Diagnosis of Artificial Flaws from Eddy Current Testing Signals Based on Sweep Frequency Non-Destructive Evaluation
Abstract
:1. Introduction
2. Numerical Simulation Procedure
3. Experimental Setup: A New Approach
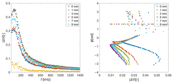
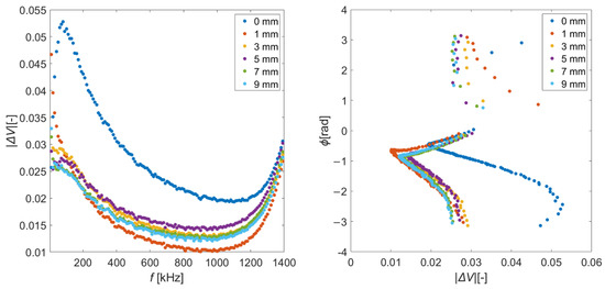
4. Results and Discussions
5. Conclusions
Author Contributions
Funding
Institutional Review Board Statement
Informed Consent Statement
Data Availability Statement
Conflicts of Interest
References
- Willcox, M.; Downes, G. A Brief Description of NDT Techniques; Insight NDT Equipment Ltd.: Herefordshire, UK, 2003. [Google Scholar]
- Garcia-Martin, J.; Gómez-Gil, J.; Vázquez-Sánchez, E. Non-Destructive Techniques Based on Eddy Current Testing. Sensors 2011, 11, 2525–2565. [Google Scholar] [CrossRef] [PubMed] [Green Version]
- Xu, J.; Wu, J.; Wan, B.; Xin, W.; Ge, Z. A novel approach for metallic coating detection through analogizing between coil impedance and plane wave impedance. NDT E Int. 2020, 116, 102308. [Google Scholar] [CrossRef]
- Janousek, L.; Smetana, M.; Capova, K. Enhancing information level in eddy-current non-destructive inspection. Int. J. Appl. Electromagn. Mech. 2010, 33, 1149–1155. [Google Scholar] [CrossRef]
- Rebican, M.; Chen, Z.; Yusa, N.; Janousek, L.; Miya, K. Shape reconstruction of multiple cracks from ECT signals by means of a stochastic method. IEEE Trans. Magn. 2006, 42, 1079–1082. [Google Scholar] [CrossRef]
- Xu, J.; Wu, J.; Xin, W.; Ge, Z. Measuring Ultrathin Metallic Coating Properties Using Swept-Frequency Eddy-Current Technique. IEEE Trans. Instrum. Meas. 2020, 69, 5772–5781. [Google Scholar] [CrossRef]
- Li, Y.; Tian, G.Y.; Simm, A. Fast analytical modelling for pulsed eddy current evaluation. NDT E Int. 2008, 41, 477–483. [Google Scholar] [CrossRef]
- Cheng, W.; Hashizume, H. Characterization of multilayered structures by swept-frequency eddy current testing. AIP Adv. 2019, 9, 035009. [Google Scholar] [CrossRef] [Green Version]
- Xin, J.; Lei, N.; Udpa, L.; Udpa, S.S. Rotating field eddy current probe with bobbin pickup coil for steam generator tubes inspection. NDT E Int. 2013, 54, 45–55. [Google Scholar] [CrossRef]
- Kim, D.; Udpa, L.; Udpa, S. Remote field eddy current testing for detection of stress corrosion cracks in gas transmission pipelines. Mater. Lett. 2004, 58, 2102–2104. [Google Scholar] [CrossRef]
- Cheng, W.; Hashizume, H. Determination of Layers’ Thicknesses by Spectral Analysis of Swept-Frequency Measurement Signals. IEEE Sens. J. 2020, 20, 8643–8655. [Google Scholar] [CrossRef]
- Stubendekova, A.; Janousek, L. Non-destructive testing of conductive material by eddy current air probe based on swept frequency. J. Elect. Eng. 2015, 66, 174–177. [Google Scholar] [CrossRef] [Green Version]
- Chen, Z.; Salas-Avlia, J.R.; Tao, Y.; Yin, W.; Zhao, Q.; Zhang, Z. A novel hybrid serial/parallel multi-frequency measurement method for impedance analysis in eddy current testing. Rev. Sci. Instrum. 2020, 91, 024703. [Google Scholar] [CrossRef] [PubMed]
- Rubinacci, G.; Tamburrino, A.; Ventre, S. Fast numerical techniques for electromagnetic nondestructive evaluation. Nondestr. Test. Eval. 2009, 24, 165–194. [Google Scholar] [CrossRef]
- Mao, X.; Leib, Y. Thickness measurement of metal pipe using swept-frequency eddy current testing. NDT E Int. 2016, 78, 10–19. [Google Scholar] [CrossRef]
- Jardine, A.K.S.; Lin, D.; Banjevic, D. A review on machinery diagnostics and prognostics implementing condition-based maintenance. Mech. Syst. Signal Process. 2006, 20, 1483–1510. [Google Scholar] [CrossRef]
- Balageas, D.; Fritzen, C.P.; Guemes, A. Structural Health Monitoring, 1st ed.; ISTE Ltd.: London, UK, 2006; ISBN 1-905209-01-0. [Google Scholar]
- Vaverka, F.; Smetana, M.; Gombarska, D.; Janousek, L. Nondestructive Evaluation of Conductive Biomaterials Using SFECT Method. Measurement 2021. In Proceedings of the 13th International Conference, Smolenice, Slovakia, 17–19 May 2021. [Google Scholar]
- Michniakova, M.; Janousek, L.; Smetana, M. Impact of probe configuration on cracks depth resolution in pulsed eddy current non-destructive evaluation. Electr. Rev. 2012, 88, 226–228. [Google Scholar]


















| Attribute | Symbol | Value |
|---|---|---|
| Rx width | wRx | 0.7 mm |
| Rx height | hRx | 2 mm |
| Rx radius | rcoil | 1.4 mm |
| Rx number of turns | NRx | 140 |
| Tx width | wTx | 0.5 mm |
| Tx height | hTx | 2 mm |
| Tx radius | rcoil | 1.4 mm |
| Tx number of turns | NTx | 80 |
| Tx-Rx lift off | hlo | 0.8 mm |
| Core height | hc | 5.7 mm |
| Core radius | rc | 0.55 mm |
| Core relative permeability | μcore | 13,000 |
| Shielding width | wsh | 1 mm |
| Flaw No. | Specimen 1 | Specimen 2 |
|---|---|---|
| Flaw 1 | dsp1 = 1 mm | dsp2 = 5 mm |
| lsp1 = 10 mm | lsp2 = 10 mm | |
| wsp1 = 0.25 mm | wsp2 = 0.25 mm | |
| Flaw 2 | dsp1 = 3 mm | dsp2 = 5 mm |
| lsp1 = 10 mm | lsp2 = 15 mm | |
| wsp1 = 0.25 mm | wsp2 = 0.25 mm | |
| Flaw 3 | dsp1 = 5 mm | dsp2 = 5 mm |
| lsp1 = 10 mm | lsp2 = 20 mm | |
| wsp1 = 0.25 mm | wsp2 = 0.25 mm | |
| Flaw 4 | dsp1 = 7 mm | dsp2 = 5 mm |
| lsp1 = 10 mm | lsp2 = 25 mm | |
| wsp1 = 0.25 mm | wsp2 = 0.25 mm | |
| Flaw 5 | dsp1 = 9 mm | dsp2 = 5 mm |
| lsp1 = 10 mm | lsp2 = 30 mm | |
| wsp1 = 0.25 mm | wsp2 = 0.25 mm |
| Parameter | Probe A | Probe B | Probe C | |
|---|---|---|---|---|
| Depth | Median | −0.0049 | −0.0059 | −0.028 |
| StD | 0.0079 | 0.0084 | 0.1023 | |
| Length | Median | −0.0043 | −0.0067 | −0.0467 |
| StD | 0.0083 | 0.0254 | 0.1251 | |
Publisher’s Note: MDPI stays neutral with regard to jurisdictional claims in published maps and institutional affiliations. |
© 2022 by the authors. Licensee MDPI, Basel, Switzerland. This article is an open access article distributed under the terms and conditions of the Creative Commons Attribution (CC BY) license (https://creativecommons.org/licenses/by/4.0/).
Share and Cite
Vaverka, F.; Smetana, M.; Gombarska, D.; Janousek, L. Diagnosis of Artificial Flaws from Eddy Current Testing Signals Based on Sweep Frequency Non-Destructive Evaluation. Appl. Sci. 2022, 12, 3732. https://doi.org/10.3390/app12083732
Vaverka F, Smetana M, Gombarska D, Janousek L. Diagnosis of Artificial Flaws from Eddy Current Testing Signals Based on Sweep Frequency Non-Destructive Evaluation. Applied Sciences. 2022; 12(8):3732. https://doi.org/10.3390/app12083732
Chicago/Turabian StyleVaverka, Filip, Milan Smetana, Daniela Gombarska, and Ladislav Janousek. 2022. "Diagnosis of Artificial Flaws from Eddy Current Testing Signals Based on Sweep Frequency Non-Destructive Evaluation" Applied Sciences 12, no. 8: 3732. https://doi.org/10.3390/app12083732
APA StyleVaverka, F., Smetana, M., Gombarska, D., & Janousek, L. (2022). Diagnosis of Artificial Flaws from Eddy Current Testing Signals Based on Sweep Frequency Non-Destructive Evaluation. Applied Sciences, 12(8), 3732. https://doi.org/10.3390/app12083732

