Improving the Performance of an Ultrashort Soft X-ray Free-Electron Laser via Attosecond Afterburners
Abstract
1. Introduction
2. Layout for the Proposed Technique
3. Numerical Simulations
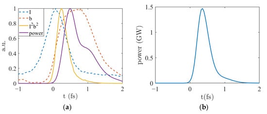
3.1. Modulation before the Radiator
3.2. FEL Evolution in the Radiator
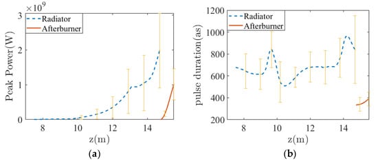
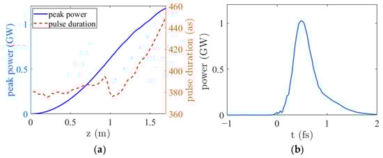
3.3. Optimization of the Lengths of the Undulators
3.4. Simulations of the Kickers
3.5. Stability against the SASE Fluctuation
3.6. Effect of Longitudinal Space Charge
4. Conclusions
Author Contributions
Funding
Institutional Review Board Statement
Informed Consent Statement
Data Availability Statement
Acknowledgments
Conflicts of Interest
References
- Corkum, P.B.; Krausz, F. Attosecond science. Nat. Phys. 2007, 3, 381–387. [Google Scholar] [CrossRef]
- Kasmi, L.; Lucchini, M.; Castiglioni, L.; Kliuiev, P.; Osterwalder, J.; Hengsberger, M.; Gallmann, L.; Krüger, P.; Keller, U. Effective mass effect in attosecond electron transport. Optica 2017, 4, 1492–1497. [Google Scholar] [CrossRef]
- Ayuso, D.; Palacios, A.; Decleva, P.; Martín, F. Ultrafast charge dynamics in glycine induced by attosecond pulses. Phys. Chem. Chem. Phys. 2017, 19, 19767–19776. [Google Scholar] [CrossRef]
- Agueny, H. Coherent electron displacement for quantum information processing using attosecond single cycle pulses. Sci. Rep. 2020, 10, 21869. [Google Scholar] [CrossRef] [PubMed]
- Liu, H.; Feng, L.; Qiao, Y.; Li, Y. Controlling three-step harmonic emission for intense attosecond pulses using water window harmonic spectra. J. Mod. Opt. 2022, 68, 267–275. [Google Scholar] [CrossRef]
- Perry, C.F.; Jordan, I.; Zhang, P.; von Conta, A.; Nunes, F.B.; Wörner, H.J. Photoelectron Spectroscopy of Liquid Water with Tunable Extreme-Ultraviolet Radiation: Effects of Electron Scattering. J. Phys. Chem. Lett. 2021, 12, 2990–2996. [Google Scholar] [CrossRef] [PubMed]
- Jordan, I.; Huppert, M.; Rattenbacher, D.; Peper, M.; Jelovina, D.; Perry, C.; von Conta, A.; Schild, A.; Wörner, H.J. Attosecond spectroscopy of liquid water. Science 2020, 369, 974–979. [Google Scholar] [CrossRef]
- Hentschel, M.; Kienberger, R.; Spielmann, C.; Raider, G.A.; Milosevic, N.; Brabec, T.; Corkum, P.; Heinzmann, U.; Drescher, M.; Krausz, F. Attosecond metrology. Nature 2001, 414, 509–513. [Google Scholar] [CrossRef]
- Li, J.; Lu, J.; Chew, A.; Han, S.; Li, J.; Wu, Y.; Wang, H.; Ghimire, S.; Chang, Z. Attosecond science based on high harmonic generation from gases and solids. Nat. Commun. 2020, 11, 2748. [Google Scholar] [CrossRef]
- Ren, X.; Li, J.; Yin, Y.; Zhao, K.; Chew, A.; Wang, Y.; Hu, S.; Cheng, Y.; Cunningham, E.; Wu, Y.; et al. Attosecond light sources in the water window. J. Opt. 2018, 20, 023001. [Google Scholar] [CrossRef]
- Teichmann, S.M.; Silva, F.; Cousin, S.L.; Hemmer, M.; Biegert, J. 0.5-keV soft X-ray attosecond continua. Nat. Commun. 2016, 7, 11493. [Google Scholar] [CrossRef] [PubMed]
- Saldin, E.; Schneidmiller, E.; Yurkov, M. Statistical properties of radiation from VUV and X-ray free electron laser. Opt. Commun. 1998, 148, 383–403. [Google Scholar] [CrossRef]
- Huang, Z.; Kim, K.J. Review of X-ray free-electron laser theory. Phys. Rev. Spec. Top.-Accel. Beams 2007, 10, 034801. [Google Scholar] [CrossRef]
- Kondratenko, A.M.; Saldin, E.L. Generating of coherent radiation by a relativistic electron beam in an ondulator. Part. Accel. 1980, 10, 207–216. [Google Scholar] [CrossRef]
- Thompson, N.R. Possible Method for the Control of SASE Fluctuations. Pulse 2018, 10, 10–12. [Google Scholar] [CrossRef]
- Yu, L.H.; Krinsky, S. Analytical theory of intensity fluctuations in SASE. Nucl. Instrum. Methods Phys. Res. Sect. A Accel. Spectrometers Detect. Assoc. Equip. 1998, 407, 261–266. [Google Scholar] [CrossRef]
- Emma, P.; Bane, K.; Cornacchia, M.; Huang, Z.; Schlarb, H.; Walz, D. The Emittance Spoiler Foil: A Simple Method to Produce Femtosecond and Sub-Femtosecond X-ray Pulses from a SASE-Based Free-Electron Laser. 2004. Available online: https://www-ssrl.slac.stanford.edu/content/sites/default/files/documents/science-highlights/pdf/fsec-200402.pdf (accessed on 20 August 2022).
- Zholents, A.A. Method of an enhanced self-amplified spontaneous emission for X-ray free electron lasers. Phys. Rev. ST Accel. Beams 2005, 8, 040701. [Google Scholar] [CrossRef]
- Wang, Z.; Feng, C.; Zhao, Z. Generating isolated terawatt-attosecond X-ray pulses via a chirped-laser-enhanced high-gain free-electron laser. Phys. Rev. Accel. Beams 2017, 20, 040701. [Google Scholar] [CrossRef]
- Reiche, S.; Musumeci, P.; Pellegrini, C.; Rosenzweig, J. Development of ultra-short pulse, single coherent spike for SASE X-ray FELs. Nucl. Instrum. Methods Phys. Res. Sect. A Accel. Spectrometers Detect. Assoc. Equip. 2008, 59, 45–48. [Google Scholar] [CrossRef]
- Prat, E.; Reiche, S. Simple method to generate terawatt-attosecond X-ray free-electron-laser pulses. Phys. Rev. Lett. 2015, 114, 244801. [Google Scholar] [CrossRef]
- Gauthier, D.; Allaria, E.; Coreno, M.; Cudin, I.; Dacasa, H.; Danailov, M.B.; Demidovich, A.; Di Mitri, S.; Diviacco, B.; Ferrari, E.; et al. Chirped pulse amplification in an extreme-ultraviolet free-electron laser. Nat. Commun. 2016, 7, 13688. [Google Scholar] [CrossRef]
- Jie, L.; Ren, X.; Yin, Y.; Zhao, K.; Chew, A.; Cheng, Y.; Cunningham, E.; Wang, Y.; Hu, S.; Wu, Y.; et al. 53-attosecond X-ray pulses reach the carbon K-edge. Nat. Commun. 2017, 8, 186. [Google Scholar] [CrossRef]
- Huang, S.; Ding, Y.; Feng, Y.; Hemsing, E.; Huang, Z.; Krzywinski, J.; Lutman, A.A.; Marinelli, A.; Maxwell, T.J.; Zhu, D. Generating single-spike hard X-ray pulses with nonlinear bunch compression in free-electron lasers. Phys. Rev. Lett. 2017, 119, 154801. [Google Scholar] [CrossRef]
- Lutman, A.A.; Guetg, M.W.; Maxwell, T.J.; MacArthur, J.P.; Ding, Y.; Emma, C.; Krzywinski, J.; Marinelli, A.; Huang, Z. High-power femtosecond soft x rays from fresh-slice multistage free-electron lasers. Phys. Rev. Lett. 2018, 120, 264801. [Google Scholar] [CrossRef]
- Xiao, Y.; Feng, C.; Liu, B. Generating Isolated Attosecond X-ray Pulses by Wavefront Control in a Seeded Free-Electron Laser. Ultrafast Sci. 2022. [Google Scholar] [CrossRef]
- Duris, J.; Li, S.; Driver, T.; Champenois, E.G.; MacArthur, J.P.; Lutman, A.A.; Zhang, Z.; Rosenberger, P.; Aldrich, J.W.; Coffee, R.; et al. Tunable isolated attosecond X-ray pulses with gigawatt peak power from a free-electron laser. Nat. Photonics 2019, 14, 30–36. [Google Scholar] [CrossRef]
- MacArthur, J.P.; Duris, J.; Huang, Z.; Marinelli, A. High power sub-femtosecond X-ray pulse study for the lcls. In Proceedings of the IPAC2017, Copenhagen, Denmark, 14–19 May 2017. [Google Scholar]
- Zhang, Z.; Duris, J.; MacArthur, J.P.; Zholents, A.; Huang, Z.; Marinelli, A. Experimental demonstration of enhanced self-amplified spontaneous emission by photocathode temporal shaping and self-compression in a magnetic wiggler. N. J. Phys. 2020, 22, 083030. [Google Scholar] [CrossRef]
- Robles, R.; Rosenzweig, J. Compression of Ultra-High Brightness Beams for a Compact X-ray Free-Electron Laser. Instruments 2019, 3, 53. [Google Scholar] [CrossRef]
- Kumar, S.; Kang, H.-S.; Kim, D.E. The effect of a radio-frequency phase of accelerating columns on the attosecond ESASE scheme. J. Phys. B: At. Mol. Opt. Phys. 2013, 46, 164004. [Google Scholar] [CrossRef]
- Qi, Z.; Feng, C.; Deng, H.; Liu, B.; Zhao, Z. Generating attosecond X-ray pulses through an angular dispersion enhanced self-amplified spontaneous emission free electron laser. Phys. Rev. Accel. Beams 2008, 21, 120703. [Google Scholar] [CrossRef]
- Zagorodnov, I.; Dohlus, M.; Schneidmiller, E.A.; Yurkov, M.V. An Advanced Compression Option for the European XFEL. In Proceedings of the 39th Free Electron Laser Conference (FEL’19), Hamburg, Germany, 26–30 August 2019; JACOW Publishing: Geneva, Switzerland; pp. 187–190. [Google Scholar]
- Wang, X.J.; Murphy, J.B.; Rose, J.; Shen, Y.; Tsang, T.; Watanabe, T. The First Lasing of 193-nm SASE, 4th Harmonic HGHG and ESASE at the NSLS SDL; Brookhaven National Laboratory (BNL): Upton, NY, USA, 2006. [Google Scholar]
- Hermann, B.; Bettoni, S.; Egenolf, T.; Feurer, T.; Frei, F.; Niedermayer, U.; Prat, E.; Ischebeck, R. Diagnostics for Electron Pulse Trains at SwissFEL Obtained by Energy Modulation in a Laser-Driven Dielectric Structure. J. Phys. Conf. Ser. 2020, 1596, 012046. [Google Scholar] [CrossRef]
- Schneidmiller, E.A. Application of a modified chirp-taper scheme for generation of attosecond pulses in extreme ultraviolet and soft X-ray free electron lasers. Phys. Rev. Accel. Beams 2022, 25, 010701. [Google Scholar] [CrossRef]
- Tikhoplav, R.; Murokh, A.; Lentner, A.; Jovanovic, I. Ultrafast midinfrared laser system for enhanced self-amplified spontaneous emission applications. Phys. Rev. Spec. Top.-Accel. Beams 2011, 14, 070704. [Google Scholar] [CrossRef]
- Carlson, D.R.; Hutchison, P.; Hickstein, D.D.; Papp, S.B. Generating few-cycle pulses with integrated nonlinear photonics. Opt. Express 2019, 27, 37374–37382. [Google Scholar] [CrossRef]
- MacArthur, J.P.; Lutman, A.A.; Krzywinski, J.; Huang, Z. Microbunch rotation and coherent undulator radiation from a kicked electron beam. Phys. Rev. X 2018, 8, 041036. [Google Scholar] [CrossRef]
- Zeng, L.; Feng, C.; Wang, X.; Zhang, K.; Qi, Z.; Zhao, Z. A super-fast free-electron laser simulation code for online optimization. Photonics 2020, 7, 117. [Google Scholar] [CrossRef]
- Borland, M. ELEGANT: A Flexible SDDS-Compliant Code for Accelerator Simulation; Argonne National Lab.: Lemont, IL, USA, 2000. [Google Scholar]
- Reiche, S. GENESIS 1.3: A fully 3D time-dependent FEL simulation code. Nucl. Instrum. Methods Phys. Res. Sect. A Accel. Spectrometers Detect. Assoc. Equip. 1999, 429, 243–248. [Google Scholar] [CrossRef]
- Bonifacio, R.; Maroli, C.; Piovella, N.U.C. Slippage and superradiance in the high-gain FEL. Nucl. Instrum. Methods Phys. Res. Sect. A Accel. Spectrometers Detect. Assoc. Equip. 1988, 272, 280–288. [Google Scholar] [CrossRef]
- Bonifacio, R.; Casagrande, F.; Cerchioni, G.; Souza, L.D.S.; Pierini, P.; Piovella, N.U.C. Physics of the high-gain FEL and superradiance. La Riv. Del Nuovo Cim. 1990, 13, 1–69. [Google Scholar] [CrossRef]
- Geloni, G.; Saldin, E.; Schneidmiller, E.; Yurkov, M. Longitudinal impedance and wake from XFEL undulators. Impact on current-enhanced SASE schemes. Nucl. Instrum. Methods Phys. Res. Sect. A Accel. Spectrometers Detect. Assoc. Equip. 2007, 583, 228–247. [Google Scholar] [CrossRef]
- Ding, Y.; Huang, Z.; Ratner, D.; Bucksbaum, P.; Merdji, H. Generation of attosecond X-ray pulses with a multicycle two-color enhanced self-amplified spontaneous emission scheme. Phys. Rev. Spec. Top.-Accel. Beams 2009, 12, 060703. [Google Scholar] [CrossRef]
- Duris, J.P.; MacArthur, J.P.; Glownia, J.M.; Li, S.; Vetter, S.; Miahnahri, A.; Coffee, R.; Hering, P.; Fry, A.; Welch, M.E.; et al. Controllable X-ray pulse trains from enhanced self-amplified spontaneous emission. Phys. Rev. Lett. 2021, 126, 104802. [Google Scholar] [CrossRef]
- Saldin, E.L.; Schneidmiller, E.A.; Yurkov, M.V. Self-amplified spontaneous emission FEL with energy-chirped electron beam and its application for generation of attosecond X-ray pulses. Phys. Rev. Spec. Top.-Accel. Beams 2006, 9, 050702. [Google Scholar] [CrossRef]
- Lutman, A.; MacArthur, J.P.; Ilchen, M.; Lindahl, A.O.; Buck, J.; Coffee, R.N.; Dakovski, G.L.; Dammann, L.; Ding, Y.; Dürr, H.A.; et al. Polarization control in an X-ray free-electron laser. Nat. Photonics 2016, 10, 468–472. [Google Scholar] [CrossRef]
- Zhao, Z.; Wang, D.; Gu, Q.; Yin, L.; Gu, M.; Leng, Y.; Liu, B. Status of the SXFEL facility. Appl. Sci. 2017, 7, 607. [Google Scholar] [CrossRef]












| Section | Parameter | Value | Unit |
|---|---|---|---|
| Initial beam | Average energy | 2.5 | GeV |
| Peak current | 800 | A | |
| Energy spread | 0.25 | MeV | |
| Average beam radius (RMS) | 30 | ||
| Modulative laser | Wavelength | 2400 | nm |
| Power | 40 | GW | |
| Radius | 0.4 | mm | |
| Pulse duration (FWHM) | 8 | fs | |
| Wiggler | K | 39.27 | - |
| Period | 16 | cm | |
| Period number | 1 | - | |
| Radiator | K | 2.75 | - |
| Period | 3 | cm | |
| Period number | 443 | - | |
| Afterburner | K | 2.75 | - |
| Period | 3 | cm | |
| Period number | 24 | - | |
| Kicker | Length of the quadrupole | 10 | cm |
| Focal length | 10 | m | |
| Transverse offset in y axis | 0.3 | mm | |
| Angle | 15 | μrad |
Publisher’s Note: MDPI stays neutral with regard to jurisdictional claims in published maps and institutional affiliations. |
© 2022 by the authors. Licensee MDPI, Basel, Switzerland. This article is an open access article distributed under the terms and conditions of the Creative Commons Attribution (CC BY) license (https://creativecommons.org/licenses/by/4.0/).
Share and Cite
Tu, L.; Qi, Z.; Wang, Z.; Zhao, S.; Lu, Y.; Fan, W.; Sun, H.; Wang, X.; Feng, C.; Zhao, Z. Improving the Performance of an Ultrashort Soft X-ray Free-Electron Laser via Attosecond Afterburners. Appl. Sci. 2022, 12, 11850. https://doi.org/10.3390/app122211850
Tu L, Qi Z, Wang Z, Zhao S, Lu Y, Fan W, Sun H, Wang X, Feng C, Zhao Z. Improving the Performance of an Ultrashort Soft X-ray Free-Electron Laser via Attosecond Afterburners. Applied Sciences. 2022; 12(22):11850. https://doi.org/10.3390/app122211850
Chicago/Turabian StyleTu, Lingjun, Zheng Qi, Zhen Wang, Sheng Zhao, Yujie Lu, Weijie Fan, Hao Sun, Xiaofan Wang, Chao Feng, and Zhentang Zhao. 2022. "Improving the Performance of an Ultrashort Soft X-ray Free-Electron Laser via Attosecond Afterburners" Applied Sciences 12, no. 22: 11850. https://doi.org/10.3390/app122211850
APA StyleTu, L., Qi, Z., Wang, Z., Zhao, S., Lu, Y., Fan, W., Sun, H., Wang, X., Feng, C., & Zhao, Z. (2022). Improving the Performance of an Ultrashort Soft X-ray Free-Electron Laser via Attosecond Afterburners. Applied Sciences, 12(22), 11850. https://doi.org/10.3390/app122211850

