Enhancing Semantic-Consistent Features and Transforming Discriminative Features for Generalized Zero-Shot Classifications
Abstract
1. Introduction
- In order to alleviate the domain shift problem. An additional semantic decoder structure is added to enable the generator synthesized instances to better represent their semantics, strengthen the semantic and visual alignment, and reduce the bais between visual and semantic.
- To enhance the ability of the disentanglement module to break down semantic consistency, we input the semantic decoder output as a supervised signal into the feature reconstruction of the disentanglement auto-encoder.
- We improve the generalized zero-shot classifier by introducing transformation discriminative features in the classification stage and splicing semantic consistency features output from the semantic decoder and semantic consistency features from the disentanglement module decomposition to enhance semantic consistency and reduce the ambiguity between different categories.
- The proposed method achieves more competitive results on four datasets in GZSL than baseline.
2. Related Work
2.1. Generalized Zero-Shot Learning
2.2. Disentangled Representation Learning
3. Method
3.1. Problem Definition
3.2. Model Overview
3.2.1. Visual Feature Generation Module
3.2.2. Semantic Decoder Module
3.2.3. Disentanglement Module
3.2.4. Enhance and Transformation Semantic-Consistent Discriminative Features
3.2.5. Total Loss
3.2.6. Generalized Zero-Shot Classification
3.3. Training and Inference
| Algorithm 1 ESTD-GZSL training |
Input: training data , semantic embeddings , learning rate
|
4. Experimental Results
4.1. Datasets
4.2. Evaluation Protocols
4.3. Implementation Details
4.4. Comparison with State-of-the-Art Methods
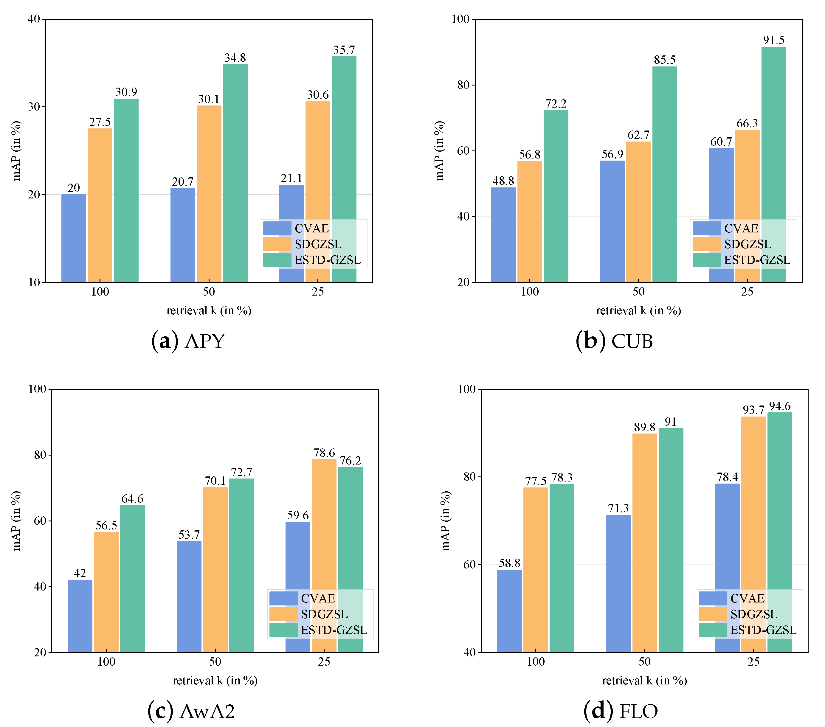
4.5. Zero-Shot Retrieval Results
4.6. Model Analysis
4.6.1. Ablation Study
4.6.2. Hyper-Parameter Study
4.6.3. T-SNE Visualization
5. Conclusions
Author Contributions
Funding
Institutional Review Board Statement
Informed Consent Statement
Data Availability Statement
Conflicts of Interest
References
- Pang, Y.; Wang, H.; Yu, Y.; Ji, Z. A decadal survey of zero-shot image classification. Sci. Sin. Infor. 2019, 49, 1299–1320. [Google Scholar] [CrossRef]
- Larochelle, H.; Erhan, D.; Bengio, Y. Zero-data Learning of New Tasks. In Proceedings of the Twenty-Third AAAI Conference on Artificial Intelligence (AAAI 2008), Chicago, IL, USA, 13–17 July 2008; pp. 646–651. [Google Scholar]
- Chao, W.L.; Changpinyo, S.; Gong, B.; Sha, F. An empirical study and analysis of generalized zero-shot learning for object recognition in the wild. In Proceedings of the European Conference on Computer Vision (ECCV), Amsterdam, The Netherlands, 11–14 October 2016; pp. 52–68. [Google Scholar]
- Ranaldi, L.; Fallucchi, F.; Zanzotto, F.M. Dis-Cover AI Minds to Preserve Human Knowledge. Future Internet 2022, 14, 10. [Google Scholar] [CrossRef]
- Zhu, Y.; Elhoseiny, M.; Liu, B.; Peng, X.; Elgammal, A. A generative adversarial approach for zero-shot learning from noisy texts. In Proceedings of the IEEE Conference on Computer Vision and Pattern Recognition (CVPR), Salt Lake City, UT, USA, 18–23 June 2018; pp. 1004–1013. [Google Scholar]
- Narayan, S.; Gupta, A.; Khan, F.S.; Snoek, C.G.; Shao, L. Latent embedding feedback and discriminative features for zero-shot classification. In Proceedings of the ECCV 16th European Conference, Glasgow, UK, 23–28 August 2020; Springer: Cham, Switzerland, 2020; pp. 479–495. [Google Scholar]
- Chen, S.; Wang, W.; Xia, B.; Peng, Q.; You, X.; Zheng, F.; Shao, L. FREE: Feature refinement for generalized zero-shot learning. In Proceedings of the IEEE/CVF International Conference on Computer Vision (ICCV), Montreal, QC, Canada, 10–17 October 2021; pp. 122–131. [Google Scholar]
- Xian, Y.; Lorenz, T.; Schiele, B.; Akata, Z. Feature generating networks for zero-shot learning. In Proceedings of the Computer Vision and Pattern Recognition (CVPR), Salt Lake City, UT, USA, 18–23 June 2018; pp. 5542–5551. [Google Scholar]
- Keshari, R.; Singh, R.; Vatsa, M. Generalized zero-shot learning via over-complete distribution. In Proceedings of the IEEE/CVF Conference on Computer Vision and Pattern Recognition (CVPR), Seattle, WA, USA, 13–19 June 2020; pp. 13300–13308. [Google Scholar]
- Chen, Z.; Luo, Y.; Qiu, R.; Huang, Z.; Li, J.; Zhang, Z. Semantics Disentangling for Generalized Zero-shot Learning. In Proceedings of the IEEE/CVF International Conference on Computer Vision (ICCV), Montreal, QC, Canada, 10–17 October 2021. [Google Scholar]
- Goodfellow, I.; Pouget-Abadie, J.; Mirza, M.; Xu, B.; Warde-Farley, D.; Ozair, S.; Courville, A.; Bengio, Y. Generative adversarial nets. In Proceedings of the Advances in Neural Information Processing Systems (NIPS 2014), Montreal, QC, Canada, 8–13 December 2014; pp. 2672–2680. [Google Scholar]
- Kingma, D.P.; Welling, M. Auto-encoding variational bayes. arXiv 2014, arXiv:1312.6114. [Google Scholar]
- Gohari, H.; Zarastvand, M.; Talebitooti, R.; Loghmani, A.; Omidpanah, M. Radiated sound control from a smart cylinder subjected to piezoelectric uncertainties based on sliding mode technique using self-adjusting boundary layer. Aerosp. Sci. Technol. 2020, 106, 106141. [Google Scholar] [CrossRef]
- Felix, R.; Reid, I.; Carneiro, G. Multi-modal cycle-consistent generalized zero-shot learning. In Proceedings of the European Conference on Computer Vision (ECCV), Munich, Germany, 8–14 September 2018; pp. 21–37. [Google Scholar]
- Huang, H.; Wang, C.; Yu, P.S.; Wang, C.D. Generative Dual Adversarial Network for Generalized Zero-Shot Learning. In Proceedings of the IEEE/CVF Conference on Computer Vision and Pattern Recognition (CVPR), Long Beach, CA, USA, 15–20 June 2019. [Google Scholar]
- Zhu, J.Y.; Park, T.; Isola, P.; Efros, A.A. Unpaired Image-to-Image Translation Using Cycle-Consistent Adversarial Networks. In Proceedings of the IEEE International Conference on Computer Vision (ICCV), Venice, Italy, 22–29 October 2017; pp. 2242–2251. [Google Scholar]
- Schonfeld, E.; Ebrahimi, S.; Sinha, S.; Darrell, T.; Akata, Z. Generalized zero-and few-shot learning via aligned variational autoencoders. In Proceedings of the IEEE/CVF Conference on Computer Vision and Pattern Recognition (CVPR), Long Beach, CA, USA, 15–20 June 2019; pp. 8247–8255. [Google Scholar]
- Xian, Y.; Sharma, S.; Schiele, B.; Akata, Z. F-VAEGAN-D2: A feature generating framework for any-shot learning. In Proceedings of the IEEE/CVF Conference on Computer Vision and Pattern Recognition (CVPR), Long Beach, CA, USA, 16–20 June 2019; pp. 10275–10284. [Google Scholar]
- Wang, W.; Xu, H.; Wang, G.; Wang, W.; Carin, L. Zero-shot recognition via optimal transport. In Proceedings of the IEEE Winter Conference on Applications of Computer Vision (WACV), Waikoloa, HI, USA, 3–8 January 2021; pp. 3471–3481. [Google Scholar]
- Han, Z.; Fu, Z.; Chen, S.; Yang, J. Contrastive Embedding for Generalized Zero-Shot Learning. In Proceedings of the IEEE/CVF Conference on Computer Vision and Pattern Recognition (CVPR), Nashville, TN, USA, 20–25 June 2021; pp. 2371–2381. [Google Scholar]
- Zhang, Z.; Li, X.; Ma, T.; Gao, Z.; Li, C.; Lin, W. Residual-Prototype Generating Network for Generalized Zero-Shot Learning. Mathematics 2022, 10, 3587. [Google Scholar] [CrossRef]
- Yang, M.; Liu, F.; Chen, Z.; Shen, X.; Hao, J.; Wang, J. CausalVAE: Disentangled representation learning via neural structural causal models. In Proceedings of the IEEE/CVF Conference on Computer Vision and Pattern Recognition (CVPR), Nashville, TN, USA, 20–25 June 2021; pp. 9593–9602. [Google Scholar]
- Higgins, I.; Matthey, L.; Pal, A.; Burgess, C.P.; Glorot, X.; Botvinick, M.M.; Mohamed, S.; Lerchner, A. beta-VAE: Learning Basic Visual Concepts with a Constrained Variational Framework. In Proceedings of the ICLR, Toulon, France, 24–26 April 2017. [Google Scholar]
- Kim, H.; Mnih, A. Disentangling by factorising. In Proceedings of the International Conference on Machine Learning, Stockholm, Sweden, 10–15 July 2018; pp. 2649–2658. [Google Scholar]
- Tong, B.; Wang, C.; Klinkigt, M.; Kobayashi, Y.; Nonaka, Y. Hierarchical disentanglement of discriminative latent features for zero-shot learning. In Proceedings of the IEEE/CVF Conference on Computer Vision and Pattern Recognition (CVPR), Long Beach, CA, USA, 15–20 June 2019; pp. 11467–11476. [Google Scholar]
- Chen, X.; Duan, Y.; Houthooft, R.; Schulman, J.; Sutskever, I.; Abbeel, P. Infogan: Interpretable representation learning by information maximizing generative adversarial nets. In Proceedings of the 30th International Conference on Neural Information Processing Systems (NIPS 2016), Barcelona, Spain, 5–10 December 2016; pp. 2180–2188. [Google Scholar]
- Li, X.; Xu, Z.; Wei, K.; Deng, C. Generalized Zero-Shot Learning via Disentangled Representation. Proc. Aaai Conf. Artif. Intell. 2021, 35, 1966–1974. [Google Scholar] [CrossRef]
- Sohn, K.; Lee, H.; Yan, X. Learning structured output representation using deep conditional generative models. In Proceedings of the 28th International Conference on Neural Information Processing Systems (NIPS 2015), Montreal, QC, Canada, 7–12 December 2015; pp. 3483–3491. Available online: https://dl.acm.org/doi/10.5555/2969442.2969628 (accessed on 6 December 2022).
- Lampert, C.H.; Nickisch, H.; Harmeling, S. Attribute-based classification for zero-shot visual object categorization. IEEE Trans. Pattern Anal. Mach. Intell. 2013, 36, 453–465. [Google Scholar] [CrossRef]
- Wah, C.; Branson, S.; Welinder, P.; Perona, P.; Belongie, S. The Caltech-Ucsd Birds-200-2011 Dataset; California Institute of Technology: Pasadena, CA, USA, 2011. [Google Scholar]
- Farhadi, A.; Endres, I.; Hoiem, D.; Forsyth, D. Describing objects by their attributes. In Proceedings of the IEEE Conference on Computer Vision and Pattern Recognition (CVPR), Miami, FL, USA, 20–25 June 2009; pp. 1778–1785. [Google Scholar]
- Reed, S.; Akata, Z.; Lee, H.; Schiele, B. Learning Deep Representations of Fine-Grained Visual Descriptions. In Proceedings of the IEEE Conference on Computer Vision and Pattern Recognition (CVPR), Las Vegas, NV, USA, 27–30 June 2016; pp. 49–58. [Google Scholar]
- He, K.; Zhang, X.; Ren, S.; Sun, J. Deep residual learning for image recognition. In Proceedings of the IEEE Conference on Computer Vision and Pattern Recognition (CVPR), Las Vegas, NV, USA, 27–30 June 2016; pp. 770–778. [Google Scholar]
- Xu, B.; Wang, N.; Chen, T.; Li, M. Empirical evaluation of rectified activations in convolutional network. arXiv 2015, arXiv:1505.00853. [Google Scholar]
- Kingma, D.P.; Ba, J. Adam: A method for stochastic optimization. In Proceedings of the 3rd International Conference for Learning Representations, San Diego, CA, USA, 7–9 May 2015. [Google Scholar]
- Chen, Z.; Li, J.; Luo, Y.; Huang, Z.; Yang, Y. Canzsl: Cycle-consistent adversarial networks for zero-shot learning from natural language. In Proceedings of the IEEE/CVF Winter Conference on Applications of Computer Vision (WACV), Snowmass, CO, USA, 1–5 March 2020; pp. 874–883. [Google Scholar]
- Li, J.; Jing, M.; Lu, K.; Ding, Z.; Zhu, L.; Huang, Z. Leveraging the invariant side of generative zero-shot learning. In Proceedings of the IEEE/CVF Conference on Computer Vision and Pattern Recognition (CVPR), Long Beach, CA, USA, 15–20 June 2019; pp. 7402–7411. [Google Scholar]






| Dataset | Visual Dimension | Attribute | Seen | Unseen |
|---|---|---|---|---|
| CUB | 2048 | 1024 | 150 | 50 |
| FLO | 2048 | 1024 | 82 | 20 |
| AWA2 | 2048 | 85 | 40 | 10 |
| APY | 2048 | 64 | 20 | 12 |
| Methods | AwA2 | CUB | FLO | APY | ||||||||
|---|---|---|---|---|---|---|---|---|---|---|---|---|
| U | S | H | U | S | H | U | S | H | U | S | H | |
| f-CLSWGAN [8] | 56.1 | 65.5 | 60.4 | 43.7 | 57.7 | 49.7 | 59 | 73.8 | 65.6 | 32.9 | 61.7 | 42.9 |
| CANZSL [36] | 49.7 | 70.2 | 58.2 | 47.9 | 58.1 | 52.5 | 58.2 | 77.6 | 66.5 | - | - | - |
| LisGAN [37] | 52.6 | 76.3 | 62.3 | 46.5 | 57.9 | 51.6 | 57.7 | 83.8 | 68.3 | 34.3 | 68.2 | 45.7 |
| CADA-VAE [17] | 55.8 | 75.0 | 63.9 | 51.6 | 53.5 | 52.4 | 51.6 | 75.6 | 61.3 | 31.7 | 55.1 | 40.3 |
| f-VAEGAN-D2 [18] | 57.6 | 70.6 | 63.5 | 48.4 | 60.1 | 53.6 | 56.8 | 74.9 | 64.6 | - | - | - |
| TF-VAEGAN [6] | 59.8 | 75.1 | 66.6 | 52.8 | 64.7 | 58.1 | 62.5 | 84.1 | 71.7 | - | - | - |
| TF-VAEGAN * [6] | 55.5 | 83.6 | 66.7 | 63.8 | 79.3 | 70.7 | 69.5 | 92.5 | 79.4 | - | - | - |
| FREE [7] | 60.4 | 75.4 | 67.1 | 55.7 | 59.9 | 57.7 | 67.4 | 84.5 | 75.0 | - | - | - |
| cycle-CLSWGAN [14] | - | - | - | 59.3 | 47.9 | 53.0 | 59.2 | 72.5 | 65.1 | - | - | - |
| CE-GZSL [20] | 63.1 | 78.6 | 70.0 | 63.9 | 66.8 | 65.3 | 69.0 | 78.7 | 73.5 | - | - | - |
| RPGN [21] | 68.3 | 78.8 | 73.2 | 61.0 | 62.2 | 61.6 | 68.2 | 88.9 | 77.0 | - | - | - |
| SDGZSL [10] | 64.6 | 73.6 | 68.8 | 59.9 | 66.4 | 63.0 | 83.3 | 90.2 | 86.6 | 38.0 | 57.4 | 45.7 |
| SDGZSL * [10] | 69.6 | 78.2 | 73.7 | 73.0 | 77.5 | 75.1 | 86.1 | 89.1 | 87.8 | 39.1 | 60.7 | 47.5 |
| ESTD-GZSL(Ours) | 65.1 | 73.4 | 70.0 | 65.3 | 64.5 | 64.9 | 85.2 | 91.9 | 88.4 | 36.5 | 63.2 | 46.2 |
| ESTD-GZSL *(Ours) | 66.6 | 81.2 | 73.2 | 74.5 | 80.2 | 77.4 | 83.8 | 93.6 | 88.5 | 35.2 | 74.8 | 47.8 |
| Methods | U | S | H |
|---|---|---|---|
| Baseline | 73.0 | 77.5 | 75.1 |
| (a) | 75.0 | 79.6 | 77.2 |
| (b) | 74.6 | 80.0 | 77.2 |
| (c) | 73.8 | 81.4 | 77.4 |
Publisher’s Note: MDPI stays neutral with regard to jurisdictional claims in published maps and institutional affiliations. |
© 2022 by the authors. Licensee MDPI, Basel, Switzerland. This article is an open access article distributed under the terms and conditions of the Creative Commons Attribution (CC BY) license (https://creativecommons.org/licenses/by/4.0/).
Share and Cite
Yang, G.; Han, A.; Liu, X.; Liu, Y.; Wei, T.; Zhang, Z. Enhancing Semantic-Consistent Features and Transforming Discriminative Features for Generalized Zero-Shot Classifications. Appl. Sci. 2022, 12, 12642. https://doi.org/10.3390/app122412642
Yang G, Han A, Liu X, Liu Y, Wei T, Zhang Z. Enhancing Semantic-Consistent Features and Transforming Discriminative Features for Generalized Zero-Shot Classifications. Applied Sciences. 2022; 12(24):12642. https://doi.org/10.3390/app122412642
Chicago/Turabian StyleYang, Guan, Ayou Han, Xiaoming Liu, Yang Liu, Tao Wei, and Zhiyuan Zhang. 2022. "Enhancing Semantic-Consistent Features and Transforming Discriminative Features for Generalized Zero-Shot Classifications" Applied Sciences 12, no. 24: 12642. https://doi.org/10.3390/app122412642
APA StyleYang, G., Han, A., Liu, X., Liu, Y., Wei, T., & Zhang, Z. (2022). Enhancing Semantic-Consistent Features and Transforming Discriminative Features for Generalized Zero-Shot Classifications. Applied Sciences, 12(24), 12642. https://doi.org/10.3390/app122412642

