic Scintillators’ Application in the Electromagnetic Calorimetry in High-Energy Physics" Applied Sciences 13, no. 10: 6189. https://doi.org/10.3390/app13106189
APA StyleAveryanov, D., & Blau, D. (2023). New Inogranic Scintillators’ Application in the Electromagnetic Calorimetry in High-Energy Physics. Applied Sciences, 13(10), 6189. https://doi.org/10.3390/app13106189

