You are currently viewing a new version of our website. To view the old version click .
Applied Sciences
  • Article
  • Open Access

19 April 2022

Influence of Twist-Angle and Concentration Disorder on the Density of Electronic States of Twisted Graphene

,
and
Institute of Strength Physics and Materials Science of SB RAS, 2/4 Academichesky Avenue, 634021 Tomsk, Russia
*
Author to whom correspondence should be addressed.
This article belongs to the Special Issue Practical Application of Functionalized Carbon-Based Nanomaterials

Abstract

In this paper, we present an approach that makes it possible to describe, from unified physical considerations, the influence of rotation-angle and concentration disorder on the density of electronic states of two-layer twisted graphene. The electron relaxation time and the density of electronic states near the Fermi level are calculated by considering the multiple elastic scattering of electrons by impurities and structural inhomogeneities of the short-range order type. An analysis is presented of the change in the contributions to the density of electronic states from electron scattering on foreign atoms with variations in the defectiveness of the structure, impurity concentration, temperature, and the external electric field magnitude. It is shown that the formation of short-range order areas by foreign atoms in the first coordination sphere relative to the surface of the material can lead to the opening of a gap in the density of electronic states of twisted graphene. Point defects and short-range order regions formed by foreign atoms in the second coordination sphere lead to metallization of twisted graphene.

1. Introduction

Graphene still holds the interest of researchers from various fields, even 15 years after it was prepared from graphite [1]. In contrast to the well-studied single-layer graphene, twisted bilayer graphene (tBLG), with the structure determined by the angle of relative rotation of the graphite layers, has recently come to attention. Rotation is a new degree of freedom that leads to the dependence of tBLG properties on the twist angle. Twisted bilayer graphene [2] seems to have great potential, but common stacking faults, various impurity atoms, catalyst residues, and other defects violate its crystallinity, thus degrading the tBLG properties [3,4].
Twisted bilayer graphene was initially prepared by random sliding or folding single-layer graphene during its transfer from one substrate to another. The use of nanomanipulators and the improvement of growth conditions made it possible to stack graphene layers at a certain twist angle [5,6,7]. At present, tBLG single crystals are obtained under special conditions by controlling the temperature, partial pressure of various gases, the concentration of carbon-containing gases, the state and type of the substrate surface, and the separation and rotation of graphene layers at a low temperature.
The tBLG obtained experimentally has a Moiré superlattice structure between two layers, with the periodicity differing from that of single-layer and bilayer graphene [8]. Note that the periodicity of tBLG structures depends on the rotation angle nonlinearly, so does the size of its unit cell [9]. As a result of the layer rotation, disorder arises in the tBLG structure, which leads to an increase in the unit cell of the material up to 104 atoms at small rotation angles.
It has been shown theoretically [10,11,12] and experimentally [9,13] that the behavior of conduction electrons can be controlled by changing the rotation angle between tBLG layers. It has been experimentally established that electron localization can induce both insulating [14] and superconducting [15] behavior of electronic properties at certain angles. Despite numerous studies of the electronic structure of tBLG [10,11,12,13,14,15], the effect of the formation of Moiré structures on the change in the electron transport properties has not been studied enough.
Previous studies have shown that additional disorder can be formed due to interaction with various types of substrates, thermal post-processing, functionalization, etc. [16,17,18,19]. Such a disorder, as well as the rotation of graphene layers, affects the behavior of the electrons in tBLG. Experimental and theoretical studies of tBLG have revealed that foreign atoms on the surface are distributed unevenly. There are 11 different positions of adsorbed atoms on the tBLG surface depending on the rotation angle [20,21]. Muniz et al. [21,22] attribute this to the fact that tBLG supercells contain high symmetry areas (AA, AB (BA), and fullerene-like framework structures), which are adsorption centers in the material. For twist angles θ in the range from 0° to 16°, there are domains with AA or AB(BA) stacking. Outside this range, the dsorption centers are similar to the frame fullerene-like structures that appear at θ = 30°. Density functional calculations [21] showed that the position of adsorbate atoms is determined by the type of stacking at a particular tBLG point. Depending on the concentration of foreign atoms during functionalization and the doping of tBLG with a substrate, the structural defects of the material can be point or form areas of a short-range and long-range order. This is confirmed by SEM and TEM images, as well as changes in the intensity smearing and position of the D peak of various processed tBLGs investigated by Raman spectroscopy [23,24].
An external field also makes a significant contribution to the electronic structure of tBLG. It was found [25,26] that the gap in the density of electronic states (DOS) of bilayer graphene can open only in the presence of an external field. The appearance of a gap and its width are determined by the external field value and the impurity concentration in tBLG samples. Gupta et al. [27] showed that no DOS gap opens in bigraphene with differently positioned Al and Ag atoms in the zero external field. In this case, only the density of states near the Fermi level increases or decreases.
Despite the large number of previous studies, there are still difficulties in establishing a relationship between the structural and electronic properties of tBLGs in an external field due to the variety of possible structures of materials.
In the present paper, we describe two types of disorder in tBLG within the unified theory. The disorder caused by the relative rotation of graphene layers is expressed by the electron dispersion law dependent on the twist angle. The local short-range order due to the presence of foreign atoms in the tBLG structure (from the substrate, impurities, functionalization, and polymer residues) is qualitatively and quantitatively determined through the use of short-range order parameters.
With consideration of the two types of disorder, it will be established how external (external field value and temperature) and internal factors (twist angle between the carbon layers, impurity concentration, and defect type) affect the DOS of disordered tBLG, and, as a consequence, the material conductivity.

2. Calculation of the Density of Electronic States of Disordered tBLG in an External Field

The difference of the interaction energy between atoms of different types and of the same type in differently stacked domains (AA, AB, etc.) may be sufficient for neighbors of one or the other type to predominate near each of the atoms, even if long-range order does not exist in tBLG. This distribution of atoms is referred to as the short-range order. In these cases, one can speak of a correlation in the mutual arrangement of atoms. A measure of the short-range order is the ratio N i A B N c A c B z i , where N i A B is the number of pairs of atoms A and B (where A and B are two types of atoms) spaced at ri, and N c A c B z i is the number of pairs of atoms A and B that are randomly arranged in lattice sites at this spacing. Here, N is the total number of atoms in a sphere, z i is the number of sites in the ith coordination sphere, and c A and c B are the concentrations of two atomic types ( c B = 1 c A ). In this regard, the short-range order parameter in tBLG near the adsorption center of the same type for each coordination sphere can be calculated as follows [28,29]:
α i = 1 N i A B N c A c B z i  
The preliminary calculations show that different defect configurations are characterized by different values of the short-range order parameter, which can be both negative (localization of foreign atoms in the first coordination sphere relative to the tBLG surface) and positive (localization of foreign atoms in the second coordination sphere relative to the tBLG surface). To estimate the influence of electron scattering by local short-range ordered areas on the DOS near the Fermi level, α will be further calculated for each case.
The expression for the DOS of tBLG with consideration of multiple elastic scattering of electrons by impurities and structural inhomogeneities of the short-range order type was calculated using the temperature Green function method [30].
The tBLG structure is described as a system with impurities and local structural regions with a new short-range order. Foreign atoms are taken into account by specifying a random field of adsorbed atoms (of one kind, for simplicity): V ( R ) = i c ( R ) U ( R i R ) , where c ( R i ) is the filling numbers and U is the site potential in graphene. The relation c ( R i ) = c + δ c ( R i ) allows for an introduction of the quantity δ c ( R i ) δ c ( R i ) , which determines the new short-range order (or new chemical bonds) through concentration fluctuations δ c ( R i ) at the site Ri and average (macroscopic) concentration c = c ( R i ) ; the brackets mean averaging over a random distribution. The Fourier transform δ c ( R i ) δ c ( R j ) ~ ~ | c k | 2 determines the structure of the short-range ordered region so that | c k | 2 = c ( 1 c ) N i = 1 N α i cos ( k ) R i , where α i is the short-range order parameter [29] and N is the number of atoms in the structural inhomogeneity.
To take into account the influence of an external field and disorder arising from the rotation of two layers of graphene relative to each other, using the Hamiltonian in the tight coupling model [31], the dispersion law is obtained as follows
ε k = ± e 2 V 2 4 + t 0 2 + 2 ( ( p 2 ω 2 ) )
where e is the electron charge, V is the external electrical field value, t0 is the integral of electron transition between sites, ω = ( 4 π υ F 3 3 t 0 a 0 ) 2 sin 2 ( θ / 2 ) , υ F is the electron Fermi velocity, a 0 = 0 . 142 nm is the distance between the nearest carbon atoms, p is the electron momentum, and θ is the interlayer twist angle in tBLG.
The expression for the density of electronic states of tBLG, taking into account the multiple elastic scattering of electrons by impurities and the structural inhomogeneities of the short-range order type, was calculated similarly [30]. In the first stage, the one-particle Green’s function, averaged over the disorder, is represented as follows
G = G 0 + G 0 2 Σ ,
where G 0 = 1 ε ε p + i 0 is Green’s function.
= c U 0 + c 2 U 0 2 G 0 ( p ) + c U 0 2 G 0 ( p 1 ) d p 1 + U 0 2 | c ( p p 1 ) | 2 G 0 ( p 1 ) d p 1
is the self-energy part in momentum representation and U 0 is the effective potential of multiple elastic scattering of the electrons on the defects. The first two terms in (3) determine only the contribution to the change in the chemical potential. The last two terms determine the electron relaxation time 1 / 2 τ = Im .
Calculated from (3) with the replacement of (1), the relaxation time of electrons in tBLG has the form
τ = τ 0 1 + B T 1 / 2 ,  
where τ 0 = 4 π 2 U 0 2 c ν 0 is the electron relaxation time by impurities, c is the impurity concentration, and ν 0 is the DOS at the Fermi level calculated for perfect tBLG, B = 2 2 π ( 1 c ) m 3 / 2 ν 0 N h 3 k B 1 / 2 α .
The averaged Green’s function has the traditional form, but with relaxation time (4)
G = 1 ε E p + i 2 τ s i g n ε ,
where E p is the electron spectrum of disordered tBLG.
Precisely, τ is responsible for the peculiarities of the change in the one-electron properties of tBLG. As the change in the electronic spectrum is not decisive, it is assumed that ε p E p . This approach makes it possible to obtain an analytical expression for DOS, but without quantitatively taking into account the Fermi level shift.
The contribution to the DOS of tBLG from electron scattering on structural inhomogeneities and areas with local short-range order can be calculated as Δ ν = 1 π Im S p ( G G 0 ) .
The final calculated expression for the contribution to the DOS in scattering by impurities and short-range ordered regions in tBLG in an external field has the following form
Δ v = 1 2 τ A 2 v F 2 ( A ε ) ( p F A ( ( A ε ) 2 + ( 2 τ ) 2 ) 2 v F 2 ( A ε ) a r c t g ( 2 ( A ε ) A ( ( A ε ) 2 + ( 2 τ ) 2 ) p v F ) ) ,
where A = e 2 V 2 4 + t 0 2 2 ω 2 . The calculated contribution to the DOS (6) depends on the temperature, impurity concentration, short-range order parameter, interlayer twist angle, and external field via a complex relationship with the relaxation time and variable A. Below, we analyze how each parameter affects the behavior of the DOS near the Fermi level.

3. Regularities of Variation in the DOS of Perfect and Disordered tBLG

The contribution to the DOS (6) is calculated at the following parameters: the interlayer twist angle 5–20 ° , temperature 10–100 K, defect concentration of 0–0.05 for the impurity contribution and 0.05–0.15 for the short-range order contribution, and U 0 = 0.05 eV. Short-range order parameters are calculated using the developed software and vary from −0.23 to 0.4, which corresponds to different mutual positions and concentrations of foreign atoms in the tBLG structure. The sign of the short-range order parameter is negative if foreign atoms predominate in the first coordination sphere and positive if they are located in the second coordination sphere. Foreign atoms have different positions on account of the interaction with various substrates, functionalization, and other types of postprocessing of bigraphene.
Regularities of the DOS behavior of tBLG near the Fermi level are studied at various angles, impurity concentrations and configurations, temperature, and external field values. The research results are given below.
In the first stage, we study how point defects ( α = 0 , c 0 ) affect the behavior of the DOS near the Fermi level in tBLG (see Figure 1). It is shown that point defects increase the DOS near the Fermi level (Figure 1a), which agrees with the results of the work dealing with the effect of vacancy defects on the electronic structure [32,33]. The DOS near ε F increases with the growing concentration of point defects and twist angle, and decreases in a stronger external field (Figure 1b).
Figure 1. Concentration dependence of the contribution to the DOS (6) calculated at α = 0 : for θ = 5 ° (blue curve) and θ = 20 ° (red curve) (a), and 0V (black curve), 1 V (red curve) and 10 V (blue curve) for θ = 5 ° (b).
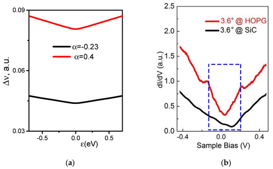
Long-Jing Yin et al. [34] studied zero-field dI/dV spectra of bilayer graphene with θ = 3.6 ° on the substrates made of silicon carbide (SiC) and highly oriented pyrolitic graphite (HOPG). According to our calculations, the resulting corrugation of the surface at this twist angle leads to the interaction of AA superstructures (amounting to 10% of the surface area) with the substrates. In this case, the distance from the tBLG to the HOPG substrate is about two coordination spheres, and to the SiC substrate it is one coordination sphere. Therefore, contribution (6) is calculated at the following parameters: c = 0.1 and α = 0.23 for the SiC substrate, and α = 0.4 for the HOPG substrate. The calculated dependences Δ ν ( ε ) and the corresponding experimental data are shown in Figure 2a. The obtained theoretical curves are in qualitative agreement with the experimental data (Figure 2b).
Figure 2. Contribution to the DOS (6) calculated at θ = 3.6 ° , c = 0.1 , (a); zero-field dI/dV spectra of twisted graphene on the HOPG (red) and SiC (black) substrates at the same twist angle ~ 3.6 ° (modified from [34]) (b).
The temperature dependence of the DOS near the Fermi level is radically different for the cases α > 0 and α < 0 at the fixed θ . Figure 3 exhibits the calculated contribution to the DOS (3) at the three temperatures: 10 K (blue), 100 K (red line), and 300 K (blue line). As can be seen, at a higher temperature, the DOS near the Fermi level increases at α > 0 (Figure 3a) and decreases at α < 0 (Figure 3b). Due to the negative contribution of electron scattering by short-range order regions at a high temperature, a gap opening is possible in the DOS. At low temperatures (up to 100 K), no gap of the DOS opens in tBLG at any negative short-range order parameters and concentrations in the zero external field. The possibility of variation in the DOS near ε F with temperature is confirmed experimentally [35].
Figure 3. Contribution to the DOS (6) calculated at α = 0.23 (a) and α = 0.4 (b), θ = 3.6 ° , and c = 0.1 .
To determine the influence of the external field on the behavior of the DOS near ε F , we consider contributions (6) at α < 0 and α > 0 (Figure 4). With foreign atoms in the first coordination sphere ( α < 0 ), the negative contribution (6) can cause a gap opening in the DOS in an external field. The higher V, the wider the gap Δ. With foreign atoms in the second coordination sphere ( α > 0 ), the contribution to the DOS (6) even at V < 0 is positive, and no gap opens in the DOS. At the same time, the quantity of Δ ν increases with decreasing the modulus V. This regularity is indirectly confirmed by the experimental data [36].
Figure 4. Dependence of DOS (6) on the magnitude of the external field calculated at α = 0.23 and α = 0.4 , θ = 3.6 ° , and c = 0.1 .

4. Conclusions

In this work, we developed a theoretical approach that allows for simultaneously describing the disorder caused by the rotation of graphene layers relative to each other and the different arrangement of foreign atoms relative to the structure of the material.
The performed theoretical study of tBLG with impurities and short-range ordered regions resulted in an expression for the contribution to the DOS, which included explicit dependence on the twist angle of the graphene layers, external field, temperature, defect concentration, and short-range order parameters describing various structural inhomogeneities. This approach makes it possible to qualitatively describe the effect of electron scattering on certain configurations of foreign atoms in a graphene matrix regarding its type of conductivity with varying temperature and external field strength.
It was shown that the presence of point defects (impurities and vacancies) increases the DOS of tBLG near the Fermi level. With point defects alone, the DOS increases with the growing twist angle and impurity concentration, but decreases in the stronger external field. At the same stress, temperature, external field, and twist angle, the DOS near the Fermi level with foreign atoms in the first coordination sphere ( α < 0 ) is always lower than that with atoms in the second coordination sphere ( α > 0 ). The temperature dependence of the DOS is also determined by the location of foreign atoms in tBLG structure—the DOS grows at α > 0 and decreases at α < 0 with an increasing temperature. The external field has different effects on the behavior of the DOS near the Fermi level: the DOS grows at α > 0 and decreases at α < 0 with increasing V. Due to the negative contribution from electron scattering by short-range order regions, a gap can open in the DOS at temperatures above 100 K.
The results obtained within the framework of the developed approach are in qualitative agreement with previous theoretical and experimental works. The proposed approach makes it possible not only qualitatively but also quantitatively to determine the size of the gap in the DOS with a change in external parameters (temperature and electric field potential) if the tBLG structure (the angle between graphene layers, the type, position, and concentrations of foreign atoms) is known.

Author Contributions

Supervision, N.B.; methodology, N.B.; formal analysis, N.B. and Y.C.; writing—original draft, review, and editing, N.B. and Y.C.; software, Y.C. and A.B.; investigation, A.B.; visualization, A.B. All authors have read and agreed to the published version of the manuscript.

Funding

The study was performed within the Russian Science Foundation grant (project no. 20-72-00138).

Institutional Review Board Statement

Not applicable.

Data Availability Statement

The data presented in this study are available on request from the corresponding author.

Acknowledgments

The study was performed within the Russian Science Foundation grant (project No. 20-72-00138). The authors are grateful to Valery Egorushkin for fruitful discussions.

Conflicts of Interest

The authors declare no conflict of interest.

References

  1. Novoselov, K.S.; Geim, A.K.; Morozov, S.V.; Jiang, D.; Zhang, Y.; Dubonos, S.V.; Grigorieva, I.V.; Firsov, A.A. Electric Field Effect in Atomically Thin Carbon Films. Science 2004, 306, 666–669. [Google Scholar] [CrossRef] [Green Version]
  2. Garlow, J.A.; Barrett, L.K.; Wu, L.; Kisslinger, K.; Zhu, Y.; Pulecio, J.F. Large-Area Growth of Turbostratic Graphene on Ni(111) via Physical Vapor Deposition. Sci. Rep. 2016, 6, 19804. [Google Scholar] [CrossRef] [Green Version]
  3. Wollbrink, A.; Volgmann, K.; Koch, J.; Kanthasamy, K.; Tegenkamp, C.; Li, Y.; Richter, H.; Kamnitz, S.; Steinbach, F.; Feldhoff, A.; et al. Amorphous, turbostratic and crystalline carbon membranes with hydrogen selectivity. Carbon 2016, 106, 93–105. [Google Scholar] [CrossRef]
  4. Zhou, Z.; Bouwman, W.G.; Schut, H.; Pappas, C. Interpretation of X-ray diffraction patterns of (nuclear) graphite. Carbon 2014, 69, 17–24. [Google Scholar] [CrossRef]
  5. Kim, K.; Yankowitz, M.; Fallahazad, B.; Kang, S.; Movva, H.C.P.; Huang, S.; Larentis, S.; Corbet, C.M.; Taniguchi, T.; Watanabe, K.; et al. van der Waals Heterostructures with High Accuracy Rotational Alignment. Nano Lett. 2016, 16, 1989–1995. [Google Scholar] [CrossRef]
  6. Chen, X.-D.; Xin, W.; Jiang, W.-S.; Liu, Z.-B.; Chen, Y.; Tian, J.-G. High-Precision Twist-Controlled Bilayer and Trilayer Graphene. Adv. Mater. 2016, 28, 2563–2570. [Google Scholar] [CrossRef]
  7. Tan, Z.; Yin, J.; Chen, C.; Wang, H.; Lin, L.; Sun, L.; Wu, J.; Sun, X.; Yang, H.; Chen, Y.; et al. Building Large-Domain Twisted Bilayer Graphene with van Hove Singularity. ACS Nano 2016, 10, 6725–6730. [Google Scholar] [CrossRef]
  8. Kim, K.; DaSilva, A.; Huang, S.; Fallahazad, B.; Larentis, S.; Taniguchi, T.; Watanabe, K.; LeRoy, B.J.; MacDonald, A.H.; Tutuc, E. Tunable moiré bands and strong correlations in small-twist-angle bilayer graphene. Proc. Natl. Acad. Sci. USA 2017, 114, 3364–3369. [Google Scholar] [CrossRef] [Green Version]
  9. Brihuega, I.; Mallet, P.; Gonzalez-Herrero, H.; Trambly de Laissardiere, G.; Ugeda, M.M.; Magaud, L.; Gomez-Rodríguez, J.M.; Yndurain, F.; Veuillen, J.Y. Unraveling the Intrinsic and Robust Nature of van Hove Singularities in Twisted Bilayer Graphene by Scanning Tunneling Microscopy and Theoretical Analysis. Phys. Rev. Lett. 2012, 109, 196802. [Google Scholar] [CrossRef] [Green Version]
  10. Bistritzer, R.; MacDonald, A.H. Transport between twisted graphene layers. Phys. Rev. B 2010, 81, 245412. [Google Scholar] [CrossRef] [Green Version]
  11. Bistritzer, R.; MacDonald, A.H. Moiré bands in twisted double-layer graphene. Proc. Natl. Acad. Sci. USA 2011, 108, 12233–12237. [Google Scholar] [CrossRef] [Green Version]
  12. Trambly de Laissardiere, G.; Mayou, D.; Magaud, L. Numerical studies of confined states in rotated bilayers of graphene. Phys. Rev. B 2012, 86, 125413. [Google Scholar] [CrossRef] [Green Version]
  13. Luican, A.; Li, G.; Reina, A.; Kong, J.; Nair, R.R.; Novoselov, K.S.; Geim, A.K.; Andrei, E.Y. Single-Layer Behavior and Its Breakdown in Twisted Graphene Layers. Phys. Rev. Lett. 2011, 106, 126802. [Google Scholar] [CrossRef]
  14. Cao, Y.; Fatemi, V.; Demir, A.; Fang, S.; Tomarken, S.L.; Luo, J.Y.; Sanchez-Yamagishi, J.D.; Watanabe, K.; Taniguchi, T.; Kaxiras, E.; et al. Correlated insulator behaviour at half-filling in magic-angle graphene superlattices. Nature 2018, 556, 80–84. [Google Scholar] [CrossRef]
  15. Cao, Y.; Fatemi, V.; Fang, S.; Watanabe, K.; Taniguchi, T.; Kaxiras, E.; Jarillo-Herrero, P. Unconventional superconductivity in magic-angle graphene superlattices. Nature 2018, 556, 43–50. [Google Scholar] [CrossRef]
  16. Mogera, U.; Kulkarni, G.U. A new twist in graphene research: Twisted graphene. Carbon 2020, 156, 470–487. [Google Scholar] [CrossRef]
  17. Nimbalkar, A.; Kim, H. Opportunities and Challenges in Twisted Bilayer Graphene: A Review. Nano-Micro Lett. 2020, 12, 126. [Google Scholar] [CrossRef]
  18. Cress, C.D.; Schmucker, S.W.; Friedman, A.L.; Dev, P.; Culbertson, J.C.; Lyding, J.W.; Robinson, J.T. Nitrogen-Doped Graphene and Twisted Bilayer Graphene via Hyperthermal Ion Implantation with Depth Control. ACS Nano 2016, 10, 3714–3722. [Google Scholar] [CrossRef] [PubMed]
  19. Hong, S.J.; Park, M.; Kang, H.; Lee, M.; Soler-Delgado, D.; Jeong, D.H.; Park, Y.W.; Kim, B.H. Manipulation of electrical properties in CVD-grown twisted bilayer graphene induced by dissociative hydrogen adsorption. Curr. Appl. Phys. 2016, 16, 1637–1641. [Google Scholar] [CrossRef]
  20. Mahapatra, P.S.; Ghawri, B.; Garg, M.; Mandal, S.; Watanabe, K.; Taniguchi, T.; Jain, M.; Mukerjee, S.; Ghosh, A. Misorientation-Controlled Cross-Plane Thermoelectricity in Twisted Bilayer Graphene. Phys. Rev. Lett. 2020, 125, 226802. [Google Scholar] [CrossRef]
  21. Muniz, A.R.; Maroudas, D. Superlattices of Fluorinated Interlayer-Bonded Domains in Twisted Bilayer Graphene. J. Phys. Chem. C 2013, 117, 7315–7325. [Google Scholar] [CrossRef]
  22. Uchida, K.; Furuya, S.H.; Iwata, J.-I.; Oshiyama, A. Atomic corrugation and electron localization due to Moiré patterns in twisted bilayer graphenes. Phys. Rev. B 2014, 90, 155451. [Google Scholar] [CrossRef]
  23. Kulothungan, J.; Muruganathana, M.; Mizuta, H. Modulation of twisted bilayer CVD graphene interlayer resistivity by an order of magnitude based on in-situ annealing. Carbon 2019, 153, 355–363. [Google Scholar] [CrossRef] [Green Version]
  24. Schmucker, S.W.; Cress, C.D.; Culbertson, J.C.; Beeman, J.W.; Dubon, O.D.; Robinson, J.T. Raman signature of defected twisted bilayer graphene. Carbon 2015, 93, 250–257. [Google Scholar] [CrossRef] [Green Version]
  25. Dahal, H.P.; Balatsky, V.; Zhu, J.-X. Tuning impurity states in bilayer graphene. Phys. Rev. B 2008, 77, 115114. [Google Scholar] [CrossRef] [Green Version]
  26. Sahu, S.; Parashar, S.K.S.; Rout, G.C. Theoretical Study of Band Gap opening in AB- stacked Bi-layer Graphene by Impurity and Electric Field Effects. Mater. Today Proc. 2016, 3, 39–44. [Google Scholar] [CrossRef]
  27. Gupta, S.K.; Soni, H.R.; Jha, P.K. Electronic and phonon bandstructures of pristine few layer and metal doped graphene using first principles calculations. AIP Adv. 2013, 3, 032117. [Google Scholar] [CrossRef]
  28. Belosludtseva, A.; Barkalov, L.; Bobenko, N.; Melnikova, N. Concentration and configurational dependence of the short-range order parameter in two-layer graphene. AIP Conf. Proc. 2019, 2167, 020033. [Google Scholar] [CrossRef]
  29. Iveronova, V.I.; Katsnelson, A.A. Modern Problems of Short-Range Order. In Order-Disorder Transformations in Alloys; Warlimont, H., Ed.; Springer: Berlin, Germany, 1973; Volume 197, pp. 306–331. [Google Scholar]
  30. Bobenko, N.G.; Egorushkin, V.E.; Melnikova, N.V.; Ponomarev, A.N. Are carbon nanotubes with impurities and structure disorder metals or semiconductors? Phys. E 2014, 60, 11–16. [Google Scholar] [CrossRef]
  31. Rozhkov, A.V.; Sboychakov, A.O.; Rakhmanov, A.L.; Nori, F. Electronic properties of graphene-based bilayer systems. Phys. Rep. 2016, 648, 1–104. [Google Scholar] [CrossRef] [Green Version]
  32. Ulman, K.; Narasimhan, S. Point defects in twisted bilayer graphene: A density functional theory study. Phys. Rev. B 2014, 89, 245429. [Google Scholar] [CrossRef] [Green Version]
  33. Namarvar, O.F.; Missaoui, A.; Magaud, L.; Mayou, D.; Trambly de Laissardiere, G. Electronic structure and quantum transport in twisted bilayer graphene with resonant scatterers. Phys. Rev. B 2020, 101, 245407. [Google Scholar] [CrossRef]
  34. Yin, L.-J.; Qiao, J.-B.; Wang, W.-X.; Zuo, W.-J.; Yan, W.; Xu, R.; Dou, R.-F.; Nie, J.-C.; He, L. Landau quantization and Fermi velocity renormalization in twisted graphene bilayers. Phys. Rev. B 2015, 92, 201408(R). [Google Scholar] [CrossRef] [Green Version]
  35. Li, S.; Liu, M.; Qiu, X. Scanning Probe Microscopy of Topological Structure Induced Electronic States of Graphene. Small Methods 2020, 4, 1900683. [Google Scholar] [CrossRef]
  36. Lu, C.-P.; Rodriguez-Vega, M.; Li, G.; Luican-Mayer, A.; Watanabe, K.; Taniguchi, T.; Rossi, E.; Andrei, E.Y. Local, global, and nonlinear screening in twisted double-layer graphene. Proc. Natl. Acad. Sci. USA 2016, 113, 6623–6628. [Google Scholar] [CrossRef] [Green Version]
Publisher’s Note: MDPI stays neutral with regard to jurisdictional claims in published maps and institutional affiliations.

Article Metrics

Citations

Article Access Statistics

Multiple requests from the same IP address are counted as one view.