Next Article in Journal
Impact Thresholds of Parameters of Binaural Room Impulse Responses (BRIRs) on Perceptual Reverberation
Next Article in Special Issue
Response Surface Methodological Approach for Optimizing Theobroma cacao L. Oil Extraction
Previous Article in Journal
A One-Phase Tree-Structure Method to Mine High Temporal Fuzzy Utility Itemsets
 
 
Font Type:
Arial Georgia Verdana
Font Size:
Aa Aa Aa
Line Spacing:
Column Width:
Background:
Article

Recovery of Carotenoids from Tomato Pomace Using a Hydrofluorocarbon Solvent in Sub-Critical Conditions

1
Department of Chemical Engineering, Materials, and Industrial Production, University of Naples Federico II, P. Tecchio 80, 80125 Naples, Italy
2
Department of Industrial Engineering, University of Niccolò Cusano, Via Don Carlo Gnocchi 3, 00166 Rome, Italy
3
I.T.P. Innovation and Technology Provider S.r.l., Via Bisignano a Chiaia 68, 80121 Naples, Italy
*
Author to whom correspondence should be addressed.
Appl. Sci. 2022, 12(6), 2822; https://doi.org/10.3390/app12062822
Submission received: 8 February 2022 / Revised: 2 March 2022 / Accepted: 7 March 2022 / Published: 9 March 2022

Abstract

:
The enrichment of oils with nutraceutical bioactive phytomolecules allows the achievement of functional oil-based products of great interest in the food, pharmaceutical, and cosmetic fields. Carotenoids, such as lycopene and β-carotene, are available at a high concentration in tomatoes and tomato waste products, as peels, seeds, and pulp; their recovery is recently attracting growing interest and economic importance in the food industry, and also in consideration of the huge amount of industrial waste produced. The aim of this work is to study the production of an oil functionalized with carotenoids from tomato peels. The extractions were carried out using an innovative process based on the use of commercial Norflurane as solvent in subcritical conditions. Extraction trials were performed on dried tomato peels, with the addition of tomato seeds or wheat germ flour as sources of oily co-solvents, capable of also preserving the biological characteristics of the carotenoids extracted. Although lycopene solubility in Norflurane is quite low, the solvent recirculation and regeneration were allowed to reach a concentration in the oily extracts of approximately 0.3 mg/goil after 2 h of the process. The enrichment in β-carotene was more pronounced, and concentrations of 0.733 mg/goil and 0.952 mg/goil were observed in wheat germ and tomato seed oils, respectively. The results obtained in this study were compared with those obtained by traditional and supercritical CO2 extraction methods.

1. Introduction

Tomato represents one of the most known vegetables in the world, and it is a precious source of nutrients such as lycopene, proteins, organic acids, vitamins, and many other beneficial compounds [1] that are present in the seeds, rich in proteins and oils, and skins, rich in dietary fibers and lycopene. Tomatoes are cultivated and processed for consumer needs, and the so called “Tomato Pomace” is obtained as a waste, which consists of tomato pulp, skins, and seeds.
On average, the production waste obtained represents about 3–5% by weight of the raw material used [2]; the total estimated yield of tomato pomace in the world is about 5.4–9 × 106 tons, it being understood that this information is quite difficult to census.
The management of these wastes represents a significant environmental and economic issue for the industry: it is an unavoidable and extremely important problem and can lead to two possible solutions: disposal or reuse. Disposal must be performed properly, since the pomace is mainly composed of water and nutrients and, consequently, it could easily deteriorate, giving rise to a source of pollution for the environment, as well as being a waste of resources. Moreover, these wastes can impact negatively on the environment since they are a potential source of methane, a gas that negatively contributes to global warming [3]. The proper disposal of these abundant residues represents an economical issue for the food industries due to the average cost for their removal. On the other hand, it is possible to evaluate the reuse of this tomato pomace, which could be converted into useful resources: this principle is at the base of bioeconomy, which finds industrial application in bio-refinery. To respect the principles of bioeconomy, tomato wastes are currently reused for animal feeding or as fertilizers, and they have been proposed to produce different products, such as chemicals biocatalysts, biopolymers suitable for different applications and energy production [4]. Tomato contains large amounts of high added-value compounds such as carotenoids (around 90–180 mg/kg of fresh weight), mainly lycopene (80–90% of the total carotenoids) and β-carotene (2–3% of the total carotenoids) [5]. Low amounts of other carotenoids such α-γ-and ε-carotenes, phytoene, phytofluene, neurosporene, and lutein are also present [6].
Kun et al. [7] showed that carotenoids have positive effects on human health due to their strong antioxidant activity. Furthermore, epidemiological studies suggested an important role of lycopene in protecting against cancer and cardiovascular diseases [8,9].
For these reasons, tomato can be used as a functional ingredient in food formulations, and several studies on its potential functionalization were carried out in order to enhance its beneficial properties and broaden the field of applications in which it can be involved [10,11,12,13]. Lycopene (ψ, ψ-carotene) is an acyclic tetraterpene hydrocarbon with 13 carbon–carbon double bonds, 11 of which are conjugated. The high degree of conjugation makes this carotenoid one of the most powerful natural antioxidants, with a singlet-oxygen quenching ability twice as high as that of β-carotene and ten times higher than that of α-tocopherol [14]. Its beneficial properties for human health suggest including this compound as a functional ingredient in various formulations, such as enriched beverages, food supplements, as well as in cosmetic and pharmaceutical applications. Lycopene is industrially produced by chemical synthesis or extracted from vegetable sources, mainly tomatoes. Clinical studies have shown that dietary supplements made with natural lycopene are more effective than those containing its synthetic form, probably for the presence of other bio-active molecules co-extracted from natural sources, which synergize with lycopene in promoting positive effects on human health [15]. Its antioxidant activity is synergistically enhanced by the presence of other tomato phytochemicals including β-carotene, phytoene, and phytofluene [16]. Large amounts of lycopene and other carotenoids are contained in tomato by-products, equivalent to 40% of the raw material. During fruit ripening, lycopene accumulates in the skins, where its concentration results to be above five times higher than in the pulp [17], while tomato seeds contain an oil with high nutritional quality, due to its high amounts of phytosterols and antioxidants [18]. Lycopene is insoluble in water and soluble in highly toxic organic solvents, such as benzene, chloroform, and dichloromethane, but it decomposes easily during storage. Supercritical CO2 (sc-CO2) extraction, currently used for a large range of applications, such as decaffeination, refining of lubricant oils, and extraction of natural products from vegetable matrices, represents a way to overcome the drawbacks associated with the use of conventional organic solvents, as their toxicity, difficulties of separation from the extract, and presence of traces into the exhaust solid and the extracts. Several studies were focused on the optimization of sc-CO2 extraction conditions by varying temperature, pressure, and flow rate and by adding organic co-solvents [19,20,21]. In particular, the adoption of high pressures (up to 500 bar) allowed to reach considerable extraction yields at the expense of a lower selectivity [22]. Supercritical fluid extraction has been successfully used also in combination with pressurized liquid extraction, which ensures high process selectivity toward target metabolites of interest for several industrial applications [23]. Moreover, the use of vegetable oils as co-solvents has been demonstrated to improve the extraction yields, contributing to avoiding the degradation of the lycopene during the extraction process [24]. The addition of an oleaginous co-matrix with the tomato matrix, as a source of an oily co-solvent, can enhance the lycopene sc-CO2 extraction yield and preserve its stability [25,26]. Many authors [19,26,27,28,29,30,31] investigated the effect of the extraction conditions on the lycopene and β-carotene recovery from tomato peels in the presence of tomato seeds through an sc-CO2 extraction technique.
The results reported in literature are within a wide range of variability due to the different matrices and experimental conditions tested and the different scale of the extraction reactors used.
Colucci Cante et al. [32,33] showed the feasibility of extracting lipid fractions from food waste, such as bilberry seeds and spent coffee grounds, respectively, using a hydrofluorocarbon solvent, namely Norflurane, at moderate pressures (5–8 atm). Norflurane or R134a is a haloalkane refrigerant, GRAS (“Generally Recognized As Safe”) certified by the FDA (“Federal Food, Drug, and Cosmetic Act”).
It is usually used as a propellant for inhalers and extinguishing agents, and in recent years has found interesting applications also as a solvent. Norflurane has zero Ozone Depletion Potential but a Global Warming Potential of 1300 (Federal Electronics Challenge, 2012), so a complete recycle and capture of the solvent within a process is of great importance. Lapkin et al. [34] carried out a comparative study about different technologies using traditional ad emerging solvents for the extraction of artemisinin, in terms of capital and operative costs, safety, toxicity, and global environmental impact. R-134a is less efficient than hexane in terms of greenhouse gas emissions, but it has better indicators in risk, safety, toxicity, and operating costs [34]. This work was focused on the possibility of revaluing tomato waste through the production of functionalized oils rich in carotenoids. An innovative, inexpensive, and low environmental impact extraction technology was proposed, and its competitiveness with other current techniques was demonstrated.
In particular, extraction yields of lycopene and β-carotene from tomato peels (TP) in the presence of two different co-matrices, Tomato Seeds (TS) and Wheat Germ Flour (WGF), were investigated by a patented extraction system [35] using Norflurane (1,1,1,2-tetrafluoroethane) in subcritical conditions as a solvent. The effect of the arrangement of these co-matrices on the extraction yields and the extraction kinetics of carotenoids was studied.
The choice of WGF, as alternative lipid source for the co-extraction, was due to its high value-added oil content, given the high amount of unsaturated fatty acids, about 80%, mostly linoleic (18:2) and linolenic (18:3) [36], and the presence of other valued products as tocopherol, up to about 2500 mg/kg [37]. TS were instead chosen as the source of oily co-solvent since they are already contained in the raw wasted material with a weight fraction of about 60% on a wet basis and are very interesting from the nutritional point of view for their high lycopene, β-carotene, sitosterol, cycloartenol, and stigmasterol content [18].
For these reasons, TS and WGF oils could be particularly suitable for the development of functional oils enriched in lycopene and β-carotene to improve the extraction yields and avoid the degradation of lycopene during the extraction process.

2. Materials and Methods

2.1. Raw Materials and Sample Preparation

Tomato fruits, San Marzano variety, and WGF (Natural Food brand) were purchased in a local store in Naples. The following were used: 95% n-hexane anhydrous (Sigma-Aldrich, Milan, Italy), 99.8% acetonitrile anhydrous (Sigma-Aldrich), 99.8% methanol (Sigma Aldrich), and Norflurane (LGC Standards, Milan, Italy).
Raw fruits were blanched in boiling water for 2 min, and tomato peels (TP) were manually separated. Tomato Seeds (TS) were recovered from fruit pulp using a kitchen sieve. The initial moisture content (MCi) of peels and seeds was measured by drying them at 105 °C for 24 h. Values of 88% (gH2O/gwet peels) and 85% (gH2O/gwet seeds) were measured, respectively.
To perform the extraction runs, tomato peels and seeds were gently dried in a ventilated stove at 60 °C for 5 h, and a final moisture content of 6% and 11% (gH2O/gMCi), respectively, was found. Subsequently, both dried materials were ground in a commercial bladed grinder for 30 s. Total oil and carotenoid contents in TS, WGF, and TP were determined using n-hexane by the Soxhlet technique for 5 h. These values were used as a reference for evaluating the extraction yields obtained during the extraction tests using Norflurane.

2.2. Lab-Scale Apparatus

Extraction trials were performed by using the lab-scale closed system shown in Figure 1 based on a patented process [35] described by Colucci Cante et al. [32,33].
Liquid solvent (Norflurane) was percolated through the matrices placed in an extraction reactor at a flow rate of 100 mL/min and a pressure of 8 bar, enriching with oil and/or carotenoids. After the enrichment phase, the solvent was fed into an expansion vessel where, at lower pressure (about 4–5 bar), the solvent was gasified, and the carotenoid-rich lipid fraction was released at the bottom.
The clean gaseous solvent was then recompressed and recycled in liquid form to the extraction chamber. By repeating this cycle, it was possible to efficiently extract the oil and carotenoids contained in the matrices, overcoming issues linked to their low solubility in Norflurane.

2.3. Extraction Process

Extraction runs were performed on ground TP using ground TS and WGF as sources of oily co-solvents. Three different preparations of the extraction bed were arranged:
(1) TP without any co-matrix; (2) by blending TP with TS or WGF, named BPS (Blended Peels and Seeds) and BPWGF, respectively; (3) by placing a layer of TS or WGF in the upper part of the ground TP bed, to have a percolation first through the co-matrix and then through the TP layer. In the following, these beds are indicated as LSP and LWGFP.
Dynamic extraction trials were performed to determine
  • Total extraction yields of lycopene and β-carotene after 2 h runs carried out on P;
  • Total extraction yields of lycopene and β-carotene after 2 h runs carried out on BPS;
  • Total extraction yields of lycopene and β-carotene after 2 h runs carried out on BPWGF;
  • Total extraction yields of lycopene and β-carotene after 2 h runs carried out on LSP;
  • Total extraction yields of lycopene and β-carotene after 2 h runs carried out on LWGFP;
  • Cumulative extraction yields of lycopene and β-carotene determined during 2 h of extraction process on LSP bed.
  • Cumulative extraction yields of lycopene and β-carotene determined during 2 h of process on LWGFP bed.
Oil, lycopene, and β-carotene yields (ηo, ηL, and ηβc) were evaluated with reference to the total oil (OC, goil/gdry solid), lycopene (LC, mglycopene/gdry solid), and β-carotene (βC, mgβ-carotene/gdry solid) contents, respectively, according to Equations (1)–(3):
η o = m o m s × OC
η L = m L m s × LC
η β c = m β c m s × β C
where mo, mL, and mβc are the amounts by weight of oil, lycopene, and β-carotene extracted, respectively, and ms is the mass of solid matrix treated.
In Table 1, the main process conditions used for the extraction trials are summarized.
The TP-to-TS mass ratio (MTP/MTS) used in this work for trials #2/(BPS), #4/(LSP), and #6/(LSP) was suggested by Machmudah et al. [29] as the optimal choice to maximize the lycopene concentration in tomato seed oil during sc-CO2 extraction. A higher amount of WGF used in #3/(BPWGF), #5/(LWGFP), and #7/(LWGFP) was chosen to compensate the lower oil content in WGF than that measured in TS.

2.4. Analytical Methods

Lycopene and β-carotene analysis
Lycopene and β-carotene concentrations were measured by HPLC, Agilent 1230equipped with a Diode Array Detector (Agilent Technologies, Milan, Italy); the column used is a Phenomenex ZB-WAX C18 (5 μm, 250 mm × 4.6 mm).
Two eluents were fed in a gradient at a flow rate of 1.8 mL/min: A, 100% water, and B, 50% methanol-50% acetonitrile. For the first 15 min, 10% of A and 90% of B were eluted with, subsequently, 100% of eluent B until the end of the run. The detection wavelength was set at 436 nm. Lycopene and β-carotene solutions at known concentrations (0.254 mg/mL) were prepared for building a calibration curve.
Fatty acids analysis
Fatty acids profiles of the extracts were determined by an Agilent 6890 gas chromatograph, using a Phenomenex ZB-WAX column (0.25 μm, 60 m × 250 μm) and a flame ionization detector (FID). Temperature was initially maintained at 140 °C for 1 min, raised at a rate of 4 °C/min until to 240 °C in a total run of 30 min. A transesterification process was realized by diluting 15 mg of oil in 1 mL of hexane and 30 μL of 2 N KOH solution in methanol. After stirring for 5 min at room temperature, 1 μL of transesterified oil solution was injected by a split-splitless method (split ratio of 1:20), and helium was used as carrier gas at a flow rate of 1.5 mL/min.

2.5. Solubility Study

Hansen solubility theory was used to calculate the relative solubility of tomato seed oil, wheat germ oil, and carotenoids in Norflurane and other common solvents [38].
The Hansen parameters (δd: dispersion parameter; δp: polar parameter; δhb: hydrogen bonding parameter) were calculated by the group contribution method [39], used by Colucci Cante et al. [32] for evaluating bilberry oil solubility in Norflurane. The total Hansen parameter, δT, and the fractional Hansen parameters, fd, fp, and fhb, are defined by Equations (4)–(7), respectively:
δT2 = δd2 + δp2 + δhb2
fd = δd/(δd + δp + δhb)
fp = δp/(δd + δp + δhb)
fhb = δhb/(δd + δp + δhb)
where
  • δT = total Hansen parameter [MPa]1/2;
  • δd = dispersion parameter [MPa]1/2;
  • δp = polar parameter [MPa]1/2;
  • δhb = hydrogen bonding parameter [MPa]1/2;
  • fd = fractional dispersion parameter;
  • fp = fractional polar parameter;
  • fhb = fractional hydrogen bonding parameter.

2.6. Statistical Analysis

Statistical analysis was carried out using Microsoft® Excel® (Version 2202 Build 16.0.14931.20116) Each extraction experiment and analysis was performed in triplicate, and mean values and standard deviations (n = 3) were calculated for all the experimental data. Their significance was evaluated by Student’s t-test, accepting as significant only results that showed values of p < 0.05.

3. Results

In Table 2, oil content (OC) and carotenoid content (LC and βC) determined in each matrix with the Soxhlet technique are reported. Extraction yields obtained in trials #1 ÷ #5 are reported in Table 3.
Trial#1 provided extraction yields equal to 0.005 ± 0.001 mg/mg and 0.074 ± 0.002 mg/mg for lycopene and β-carotene, respectively. These low values could be attributed not only to the difficulties in penetrating the extracting solvent into the P matrix but also to the low affinity of Norflurane with lycopene and β-carotene and their possible degradation in the absence of protecting co-solvents during the extraction process. In trials #2 and #3, TP were blended to TS and WGF, respectively, and used as lipid sources, in order to enhance the extraction process and increase the carotenoid stability.
During trial #2/(BPS), the simultaneous extraction of TS oil and carotenoids allowed for obtaining higher extraction yields of 0.063 ± 0.004 mg/mg and 0.421 ± 0.023 mg/mg for lycopene and β-carotene, respectively, and the final concentrations of carotenoids in the TS lipid fraction resulted to be 0.240 ± 0.004 mg/g for lycopene and 0.600 ± 0.011 mg/g for β-carotene.
When WGF was used as a co-matrix in trial #3/(BPWGF), lycopene and β-carotene yields of 0.106 ± 0.009 mg/mg and 0.292 ± 0.013 mg/mg, respectively, were found, and lycopene and β-carotene concentrations of 0.270 ± 0.012 mg/g and 0.263 ± 0.007 mg/g, respectively, were reached in WGF oil after 2 h of the extraction process. To understand if a different availability of the lipid fractions used as co-solvents could improve the extraction yields, oily co-matrices (TS and WGF) were arranged in a layer configuration in the upper region of the extraction chamber, above the TP layer (trials #4 and #5).
In the case of trial #4/(LSP), a sensible increase in the extraction of carotenoids was observed, as reported in Table 3, and extraction yields resulted approximately doubled in comparison with those obtained with the blended arrangement (BPS). Yields equal to 0.132 ± 0.010 mg/mg and 0.733 ± 0.037 mg/mg for lycopene and β-carotene, respectively, were reached in the 2 h process, and lycopene and β-carotene concentrations of 0.328 ± 0.163 mg/g and 0.952 ± 0.002 mg/g, respectively, were measured in tomato seed oil. Analogously, the layered configuration LWGFP (trial #5) showed a slight increase in lycopene yield (0.123 ± 0.010 mg/mg) and a much higher β-carotene recovery (0.842 ± 0.043 mg/mg, respectively) than those observed in BPWGF. Moreover, the corresponding carotenoid concentrations measured in WGF oil were 0.309 ± 0.012 mg/g, for lycopene, and 0.733 ± 0.038 mg/g, for β-carotene. Table 4 shows a comparison between various solvents, in terms of amount of lycopene extracted with respect to the TP dry weight.
Cumulative extraction yields of the oils and carotenoids were determined during trials #6/(LSP) and #7/(LWGFP). Figure 2 shows a comparison between the cumulative yields of TS and WGF oils, determined with layered configurations. After 60 min of extraction, it was possible to observe a clear decrease in the oil extraction rate, due to the decreasing availability of oil inside the matrix, as the extraction process proceeded. Maximum oil yields of approximately 0.82 mg/mg and 0.96 mg/mg were obtained from tomato seeds and wheat germ flour, respectively, after 2 h of process.
Lower values of TS oil extraction efficiency were presumably due to the semipermeable coat of tomato seeds, which offered a greater resistance to the extraction.
Figure 3 shows the cumulative lycopene and β-carotene extraction yields evaluated during trials #6/(LSP) and #7/(LWGFP). For each carotenoid, the yields obtained with the two typologies of co-matrices were very similar, and all showed a decrease in the extraction rate after 40–60 min of process, due to a lowering of the extraction rate of lipid fraction. Moreover, the extraction efficiencies obtained after 120 min of process were slightly higher than 10%, for lycopene, and 80% for β-carotene.
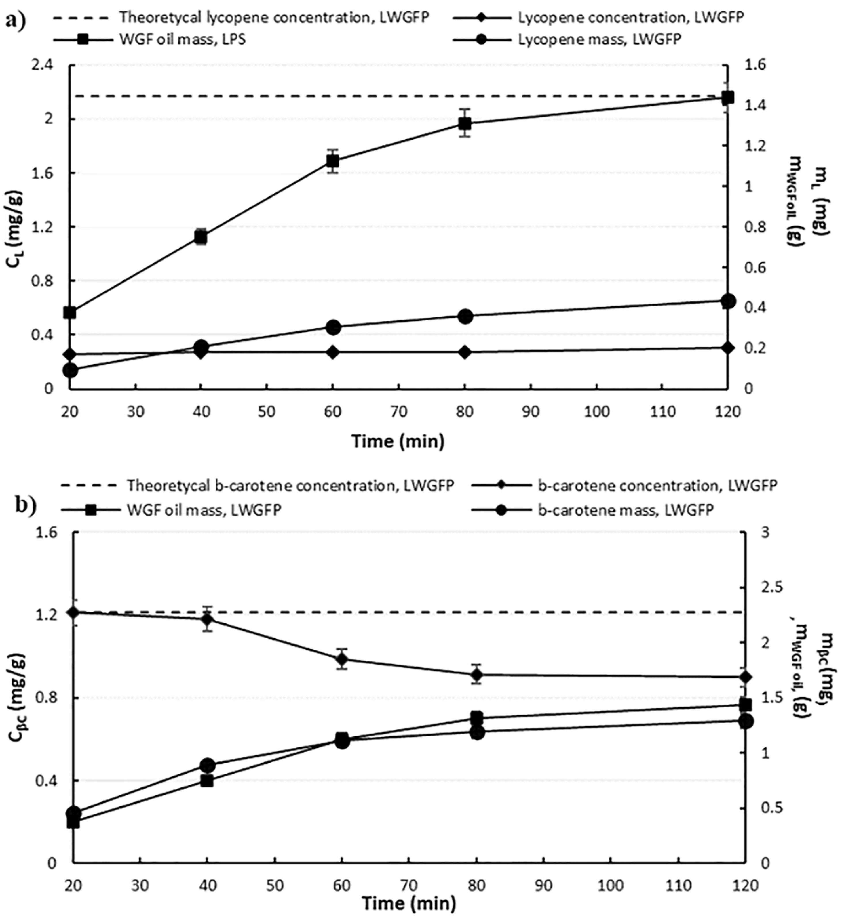
In Figure 4 and Figure 5, the amounts of oil and carotenoids extracted during trials #6 and #7 and the corresponding concentrations of lycopene and β-carotene are reported. The ideal concentrations obtainable if all the oil and all the carotenoids were completely extracted during the process are indicated as theoretical.
Lycopene concentration (Figure 4a) in TS oil remained approximately constant (0.3 mg/g) during the entire extraction process and resulted to be much lower than the theoretical concentration achievable (2.78 mg/g). Moreover, during the first phase of extraction, the β-carotene concentration in TS oil was higher than the theoretical value of 0.95 mg/g, which was reached after 45 min and remained approximately constant until the end of the process. In fact, in the first process stage of the process, the amount of β-carotene initially recovered was higher than the oil mass simultaneously extracted, leading to a more concentrated tomato seed oil. Conversely, in the last extraction period, the trend of oil and β-carotene mass curves was reversed, and a lowering of the concentration was observed, due to the greater quantity of oil extracted compared to that of β-carotene.
During trial #7, as shown in Figure 5a, wheat germ flour oil enriched in lycopene with a constant concentration of approximately 0.28 mg/g, much lower than the theoretical value of 2.17 mg/g.
On the other hand, β-carotene concentration in WFG oil was close to the theoretical value (1.21 mg/g) during the first 40 min of process and decreased during the second extraction phase, when the extracted β-carotene mass diminished with respect to the oil amount simultaneously recovered (Figure 5b).
Table 5 shows the fatty acid profiles determined for wheat germ and tomato seed oils extracted by Norflurane and n-hexane. For each oily matrix, the differences between the profiles evaluated with both solvents were not statistically significant (p > 0.05).
In tomato seed oil, a great amount of palmitic (C16:0), oleic (C18:1, ω-9), and linoleic (C18:2, ω-6) acids and minor quantities of stearic (C18:0) and linolenic (C18:3, ω-3) acids were observed while palmitic, oleic, linoleic, and linolenic acids were predominant in wheat germ oil.
In all cases, an unsaturated to saturated fatty acids ratio higher than 1 was assured.
Fractional Hansen Parameters, fp, fd, and fhb, were calculated for lycopene, β-carotene, tomato seed oil, and wheat germ oil. They are represented in the Hansen ternary plot in Figure 6 and are compared with the fractional parameters related to other common organic solvents [38].
The relative distances among the representative points of lycopene, β-carotene, and TS/WGF oils were very small, thus highlighting a good affinity of these carotenoids not only with the oily co-solvents used but also with Norflurane. Moreover, the distances between the two carotenoids and Norflurane were quite similar to those evaluated with respect to CO2; this attested the fundamental role of the stronger operating conditions used in sc-CO2 processes on the better extraction performances than those reached by the Norflurane process.

4. Discussion

Extraction efficiencies, for both lycopene and β-carotene, in the presence of lipid co-solvents were significantly higher, of two orders of magnitude, than those obtained with peels alone. When the selected co-matrices were mixed with peels inside the extraction chamber, a simultaneous extraction of oil and carotenoids was observed, and the presence of solubilized oil in Norflurane enhanced the release of carotenoids in the total extract. Furthermore, the layered arrangement of the matrices in the extraction bed showed to have a large effect on the extraction performances, which was more marked for β-carotene. By this configuration, solvent percolation occurred first through the co-matrix, during which Norflurane enriched with oil, and then through the peel layer.
In this way, all the available co-solvent that dissolves in Norflurane came into contact with skins, enhancing the recovery of carotenoids, and functional extracts, rich in lycopene and β-carotene, were obtained.
Garti et al. [41] studied the lycopene solubilization in Jojoba oil, using 10% lycopene oleoresin, and found a lycopene concentration equal to 0.7 mg/100 goil.
Mieliauskaitė et al. [42] measured a lycopene concentration value of 0.75 mg/100 goil using fresh peels or 10% lycopene oleoresin after a continuous 7 h stirring at 20 °C with a (1:1) mass ratio. In literature, the solubility in edible oils of β-carotene was reported equal to 0.08% at room temperature, 0.2% at 60 °C, and 0.8% at 100 °C [43].
As shown in Table 4, the quantity of lycopene extracted by Norflurane with co-solvents is of the same order of magnitude as that obtained by running extractions with several combinations of common organic solvents at 35 °C for 1 h, using an excess of solvent (solid mass-to-solvent volume ratio of 1:30) to compensate the low solubility of carotenoids [40]. Extraction kinetics of lycopene and β-carotene were studied (trials #6 and #7), and the lycopene yield (approximately 10%) obtained in 2 h of process was quite similar to that reported by Machmudah et al. [27], when the extraction was carried out using sc-CO2 (at 90 °C, 20 MPa, with a solvent flow rate of 3 mL/min and 3 h of process time) and tomato peels and tomato seeds were mixed in the same mass ratio used in this work (37:63 w/w). The final yields obtained during trials #6 and #7 were slightly higher than those measured after 2 h continuous runs (trials #4/LSP and #5/LWGFP).
It could be due to the intermittent conduction of the process, necessary for the sampling operations, that tended to improve the contact between Norflurane and the matrix after each restart. The lycopene concentration measured in both TS and WGF oils was approximately constant (0.3 mg/g) during the process time and higher than the lycopene solubility value of 0.75 mg/100 g found in rapeseed oil by Mieliauskaitė et al. [42]. Moreover, the concentration values of β-carotene in both oils were quite close to the theoretical values (0.95 mg/g and 1.21 mg/g in TS and WGF oils, respectively), defined as ideal concentrations obtainable if all the oil and carotenoids were completely extracted during the process. Furthermore, a decreasing trend during the last phases of the process was observed, owing to a lowering of the β-carotene extraction rate compared with that of oil.
Data obtained with the extraction process investigated in this work allowed calculating the average effective solubilities of lycopene and β-carotene in Norflurane.
In the following Table 6, the calculated solubilities were compared to the values reported by various authors in literature, who investigated sc-CO2 as an extracting solvent, without and with the presence of co-solvents.
These data are not easily comparable due to the widely diversified process conditions, such as different feedstocks and various solvent flow rates fed to the extraction bed.
However, it is possible to observe that the average solubilities of lycopene evaluated in Norflurane were approximately two orders of magnitude lower than those measured with sc-CO2, owing to the higher amount of solvent fluxed through the solid bed; moreover, the stronger temperature and pressure conditions adopted in sc-CO2 processes allowed for always achieving higher lycopene yields.
As reported in Table 6, in all cases the addition of co-solvents guaranteed an improvement in terms of extraction yields. When extractions were carried out using Norflurane as a solvent in the presence of tomato seeds or wheat germ flour, lycopene yields of the same orders of magnitude as those obtained with sc-CO2 without co-solvents [28,29] were reached.
When sc-CO2 was used in the presence of tomato seed oil or hazelnut oil, directly loaded in the extraction system without any solid co-matrix mixed with peels [29,31], a higher recovery of lycopene than that obtained with the best bed arrangement (LSP and LWGFP) found in this work was observed, at the expense of using much higher pressures and temperatures and greater quantities of co-solvent.
Honda et al. [27] and Saldana et al. [30] used olive oil, ethanol, or canola oil as co-solvents and reported lycopene efficiencies comparable with those obtained with Norflurane.
The results reported in Table 6 confirmed the greater solubility of β-carotene than that of lycopene, either using sc-CO2 or Norflurane. In both cases, in fact, the solubility of β-carotene was about 4 orders of magnitude greater than that evaluated for lycopene. In this work, the enhancement effect provided by the oily co-solvents was more marked for β-carotene, with yields that exceeded 70%.

5. Conclusions

In this work, extraction tests on dried and ground tomato peels were performed by an innovative system using Norflurane as a solvent in subcritical conditions, with the purpose of extracting lycopene and β-carotene from tomato pomace. Low extraction yields of 0.005 ± 0.001 mg/mg and 0.074 ± 0.002 mg/mg for lycopene and β-carotene, respectively, were obtained after 2 h of process.
To improve lycopene and β-carotene extraction yields, oleaginous co-matrices, ground tomato seeds, and wheat germ flour, were used. To exploit the presence of lipid fractions with a twofold function of co-solvents and preserving/stabilizing agents towards carotenoids, tomato seeds or wheat germ flour were mixed with tomato peels or layered in the upper part of the extraction bed.
In general, the layered arrangement of the matrices provided a more significant enrichment of oils in both lycopene and β-carotene, in comparison with peels alone or peels mixed with the co-matrices inside the extraction chamber.
When the layered configuration was used, a significant improvement of the extraction performances was observed, and lycopene yields of 0.132 ± 0.010 mg/mg and 0.123 ± 0.008 mg/mg were reached in 2 h of process, using tomato seeds and wheat germ flour, respectively, as co-matrices. In both cases, the improvement in β-carotene recovery resulted in being much higher than that observed for lycopene, and yields of 0.733 ± 0.037 and 0.842 ± 0.043 mg/mg were obtained in the presence of tomato seeds and wheat germ, respectively, after 2 h of process. Lycopene concentration in the oily extracts was approximately 0.3 mg/goil while the enrichment in β-carotene resulted to be more pronounced, with concentrations of 0.733 mg/goil and 0.952 mg/goil in wheat germ and tomato seed oils, respectively.
The good affinity of the two carotenoids with the co-solvents, and their key role in the extraction improvement, were confirmed by a solubility study based on Hansen Theory. The relative solubilities estimated for the two carotenoids in Norflurane were quite similar to those evaluated with respect to CO2: this attested the fundamental role of the stronger operating conditions used in sc-CO2 processes, which usually ensure better extraction performances than those obtained using Norflurane.
Although the state of the art shows better results with supercritical CO2 in terms of effective solubility of lycopene and extraction yields, the continuous solvent regeneration and recirculation, the milder operating conditions required by the Norflurane process investigated in this work, and the optimization of the process through the choice of suitable co-matrices and reactor configurations could compensate these low solubilities and ensure satisfactory performances by means of an economically more-convenient extraction system.

Author Contributions

Conceptualization, I.G. and R.N.; methodology, R.C.C., M.G., I.G. and R.N.; validation, R.C.C., M.G. and I.G.; investigation, R.C.C., L.V. and I.G.; formal analysis, R.C.C. and M.G.; visualization, R.C.C. and I.G.; data curation, R.C.C., M.G., L.V. and I.G.; writing—original draft, R.C.C.; writing—review and editing, R.C.C.; supervision, I.G. and R.N.; project administration, I.G. and R.N. All authors have read and agreed to the published version of the manuscript.

Funding

This research received no external funding.

Institutional Review Board Statement

Not applicable.

Informed Consent Statement

Not applicable.

Conflicts of Interest

The authors declare no conflict of interest.

References

  1. Giovanelli, G.; Paradiso, A. Stability of dried and intermediate moisture tomato pulp during storage. J. Agric. Food Chem. 2002, 50, 7277–7281. [Google Scholar] [CrossRef] [PubMed]
  2. Zuorro, A.; Fidaleo, M.; Lavecchia, R. Enzyme-assisted extraction of lycopene from tomato processing waste. Enzym. Microb. Technol. 2011, 49, 567–573. [Google Scholar] [CrossRef] [PubMed]
  3. Fernandez-Gomez, M.J.; Dıaz-Ravina, M.; Romero, E.; Nogales, R. Recycling of environmentally problematic plant wastes generated from greenhouse tomato crops through vermicomposting. Int. J. Environ. Sci. Technol. 2013, 10, 697–708. [Google Scholar] [CrossRef] [Green Version]
  4. Scoma, A.; Rebecchi, S.; Bertin, L.; Fava, F. High impact biowastes from South European agro industries as feedstock for second-generation biorefineries. Crit. Rev. Biotechnol. 2016, 36, 175–189. [Google Scholar] [CrossRef]
  5. Dumas, Y.; Dadomo, M.; Lucca, G.; Grolier, P. Effects of environmental factors and agricultural techniques on antioxidant content of tomatoes. J. Sci. Food Agric. 2003, 83, 369–382. [Google Scholar] [CrossRef]
  6. Strati, I.F.; Oreopoulou, V. Effect of extraction parameters on the carotenoid recovery from tomato waste. Int. J. Food Sci. Technol. 2010, 46, 23–29. [Google Scholar] [CrossRef]
  7. Kun, Y.; Ssonko Lule, U.; Xiao-Lin, D. Lycopene: Its Properties and Relationship to Human Health. Food Rev. Int. 2006, 22, 309–333. [Google Scholar] [CrossRef]
  8. Steven, K.; Clinton, M. Lycopene: Chemistry, Biology, and Implications for Human Health and Disease. Nutr. Rev. 1998, 56, 35–51. [Google Scholar] [CrossRef]
  9. Giovannucci, E. Tomatoes, tomato-based products, lycopene, and cancer: Review of the epidemiologic literature. J. Natl. Cancer Inst. 1999, 91, 317–331. [Google Scholar] [CrossRef]
  10. Padalino, L.; Conte, A.; Lecce, L.; Likyova, D.; Sicari, V.; Pellicanò, T.M.; Poiana, M.; Del Nobile, A. Functional Pasta with Tomato By-product as a Source of Antioxidant Compounds and Dietary Fibre. Czech J. Food Sci. 2017, 35, 48–56. [Google Scholar] [CrossRef] [Green Version]
  11. Mehanna, N.; Hassan, F.; El-Messery, T.; Mohamed, A.G. Production of functional processed cheese by using Tomato juice. Int. J. Dairy Sci. 2017, 12, 155–160. [Google Scholar] [CrossRef]
  12. Sandei, L.; Stingone, C.; Vitelli, R.; Cocconi, E.; Zanotti, A.; Zoni, C. Processing tomato by-products re-use, secondary raw material for tomato product with new functionality. Acta Hortic. 2019, 1233, 255–260. [Google Scholar] [CrossRef]
  13. Gallo, M.; Passannanti, F.; D’ Apolito, E.; Nigro, F.; Salameh, D.; Nigro, R. Biotechnological production of natural sweeteners and preservatives on tomato paste. J. Food Process Eng. 2019, 43, e13327. [Google Scholar] [CrossRef]
  14. Di Mascio, P.; Kaiser, S.; Sies, H. Lycopene as the most efficient biological carotenoid singlet oxygen quencher. Arch. Biochem. Biophys. 1989, 274, 532–538. [Google Scholar] [CrossRef]
  15. Cazzola, P. Lycopene: Biological activity and use perspectives in dermatology. J. Plast. Dermatol. 2012, 8, 199–210. [Google Scholar]
  16. Shixian, Q.; Dai, Y.; Kakuda, Y.; Shi, J. Synergistic Anti-Oxidative Effects of Lycopene with Other Bioactive Compounds. Food Rev. Int. 2005, 21, 295–311. [Google Scholar] [CrossRef]
  17. Sharma, S.K.; Le Maguer, M. Lycopene in tomatoes and tomato pulp fractions. Ital. J. Food Sci. 1996, 8, 107–113. [Google Scholar]
  18. Eller, F.J.; Moser, J.K.; Kenar, J.A.; Taylor, S.L. Extraction and Analysis of Tomato Seed Oil. J. Am. Oil Chem. Soc. 2010, 87, 755–762. [Google Scholar] [CrossRef] [Green Version]
  19. Baysal, T.; Ersus, S.; Starmans, J. Supercritical CO2 extraction of β-carotene and lycopene from tomato paste waste. J. Agric. Food Chem. 2000, 48, 5507–5511. [Google Scholar] [CrossRef]
  20. Sabio, E.; Lozano, M.; Montero de Espinosa, V.; Mendes, R.; Pereira, A.; Palavra, A.F.; Coelho, J.A. Lycopene and β-carotene extraction from tomato processing waste using supercritical CO2. Ind. Eng. Chem. Res. 2003, 42, 6641–6646. [Google Scholar] [CrossRef]
  21. Vagi, E.; Simandi, B.; Vasarhelyine, K.; Daood, H.; Kery, A.; Doleschall, F.; Nagy, B. Supercritical carbon dioxide extraction of carotenoids, tocopherols and sitosterols from industrial tomato by-products. J. Supercrit. Fluids 2007, 40, 218–226. [Google Scholar] [CrossRef]
  22. Baldino, L.; Scognamiglio, M.; Reverchon, E. Supercritical fluid technologies applied to the extraction of compounds of industrial interest from Cannabis sativa L. and to their pharmaceutical formulations: A review. J. Supercrit. Fluids 2020, 165, 104960. [Google Scholar] [CrossRef]
  23. Martins, C.M.; Guedes, J.A.C.; de Brito, E.S.; Ferreira, S.R.S. Valorization of tamarind seeds using high-pressure extraction methods to obtain rich fractions in fatty acid and phenolic compounds. J. Supercrit. Fluids 2022, 183, 105556. [Google Scholar] [CrossRef]
  24. Vasapollo, G.; Longo, L.; Rescio, L.; Ciurlia, L. Innovative supercritical CO2 extraction of lycopene from tomato in the presence of vegetable oil as co-solvent. J. Supercrit. Fluids 2004, 29, 87–96. [Google Scholar] [CrossRef]
  25. Lenucci, M.; Caccioppola, A.; Durante, M.; Serrone, L.; Leonardo, R.; Piro, G. Optimisation of biological and physical parameters for lycopene supercritical CO2 extraction from ordinary and high-pigment tomato cultivars. J. Sci. Food Agric. 2010, 90, 1709–1718. [Google Scholar] [CrossRef]
  26. Ciurlia, L.; Bleve, M.; Rescio, L. Supercritical carbon dioxide co-extraction of tomatoes (Lycopersicum esculentum L.) and hazelnuts (Corylus avellana L.): A new procedure in obtaining a source of natural lycopene. J. Supercrit. Fluids 2009, 49, 338–344. [Google Scholar] [CrossRef]
  27. Honda, M.; Kageyama, H.; Hibino, T.; Takemura, R.; Goto, M.; Fukaya, T. Enhanced Z-isomerization of tomato lycopene through the optimal combination of food ingredients. Sci. Rep. 2019, 9, 7979. [Google Scholar] [CrossRef] [Green Version]
  28. Watanabe, Y.; Honda, M.; Higashiura, T.; Fukaya, T.; Machmudah, S.; Kanda, H.; Goto, M. Rapid and Selective Concentration of Lycopene Z-isomers from Tomato Pulp by Supercritical CO2 with Co-solvents. Solv. Extr. Res. Dev. 2018, 25, 47–57. [Google Scholar] [CrossRef] [Green Version]
  29. Machmudah, S.; Winardi, S.; Sasaki, M.; Goto, M.; Kusumoto, N.; Hayakawa, K. Lycopene extraction from tomato peel by-product containing tomato seed using supercritical carbon dioxide. J. Food Eng. 2012, 108, 290–296. [Google Scholar] [CrossRef]
  30. Saldaña, M.D.A.; Temelli, F.; Guigard, S.E.; Tomberli, B.; Gray, C.G. Apparent solubility of lycopene and β-carotene in supercritical CO2, CO2 + ethanol and CO2 + canola oil using dynamic extraction of tomatoes. J. Food Eng. 2010, 99, 1–8. [Google Scholar] [CrossRef]
  31. Squillace, P.; Adani, F.; Scaglia, B. Supercritical CO2 extraction of tomato pomace: Evaluation of the solubility of lycopene in tomato oil as limiting factor of the process performance. Food Chem. 2020, 315, 126224. [Google Scholar] [CrossRef] [PubMed]
  32. Colucci Cante, R.; Prisco, I.; Garella, I.; Gallo, M.; Nigro, R. Extracting the lipid fraction from waste bilberry seeds with a hydrofluorocarbon solvent. Chem. Eng. Res. Des. 2020, 157, 174–181. [Google Scholar] [CrossRef]
  33. Colucci Cante, R.; Garella, I.; Gallo, M.; Nigro, R. Effect of moisture content on the extraction rate of coffee oil from spent coffee grounds using Norflurane as solvent. Chem. Eng. Res. Des. 2021, 165, 172–179. [Google Scholar] [CrossRef]
  34. Lapkin, A.; Plucinski, P.K.; Cutler, M. Comparative assessment of technologies for extraction of Artemisinin. J. Nat. Prod. 2006, 69, 1653–1664. [Google Scholar] [CrossRef] [PubMed]
  35. Garella, I. Dispositivo di Estrazione Solido-Liquido ad Alta Efficienza. Patent n.0001396896, 20 December 2012. [Google Scholar]
  36. Wang, T.; Johnson, L.A. Refining high-free fatty acid wheat germ oil. J. Am. Oil Chem. Soc. 2001, 78, 71–76. [Google Scholar] [CrossRef]
  37. Schuler, P. Natural Antioxidants Exploited Commercially. In Food Antioxidants; Hudson, B.J.F., Ed.; Elsevier: London, UK, 1990; pp. 99–170. [Google Scholar] [CrossRef]
  38. Batista, M.M.; Guirardello, R.; Krähenbühl, M.A. Determination of the Hansen solubility parameters of vegetable oils, biodiesel, diesel, and biodiesel–diesel blends. J. Am. Oil Chem. Soc. 2015, 92, 95–109. [Google Scholar] [CrossRef]
  39. Stefanis, E.; Panayiotou, C. Prediction of Hansen solubility parameters with a new group-contribution method. Int. J. Thermophys. 2008, 29, 568–585. [Google Scholar] [CrossRef]
  40. Pandya, D.; Akbari, S.; Bhatt, H.G.; Joshi, D.; Darji, V. Identification of Suitable Solvent System for Efficient Extraction of Lycopene from Tomato Pomace. J. Food Sci. Technol. 2015, 3, 83–86. [Google Scholar]
  41. Garti, N.; Shevachman, M.; Shani, A. Solubilization of lycopene in Jojoba oil microemulsion. J. Am. Oil Chem. Soc. 2004, 81, 873–877. [Google Scholar] [CrossRef]
  42. Mieliauskaitė, D.; Viškelis, P.; Noreika, R.; Viškelis, J. Lycopene Solubility and Its Extraction from Tomatoes and their by-products. In Proceedings of the International Symposium on Food Processing, Monitoring Technology in Bioprocesses and Food Quality Management, Potsdam, Germany, 31 August–2 September 2009. [Google Scholar]
  43. National Center for Biotechnology Information. PubChem Compound Summary for CID 5280489, Beta-Carotene. Available online: https://pubchem.ncbi.nlm.nih.gov/compound/beta-Carotene (accessed on 8 January 2022).
Figure 1. A schematic representation of the extraction plant using Norflurane as solvent [32,35].
Figure 1. A schematic representation of the extraction plant using Norflurane as solvent [32,35].
Applsci 12 02822 g001
Figure 2. Tomato seed and wheat germ flour oil extraction yields ( η o ) vs. extraction time, evaluated during trials #6 and #7 performed with layered configurations (LSP and LWGFP, respectively). p > 0.05 for all the points marked with asterisks, *.
Figure 2. Tomato seed and wheat germ flour oil extraction yields ( η o ) vs. extraction time, evaluated during trials #6 and #7 performed with layered configurations (LSP and LWGFP, respectively). p > 0.05 for all the points marked with asterisks, *.
Applsci 12 02822 g002
Figure 3. Lycopene and β-carotene extraction yield (ηL and η β c ) vs. extraction time, evaluated during trials #6 and #7 performed with layered configurations (LSP and LWGFP, respectively). For each layered configuration, non-significant differences (p > 0.05) between the experimental points were found.
Figure 3. Lycopene and β-carotene extraction yield (ηL and η β c ) vs. extraction time, evaluated during trials #6 and #7 performed with layered configurations (LSP and LWGFP, respectively). For each layered configuration, non-significant differences (p > 0.05) between the experimental points were found.
Applsci 12 02822 g003
Figure 4. Lycopene (a) and β-carotene (b) concentrations in tomato seed oil (CL and Cβc, respectively), tomato seed oil mass (mTS oil), carotenoid mass (mL and mβc for lycopene and β-carotene, respectively) evaluated during trial #6 with layered arrangement (LSP). Theoretical concentrations of lycopene and β-carotene were indicated by horizontal dashed lines.
Figure 4. Lycopene (a) and β-carotene (b) concentrations in tomato seed oil (CL and Cβc, respectively), tomato seed oil mass (mTS oil), carotenoid mass (mL and mβc for lycopene and β-carotene, respectively) evaluated during trial #6 with layered arrangement (LSP). Theoretical concentrations of lycopene and β-carotene were indicated by horizontal dashed lines.
Applsci 12 02822 g004
Figure 5. Lycopene (a) and β-carotene (b) concentrations in oil (CL and Cβc, respectively), wheat germ flour oil mass (mWGF oil), and carotenoid mass (mL and mβc for lycopene and β-carotene, respectively) evaluated during trial #7 with layered arrangement (LWGFP).
Figure 5. Lycopene (a) and β-carotene (b) concentrations in oil (CL and Cβc, respectively), wheat germ flour oil mass (mWGF oil), and carotenoid mass (mL and mβc for lycopene and β-carotene, respectively) evaluated during trial #7 with layered arrangement (LWGFP).
Applsci 12 02822 g005
Figure 6. Hansen ternary plot in which the Hansen fractional parameters (fp, fd, and fhb) of lycopene, tomato seeds oil, wheat germ oil, and Norflurane are represented and compared with other solvents.
Figure 6. Hansen ternary plot in which the Hansen fractional parameters (fp, fd, and fhb) of lycopene, tomato seeds oil, wheat germ oil, and Norflurane are represented and compared with other solvents.
Applsci 12 02822 g006
Table 1. Process conditions used during the extraction tests carried out by Norflurane system.
Table 1. Process conditions used during the extraction tests carried out by Norflurane system.
#Trial/
(Sample)
Extraction Bed Mass (g)MTP/Mco-matrix
(g/g)
Solvent Flow Rate
(mL/min)
Total Run
Time (min)
Extraction
Temperature
(° C)
1/(P)6_10012035
2/(BPS)1637/6310012035
3/(BPWGF)2025/7510012035
4/(LSP)2037/6310012035
5/(LWGFP)2025/7510012035
6/(LSP)2037/6310012035
7/(LWGFP)3025/7510012035
Table 2. Oil Content (OC), lycopene content (LC), and β-carotene content (βC) in tomato seeds (TS), wheat germ flour (WGF), and tomato peels (TP) determined by Soxhlet extraction.
Table 2. Oil Content (OC), lycopene content (LC), and β-carotene content (βC) in tomato seeds (TS), wheat germ flour (WGF), and tomato peels (TP) determined by Soxhlet extraction.
MatrixGrinding
Pre-Treatment
OC
(goil/gdry solid)
LC
(mglycopene/gdry solid)
βC
(mgβ-carotene/gdry solid)
TSyes0.16 ± 0.388 a0.058 ± 0.0042 a0.035 ± 0.0028 a
WGFno0.10 ± 0.329 bND0.015 ± 0.002 b
TPyesND0.650 ± 0.0495 b0.197 ± 0.066 c
Values marked with different lowercase letters in the same column are significantly different (p < 0.05).
Table 3. Lycopene and β-carotene extraction yields (ηL and ηβc) and lycopene and β-carotene concentrations, CL and Cβc, reached in tomato seed and wheat germ flour oils after 2 h extractions.
Table 3. Lycopene and β-carotene extraction yields (ηL and ηβc) and lycopene and β-carotene concentrations, CL and Cβc, reached in tomato seed and wheat germ flour oils after 2 h extractions.
#Trial/(Sample)ηL,
(mg/mg)
ηβc,
(mg/mg)
CL
(mg/goil)
Cβc
(mg/goil)
1/(P)0.005 ± 0.001 a0.074 ± 0.002 ano co-matrix
2/(BPS)0.063 ± 0.004 b0.421 ± 0.023 b0.240 ± 0.004 a0.600 ± 0.011 a
3/(BPWGF)0.106 ± 0.009 c0.292 ± 0.013 c0.270 ± 0.0123 b0.263 ± 0.007 b
4/(LSP)0.132 ± 0.010 d0.733 ± 0.037 d0.328 ± 0.163 c0.952 ± 0.002 c
5/(LWGFP)0.123 ± 0.008 d0.842 ± 0.043 e0.309 ± 0.012 c0.733 ± 0.038 d
Values marked with different lowercase letters in the same column are significantly different (p < 0.05).
Table 4. Lycopene content in tomato peels extracts obtained by common organic solvents and Norflurane with tomato seeds (TS) and wheat germ flour (WGF) oils.
Table 4. Lycopene content in tomato peels extracts obtained by common organic solvents and Norflurane with tomato seeds (TS) and wheat germ flour (WGF) oils.
Solvents(mglycopene/gdry TP)Solvents(mglycopene/gdry TP)
N-hexane a0.0054N-hexane: Acetone: Ethanol a0.0559
Acetone a0.0379Acetone: Ethyl acetate a0.0791
Petroleum ether a0.0048Acetone: Ethanol a0.0352
Ethanol a0.0115Petroleum Ether: Ethanol a0.0275
Ethyl acetate a0.0118Norflurane b0.0031
N-hexane: Acetone a0.0125Norflurane: TS oil c0.0628
N-hexane: Ethanol a0.0314Norflurane: WGF oil d0.1057
a [40]; b Present work (trials #1/P); c Present work (trial #2/BPS); d Present work (trial #3/BPWGF).
Table 5. Fatty acids profile of tomato seed and wheat germ oils extracted by Norflurane and by n-hexane.
Table 5. Fatty acids profile of tomato seed and wheat germ oils extracted by Norflurane and by n-hexane.
Tomato Seeds Oil by n-Hexane (%)Tomato Seeds Oil
by Norflurane (%)
Wheat Germ Oil
by n-Hexane (%)
Wheat Germ Oil
by Norflurane (%)
C14:00.1054 ± 0.0634 a0.1124 ± 0.0817 aNDND
C15:10.0650 ± 0.0561 a0.0640 ± 0.0514 aNDND
C16:012.3328 ± 0.1062 a12.5747 ± 0.0994 a17.6525 ± 0.0645 b18.0113 ± 0.0471 b
C16:10.2434 ± 0.0491 a0.2450 ± 0.0376 a0.1534 ± 0.0993 bND
C16:30.5073 ± 0.0699 a0.4855 ± 0.0613 aNDND
C18:0 55.3608 ± 0.0724 a5.1386 ± 0.0799 a0.6257 ± 0.0531 b0.6346 ± 0.0463 b
C18:1 ω-919.0591 ± 0.0763 a18.6581 ± 0.0892 a12.1847 ± 0.0673 b12.2875 ± 0.0701 b
C18:1 ω-70.8352 ± 0.0305 a0.8470 ± 0.0236 a1.2467 ± 0.0306 b1.2015 ± 0.0446 b
C18:2 ω-657.8462 ± 0.0640 a58.4502 ± 0.0534 a57.7802 ± 0.0920 a57.8570 ± 0.0883 a
C18:3 ω-32.6173 ± 0.0725 a2.5406 ± 0.0818 a7.9474 ± 0.0689 b7.8671 ± 0.0801 b
C20:00.3673 ± 0.0550 a0.3466 ± 0.0472 a0.1365 ± 0.0355 bND
C20:1 ω-90.0763 ± 0.0287 a0.0897 ± 0.0228 a1.3276 ± 0.0913 b1.2804 ± 0.0860 b
C20:5 ω-30.0999 ± 0.0478 a0.0889 ± 0.0316 a0.1028 ± 0.0481 aND
C22:0NDND0.2403 ± 0.0236 b0.2253 ± 0.0363 b
C22:1 ω-9NDND0.2730 ± 0.0488 b0.3909 ± 0.0564 b
Unsaturated-to-saturated ratio4.47 a4.48 a4.34 a4.29 a
Values marked with the same lowercase letters in the same arrow are not significantly different (p > 0.05).
Table 6. Summary of the main operating conditions used for extracting lycopene (L) and β-carotene (βc) from tomato pomace using sc-CO2 or Norflurane (R134a) with or without presence of co-solvents; extraction yields (η), and effective solubilities in eventual oily co-solvents used. TS: tomato seeds; WGF: wheat germ flour.
Table 6. Summary of the main operating conditions used for extracting lycopene (L) and β-carotene (βc) from tomato pomace using sc-CO2 or Norflurane (R134a) with or without presence of co-solvents; extraction yields (η), and effective solubilities in eventual oily co-solvents used. TS: tomato seeds; WGF: wheat germ flour.
FeedstockSolventT
(°C)
P
(atm)
t
(h)
co-
Matrix
co-
Solvent
M c o s o l v e n t M t o t .   m a t r i x ( g / g ) Mco-solvent
(g)
M s o l v e n t Fluxed
(g)
M c o s o l v e n t M s o l v e n t ( g / g ) Solvent Flow
Rate
(mL/min)
Solubility
(Mole Fraction)
η
(%)
Reference
LβcLβc
Tomato PeelR134a3582nono0029,28002002.08 × 10−95.69 × 10−50.57.4This work
Tomato PeelSc-CO2904943nono00450034.70 × 10−7NA17.5NA[29]
Tomato PulpSc-CO2502961nono00160035.04 × 10−7NA1.2NA[28]
Tomato PulpSc-CO2502968nono001250031.26 × 10−7NA2.4NA[28]
Tomato PulpSc-CO2504948nono001380033.57 × 10−8NA1NA[27]
Tomato Pulp + PeelSc-CO2404006nono0032000.949.83 × 10−84.07 × 10−30.11.5[30]
Tomato PasteSc-CO2605502nono00988002NA7.24 × 10−3NA40[19]
Tomato PeelR134a3582Layered TSTS oil0.101229,2806.831 × 10−52004.39 × 10−54.16 × 10−413.2473.3This work
Tomato PeelR134a3582Blended TSTS oil0.1011.529,2805.123 × 10−52001.67 × 10−99.05 × 10−46.2842.1This work
Tomato PeelR134a3582LayeredWGFWGF oil0.0751.529,2805.123 × 10−52002.77 × 10−92.32 × 10−412.3584.2This work
Tomato PeelR134a3582BlendedWGFWGF oil0.0751.529,2805.123 × 10−52002.37 × 10−96.68 × 10−410.5729.20This work
Tomato PeelSc-CO2803802.3noTS oil0.14514534,4304.211 × 10−53083.88 × 10−6NA94NA[31]
Tomato PeelSc-CO2904943noTS oil0.2100.84501.778 × 10−535.57 × 10−7NA56NA[29]
Tomato PeelSc-CO2604008Roasted Hazelnut Hazelnut Oil0.375112580,3100.0141881.43 × 10−5NA72.51NA[26]
Tomato PulpSc-CO2502961noHazelnut Oil1.9577.81600.04839.07 × 10−6NA21.6NA[28]
Tomato PulpSc-CO2502968noHazelnut Oil15.66062.612500.05033.48 × 10−6NA66.4NA[28]
Tomato Pulp 50 °C
Heated@ 50 °C
Sc-CO2504948noOlive Oil0.010.313802.174 × 10−439.84 × 10−7NA27.6NA[27]
Tomato Pulp 120 °C
Heated@ 120 °C
Sc-CO2504948noOlive Oil0.010.313802.174 × 10−435.53 × 10−7NA15.5NA[27]
Tomato PulpSc-CO2504948noOlive Oil0.010.313802.174 × 10−432.32 × 10−7NA6.5NA[27]
Tomato Pulp + PeelSc-CO2404006noEthanol1.62416.23200.0500.941.72 × 10−79.11 × 10−30.173.36[30]
Tomato Pulp + PeelSc-CO2404006noCanola Oil1.62416.23200.0500.944.68 × 10−71.80 × 10−20.466.65[30]
Tomato Paste WasteSc-CO2653002noEthanol3.77320098800.02074.1NA2.58 × 10−451.543.02[19]
Publisher’s Note: MDPI stays neutral with regard to jurisdictional claims in published maps and institutional affiliations.

Share and Cite

MDPI and ACS Style

Colucci Cante, R.; Gallo, M.; Varriale, L.; Garella, I.; Nigro, R. Recovery of Carotenoids from Tomato Pomace Using a Hydrofluorocarbon Solvent in Sub-Critical Conditions. Appl. Sci. 2022, 12, 2822. https://doi.org/10.3390/app12062822

AMA Style

Colucci Cante R, Gallo M, Varriale L, Garella I, Nigro R. Recovery of Carotenoids from Tomato Pomace Using a Hydrofluorocarbon Solvent in Sub-Critical Conditions. Applied Sciences. 2022; 12(6):2822. https://doi.org/10.3390/app12062822

Chicago/Turabian Style

Colucci Cante, Rosa, Marianna Gallo, Lorenzo Varriale, Isidoro Garella, and Roberto Nigro. 2022. "Recovery of Carotenoids from Tomato Pomace Using a Hydrofluorocarbon Solvent in Sub-Critical Conditions" Applied Sciences 12, no. 6: 2822. https://doi.org/10.3390/app12062822

APA Style

Colucci Cante, R., Gallo, M., Varriale, L., Garella, I., & Nigro, R. (2022). Recovery of Carotenoids from Tomato Pomace Using a Hydrofluorocarbon Solvent in Sub-Critical Conditions. Applied Sciences, 12(6), 2822. https://doi.org/10.3390/app12062822

Note that from the first issue of 2016, this journal uses article numbers instead of page numbers. See further details here.

Article Metrics

Back to TopTop