The Effect of Hydrolysis on the Antioxidant Activity of Olive Mill Waste
Abstract
1. Introduction
2. Materials and Methods
2.1. Collection of Raw Material
2.2. Extraction Procedure for Maceration Extraction and Hydrolysis
2.3. Determination of Total Phenolic Content
2.4. Determination of Total Flavonoid Content
2.5. Determination of Ortho-Diphenolic Content
2.6. Determination of Cupric Reducing Antioxidant Power Assay
2.7. Determination of Ferric Reducing Antioxidant Power Assay
2.8. Determination of DPPH (2,2-Diphenyl-1-picrylhydrazyl) Radical Scavenging Activity
2.9. Determination of ABTS (2,2′-Azino-bis(3-ethylbenzothiazoline-6-sulfonic Acid) Radical Cation Stabilisation
2.10. Determination of Hydrogen Peroxide Scavenging Activity
2.11. Modified Alkaline DMSO (Dimethyl Sulfoxide) Assay with Nitroblue Tetrazolium for Superoxide Radical Scavenging Activity
2.12. IC50 Calculations
2.13. Data Analysis
3. Results
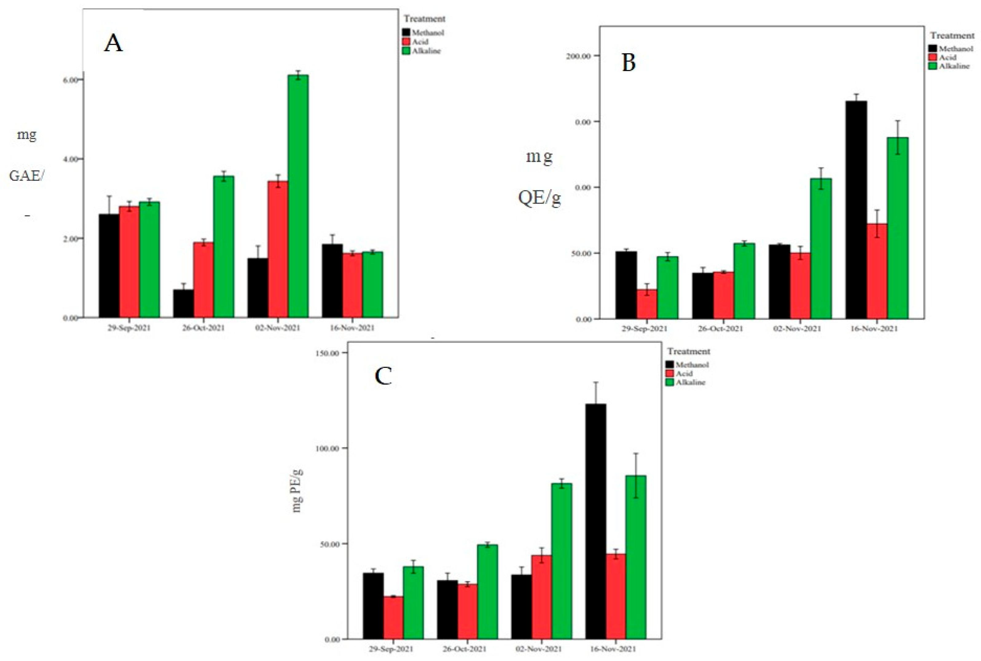
3.1. Phenolic Content
3.1.1. Total Phenolic Content
3.1.2. Total Flavonoid Content
3.1.3. Total Ortho-Diphenolic Content
3.1.4. Changes in Phenolic Content with Maturity
3.2. Antioxidant Activity
3.2.1. Radical Scavenging Activity against DPPH and ABTS
3.2.2. Metal Ion Reducing Activity
3.2.3. Hydrogen Peroxide and Superoxide Radical Scavenging
3.3. Correlation Analysis
3.3.1. Correlation between TPC, TFC and TdOPC
3.3.2. Correlation between TPC, TFC and TdOPC with Metal Ion Reducing Assays (FRAP and CUPRAC)
3.3.3. Correlation between ABTS and DPPH Radical Scavenging Activity with TPC, TFC and TdOPC
3.3.4. Correlation between Hydrogen Peroxide and Superoxide Scavenging Activity with TPC, TFC and TdOPC
4. Discussion
4.1. Total Phenolic Content, Total Flavonoid Content and Total Ortho-Diphenolic Content
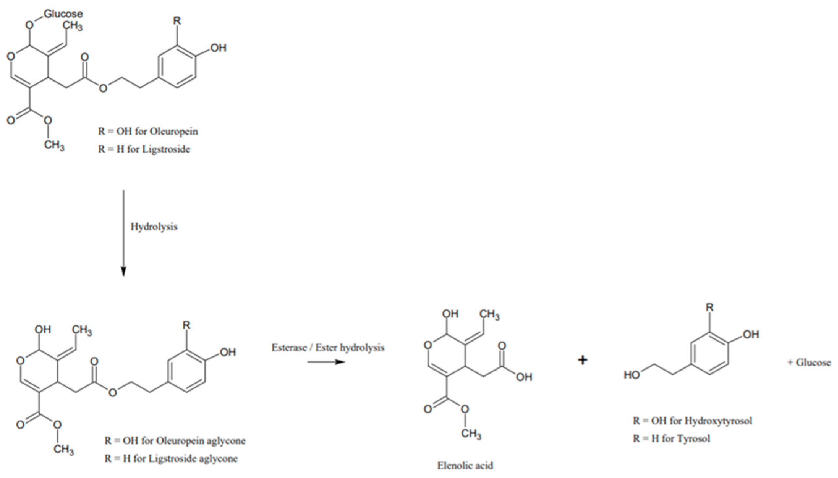
4.1.1. Effect of Hydrolysis on the Different Classes of Phenolic Compounds
4.1.2. Correlation between TPC, TFC and TdOPC
4.1.3. The Effect of Maturity on the Different Classes of Phenolic Compounds
4.2. Antioxidant Activity
- Bors 1: due to hydrogen bonding, the presence of a catechol group on the B-ring leads to a high stability of the antioxidant radical (AO·).
- Bors 2: a 2,3 double bond in combination with a 4-oxo group on the C-ring facilitates electron delocalization.
- Bors 3: the presence of OH groups at position 3 and 5 in combination with the 4-oxo group enables electron delocalization via hydrogen bonds [72].
4.2.1. Radical Scavenging Activity
4.2.2. Metal Ion Reducing Activity
4.2.3. Hydrogen Peroxide and Superoxide Scavenging Activity
5. Conclusions
Supplementary Materials
Author Contributions
Funding
Institutional Review Board Statement
Informed Consent Statement
Data Availability Statement
Acknowledgments
Conflicts of Interest
References
- Axiak, V. State of the Environment Report 2018 Era; Hexagon House: Marsa, Malta, 2005. [Google Scholar]
- Borg, J. Cultivation and Diseases of Fruit Trees in the Maltese Islands; Malta Government Printing Office: Marsa, Malta, 1922; pp. 98–113.
- Mazzitelli, O.; Calleja, A.; Sardella, D.; Farrugia, C. Analysis of the molecular diversity of Olea europaea in the Mediterranean Island of Malta. Genet. Resour. Crop Evol. 2015, 62, 1021–1027. [Google Scholar] [CrossRef]
- Gatt, L.; Lia, F.; Zammit-Mangion, M.; Thorpe, S.J.; Schembri-Wismayer, P. First Profile of Phenolic Compounds from Maltese Extra Virgin Olive Oils Using Liquid-Liquid Extraction and Liquid Chromatography-Mass Spectrometry’. J. Oleo Sci. 2021, 70, ess20130. [Google Scholar] [CrossRef] [PubMed]
- Gutiérrez-Rosales, F.; Ríos, J.; Gómez-Rey, M. Main Polyphenols in the Bitter Taste of Virgin Olive Oil. Structural Confirmation by On-Line High-Performance Liquid Chromatography Electrospray Ionization Mass Spectrometry. J. Agric. Food Chem. 2003, 51, 6021–6025. [Google Scholar] [CrossRef]
- Esti, M.; Cinquanta, L.; La Notte, E. Phenolic Compounds in Different Olive Varieties. J. Agric. Food Chem. 1997, 46, 32–35. [Google Scholar] [CrossRef] [PubMed]
- Mulinacci, N.; Romani, A.; Galardi, C.; Pinelli, P.; Giaccherini, C.; Vincieri, F.F. Polyphenolic content in olive oil waste waters and related olive samples. J. Agric. Food Chem. 2001, 49, 3509–3514. [Google Scholar] [CrossRef] [PubMed]
- Romani, A.; Mulinacci, N.; Pinelli, P.; Vincieri, F.F.; Cimato, A. Polyphenolic content in five Tuscany cultivars of Olea europaea L. J. Agric. Food Chem. 1999, 47, 946–967. [Google Scholar] [CrossRef]
- Savarese, M.; De Marco, E.; Sacchi, R. Characterization of phenolic extracts from olives (Olea europaea cv. Pisciottana) by electrospray ionization mass spectrometry. Food Chem. 2007, 105, 761–770. [Google Scholar] [CrossRef]
- Rodis, P.S.; Karathanos, V.T.; Mantzavinou, A. Partitioning of olive oil antioxidants between oil and water phases. J. Agric. Food Chem. 2002, 50, 596–601. [Google Scholar] [CrossRef]
- Haddadin, M.S.; Abdulrahim, S.M.; Al-Khawaldeh, G.Y.; Robinson, R.K. Solid-state fermentation of waste pomace from olive processing. J. Chem. Technol. Biotechnol. 1999, 74, 613–618. [Google Scholar] [CrossRef]
- Haddadin, M.S.; Al-Natour, R.; Al-Qsous, S.; Robinson, R.K. Bio-degradation of lignin in olive pomace by freshly-isolated species of basidiomycete. Bioresour. Technol. 2002, 82, 131–137. [Google Scholar] [CrossRef]
- Berbel, J.; Posadillo, A. Review and Analysis of Alternatives for the Valorisation of Agro-Industrial Olive Oil By-Products. Sustainability 2018, 10, 237. [Google Scholar] [CrossRef]
- Tekin, A.R.; Dalgic, A.C. Biogas production from olive pomace. Resour. Conserv. Recycl. 2000, 30, 301–313. [Google Scholar] [CrossRef]
- Vitolo, S.; Petarca, L.; Bresci, B. Treatment of olive oil industry wastes. Bioresour. Technol. 1999, 67, 129–137. [Google Scholar] [CrossRef]
- Ballesteros, I.; Oliva, J.M.; Ballesteros, M. Ethanol production from lignocellulosic by products of olive oil extraction. Appl. Biochem. Biotechnol. 2001, 91–93, 237–252. [Google Scholar] [CrossRef]
- Lopez, M.J.; Ramos-Cormenzana, A. Xanthan production from olive-mill wastewaters. Int. Biodeter. Biodegrad. 1996, 38, 263–270. [Google Scholar] [CrossRef]
- Kahraman, S.; Yesilada, O. Industrial and agricultural wastes as substrates for laccase production by white-rot fungi. Folia Microbiol. 2001, 46, 133–136. [Google Scholar] [CrossRef]
- Fenice, M.; Sermanni, G.G.; Federici, F.; D’annibale, A. Submerged and solid-state production of laccase and Mn Peroxidase by Panus tigrinus on olive mill wastewater-based media. J. Biotechnol. 2003, 100, 77–85. [Google Scholar] [CrossRef] [PubMed]
- Visioli, F.; Romani, A.; Mulinacci, N.; Zarini, S.; Conte, D.; Vincieri, F.F.; Galli, C. Antioxidant and other biological activities of olive mill wastewaters. J. Agric. Food Chem. 1999, 47, 3397–3401. [Google Scholar] [CrossRef]
- Aliakbarian, B.; Palmieri, D.; Casazza, A.A.; Palombo, D.; Perego, P. Antioxidant Activity and Biological Evaluation of Olive Pomace Extract. Nat. Prod. Res. 2012, 26, 2280–2290. [Google Scholar] [CrossRef]
- Radic, K.; Vrcek, I.V.; Pavicic, I.; Cepo, D.V. Cellular Antioxidant Activity of Olive Pomace Extracts: Impact of Gastrointestinal Digestion and Cyclodextrin Encapsulation. Molecules 2020, 25, 5027. [Google Scholar] [CrossRef]
- Watson, R.R. Polyphenols in Plants: Isolation, Purification and Extract Preparation, 1st ed.; Academic Press: London, UK, 2014; Chapter 7. [Google Scholar]
- Singleton, V.L.; Orthofer, R.; Lamuela-Raventos, R.M. Analysis of Total Phenols and Other Oxidation Substrates and Antioxidants by Means of Folin-Ciocalteu Reagent. Methods Enzymol. 1999, 299, 152–178. [Google Scholar]
- Mabry, T.J.; Markham, K.R.; Thomas, M.B. The Systematic Identification of Flavonoids; Springer: Berlin/Heidelberg, Germany, 1970. [Google Scholar]
- Mateos, R.; Espartero, J.L.; Trujillo, M.; Ríos, J.J.; León-Camacho, M.; Alcudia, F. Determination of phenols, flavones, and lignans in virgin olive oils by solid-phase extraction and high-performance liquid chromatography with diode array ultraviolet detection. J. Org. Chem. 2001, 49, 2185–2192. [Google Scholar] [CrossRef] [PubMed]
- Apak, R.; Ozyurek, M.; Guclu, K.; Capaoglu, E. Antioxidant Activity/Capacity Measurement. Classification, Physicochemical Principles, Mechanisms, and Electron Transfer (ET)-Based Assays. Agric. Food Chem. 2016, 64, 997–1027. [Google Scholar] [CrossRef] [PubMed]
- Benzie, I.F.F.; Strain, J.J. The Ferric Reducing Ability of Plasma (FRAP) as A Measure of “Antioxidant Power”: The FRAP assay. Anal. Biochem. 1996, 239, 70–76. [Google Scholar] [CrossRef]
- Cerretani, L.; Bendini, A. Rapid Assays to Evaluate the Antioxidant Capacity of Phenols in Virgin Olive Oil. In Olives and Olive oil in Health and Diseases Prevention; Academic Press: Cambridge, MA, USA, 2010; pp. 625–635. [Google Scholar]
- Rahman, M.M.; Islam, M.B.; Biswas, M.; Khurshid Alam, A.H. In vitro antioxidant and free radical scavenging activity of different parts of Tabebuia pallida growing in Bangladesh. BMC Res. Notes 2015, 8, 621. [Google Scholar] [CrossRef]
- Rajurkar, N.S.; Hande, S.M. Estimation of phytochemical content and antioxidant activity of some selected traditional Indian medicinal plants. Indian J. Pharm. Sci. 2011, 73, 146. [Google Scholar] [CrossRef]
- Mukhopadhyay, D.; Sinha, D.; Palchoudhuri, S.; Chatteriee, I.; Ali, S.; Dastidar, S.G. A Sensitive In vitro Spectrophotometric Hydrogen Peroxide Scavenging Assay using 1,10-Phenanthroline. Free Radic. Antioxid. 2015, 6, 123–131. [Google Scholar] [CrossRef]
- Lopes Araujo, M.; Pimentel, F.B.; Alves, R.C.; Oliveria, M. Phenolic compounds from olive mill wastes: Health effects, analytical approach and application as food antioxidants. Trends Food Sci. Technol. 2015, 45, 200–211. [Google Scholar] [CrossRef]
- Cioffi, G.; Pesca, S.; De Caprariis, P.; Braca, A.; Severino, L.; De Tommasi, N. Phenolic compounds in olive oil and olive pomace from Cilento (Campania, Italy) and their antioxidant activity. Food Chem. 2010, 121, 105–111. [Google Scholar] [CrossRef]
- Sun, J.; Chu, Y.-F.; Wu, X.; Liu, R.H. Antioxidant and antiproliferative activities of common fruits. J. Agric. Food Chem. 2002, 50, 7449–7454. [Google Scholar] [CrossRef]
- Bonoli, M.; Verardo, V.; Marconi, E.; Fiorenza Caboni, M. Antioxidant Phenols in Barley (Hordeum vulgare L.) Flour: Comparative Spectrophotometric Study among Extraction Methods of Free and Bound Phenolic Compounds. Agric. Food Chem. 2004, 2, 5195–5520. [Google Scholar] [CrossRef] [PubMed]
- Wu, Y.; Gao, H.; Wang, Y.; Peng, Z.; Guo, Z.; Ma, Y.; Zhang, R.; Zhang, M.; Wu, Q.; Xiao, J.; et al. Effects of different extraction methods on contents, profiles, and antioxidant abilities of free and bound phenolics of Sargassum polycystum from the South China Sea. J. Food Sci. 2022, 87, 968–981. [Google Scholar] [CrossRef]
- Sani, I.M.; Iqbal, S.; Chan, K.W.; Ismail, M. Effect of acid and base catalyzed hydrolysis on the yield of phenolics and antioxidant activity of extracts from germinated brown rice (GBR). Molecules 2012, 17, 7584–7594. [Google Scholar] [CrossRef]
- Su, D.; Zhang, R.; Hou, F.; Zhang, M.; Guo, J.; Huang, F.; Deng, Y.; Wei, Z. Comparison of the free and bound phenolic profiles and cellular antioxidant activities of litchi pulp extracts from different solvents. BMC Complement. Altern. Med. 2014, 14, 9. [Google Scholar] [CrossRef]
- Ghasemzadeh, A.; Jaafar, H.Z.; Rahmat, A. Effects of solvent type on phenolics and flavonoids content and antioxidant activities in two varieties of young ginger (Zingiber officinale Roscoe) extracts. J. Med. Plants Res. 2011, 5, 1147–1154. [Google Scholar]
- Rommel, A.; Wrolastad, R.E. Influence of Acid and Base Hydrolysis on the Phenolic Composition of Red Raspberry Juice. J. Agric. Food Chem. 1993, 41, 1237–1241. [Google Scholar] [CrossRef]
- Zhang, X.; Wang, X.; Wang, M.; Cao, J.; Xiao, J.; Wang, Q. Effects of different pretreatments on flavonoids and antioxidant activity of Dryopteris erythrosora leave. PLoS ONE 2019, 14, e0200174. [Google Scholar] [CrossRef]
- Sharma, K.; Ko, E.Y.; Assefa, D.; Ha, S.; Nile, S.H.; Lee, E.T.; Park, S.W. Temperature-dependent studies on the total phenolics, flavonoids, antioxidant activities, and sugar content in six onion varieties. J. Food Drug Anal. 2014, 23, 243–252. [Google Scholar] [CrossRef]
- Soufi, O.; Romero, C.; Hayette, L. Ortho-diphenol profile and antioxidant activity of Algerian black olive cultivars: Effect of dry salting process. Food Chem. 2014, 157, 504–510. [Google Scholar] [CrossRef]
- Basuny, M.A. Olive Leaves Healthy Alternative for Green Tea. Curr. Trends Biomed. Eng. Biosci. 2018, 15, 555919. [Google Scholar] [CrossRef]
- Rover, M.R.; Brown, R.C. Quantification of total phenols in bio-oil using the Folin–CIOCALTEU method. J. Anal. Appl. Pyrolysis 2013, 104, 366–371. [Google Scholar] [CrossRef]
- Singh, G.; Passsari, A.K.; Leo, V.V.; Mishra, V.K.; Subbarayan, S.; Singh, B.P.; Kumar, B.; Kumar, S.; Gupta, V.K.; Lalhlenmawia, H.; et al. Evaluation of phenolic content variability along with antioxidant, antimicrobial, and cytotoxic potential of selected traditional medicinal plants from India. Front. Plant Sci. 2016, 7, 407. [Google Scholar] [CrossRef] [PubMed]
- Squillaci, G.; Zannella, C.; Carbone, V.; Minasi, P.; Folliero, V.; Stelitano, D.; La Cara, F.; Galdiero, M.; Franci, G.; Morana, A. Grape Canes from Typical Cultivars of Campania (Southern Italy) as a Source of High-Value Bioactive Compounds: Phenolic Profile, Antioxidant and Antimicrobial Activities. Molecules 2021, 26, 2746. [Google Scholar] [CrossRef] [PubMed]
- Ye, J.H.; Wijesundera, C.; Shi, M. Effects of Agronomic and Oil Processing Conditions on Natural Antioxidative Phenolics in Olive (Olea europaea, L.); Austin Publishing Group: Irving, TX, USA, 2014; Volume 2, p. 1050. [Google Scholar]
- Baccouri, B.; Zarrouk, W.; Krichene, D.; Nouairi, I.; Youssef, N.; Daoud, D.; Zarrouk, M. Influence of Fruit Ripening and Crop Yield on Chemical Properties of Virgin Olive Oils from Seven Selected Oleasters (Olea europea L.). J. Agron. 2008, 6, 388–396. [Google Scholar] [CrossRef][Green Version]
- Celano, R.; Piccinelli, A.L.; Pugliese, A.; Carabetta, S.; Di Sanzo, R.; Rastrelli, L. Insights into the Analysis of Phenolic Secoiridoids in Extra Virgin Olive Oil. J. Agric. Food Chem. 2018, 66, 6053–6063. [Google Scholar] [CrossRef] [PubMed]
- Oliveras-López, M.J.; Innocenti, M.; Giaccherini, C.; Ieri, F.; Romani, A.; Mulinacci, N. Study of the phenolic composition of Spanish and Italian monocultivar extra virgin olive oils: Distribution of lignans, secoiridoidic, simple phenols and flavonoids. Talanta 2007, 73, 726–732. [Google Scholar] [CrossRef] [PubMed]
- Mumm, R.; Hilker, M. Direct and indirect chemical defence of pine against folivorous insects. Trends Plant Sci. 2006, 11, 351–358. [Google Scholar] [CrossRef]
- Marsilio, V.; Seghetti, L.; Iannucci, E.; Russi, F.; Lanza, B.; Felicioni, M. Use of a lactic acid bacteria starter culture during green olive (Olea europaea L. cv Ascolana tenera) processing. J. Sci. Food Agric. 2005, 85, 1084–1090. [Google Scholar] [CrossRef]
- Jemai, H.; Bouaziz, M.; Sayadi, S. Phenolic composition, sugar contents and antioxidant activity of Tunisian sweet olive cultivar with regard to fruit ripening. J. Agric. Food Chem. 2009, 57, 2961–2968. [Google Scholar] [CrossRef] [PubMed]
- Gutierrez-Rosales, F.; Romero, M.P.; Casanovas, M.; Motilva, M.J.; Mínguez-Mosquera, M.I. Metabolites involved in oleuropein accumulation and degradation in fruits of Olea europaea L.: Hojiblanca and Arbequina varieties. J. Agric. Food Chem. 2010, 58, 12924–12933. [Google Scholar] [CrossRef]
- Johnson, R.; Melliou, E.; Zweigenbaum, J.; Mitchell, A.E. Quantitation of oleuropein and related phenolics in cured Spanish-style green, California-style black ripe, and greek-style natural fermentation olives. J. Agric. Food Chem. 2018, 66, 2121–2128. [Google Scholar] [CrossRef] [PubMed]
- Giuffre, A.M.; Piscopo, A.; Slcari, V.; Poiana, M. The effects of harvesting on phenolic compounds and fatty acids content in virgin olive oil (cv Roggianella). Riv. Itaiana Delle Sostanze 2010, 87, 14–23. [Google Scholar]
- Morelló, J.-R.; Romero, M.-P.; Ramo, T.; Motilva, M.J. Evaluation of L-phenylalanine ammonia-lyase activity and phenolic profile in olive drupe (Olea europaea L.) from fruit setting period to harvesting time. Plant Sci. 2005, 168, 65–72. [Google Scholar] [CrossRef]
- Bouaziz, M.; Chamkha, M.; Sayadi, S. Comparative study on phenolic content and antioxidant activity during maturation of the olive cultivar Chemlali from Tunisia. J. Agric. Food Chem. 2004, 52, 5476–5481. [Google Scholar] [CrossRef] [PubMed]
- Charoenprasert, S.; Mitchell, A. Factors Influencing Phenolic Compounds in Table Olives (Olea europaea). Agric. Food Chem. 2012, 60, 7081–7095. [Google Scholar] [CrossRef]
- Zhou, R.; Zhang, G.F.; Zhang, Y.N.; Guo, X.R. Relationship between flavonoids and photoprotection in shade-developed Erigeron breviscapus transferred to sunlight. Photosynthetica 2015, 54, 201–209. [Google Scholar] [CrossRef]
- Li, A.; Li, S.; Wu, X.; Zhang, J.; He, A.; Zhao, G.; Yang, X. Effect of Light Intensity on Leaf Photosynthetic Characteristics and Accumulation of Flavonoids in Lithocarpus litseifolius (Hance) Chun. (Fagaceae). Sci. Res. 2016, 6, 445–459. [Google Scholar] [CrossRef]
- Benlarbi, F.; Stoker, P.; Yousfi, M. Investigation of antioxidant and antihemolytic activities of Algerian defatted olive fruits (Olea europaea L.) at two ripening stages. Mediterr. J. Nutr. Metab. 2018, 11, 217–233. [Google Scholar] [CrossRef]
- Machado, M.; Felizardo, C.; Fernandes-Silva, A.A.; Barros, A. Polyphenolic compounds, antioxidant activity and L-phenylalanine ammonia-lyase activity during ripening of olive cv. “Cobrançosa” under different irrigation regimes. Food Res. Int. 2012, 1, 412–421. [Google Scholar] [CrossRef]
- Gouvinhas, I.; Martins-Lopes, P.; Vilela, A.; Barros, A.; Sousa, C.; Barreira, D.; Carvalho, M.T.; Lopes, J. ‘Cobrançosa’ Olive Oil and Drupe: Chemical Composition at Two Ripening Stages. J. Am. Oil Chem. Soc. 2014, 91, 599–611. [Google Scholar]
- Zheng, W.; Wang, S.Y. Antioxidant activity and phenolic compounds in selected herbs. J. Agric. Food Chem. 2001, 49, 5165–5170. [Google Scholar] [CrossRef] [PubMed]
- Shahidi, F.; Zhong, H.J.; Ambigaipalan, P. Antioxidants: Regulatory status. In Bailey’s Industrial Oil and Fat Products; John Wiley & Sons, Ltd.: London, UK, 2005; pp. 1–21. [Google Scholar]
- Huang, D.; Ou, B.; Prior, R.L. The chemistry behind antioxidant capacity assays. J. Agric. Food Chem. 2005, 53, 1841–1856. [Google Scholar] [CrossRef] [PubMed]
- Wright, J.S.; Johnson, E.R.; DiLabio, G.A. Predicting the activity of phenolic antioxidants: Theoretical method, analysis of substituent effects, and application to major families of antioxidants. J. Am. Chem. Soc. 2001, 123, 1173–1183. [Google Scholar] [CrossRef] [PubMed]
- Visioli, F.; Galli, C. Olive oil phenols and their potential effects on human health. J. Agric. Food Chem. 1998, 46, 4292–4296. [Google Scholar] [CrossRef]
- Bors, W.; Heller, W.; Michel, C.; Saran, M. Radical Chemistry of Flavonoid Antioxidants. In Antioxidants in Therapy and Preventive Medicine; Springer: Berlin/Heidelberg, Germany, 1990; pp. 165–170. [Google Scholar]
- Capaldo, L.; Ravelli, D. Hydrogen Atom Transfer (HAT): A Versatile Strategy for Substrate Activation in Photocatalyzed Organic Synthesis. Chem. Eur. 2017, 15, 2056–2071. [Google Scholar] [CrossRef]
- Leopoldini, M.; Russo, N.; Toscano, M. The molecular basis of working mechanism of natural polyphenolic antioxidants. Food Chem. 2011, 125, 288–306. [Google Scholar] [CrossRef]
- Di Meo, F.; Lemaur, V.; Cornil, J.; Lazzaroni, R.; Duroux, J.L.; Olivier, Y.; Trouillas, P. Free radical scavenging by natural polyphenols: Atom versus electron transfer. J. Phys. Chem. A 2013, 117, 2082–2092. [Google Scholar] [CrossRef]
- Lemanska, K.; Szymusiak, H.; Tyrakowska, B.; Zieliński, R.; Soffers, A.E.; Rietjens, I.M. The influence of pH on antioxidant properties and the mechanism of antioxidant action of hydroxyflavones. Free Radic. Biol. Med. 2001, 31, 869–881. [Google Scholar] [CrossRef]
- Platzer, M.; Kiese, S.; Herfellner, T.; Schweiggert-Weisz, U.; Miesbauer, O.; Eisner, P. Common Trends and Differences in Antioxidant Activity Analysis of Phenolic Substances Using Single Electron Transfer Based Assays. Molecules 2021, 26, 1244. [Google Scholar] [CrossRef]
- Tubesha, Z.; Iqbal, S.; Ismail, M. Effects of hydrolysis conditions on recovery of antioxidants from methanolic extracts of Nigella Sativa seeds. J. Med. Plants Res. 2011, 5, 5393–5399. [Google Scholar]
- Jin Lee, K.; Chang Oh, Y.; Kyung Cho, W.; Yeul Ma, J. Antioxidant and Anti-Inflammatory Activity Determination of One Hundred Kinds of Pure Chemical Compounds Using Offline and Online Screening HPLC Assay. Evid. Based Complement. Altern. Med. 2015, 2015, 165457. [Google Scholar]
- Wangsawat, N.; Nahar, L.; Sarker, S.D.; Phosri, C.; Evans, A.R.; Whalley, A.J.S.; Choowongkomon, K.; Suwannasai, N. Antioxidant Activity and Cytotoxicity against Cancer Cell Lines of the Extracts from Novel Xylaria Species Associated with Termite Nests and LC-MS Analysis. Antioxidants 2021, 10, 1557. [Google Scholar] [CrossRef] [PubMed]
- Ballus, C.A.; Meinhart, A.D.; De Souza Campos, F.A.; Godoy, H.T. Total Phenolics of Virgin Olive Oils Highly Correlate with the Hydrogen Atom Transfer Mechanism of Antioxidant Capacity. J. Am. Oil Chem. Soc. 2015, 92, 843–885. [Google Scholar] [CrossRef]
- Samaniego Sánchez, C.; Troncoso González, A.M.; García-Parrilla, M.C.; Quesada Granados, J.J.; López García de la Serrana, H.; López Martínez, M.C. Different radical scavenging tests in virgin olive oil and their relation to the total phenol content. Anal. Chim. Acta 2007, 593, 103–107. [Google Scholar] [CrossRef]
- Mathew, S.; Abraham, T.E.; Akmar Zakaria, Z. Reactivity of phenolic compounds towards free radicals under in vitro conditions. J. Food Sci. Technol. 2015, 52, 5790–5798. [Google Scholar] [CrossRef] [PubMed]
- Yamagami, C.; Akamatsu, M.; Motohashi, N.; Hamada, S.; Tanahashi, T. Quantitative structure-activity relationship studies for antioxidant hydroxybenzalacetones by quantum chemical-and 3-D-QSAR(CoMFA) analyses. Bioorg. Med. Chem. Lett. 2005, 15, 2845–2850. [Google Scholar] [CrossRef]
- Cuvelier, M.E.; Richard, H.; Berset, C. Comparison of the antioxidant activity of some acid phenols: Structure-activity relationship. Biosci. Biotechnol. Biochem. 1992, 56, 324–325. [Google Scholar] [CrossRef]
- Natella, F.; Nardini, M.; Di Felice, M.; Scaccini, C. Benzoic and cinnamic acid derivatives as antioxidants: Structure-activity relation. J. Agric. Food Chem. 1999, 47, 1453–1459. [Google Scholar] [CrossRef]
- Li, W.; Gu, M.; Gong, P.; Wang, J.; Hu, Y.; Hu, Y.; Tan, X.; Wei, J.; Yang, H. Glycosides changed the stability and antioxidant activity of pelargonidin. Food Sci. Technol. 2021, 147, 111581. [Google Scholar] [CrossRef]
- Apak, R.; Semirci Cekic, S.; Uzer, A.; Esin Celik, S.; Bener, M.; Bekdeser, B.; Can, Z.; Saglam, S.; Nur Onem, A.; Ercag, E. Novel Spectroscopic and Electrochemical Sensors and Nanoprobes for the Characterization of Food and Biological Antioxidants. Sensor 2018, 18, 186. [Google Scholar] [CrossRef]
- Ozyurek, M.; Guclu, K.; Tutem, E.; Sozgeb Baskan, K.; Ercag, E.; Celik, E.; Baki, S.; Yildiz, L.; Karaman, S.; Apak, R. A comprehensive review of CUPRAC methodology. R. Soc. Chem. 2011, 3, 2439–2453. [Google Scholar]
- Zhong, Y.; Shahidi, F. Methods for assessment of antioxidant activity in foods. Handb. Antioxid. Food Preserv. 2015, 1, 287–333. [Google Scholar]
- Tang, W.; Li, W.; Yang, Y.; Lin, X.; Wang, L.; Li, C.; Yang, R. Phenolic Compounds Profile and Antioxidant Capacity of Pitahaya Fruit Peel from Two Red-Skinned Species (Hylocereus polyrhizus and Hylocereus undatus). Foods 2021, 10, 1183. [Google Scholar] [CrossRef] [PubMed]
- Tang, G.-Y.; Zhao, C.-N.; Liu, Q.; Feng, X.-L.; Xu, X.-Y.; Cao, S.-Y.; Meng, X.; Li, S.; Gan, R.-Y.; Li, H.-B. Potential of Grape Wastes as a Natural Source of Bioactive Compounds. Molecules 2018, 23, 2598. [Google Scholar] [CrossRef]
- Nenadis, N.; Kyriakoudi, A.; Tsimidou, M. Impact of alkaline or acid digestion to antioxidant activity, phenolic content and composition of rice hull extracts. Food Sci. Technol. 2013, 54, 207–215. [Google Scholar] [CrossRef]
- Apak, R.; Guclu, K.; Ozyurek, M.; Bektasoglu, B.; Bener, M. Cupric ion reducing antioxidant capacity assay for food antioxidants: Vitamins, polyphenolics, and flavonoids in food extracts. Methods Mol. Biol. 2008, 477, 163–193. [Google Scholar] [PubMed]
- Mohan, S.C.; Balamururgan, V.; Salini, T.; Rekha, R. Metal ion chelating activity and hydrogen peroxide scavenging activity of medicinal plant Kalanchoe pinnata. J. Chem. Pharm. Res. 2012, 4, 197–202. [Google Scholar]
- Taha, R.M.; Mohajer, S.; Banisalam, B. Antioxidant Activity and Total Phenolic and Flavonoid Content of Various Solvent Extracts from in vivo and in vitro Grown Trifolium pratense L. (Red Clover). Biomed Res. Int. 2015, 2015, 643285. [Google Scholar]
- Ammar, A.F.; Baeshen, M.; Aqlan, F.M.; Siddeeg, A.; Chamba, M.V.M.; Afifi, M.; Almulaiky, Y.Q.; Alayafi, A. Solvent effects on antioxidant activities and phenolic contents of the alhydwan (Boerhavia elegana choisy) seed flour. J. Food Meas. Charact. 2018, 12, 2121–2127. [Google Scholar] [CrossRef]
- Bendary, E.; Francis, R.R.; Ali, H.; Sarwat, M.I.; El Hady, S. Antioxidant and structure–activity relationships (SARs) of some phenolic and anilines compounds. Ann. Agric. Sci. 2013, 58, 173–181. [Google Scholar] [CrossRef]
- Louaileche, H.; Zegane, O.; Keciri, S. Ortho-Diphenol Content, Iron Chelating and Hydrogen Peroxide Scavenging Properties. Int. J. Bioinf. Biomed. Eng. 2015, 3, 211–215. [Google Scholar]
- Carrasco-Pancorbo, A.; Gomez-Caravaca, A.M.; Cerretani, L.; Bendini, A.; Segura-Carretero, A.; Fernandez-Gutierrez, A. Rapid quantification of the phenolic fraction of Spanish virgin olive oils by capillary electrophoresis with UV detection. J. Agric. Food Chem. 2006, 54, 7984–7991. [Google Scholar] [CrossRef] [PubMed]













| DPPH | ||||
|---|---|---|---|---|
| Cultivar | Date | IC50 of Alkaline Hydrolysis | IC50 of Acid Hydrolysis | IC50 of Maceration Extraction |
| Bidni | 26 October 2021 | 0.43 ± 0.05 | 1.12 ± 0.13 | 2.51 ± 0.18 |
| Bidni | 2 November 2021 | 0.25 ± 0.02 | 0.60 ± 0.02 | 1.11 ± 0.24 |
| Bidni | 16 November 2021 | 3.78 ± 0.47 | 3.77 ± 0.65 | 2.10 ± 0.26 |
| BDS | 28 September 2021 | 0.20 ± 0.04 | 1.31 ± 0.15 | 1.51 ± 0.27 |
| Carolea | 7 October 2021 | 0.70 ± 0.02 | 0.50 ± 0.10 | 8.76 ± 1.03 |
| Carolea | 22 October 2021 | 0.42 ± 0.01 | 0.88 ± 0.23 | 7.06 ± 2.78 |
| Carolea | 17 November 2021 | 5.00 ± 0.72 | 7.79 ± 0.81 | 2.34 ± 0.26 |
| Cerasuola | 2 November 2021 | 0.85 ± 0.02 | 1.26 ± 0.14 | 8.69 ± 0.96 |
| Coratina | 27 September 2021 | 0.61 ± 0.10 | 0.31 ± 0.04 | 5.29 ± 1.13 |
| Coratina | 25 October 2021 | 0.65 ± 0.06 | 0.98 ± 0.11 | 3.68 ± 0.27 |
| Frantoio | 27 September 2021 | 0.78 ± 0.18 | 0.94 ± 0.04 | 6.18 ± 1.08 |
| Frantoio | 4 October 2021 | 0.70 ± 0.10 | 0.66 ± 0.13 | 2.03 ± 0.26 |
| Frantoio | 19 October 2021 | 0.69 ± 0.21 | 0.43 ± 0.02 | 1.23 ± 0.13 |
| Leccino | 17 October 2021 | 2.10 ± 0.26 | 3.06 ± 0.18 | 3.14 ± 0.10 |
| Malti | 29 September 2021 | 2.75 ± 0.31 | 4.67 ± 0.45 | 7.25 ± 0.88 |
| Mixed 1 | 2 October 2021 | 0.48 ± 0.06 | 0.44 ± 0.09 | 1.89 ± 0.34 |
| Mixed 2 | 30 September 2021 | 0.43 ± 0.13 | 2.22 ± 0.25 | 1.79 ± 0.13 |
| Bajda 1 | 4 October 2021 | 0.42 ± 0.06 | 0.32 ± 0.07 | 1.84 ± 1.01 |
| Bajda 2 | 4 October 2021 | 0.43 ± 0.07 | 0.59 ± 0.05 | 2.49 ± 0.17 |
| Picholine | 7 October 2021 | 0.37 ± 0.03 | 0.52 ± 0.21 | 2.67 ± 0.25 |
| UDP | 4 October 2021 | 0.16 ± 0.03 | 0.81 ± 0.40 | 2.24 ± 0.12 |
| UDP | 7 October 2021 | 0.81 ± 0.02 | 0.35 ± 0.01 | 3.79 ± 0.42 |
| UDP | 25 October 2021 | 0.31 ± 0.05 | 0.34 ± 0.05 | 1.86 ± 0.65 |
| ABTS | ||||
|---|---|---|---|---|
| Cultivar | Date | IC50 of Alkaline Hydrolysis | IC50 of Acid Hydrolysis | IC50 of Maceration Extraction |
| Bidni | 26 October 2021 | 84.68 ± 8.80 | 191.10 ± 6.18 | 1837.88 ± 39.51 |
| Bidni | 2 November 2021 | 43.91 ± 20.95 | 90.77 ± 42.81 | 12.81 ± 12.61 |
| Bidni | 16 November 2021 | 0.09 ± 0.04 | 0.11 ± 0.03 | 0.27 ± 0.09 |
| BDS | 28 September 2021 | 45.62 ± 3.55 | 53.88 ± 4.08 | 9.80 ± 13.89 |
| Carolea | 7 October 2021 | 109.75 ± 17.59 | 6.11 ± 7.86 | 839.02 ± 152.85 |
| Carolea | 22 October 2021 | 98.94 ± 57.31 | 3.10 ± 2.96 | 800.71 ± 173.90 |
| Carolea | 17 November 2021 | 0.46 ± 0.14 | 0.65 ± 0.15 | 1.44 ± 0.13 |
| Cerasuola | 2 November 2021 | 0.05 ± 0.01 | 86.20 ± 5.53 | 615.52 ± 45.12 |
| Coratina | 27 September 2021 | 30.32 ± 22.23 | 4.05 ± 2.37 | 800.30 ± 150.70 |
| Coratina | 25 October 2021 | 72.72 ± 0.97 | 95.02 ± 6.21 | 295.80 ± 50.56 |
| Frantoio | 27 September 2021 | 247.11 ± 71.83 | 574.30 ± 510.34 | 591.98 ± 136.01 |
| Frantoio | 4 October 2021 | 217.80 ± 53.50 | 199.43 ± 219.36 | 45.27 ± 29.93 |
| Frantoio | 19 October 2021 | 79.28 ± 2.56 | 50.35 ± 6.00 | 24.34 ± 8.83 |
| Leccino | 17 October 2021 | 0.18 ± 0.05 | 0.04 ± 0.02 | 0.83 ± 0.06 |
| Malti | 29 September 2021 | 0.19 ± 0.07 | 0.17 ± 0.08 | 0.61 ± 0.13 |
| Mixed 1 | 2 October 2021 | 0.77 ± 0.46 | 44.39 ± 4.19 | 135.78 ± 40.30 |
| Mixed 2 | 30 September 2021 | 74.14 ± 5.17 | 77.38 ± 14.79 | 14.26 ± 8.40 |
| Bajda 1 | 4 October 2021 | 3.13 ± 3.64 | 18.56 ± 6.43 | 30.54 ± 14.41 |
| Bajda 2 | 4 October 2021 | 5.82 ± 4.10 | 48.35 ± 3.44 | 174.72 ± 51.97 |
| Picholine | 7 October 2021 | 100.21 ± 13.93 | 0.48 ± 0.50 | 262.26 ± 63.37 |
| UDP | 4 October 2021 | 0.39 ± 0.67 | 0.63 ± 1.09 | 106.88 ± 58.25 |
| UDP | 7 October 2021 | 65.00 ± 11.05 | 0.03 ± 0.02 | 269.47 ± 23.13 |
| UDP | 25 October 2021 | 0.56 ± 0.67 | 0.27 ± 0.24 | 157.46 ± 62.23 |
| Superoxide Radical Scavenging Activity | ||||
|---|---|---|---|---|
| Cultivar | Date | IC50 of Alkaline Hydrolysis | IC50 of Acid Hydrolysis | IC50 of Maceration Extraction |
| Bidni | 26 October 2021 | 18.38 ± 1.38 | 36.68 ± 2.12 | 44.79 ± 9.10 |
| Bidni | 2 November 2021 | 12.70 ± 0.24 | 16.68 ± 2.05 | 8.07 ± 5.36 |
| Bidni | 16 November 2021 | 4.43 ± 3.97 | 11.40 ± 3.82 | 11.23 ± 10.15 |
| Bidni | 29 September 2021 | 5.32 ± 0.41 | 8.37 ± 3.48 | 2.46 ± 1.77 |
| BDS | 28 September 2021 | 1.30 ± 0.09 | 12.18 ± 4.58 | 8.96 ± 1.30 |
| Carolea | 7 October 2021 | 11.25 ± 0.12 | 3.36 ± 0.92 | 13.27 ± 5.03 |
| Carolea | 22 October 2021 | 3.39 ± 2.54 | 5.06 ± 1.40 | 11.69 ± 2.08 |
| Carolea | 17 November 2021 | 0.28 ± 0.35 | 9.48 ± 1.59 | 13.27 ± 4.77 |
| Carolea | 19 October 2021 | 0.85 ± 0.38 | 9.00 ± 1.50 | 10.62 ± 1.02 |
| Cerasuola | 2 November 2021 | 15.66 ± 2.29 | 9.07 ± 4.79 | 7.91 ± 0.83 |
| Coratina | 27 September 2021 | 5.57 ± 4.09 | 11.98 ± 3.12 | 8.44 ± 9.72 |
| Coratina | 25 October 2021 | 7.60 ± 1.62 | 8.86 ± 2.66 | 23.53 ± 4.69 |
| Frantoio | 27 September 2021 | 14.08 ± 5.85 | 10.02 ± 3.32 | 17.59 ± 4.47 |
| Frantoio | 4 October 2021 | 1.30 ± 0.95 | 4.32 ± 0.51 | 28.00 ± 2.42 |
| Frantoio | 19 October 2021 | 4.00 ± 0.59 | 9.59 ± 1.25 | 3.28 ± 3.37 |
| Leccino | 17 October 2021 | 16.10 ± 10.41 | 5.10 ± 0.64 | 6.86 ± 5.34 |
| Malti | 29 September 2021 | 13.87 ± 2.71 | 7.11 ± 0.81 | 13.01 ± 10.37 |
| Mixed 1 | 2 October 2021 | 23.86 ± 4.26 | 5.66 ± 0.94 | 12.58 ± 3.40 |
| Mixed 2 | 30 September 2021 | 20.95 ± 6.29 | 27.51 ± 6.28 | 8.55 ± 4.38 |
| Bajda 1 | 4 October 2021 | 14.86 ± 3.42 | 8.70 ± 2.97 | 3.77 ± 2.39 |
| Bajda 2 | 4 October 2021 | 10.40 ± 2.94 | 7.19 ± 2.00 | 18.90 ± 4.50 |
| Picholine | 7 October 2021 | 1.83 ± 1.19 | 7.04 ± 1.48 | 22.26 ± 15.31 |
| UDP | 4 October 2021 | 4.94 ± 0.46 | 3.63 ± 0.46 | 2.90 ± 2.19 |
| UDP | 7 October 2021 | 14.61 ± 0.49 | 5.36 ± 1.50 | 11.03 ± 0.79 |
| UDP | 25 October 2021 | 9.22 ± 2.08 | 10.87 ± 0.41 | 20.74 ± 1.18 |
| Correlation Analysis | |||
|---|---|---|---|
| Methanolic Extracts | Acid Hydrolysis | Alkaline Hydrolysis | |
| TPC | |||
| TPC–TFC | 0.67 | −0.09 | 0.51 |
| TPC-TdOPC | 0.67 | 0.23 | 0.57 |
| TPC-FRAP | 0.78 | 0.80 | 0.76 |
| TPC-CUPRAC | 0.69 | 0.57 | 0.93 |
| TPC-DPPH | −0.73 | −0.50 | −0.47 |
| TPC–ABTS | −0.70 | −0.47 | −0.57 |
| TPC–H2O2 | 0.42 | 0.80 | 0.85 |
| TFC | |||
| TFC-TdOPC | 0.95 | 0.77 | 0.96 |
| TFC–FRAP | 0.45 | −0.35 | 0.052 |
| TFC-CUPRAC | 0.84 | 0.48 | 0.63 |
| TFC–DPPH | −0.46 | 0.34 | 0.20 |
| TFC–ABTS | −0.77 | −0.21 | −0.67 |
| TFC–H2O2 | 0.45 | −0.60 | 0.55 |
| TdOPC | |||
| TdOPC-FRAP | 0.46 | 0.06 | 0.25 |
| TdOPC-CUPRAC | 0.83 | 0.58 | 0.69 |
| TdOPC–DPPH | −0.43 | 0.15 | 0.17 |
| TdOPC–ABTS | −0.73 | −0.26 | −0.70 |
| TdOPC–H2O2 | 0.46 | 0.18 | 0.58 |
Publisher’s Note: MDPI stays neutral with regard to jurisdictional claims in published maps and institutional affiliations. |
© 2022 by the authors. Licensee MDPI, Basel, Switzerland. This article is an open access article distributed under the terms and conditions of the Creative Commons Attribution (CC BY) license (https://creativecommons.org/licenses/by/4.0/).
Share and Cite
Attard, K.; Oztop, M.H.; Lia, F. The Effect of Hydrolysis on the Antioxidant Activity of Olive Mill Waste. Appl. Sci. 2022, 12, 12187. https://doi.org/10.3390/app122312187
Attard K, Oztop MH, Lia F. The Effect of Hydrolysis on the Antioxidant Activity of Olive Mill Waste. Applied Sciences. 2022; 12(23):12187. https://doi.org/10.3390/app122312187
Chicago/Turabian StyleAttard, Karen, Mecit Halil Oztop, and Frederick Lia. 2022. "The Effect of Hydrolysis on the Antioxidant Activity of Olive Mill Waste" Applied Sciences 12, no. 23: 12187. https://doi.org/10.3390/app122312187
APA StyleAttard, K., Oztop, M. H., & Lia, F. (2022). The Effect of Hydrolysis on the Antioxidant Activity of Olive Mill Waste. Applied Sciences, 12(23), 12187. https://doi.org/10.3390/app122312187

