Abstract
One of the basic possibilities of orientation in forest stands is the use of global navigation satellite systems (GNSS). Today, these systems are used for pedestrian orientation and also for off-road vehicle navigation. This article presents the results of research aimed at measuring the quality of GNSS signal in different types of coniferous and deciduous vegetation for the purpose of optimizing the navigation of off-road vehicles. To determine the structure (density) of the forest stand, tachymetry was chosen as the reference method. The Trimble Geo 7X cm edition device with Tornado for 7X antenna devices using real time VRS (virtual reference station) method was used to measure GNSS signal quality. This article presents the results of recorded numbers of GNSS satellites (GPS, GLONASS, Galileo and BeiDou) during the driving of a terrain vehicle in two different forest locations. Significant presented results include the deviations of vehicle positions determined by GNSS from tachymetrically precisely measured and marked routes along which the vehicle was moving. The authors of the article focused on the accuracy of determining the position of the vehicle using GNNS, as the most commonly used device for off-road vehicle navigation. The measurement results confirmed the assumption that the accuracy of positioning was better in deciduous forest than in coniferous (spruce) or mixed vegetation. This research was purposefully focused on the possibilities of navigation of military vehicles, but the achieved results can also be applied to the navigation of forestry, rescue and other types of off-road vehicles.
1. Introduction
Rescue and military operations usually include both movement over existing roads and also through natural terrain. In cases when drivers are not able to use some segments of roads (damaged or destroyed objects, traffic jam, etc.), they have to be provided with complete cross-country mobility (CCM) analyses considering all main geographical factors to solve transportation problems [,]. The cross-country movement of off-road vehicles is affected by various terrain features such as slope, terrain roughness, soil type, vegetation, seasonal changes to the ground surface, rivers, etc. [,,,,,,,,,,]. One of the most difficult environments in which to maneuver is forested terrain. Two-thirds of European countries are at least 30% forested. In Sweden, Finland, Estonia, Latvia, Bosnia and Herzegovina, and Slovenia, vegetation covers over 50% of the country—see Figure 1 and [,]—severely restricting the off-road movement of terrain vehicles. Types of vegetation in a specific area can also give an indication of climatic conditions, hydrologic transformation, drainage systems, water supply, and soil type. The ability of a vehicle to cross a forested area depends on whether or not it can either maneuver between tree stems or override individual trees. The planning and success of moving off-road vehicles through a forest stand depends not only on vegetation factors such as stem spacing, tree diameter, and root structure (by tree overpassing), and vehicle parameters (width, length, turning radius, weight, and traction force), but also on the quality of navigation.

Figure 1.
Forest cover in Europe.
There are several possible ways to navigate off-road vehicles. One option is to use global satellite navigation systems (GNSS). A satellite navigation system is a system that uses satellites to provide autonomous geospatial positioning. It allows small electronic receivers to determine their location (longitude, latitude, and altitude/elevation) with high precision, using time signals transmitted along a line of sight by radio from satellites. Current fully-operational GNSS applications include the United States’ Global Positioning System (GPS), Russia’s Global Navigation Satellite System (GLONASS), China’s BeiDou Navigation Satellite System (BDS), and the European Union’s Galileo. Japan’s Quasi-Zenith Satellite System (QZSS) is a (U.S.) GPS satellite-based augmentation system to enhance the accuracy of GPS, with satellite navigation independent of GPS, scheduled for 2023. The Indian Regional Navigation Satellite System (IRNSS) plans to expand to a global version in the long term. Outside of GNSS, multisensory navigation systems are increasingly being used which routinely include the sensing of non-GNSS (acceleration, radio frequency signals, gravity, magnetic fields, imaging, barometric pressure, sound waves, etc.). However, each sensor type has its own set of limitations. The aim of this presented study was to verify the quality of the GNSS signal under forest vegetation, with a focus on coniferous and deciduous vegetation of varying densities in the temperate vegetation zone of Central Europe.
The prerequisite for GNSS navigation is that data of the structure of the forest will be available, including the coordinates of the position of individual trees. We are currently seeing a growing number of studies dealing with the use of LIDAR for mapping the structure of forest vegetation, e.g., Hyyppä and Inkinen [], Persson et al. [], and Peuhkurinen et al. []. Navigation of an off-road vehicle using GNSS methods in a forest depends both on the accuracy of mapping the positions of individual trees and on the quality of the navigation itself. Both the determination of tree positions and the quality of the GNSS signal depend on many factors, such as the density of the trees, their branching, and meteorological conditions, etc. There are several studies that focus on positioning under tree crowns using various GNSS systems. Zheng et al. [] measured GPS performance by two aspects—position accuracy and data update frequency—using image processing for measuring canopy densities. Piedallu and Gégout [] tested different GPS survey components under different vegetation density covers. Valbuena et al. [] described the accuracy of measurement using differential GPS and GLONASS receivers under mountainous Pinus sylvestris canopy. Galán et al. [] analyzed the influence of forest stand variables on the accuracy of measurements performed by global positioning systems (GPS) receivers, using genetic algorithms. Bastos and Hasegawa [] observed interactions between signal interruption probability (SIP), canopy opening index, observation period, number of available satellites, and positional dilution of precision (PDOP). Ucar et al. [] studied the seasonal impact of oak–hickory forest on the positioning level using recreation-grade GPS receivers. Brach and Zasada [] raised the antenna of a GNSS receiver during measurements, in order to reduce the multipath effect in the highest part of various forest conditions. Bakula et al. [] presented the rapid static and real-time kinematic (RTK) technology for GPS/GLONASS surveying under forest environments. Luengo et al. [] presented the first-ever dual-frequency multi-constellation Global Navigation Satellite Systems Reflectometry (GNSS-R) polarimetric measurements over boreal forests and lakes from the stratosphere. According to the study by Næsset and Gjevestad [], positioning accuracy in a coniferous forest stand ranged from 0.27 to 3.48 m for observation periods ranging from 120 min to 15 min, respectively, depending on the time of measurement and number of tries. Camps et al. [] presented an analysis of the vegetation impact on GPS L1 C/A (coarse acquisition code) signals in terms of attenuation and depolarization. Lamprecht et al. [] developed a post-processing strategy to improve the positional accuracy of GNSS-measured sample plot centers and to develop a method to automatically match trees within a terrestrial sample plot to aerially detected trees. Jensen et al. [] examined contemporaneous ALOS2 PALSAR-2 L-band imaging radar, CYGNSS GNSS reflections, and ground measurements to assess associated advantages and challenges to mapping inundation dynamics, particularly in regions under dense tropical forest canopies. Wright et al. in [] presented GPS (Global Positioning System)-based methods to measure L-band GPS signal-to-noise ratios (SNRs) through different forest canopy conditions using hemispherical sky-oriented photos (HSOPs) along with GPS receivers.
Terrestrial mobile laser scanning (MLS) with GNSS navigation support has been developing dynamically in recent years. Nevalainen et al. [] proposed a two-phase on-board process, where tree stem registration produces a sparse point cloud (PC) which is then used for simultaneous location and mapping (SLAM). A field test was carried out using a harvester with a laser scanner and a global navigation satellite system (GNSS) performing forest thinning over a 520 m strip route. Čerňava et al. [] proposed an approach to the processing of MLS data of forest scanned from different views with two mobile laser scanners under heavy canopy. Qian et al. in [] analyzed how the highly precise attitude and velocity information from GNSS/INS could be integrated with SLAM to improve its robustness and accuracy for high-precision positioning in forests. Kaartinen et al. [] tested the accuracy of various instruments utilizing GNSS in motion under forest canopies of varying densities using several different combinations of GNSS and inertial measurement unit (IMU).
GNSS devices are mainly used for the navigation of off-road vehicles in forest cover. The accuracy of navigation depends on the quality of GNSS receivers, on the number and location of satellites, and also on the type of vegetation, the properties of which can change due to meteorological conditions. Verification of this accuracy is relatively time-consuming, requiring appropriate selection of representative stands, and measurements in different seasons and different meteorological conditions. The mentioned factors can significantly influence the results of research in this area.
The aim of this study was to verify the reliability of GNSS navigation of off-road vehicles in a temperate vegetation zone, focusing on a typical monocultural coniferous and deciduous forest.
2. Material and Methods
Two sites were selected to verify the quality of the GNSS signal for off-road vehicle navigation. The first measurement took place in locality 1 (Figure 2) in 2020. The second measurement took place in locality 2 (Figure 2) in 2021. Both testing areas are located in the eastern part of the Czech Republic, about 40 km northeast of Brno.

Figure 2.
Study areas: 1—deciduous forest, 2—coniferous forest, both in the military training area Brezina (www.mapy.cz).
2.1. Characteristics of Localities No. 1 and No. 2
The forest in locality 1 (WGS 84 coordinates: B = 16°58′2,29″, L = 49°19′55,68″; 642,930 E, 5,466,240 N, UTM 33N; H = 456 m) consists of the predominant winter oak (Quercus petraea), with mixed white birch (Betula pendula) and aspen (Populus tremula), which are either mixed or form more independent vegetation parts, surrounded by oak—see Figure 3. The growth is probably around 50 years old. The spatial structure of the stand is diverse, the dispersion of individuals is from individual to cluster. The location is on the top plateau, slightly exposed to the south, almost flat, and the terrain surface is slightly bent in places (possibly anthropically). Geologically, the locality is located on the Drahansky kulm, the soil-forming rock is consolidated sediments, the character is shale and debris. The measurement in this locality took place on 25 August 2020 between 9:00 and 16:00 (UTC+2). The temperature fluctuated between 18.2 °C in the morning and 21.9 °C in the afternoon at the end of the measurement; the medium humidity during GNSS measurement was 60%.

Figure 3.
Study area 1—deciduous forest.
The forest in locality 2 (WGS 84 coordinates: B = 17°00′6,57″ L = 49°22′25,92″; 643,315 E, 5,470,945 N, UTM 33N; H = 392 m) is situated on the small plateau northwest of the village of Podivice in the central part of the military training area (MTA) Brezina. Vegetation consists mostly of conifers, predominantly with Scots pine (Pinus silvestris) and Norway spruce (Picea abies), mixed winter oak (Quercus petraea), and places with aspen (Populus tremula), and white birch (Betula pendula) or beech (Fagus sylvatica), and larch (Larix decidua)—see Figure 4. The measurement in this locality took place on 26 August and 9 September 2021 between 9:00 and 16:00 (UTC+2). The temperature fluctuated between 16.2 °C in the morning and 18.9 °C in the afternoon at the end of the measurement; the medium humidity was 90%.

Figure 4.
Study area 2—mostly coniferous forest.
2.2. Measurement Methodology
When designing the methodology for determining the accuracy of navigation of a moving vehicle, the authors based the above-mentioned literature on article [], in which the authors determined the accuracy of navigation from data measured by GNSS, IMU and laser scanner (territory of Finland) and from publications focused on the combination of different navigation methods—see [,,,].
Since determining the navigation accuracy of a moving vehicle also depends on the regional characteristics of forest units, the authors chose for their own experiment two representative localities of the temperate climate zone (coniferous and deciduous forest) with typical tree species for this area. Another important factor is the quality of the GNSS signal, resulting from the quantity and distribution of satellites during the vehicle’s route, therefore, the analysis of the quantity and quality of the GNSS signal was part of the proposed methodology.
The methodology for determining the accuracy of off-road vehicle navigation using GNSS systems consisted of the following steps, see also Figure 5:

Figure 5.
Methodology of determining the accuracy of off-road vehicle navigation using GNSS.
- Demarcation of forest stand for testing with a focus on finding a relatively homogeneous part of the forest in which there were representative tree types of stand;
- Surveying the coordinates of the reference ground control points around the forest and in the middle of the forest (places not covered by vegetation) using the GNSS, Trimble Geo XR with Zephyr model 2 Geo XR antenna, the Trimble Geo 7X cm version with antenna, Tornado pro 7X devices with 2–3 cm estimated position error, and using the real time VRS (virtual reference station) method. Selected parameters of receiver Geo 7X were: firmware GNSS: 4.50.8.; software GNSS: Terra Sync version 5.86.; number of channels: 142 (max. 220); GNSS types: GPS L1/L2 (L1E, L2C), GLONASS G1/G2, Galileo E1, and BeiDou B1; SBAS types: WAAS and EGNOS;
- For field measurements, the GNSS receiver was set as: measurement mode: 1; external GNSS: 2; SBAS: 3; autonomous mode; logging interval: 1 s; elevation mask: 5°; PDOP mask: 99; signal to noise ratio (SNR): 12; and height of the external antenna location: 1 m;
- The number of reference ground control points depended on the density of forest stands;
- Measuring tree positions using tachymetry. The measurement was performed from reference ground control points, from which there was good visibility to the surrounding trees. First, the distance was measured on a pole with a surveying prism touching the tree from the side. Then the pole was moved in front of the center of the tree and the azimuth was measured. This avoided measuring eccentricities, i.e., diameter at breast high (DBH) measurement. During the measurement, the surveying prism was placed at a height of 1.3 m above the ground surface;
- Measurement of vehicle positions while driving between pre-marked trees. The GNSS Tornado pro 7X antenna of the Geo 7X receiver and the device itself were attached to the front of the vehicle body at a height of 1.0 m. The vehicle was moving between reference trees for which position coordinates had previously been measured on a route previously targeted by the tachymetric method. Before the actual testing, the route along which the vehicle was moving was also marked with a spray. This route was also measured using tachymetry in order to determine the deviations between the reference route and the routes located using the GNSS method. Deviations of vehicle movement from the reference marked path depended on the terrain configuration and vegetation density. The speed of the moving vehicle was 3–5 km·h−1, the distances between the trees were 3 m to 5 m, the height of the trees was approximately 15 m. For most of the vehicle’s path, the sky was obscured by tree branches. The receiving of satellite signals was characterized by frequent short-term outages;
- Evaluation of signal-to-noise ratio (SNR) as a function of the influence of vegetation density on the quality of the received GNSS signal;
- Evaluation of the position accuracy of a moving vehicle, determined by a GNNS receiver and compared with the coordinates of a pre-targeted vehicle route.
3. Results
The results of the presented research included targeting and displaying tree positions without measuring eccentricity (the distance was measured on a reflecting prism attached to the side of the tree and the azimuth to the center of the tree). Furthermore, the tracks along which the vehicle moved were targeted and marked by tachymetry and its positions were measured (Figure 6 and Figure 7). Additionally presented analyses include the quality of the GNSS signal during vehicle travel (Figure 8 and Figure 9), determination of the number of satellites during the course (Figure 10 and Figure 11), and determination of the estimation of receiver positioning accuracy (σHZ) and position deviations (dHZ) detected as the difference between the position recorded by the GNSS receiver and the position determined terrestrially (Figure 12, Figure 13, Figure 14, Figure 15 and Figure 16 and Table 1 and Table 2).

Figure 6.
Tree positions in area 1—deciduous forest (Ortophoto ČÚZK).

Figure 7.
Tree positions in area 2—mostly coniferous forest (Ortophoto ČÚZK).

Figure 8.
Part of the content of the *.SSF file converted to text format.

Figure 9.
Example of a specific GNSS measurement record.


Figure 10.
Number of individual GNSS satellites during measurement in area 1.

Figure 11.
Number of individual GNSS satellites during measurement in area 2.

Figure 12.
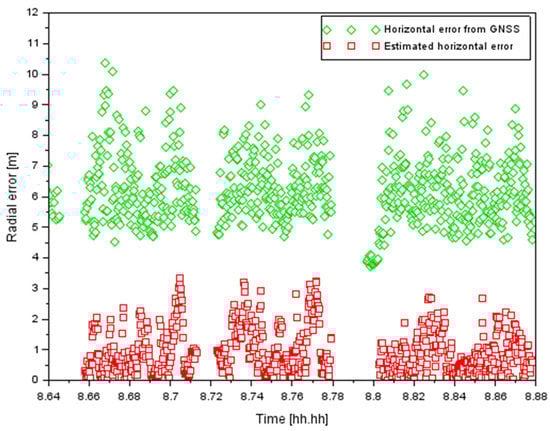
Comparison of horizontal deviations (red squares) with horizontal errors (green color) derived from GNSS file data—area 1.

Figure 13.
Comparison of horizontal deviations (red squares) with horizontal errors (green color) derived from GNSS file data—area 2.

Figure 14.
The principle of estimating the accuracy of the vehicle path from GNSS measurements.

Figure 15.
Projected routes (broken line) and GNSS focused route (blue triangles).

Figure 16.
Horizontal errors obtained from GNSS measurements (blue circles).

Table 1.
Characteristics of the accuracy of off-road vehicle navigation using GNSS means.

Table 2.
Characteristics of the accuracy of off-road vehicle navigation using GNSS means–expressed in percentiles.
3.1. Tachymetric Determination of Tree Positions
Figure 6 shows the positions of the deciduous trees, consisting of the predominant winter oak (Quercus petraea), with mixed white birch (Betula pendula) and aspen (Populus tremula), that were targeted by tachymetry. Although the accuracy of the tachymetric method for determining the positions of regular objects is in the order of millimeters, the positions of trees were measured with an accuracy of centimeters because some tree trunks were tilted; and from some tachymeter locations, the more distant trees could not be seen well because they were obscured by branches of the vegetation. Nevertheless, these determined positions of trees can be considered sufficient with respect to the GNNS method of determining the position of a moving vehicle, which oscillated in decimeters to meters depending on the position of the satellites, the structure of the vegetation, and meteorological conditions.
Figure 7 shows the positions of the trees, consisting mostly of conifers, predominantly with Scots pine (Pinus silvestris) and Norway spruce (Picea abies), mixed winter oak (Quercus petraea), places with aspen (Populus tremula), white birch (Betula pendula) or beech (Fagus sylvatica), and larch (Larix decidua). The tachymetric determination of the positions of coniferous trees was more accurate than that of deciduous trees, primarily because spruces and pines form a sparser stand with upright trunks. Predominantly coniferous stands allowed better conditions for targeting the positions of trees, as there was usually no undergrowth that hindered the targets for the determined trees.
3.2. GNSS Signal Quality Evaluation
The evaluation of the quality of the GNSS signal was performed using the GNSS Trimble Geo XR with Zephyr model 2 Geo XR antenna, and the Trimble Geo 7X cm version with antenna Tornado for 7X devices—see Section 2.2 Measurement Methodology for more details. The files recorded by the receiver were used for the evaluation (analysis) of satellite signals. The recorded binary files of type *.SSF from area 1 were transferred to text format by the SSF Editor application, which is part of the PathFinder Office program. A sample of part of the content of the records taken during the measurement in area 1 is shown in Figure 8.
The following information was obtained and evaluated from the text files:
- Number of satellites of individual GNSS types;
- GNSS receiver antenna coordinates in 1 s intervals;
- Accuracy estimates (standard deviations) of coordinates in the direction “north-south”—sigma north “east-west”—sigma east , and height—sigma up;
- Average values of PDOP and SNR of satellite signals during measurement;
- GPS connection time to all records.
A specific example of one measurement record (no. 582) related to GPS time (25.8. 2020, 8:03:10,000) is shown in Figure 9.
The number of individual GNSS satellites from which data was received during vehicle movement measurement in area 1 is shown in Figure 10.
Figure 10 shows that the largest number of GNSS satellites in area 1 belonged to GPS (9–11), followed by GLONASS (7–9). In the case of Galileo or BeiDou, the number of satellites were rather marginal. Figure 11 shows that the largest number of GNSS satellites in area 2 belonged to GPS (6–9), followed by GLONASS (4–6), Galileo (2–4), and BeiDou (0–6). It can be assumed that currently the number of correresponding satellites will be much more favorable. It is worth noting that all positioning was performed in autonomous mode.
3.3. Accuracy of Vehicle Positioning Using the GNSS Method
Figure 12 (area 1) and Figure 13 (area 2) show six (respectively, four) groups of points (clusters) that represent individual vehicle trips along the same marked route section. The green rhombuses represent the estimation of receiver positioning accuracy derived from data contained in *.SSF files from area 1, where is the estimate of accuracy in the “east-west” direction and is the estimate in the “north-south” direction—see also detail in Figure 14. The red squares show the position deviations, , detected as the difference between the position recorded by the GNSS receiver and the position determined terrestrially. The terrestrially determined positions (coordinates) were assumed as reference data due to the assumed accuracy of the GNSS measurement results. These route reference points (along which the vehicle drove) were measured terrestrially using tachymetry and signaled on the terrain surface (spray on the ground). Vehicle movement time on the route was displayed in hundredths of seconds. Note that the positional (horizontal) deviation was calculated according to the formula , where is the distance of the GNSS determined position from the reference route (Figure 14). It was clear that the positional accuracy was very pessimistic, was almost exclusively valid. The size of the actual positional deviations from the route was approximately 2× to 4× smaller. However, a general statement could not be made from the described fact. The statistical set was from a small scale of space and time.
An overview of the reliability of the data of the horizontal error with respect to the actual course of the vehicle route can be made using Figure 15 and Figure 16. In Figure 15, the projected (planned, terrestrially focused) route of the vehicle is shown by line segments. Blue triangles show the position of the vehicle determined by GNSS measurement. It should be noted that the GNSS position shows the movement of the vehicle including its approach to the projected route.
In Figure 16, circles show the horizontal errors, , which are contained in *.SSF files (see Figure 8). It follows from the figures that the data, obtained from GNSS measurement files, always included the projected route of the vehicle directed terrestrially (using tachymetry).
One of the prerequisites for GNSS signal quality analysis is the signal-to-noise ratio (SNR) evaluation as the important factor of influence of signal quality on off-road vehicle navigation in a wooded area. SNR is a measure comparing the level of a desired signal to the level of background noise. SNR is defined as the ratio of signal power to noise power (SNR = Psignal/Pnoise), often expressed in decibels. A ratio higher than 1:1 (greater than 0 dB) indicates more signal than noise.
The following summary characteristics were chosen for the individual locations (1 and 2):
- Square mean of radial (horizontal) deviations:
The calculated values of radial (horizontal) deviations are shown in Table 1. In area 1, two groups of accuracy characteristics are presented, which correspond to two measurement sections—see Figure 6 and Figure 7 (Figure 12 and Figure 13).
- 2.
- Percentiles of values and . Two percentile levels were chosen: 63%, which theoretically corresponded to the value , and 95%, theoretically corresponding to the value .
The calculated percentile values are shown in Table 2.
4. Discussion
The results of vehicle location analyses within deciduous forest (oak stand) and mostly coniferous forest (spruce and pine stand) confirmed that the accuracy of the measurement depends mainly on stand density, season (deciduous forest), vegetation age and meteorological conditions, which can significantly reduce the quality of the received GNSS signal, especially during precipitation. For this reason, it is necessary to take into account the results obtained, which were not affected by the same humidity in both tested localities (60% and 90%).
During the experiment, the number of satellites (GPS and GLONASS) varied between 15 and 20 and was never less than 11 (see Figure 10 and Figure 11). The horizontal DOP (dilution of precision) was in the interval of 0.8–4. Only two position records out of more than 400 records had DOP = 17. The dependence of the accuracy of determining the horizontal position (σHZ or dHZ) on HDOP parameters or total number of satellites was not statistically proven (significant).
The average values of the actual deviations of vehicle positions determined using GNSS from two terrestrially measured routes reached values of 2.0 m and 1.9 m in locality 1 (deciduous forest), and 1.2 m in locality 2 (mainly coniferous forest). These values are sufficient for the navigation of an off-road vehicle, provided that we evaluate the possibilities of movement using measured distances and directions (azimuths) from the start to the destination. If we are to consider the possibility of moving a vehicle in a dense forest, we have to count on greater errors in determining the position and the fact that the possibility of moving the vehicle will decrease with its increasing dimensions and with turning radius—see [].
The achieved positioning was sufficient for locating a moving vehicle, however, ultimately, the type of vegetation and terrain topography (such as deep valleys) will have a significant effect on the ability of the vehicle to maneuver between trees, but this factor was not the subject of research.
Another factor that can significantly affect the movement of the vehicle is the time of day. At night, orientation in the forest is much more difficult.
The canopy differences may be best described by the hemispheric photographs taken with the camera pointed vertically at the forest stand—see Figure 17 and Figure 18.

Figure 17.
Hemispheric photographs—deciduous forest.

Figure 18.
Hemispheric photographs—coniferous forest.
The achieved results of determining the accuracy of vehicle navigation corresponded to the character of both locations where the tests were carried out. These results can be used to assess the possibilities of navigation in similar stands that are typical for the Central European region, that is, for forests in a temperate climate zone. It can be assumed that in more northerly latitudes, drier arid regions, and inland, where vegetation is sparser, the accuracy of vehicle navigation determination will also be better. On the other hand, in denser vegetation in a monsoon forest region and in the equatorial climate zone, where the vegetation is denser and air humidity is greater, the accuracy of vehicle navigation will be worse.
In the future, the authors of this article would like to focus on research to determine the accuracy of vehicle navigation in different types of vegetation with different parameters of tree density, the nature of their crowns (density, height), and in different seasons.
5. Conclusions
The aim of this study was to investigate the accuracy of off-road vehicle navigation using GNSS receivers in typical forest stands of the temperate climate zone of Central Europe. For this purpose, two localities were chosen in which reference elements (trees and vehicle routes) were precisely located by tachymetry, which were then combined to determine the accuracy of the moving vehicle. Positioning accuracy (σHZ) and position deviations (dHZ) detected as the difference between the position recorded by the GNSS receiver and the position determined terrestrially, were determined.
The introduced research studies prove that GNSS navigation devices can be successfully used for approximate localization of moving vehicles, especially when it comes to movement in a sparse forest. Bigger problems will arise if we seek to accurately determine vehicle–tree collisions while maneuvering the vehicle between trees. In this case, it will be necessary to install terrestrial laser or radar sensors of tree positions and calculate the vehicle’s route in real time. However, this type of navigation has limited possibilities given the cover of trees and the fact that trees cannot be mapped beyond the horizon. Therefore, support using remote sensing means will also be necessary, or support using autonomous navigation, based on measuring acceleration, or determining the position using an odometer and gyroscope.
Additionally, an unscented Kalman filter (UKF)-based multi-sensor optimal data fusion methodology for INS/GNSS/CNS (inertial navigation system/global navigation satellite system/celestial navigation system) integration based on a nonlinear system model can significantly improve navigation options in terrain covered with vegetation and can provide a reliable positioning solution in case of GNSS (GPS) blockage—see [,,]. In addition, the methods based on the fundamental improvement of the fusion mechanism using matrix weighted fusion can significantly improve the quality of determining navigation in vegetation in the future—see [,].
The GNSS measurement issue under poor environments can also be addressed by identification of abnormal measurements. Some methods have been proposed to optimize off-road vehicle navigation deficiencies caused by these abnormal measurements using, e.g., a novel robust fault-tolerant federated filter based on a strapdown inertial navigation system (SINS) [,], global navigation satellite system (GNSS), celestial navigation system (CNS), and doppler velocity log (DVL) [].
Author Contributions
Organization, M.R.; conceptualization and methodology, M.R. and V.K.; measurement, V.K., F.D., M.R., J.N., P.S. and D.K.; validation, M.R., R.G., V.K. and F.D.; writing the paper M.R., V.K.; original draft preparation, M.R. All authors have read and agreed to the published version of the manuscript.
Funding
This research received no external funding.
Institutional Review Board Statement
Not applicable.
Informed Consent Statement
Not applicable.
Data Availability Statement
Map materials were prepared using mapy.cz application, orthophoto maps using https://ags.cuzk.cz/geoprohlizec/, accessed on 10 May 2023, other data were measured and analyzed by the authors of this article.
Acknowledgments
This paper is a particular result of the defense research project DZRO VAROPS managed by the University of Defence in Brno, the NATO—STO Support Project CZE-AVT-2019 and the specific research project 2021–2023 at Department K-210 managed by the University of Defence, Brno.
Conflicts of Interest
The authors declare no conflict of interest. The funders had no role in the design of the study; in the collection, analyses, or interpretation of data; in the writing of the manuscript, or in the decision to publish the results.
References
- Rada, J.; Rybansky, M.; Dohnal, F. The Impact of the Accuracy of Terrain Surface Data on the Navigation of Off-Road Vehicles. ISPRS Int. J. Geo-Inf. 2021, 10, 106. [Google Scholar] [CrossRef]
- Rada, J.; Rybansky, M.; Dohnal, F. Influence of Quality of Remote Sensing Data on Vegetation Passability by Terrain Vehicles. ISPRS Int. J. Geo-Inf. 2020, 9, 684. [Google Scholar] [CrossRef]
- Rybansky, M.; Hofmann, A.; Hubacek, M.; Kovarik, V.; Talhofer, V. Modelling of cross-country transport in raster format. Environ. Earth Sci. 2015, 74, 7049–7058. [Google Scholar] [CrossRef]
- Rybansky, M. Determination the ability of military vehicles to override vegetation. J. Terramechan. 2020, 91, 129–138. [Google Scholar] [CrossRef]
- Pokonieczny, K.; Rybansky, M. Method of Developing the Maps of Passability for Unmanned Ground Vehicles. In Proceedings of the IOP Conference Series: Earth and Environmental Science, 9th IGRSM International Conference and Exhibition on Geospatial & Remote Sensing (IGRSM 2018), Kuala Lumpur, Malaysia, 24–25 April 2018; pp. 1–9. [Google Scholar]
- Stodola, P.; Drozd, J.; Nohel, J.; Michenka, K. Model of Observation Posts Deployment in Tactical Decision Support System. In Artificial Intelligence and Lecture Notes in Bioinformatics; Lecture Notes in Computer Science (Including Subseries Lecture Notes); Springer: Berlin/Heidelberg, Germany, 2020; Volume 11995 LNCS, pp. 231–243. [Google Scholar] [CrossRef]
- Nohel, J.; Stodola, P.; Flasar, Z. Combat UGV Support of Company Task Force Operations. In Artificial Intelligence and Lecture Notes in Bioinformatics; Lecture Notes in Computer Science (Including Subseries Lecture Notes); Mazal, J., Fagiolini, A., Vasik, P., Turi, M., Eds.; Springer: Cham, Switzerland; Science and Business Media Deutschland GmbH: Baden-Wuerttemberg, Germany, 2021; Volume 12619 LNCS, pp. 29–42. ISBN 978-3-030-70739-2. [Google Scholar] [CrossRef]
- Dawid, W.; Pokonieczny, K. Analysis of the Possibilities of Using Different Resolution Digital Elevation Models in the Study of Microrelief on the Example of Terrain Passability. Remote Sens. 2020, 12, 4146. [Google Scholar] [CrossRef]
- Dawid, W.; Pokonieczny, K. Methodology of Using Terrain Passability Maps for Planning the Movement of Troops and Navigation of Unmanned Ground Vehicles. Sensors 2021, 21, 4682. [Google Scholar] [CrossRef]
- Drozd, J.; Stodola, P.; Křišťálová, D.; Kozůbek, J. Experiments with the UAS Reconnaissance Model in the Real Environment. In Modelling and Simulation for Autonomous Systems; Springer International Publishing: Cham, Switzerland, 2018; pp. 340–349. ISBN 978 3 319 76071 1. [Google Scholar]
- Heštera, H.; Pahernik, M. Physical-geographic factors of terrain trafficability of military vehicles according to Western World methodologies. Hrvat. Geogr. Glas. Geogr. Bull. 2018, 80, 5–31. [Google Scholar] [CrossRef]
- Hoskova-Mayerova, S. Geospatial Data Reliability, Their Use in Crisis Situations. In Proceedings of the 21st International Scientific Conference on The Knowledge-Based Organization (KBO), Sibiu, Romania, 15–17 June 2023; pp. 694–698. [Google Scholar]
- Hoskova-Mayerova, S.; Talhofer, V.; Otrisal, P.; Rybansky, M. Influence of Weights of Geographical Factors on the Results of Multicriteria Analysis in Solving Spatial Analyses. ISPRS Int. J. Geo-Inf. 2020, 9, 489. [Google Scholar] [CrossRef]
- Raši, R. State of Europe’s Forests 2020; Ministerial Conference on the Protection of Forests in Europe—FOREST EUROPE: Zvolen, Slovakia, 2020; Available online: https://foresteurope.org/wp-content/uploads/2016/08/SoEF_2020.pdf (accessed on 15 October 2022).
- European Union. Forestry in the EU and the World; Publications Office of the European Union: Luxembourg, 2011.
- Hyyppä, J.; Inkinen, M. Detecting and estimating attributes for single trees using laser scanner. Photogramm. J. Finl. 1999, 16, 27–42. [Google Scholar]
- Persson, A.; Holmgren, J.; Söderman, U. Detecting and measuring individual trees using an airborne laser scanner. Photogramm. Eng. Remote Sens. 2002, 68, 925–932. [Google Scholar]
- Peuhkurinen, J.; Maltamo, M.; Malinen, J.; Pitkänen, J.; Packalén, P. Preharvest measurement of marked stands using airborne laser scanning. For. Sci. 2007, 53, 653–661. [Google Scholar]
- Zheng, J.; Wang, Y.; Nihan, N.L. Quantitative Evaluation of GPS Performance under Forest Conopies; Department of Civil and Environmental Engineering, University of Washington: Seattle, WA, USA, 2002. [Google Scholar]
- Piedallu, C.; Gégout, J.C. Effect of forest environment and survey protocol on GPS accuracy. Photogramm. Eng. Remote Sens. 2005, 71, 1071–1078. [Google Scholar] [CrossRef]
- Valbuena, R.; Mauro, F.; Rodriguez-Solano, R.; Manzanera, J.A. Accuracy and precision of GPS receivers under forest canopies in a mountainous environment. Span. J. Agric. Res. 2010, 8, 1047–1057. [Google Scholar] [CrossRef]
- Galán, C.O.; Rodríguez-Pérez, J.R.; Torres, J.M.; García Nieto, P.J. Analysis of the influence of forest environments on the accuracy of GPS measurements by using genetic algorithms. Math. Comput. Model. 2011, 54, 1829–1834. [Google Scholar] [CrossRef]
- Bastos, A.S.; Hasegawa, H. Behavior of GPS signal interruption probability under tree canopies in different forest conditions. Eur. J. Remote Sens. 2013, 46, 613–622. [Google Scholar] [CrossRef]
- Ucar, Z.; Bettinger, P.; Weaver, S.; Merry, K.L.; Faw, K. Dynamic accuracy of recreation-grade GPS receivers in oak-hickory forests. Forestry 2014, 87, 504–511. [Google Scholar] [CrossRef]
- Brach, M.; Zásada, M. The effect of Mounting Height on GNSS Receiver Positioning Accuracy in Forest Conditions. Croat. J. For. Eng. 2014, 35, 245–253. [Google Scholar]
- Bakula, M.; Przestrzelski, P.; Kazmierczak, R. Reliable Technology of Centimeter GPS/GLONASS Surveying in Forest Environments. IEEE Trans. Geosci. Remote Sens. 2015, 53, 1029–1038. [Google Scholar] [CrossRef]
- Luengo, H.C.; Amèzaga, A.; Vidal, D.; Olivé, R.; Munoz, J.F.; Camps, A. First Polarimetric GNSS-R Measurements from a Stratospheric Flight over Boreal Forests. Remote Sens. 2015, 7, 13120–13138. [Google Scholar] [CrossRef]
- Næsset, E.; Gjevestad, J.G. Performance of GPS precise point positioning under conifer forest canopies. Photogramm. Eng. Remote Sens. 2008, 74, 661–668. [Google Scholar] [CrossRef]
- Camps, A.; Alonso-Arroyo, A.; Park, H.; Onrubia, R.; Pascual, D.; Querol, J. L-Band Vegetation Optical Depth Estimation Using Transmitted GNSS Signals: Application to GNSS-Reflectometry and Positioning. Remote Sens. 2020, 12, 2352. [Google Scholar] [CrossRef]
- Lamprecht, L.; Hill, A.; Stoffels, J.; Udelhoven, T. A Machine Learning Method for Co-Registration and Individual Tree Matching of Forest Inventory and Airborne Laser Scanning Data. Remote Sens. 2017, 9, 505. [Google Scholar] [CrossRef]
- Jensen, K.; McDonald, K.; Podest, E.; Rodriguez-Alvarez, N.; Horna, V.; Steiner, N. Assessing L-Band GNSS-Reflectometry and Imaging Radar for Detecting Sub-Canopy Inundation Dynamics in a TropicalWetlands Complex. Remote Sens. 2018, 10, 1431. [Google Scholar] [CrossRef]
- Wright, W.; Wilkinson, B.; Cropper, W., Jr. Development of a GPS Forest Signal Absorption Coefficient Index. Forests 2018, 9, 226. [Google Scholar] [CrossRef]
- Nevalainen, P.; Li, Q.; Melkas, T.; Riekki, K.; Westerlund, T.; Heikkonen, J. Navigation and Mapping in Forest Environment Using Sparse Point Clouds. Remote Sens. 2020, 12, 4088. [Google Scholar] [CrossRef]
- Čerňava, J.; Mokroš, J.; Tuček, J.; Antal, M.; Slatkovská, Z. Processing Chain for Estimation of Tree Diameter from GNSS-IMU-Based Mobile Laser Scanning Data. Remote Sens. 2019, 11, 615. [Google Scholar] [CrossRef]
- Qian, C.; Liu, H.; Tang, J.; Chen, Y.; Kaartinen, H.; Kukko, A.; Zhu, L.; Liang, X.; Chen, L.; Hyyppä, J. An Integrated GNSS/INS/LiDAR-SLAM Positioning Method for Highly Accurate Forest Stem Mapping. Remote Sens. 2017, 9, 3. [Google Scholar] [CrossRef]
- Kaartinen, H.; Hyyppä, J.; Vastaranta, M.; Kukko, A.; Jaakkola, A.; Yu, X.; Pyörälä, J.; Liang, X.; Liu, J.; Wang, Y.; et al. Accuracy of Kinematic Positioning Using Global Satellite Navigation Systems under Forest Canopies. Forests 2015, 6, 3218–3236. [Google Scholar] [CrossRef]
- Gao, B.; Hu, G.; Gao, S.; Zhong, Y.; Gu, C. Multi-sensor Optimal Data Fusion for INS/GNSS/CNS Integration Based on Unscented Kalman Filter. Int. J. Control. Autom. Syst. 2018, 16, 129–140. [Google Scholar] [CrossRef]
- Dai, H.-F.; Bian, H.-W.; Wang, R.-Y.; Ma, H. An INS/GNSS integrated navigation in GNSS denied environment using recurrent neural network. Defence Technol. 2020, 16, 334–340. [Google Scholar] [CrossRef]
- Gao, G.; Gao, B.; Gao, S.; Hu, G.; Zhong, Y. A Hypothesis Test-Constrained Robust Kalman Filter for INS/GNSS Integration with Abnormal Measurement. IEEE Trans. Veh. Technol. 2023, 72, 1662–1673. [Google Scholar] [CrossRef]
- Xiong, H.; Bian, R.; Li, Y.; Du, Z.; Mai, Z. Fault-Tolerant GNSS/SINS/DVL/CNS Integrated Navigation and Positioning Mechanism Based on Adaptive Information Sharing Factors. IEEE Syst. J. 2020, 14, 3744–3754. [Google Scholar] [CrossRef]
- Rybansky, M. Determination of Forest Structure from Remote Sensing Data for Modeling the Navigation of Rescue Vehicles. Appl. Sci. 2022, 12, 3939. [Google Scholar] [CrossRef]
- Hu, G.; Gao, S.; Zhong, Y.; Gao, B.; Subic, A. Matrix weighted multisensor data fusion for INS/GNSS/CNS integration. Proc. Inst. Mech. Eng. Part G J. Aerosp. Eng. 2016, 230, 1011–1026. [Google Scholar] [CrossRef]
- Zhang, P.; Qi, W. Distributed Weighting Fusion and Covariance Intersection Fusion Kalman Smoother for Systems with Colored Measurement Noises. In Proceedings of the International Conference on Intelligent Control and Computer Application (ICCA), Zhengzhou, China, 16–17 January 2016. [Google Scholar] [CrossRef]
- Gao, G.; Zhong, Y.; Gao, S.; Gao, B. Double-Channel Sequential Probability Ratio Test for Failure Detection in Multisensor Integrated Systems. IEEE Trans. Instrum. Meas. 2021, 70, 3514814. [Google Scholar] [CrossRef]
Disclaimer/Publisher’s Note: The statements, opinions and data contained in all publications are solely those of the individual author(s) and contributor(s) and not of MDPI and/or the editor(s). MDPI and/or the editor(s) disclaim responsibility for any injury to people or property resulting from any ideas, methods, instructions or products referred to in the content. |
© 2023 by the authors. Licensee MDPI, Basel, Switzerland. This article is an open access article distributed under the terms and conditions of the Creative Commons Attribution (CC BY) license (https://creativecommons.org/licenses/by/4.0/).