Predicting the Young’s Modulus of Rock Material Based on Petrographic and Rock Index Tests Using Boosting and Bagging Intelligence Techniques
Abstract
1. Introduction
2. Methods
2.1. Data Gathering and Case Study
2.2. Data Analysis
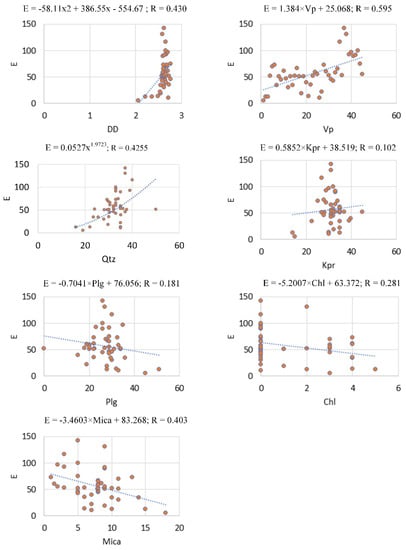
2.3. Regression Analysis
2.4. ANN and DT Models
2.4.1. ANN
2.4.2. DTs
3. Models’ Development and Results
3.1. Data Preparation
3.2. Input Selection
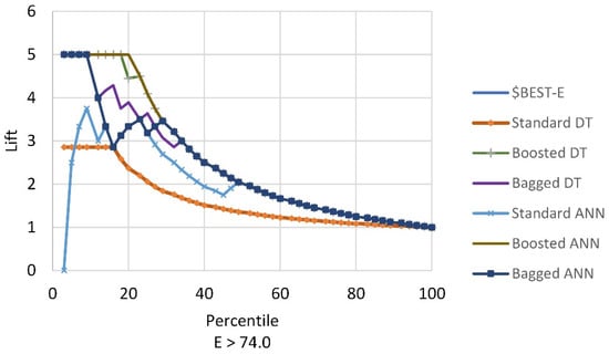
3.3. Bagging and Boosting Models
4. Conclusions
Author Contributions
Funding
Institutional Review Board Statement
Informed Consent Statement
Data Availability Statement
Conflicts of Interest
References
- Armaghani, D.J.; Mohamad, E.T.; Momeni, E.; Monjezi, M.; Narayanasamy, M.S. Prediction of the strength and elasticity modulus of granite through an expert artificial neural network. Arab. J. Geosci. 2016, 9, 48. [Google Scholar] [CrossRef]
- Bejarbaneh, B.Y.; Bejarbaneh, E.Y.; Fahimifar, A.; Armaghani, D.J.; Abd Majid, M.Z. Intelligent modelling of sandstone deformation behaviour using fuzzy logic and neural network systems. Bull. Eng. Geol. Environ. 2018, 77, 345–361. [Google Scholar] [CrossRef]
- Hoek, E.; Diederichs, M.S. Empirical estimation of rock mass modulus. Int. J. Rock Mech. Min. Sci. 2006, 43, 203–215. [Google Scholar] [CrossRef]
- Bejarbaneh, B.Y.; Armaghani, D.J.; Amin, M.F.M. Strength characterisation of shale using Mohr–Coulomb and Hoek–Brown criteria. Measurement 2015, 63, 269–281. [Google Scholar] [CrossRef]
- Mishra, D.; Basu, A. Estimation of uniaxial compressive strength of rock materials by index tests using regression analysis and fuzzy inference system. Eng. Geol. 2013, 160, 54–68. [Google Scholar] [CrossRef]
- Bieniawski, Z. Engineering classification of jointed rock masses. Civ. Eng. Siviele Ing. 1973, 1973, 335–343. [Google Scholar]
- Barton, N.; Lien, R.; Lunde, J. Engineering classification of rock masses for the design of tunnel support. Rock Mech. 1974, 6, 189–236. [Google Scholar] [CrossRef]
- Hoek, E.; Brown, E.T. Practical estimates of rock mass strength. Int. J. Rock Mech. Min. Sci. 1997, 34, 1165–1186. [Google Scholar] [CrossRef]
- Mitri, H.; Edrissi, R.; Henning, J. Finite-element modeling of cable-bolted stopes in hard-rock underground mines. Trans.-Soc. Min. Metall. Explor. Inc. 1995, 298, 1897–1902. [Google Scholar]
- Sonmez, H.; Gokceoglu, C.; Ulusay, R. Indirect determination of the modulus of deformation of rock masses based on the GSI system. Int. J. Rock Mech. Min. Sci. 2004, 41, 849–857. [Google Scholar] [CrossRef]
- Yılmaz, I.; Sendır, H. Correlation of Schmidt hardness with unconfined compressive strength and Young’s modulus in gypsum from Sivas (Turkey). Eng. Geol. 2002, 66, 211–219. [Google Scholar] [CrossRef]
- Dinçer, I.; Acar, A.; Çobanoğlu, I.; Uras, Y. Correlation between Schmidt hardness, uniaxial compressive strength and Young’s modulus for andesites, basalts and tuffs. Bull. Eng. Geol. Environ. 2004, 63, 141–148. [Google Scholar] [CrossRef]
- Yaşar, E.; Erdoğan, Y. Estimation of rock physicomechanical properties using hardness methods. Eng. Geol. 2004, 71, 281–288. [Google Scholar] [CrossRef]
- Yilmaz, I.; Yuksek, G. Prediction of the strength and elasticity modulus of gypsum using multiple regression, ANN, and ANFIS models. Int. J. Rock Mech. Min. Sci. 2009, 46, 803–810. [Google Scholar] [CrossRef]
- Yılmaz, I.; Yuksek, A. An example of artificial neural network (ANN) application for indirect estimation of rock parameters. Rock Mech. Rock Eng. 2008, 41, 781–795. [Google Scholar] [CrossRef]
- Lashkaripour, G.R. Predicting mechanical properties of mudrock from index parameters. Bull. Eng. Geol. Environ. 2002, 61, 73–77. [Google Scholar] [CrossRef]
- Beiki, M.; Majdi, A.; Givshad, A.D. Application of genetic programming to predict the uniaxial compressive strength and elastic modulus of carbonate rocks. Int. J. Rock Mech. Min. Sci. 2013, 63, 159–169. [Google Scholar] [CrossRef]
- Rezaei, M.; Majdi, A.; Monjezi, M. An intelligent approach to predict unconfined compressive strength of rock surrounding access tunnels in longwall coal mining. Neural Comput. Appl. 2014, 24, 233–241. [Google Scholar] [CrossRef]
- Zhu, W.; Rad, H.N.; Hasanipanah, M. A chaos recurrent ANFIS optimized by PSO to predict ground vibration generated in rock blasting. Appl. Soft Comput. 2021, 108, 107434. [Google Scholar] [CrossRef]
- Asteris, P.G.; Mamou, A.; Hajihassani, M.; Hasanipanah, M.; Koopialipoor, M.; Le, T.-T.; Kardani, N.; Armaghani, D.J. Soft computing based closed form equations correlating L and N-type Schmidt hammer rebound numbers of rocks. Transp. Geotech. 2021, 29, 100588. [Google Scholar] [CrossRef]
- Fattahi, H.; Hasanipanah, M. Prediction of blast-induced ground vibration in a mine using relevance vector regression optimized by metaheuristic algorithms. Nat. Resour. Res. 2021, 30, 1849–1863. [Google Scholar] [CrossRef]
- Aghaabbasi, M.; Shekari, Z.A.; Shah, M.Z.; Olakunle, O.; Armaghani, D.J.; Moeinaddini, M. Predicting the use frequency of ride-sourcing by off-campus university students through random forest and Bayesian network techniques. Transp. Res. Part A Policy Pract. 2020, 136, 262–281. [Google Scholar] [CrossRef]
- Ke, B.; Khandelwal, M.; Asteris, P.G.; Skentou, A.D.; Mamou, A.; Armaghani, D.J. Rock-Burst Occurrence Prediction Based on Optimized Naïve Bayes Models. IEEE Access 2021, 9, 91347–91360. [Google Scholar] [CrossRef]
- He, Z.; Armaghani, D.J.; Masoumnezhad, M.; Khandelwal, M.; Zhou, J.; Murlidhar, B.R. A Combination of Expert-Based System and Advanced Decision-Tree Algorithms to Predict Air-Overpressure Resulting from Quarry Blasting. Nat. Resour. Res. 2021, 30, 1889–1903. [Google Scholar] [CrossRef]
- Bayat, P.; Monjezi, M.; Mehrdanesh, A.; Khandelwal, M. Blasting pattern optimization using gene expression programming and grasshopper optimization algorithm to minimise blast-induced ground vibrations. Eng. Comput. 2021, 38, 3341–3350. [Google Scholar] [CrossRef]
- Le, T.-T.; Asteris, P.G.; Lemonis, M.E. Prediction of axial load capacity of rectangular concrete-filled steel tube columns using machine learning techniques. Eng. Comput. 2021, 1–34. [Google Scholar] [CrossRef]
- Harandizadeh, H.; Armaghani, D.J.; Asteris, P.G.; Gandomi, A.H. TBM performance prediction developing a hybrid ANFIS-PNN predictive model optimized by imperialism competitive algorithm. Neural Comput. Appl. 2021, 33, 16149–16179. [Google Scholar] [CrossRef]
- Gavriilaki, E.; Asteris, P.G.; Touloumenidou, T.; Koravou, E.-E.; Koutra, M.; Papayanni, P.G.; Karali, V.; Papalexandri, A.; Varelas, C.; Chatzopoulou, F. Genetic justification of severe COVID-19 using a rigorous algorithm. Clin. Immunol. 2021, 226, 108726. [Google Scholar] [CrossRef] [PubMed]
- Ding, W.; Nguyen, M.D.; Mohammed, A.S.; Armaghani, D.J.; Hasanipanah, M.; Van Bui, L.; Pham, B.T. A new development of ANFIS-Based Henry gas solubility optimization technique for prediction of soil shear strength. Transp. Geotech. 2021, 29, 100579. [Google Scholar] [CrossRef]
- Zhou, J.; Huang, S.; Qiu, Y. Optimization of random forest through the use of MVO, GWO and MFO in evaluating the stability of underground entry-type excavations. Tunn. Undergr. Space Technol. 2022, 124, 104494. [Google Scholar] [CrossRef]
- Zhou, J.; Shen, X.; Qiu, Y.; Shi, X.; Khandelwal, M. Cross-correlation stacking-based microseismic source location using three metaheuristic optimization algorithms. Tunn. Undergr. Space Technol. 2022, 126, 104570. [Google Scholar] [CrossRef]
- Shan, F.; He, X.; Armaghani, D.J.; Zhang, P.; Sheng, D. Success and challenges in predicting TBM penetration rate using recurrent neural networks. Tunn. Undergr. Space Technol. 2022, 130, 104728. [Google Scholar] [CrossRef]
- Chen, L.; Asteris, P.G.; Tsoukalas, M.Z.; Armaghani, D.J.; Ulrikh, D.V.; Yari, M. Forecast of Airblast Vibrations Induced by Blasting Using Support Vector Regression Optimized by the Grasshopper Optimization (SVR-GO) Technique. Appl. Sci. 2022, 12, 9805. [Google Scholar] [CrossRef]
- Moosavi, S.M.H.; Ma, Z.; Armaghani, D.J.; Aghaabbasi, M.; Ganggayah, M.D.; Wah, Y.C.; Ulrikh, D.V. Understanding and Predicting the Usage of Shared Electric Scooter Services on University Campuses. Appl. Sci. 2022, 12, 9392. [Google Scholar] [CrossRef]
- Koopialipoor, M.; Asteris, P.G.; Mohammed, A.S.; Alexakis, D.E.; Mamou, A.; Armaghani, D.J. Introducing stacking machine learning approaches for the prediction of rock deformation. Transp. Geotech. 2022, 34, 100756. [Google Scholar] [CrossRef]
- Asteris, P.G.; Rizal, F.I.M.; Koopialipoor, M.; Roussis, P.C.; Ferentinou, M.; Armaghani, D.J.; Gordan, B. Slope stability classification under seismic conditions using several tree-based intelligent techniques. Appl. Sci. 2022, 12, 1753. [Google Scholar] [CrossRef]
- Momeni, E.; Yarivand, A.; Dowlatshahi, M.B.; Armaghani, D.J. An efficient optimal neural network based on gravitational search algorithm in predicting the deformation of geogrid-reinforced soil structures. Transp. Geotech. 2021, 26, 15. [Google Scholar] [CrossRef]
- Yang, H.; Li, Z.; Jie, T.; Zhang, Z. Effects of joints on the cutting behavior of disc cutter running on the jointed rock mass. Tunn. Undergr. Space Technol. 2018, 81, 112–120. [Google Scholar] [CrossRef]
- Liu, B.; Yang, H.; Karekal, S. Effect of water content on argillization of mudstone during the tunnelling process. Rock Mech. Rock Eng. 2020, 53, 799–813. [Google Scholar] [CrossRef]
- Yang, H.; Xing, S.; Wang, Q.; Li, Z. Model test on the entrainment phenomenon and energy conversion mechanism of flow-like landslides. Eng. Geol. 2018, 239, 119–125. [Google Scholar] [CrossRef]
- Yang, H.; Zeng, Y.; Lan, Y.; Zhou, X. Analysis of the excavation damaged zone around a tunnel accounting for geostress and unloading. Int. J. Rock Mech. Min. Sci. 2014, 69, 59–66. [Google Scholar] [CrossRef]
- Yang, H.; Wang, Z.; Song, K. A new hybrid grey wolf optimizer-feature weighted-multiple kernel-support vector regression technique to predict TBM performance. Eng. Comput. 2020, 38, 2469–2485. [Google Scholar] [CrossRef]
- Feng, X.-T.; Hudson, J. The ways ahead for rock engineering design methodologies. Int. J. Rock Mech. Min. Sci. 2004, 41, 255–273. [Google Scholar] [CrossRef]
- Hudson, J.; Feng, X. Updated flowcharts for rock mechanics modelling and rock engineering design. Int. J. Rock Mech. Min. Sci. 2007, 44, 174–195. [Google Scholar] [CrossRef]
- Mishra, D.; Srigyan, M.; Basu, A.; Rokade, P. Soft computing methods for estimating the uniaxial compressive strength of intact rock from index tests. Int. J. Rock Mech. Min. Sci. 2015, 100, 418–424. [Google Scholar] [CrossRef]
- Winn, K. A Fuzzy Model to Predict the Unconfined Compressive Strength of Singapore’s Sedimentary Rocks in Comparison With Multi-Regression Analysis. In Proceedings of the ISRM International Symposium-10th Asian Rock Mechanics Symposium, Singapore, 29 October–3 November 2018. [Google Scholar]
- Kahraman, S.; Gunaydin, O.; Alber, M.; Fener, M. Evaluating the strength and deformability properties of Misis fault breccia using artificial neural networks. Expert Syst. Appl. 2009, 36, 6874–6878. [Google Scholar] [CrossRef]
- Mohamad, E.T.; Armaghani, D.J.; Momeni, E.; Abad, S.V.A.N.K. Prediction of the unconfined compressive strength of soft rocks: A PSO-based ANN approach. Bull. Eng. Geol. Environ. 2015, 74, 745–757. [Google Scholar] [CrossRef]
- Momeni, E.; Armaghani, D.J.; Hajihassani, M.; Amin, M.F.M. Prediction of uniaxial compressive strength of rock samples using hybrid particle swarm optimization-based artificial neural networks. Measurement 2015, 60, 50–63. [Google Scholar] [CrossRef]
- Mansouri, I.; Shariati, M.; Safa, M.; Ibrahim, Z.; Tahir, M.; Petkovic, D. Analysis of influential factors for predicting the shear strength of a V-shaped angle shear connector in composite beams using an adaptive neuro-fuzzy technique (Retraction of Vol 30, Pg 1247, 2019). J. Intell. Manuf. 2020, 30, 1247–1257. [Google Scholar] [CrossRef]
- Chahnasir, E.S.; Zandi, Y.; Shariati, M.; Dehghani, E.; Toghroli, A.; Mohamad, E.T.; Shariati, A.; Safa, M.; Wakil, K.; Khorami, M. Application of support vector machine with firefly algorithm for investigation of the factors affecting the shear strength of angle shear connectors. Smart Struct. Syst. 2018, 22, 413–424. [Google Scholar]
- Kechagias, J.; Tsiolikas, A.; Asteris, P.; Vaxevanidis, N. Optimizing ANN performance using DOE: Application on turning of a titanium alloy. In Proceedings of the MATEC Web of Conferences, Chisinau, Moldova, 31 May–2 June 2018; p. 01017. [Google Scholar]
- Asteris, P.G.; Ashrafian, A.; Rezaie-Balf, M. Prediction of the compressive strength of self-compacting concrete using surrogate models. Comput. Concr 2019, 24, 137–150. [Google Scholar]
- Armaghani, D.J.; Mohamad, E.T.; Momeni, E.; Narayanasamy, M.S. An adaptive neuro-fuzzy inference system for predicting unconfined compressive strength and Young’s modulus: A study on Main Range granite. Bull. Eng. Geol. Environ. 2015, 74, 1301–1319. [Google Scholar] [CrossRef]
- Dehghan, S.; Sattari, G.; Chelgani, S.C.; Aliabadi, M. Prediction of uniaxial compressive strength and modulus of elasticity for Travertine samples using regression and artificial neural networks. Min. Sci. Technol. (China) 2010, 20, 41–46. [Google Scholar] [CrossRef]
- Gokceoglu, C.; Zorlu, K. A fuzzy model to predict the uniaxial compressive strength and the modulus of elasticity of a problematic rock. Eng. Appl. Artif. Intell. 2004, 17, 61–72. [Google Scholar] [CrossRef]
- Majdi, A.; Beiki, M. Evolving neural network using a genetic algorithm for predicting the deformation modulus of rock masses. Int. J. Rock Mech. Min. Sci. 2010, 47, 246–253. [Google Scholar] [CrossRef]
- Singh, R.; Kainthola, A.; Singh, T. Estimation of elastic constant of rocks using an ANFIS approach. Appl. Soft Comput. 2012, 12, 40–45. [Google Scholar] [CrossRef]
- ISRM. The complete ISRM suggested methods for rock characterization, testing and monitoring: 1974–2006. In Suggested Methods Prepared by the Commission on Testing Methods, International Society for Rock Mechanics; Ulusay, R., Hudson, J.A., Eds.; ISRM Turkish National Group: Ankara, Turkey, 2007. [Google Scholar]
- Krogh, P.S.A. Learning with ensembles: How over-fitting can be useful. In Proceedings of the 1995 Conference, Denver, Colorado, 27 November–2 December 1995; p. 190. [Google Scholar]
- Hansen, L.K.; Salamon, P. Neural network ensembles. IEEE Trans. Pattern Anal. Mach. Intell. 1990, 12, 993–1001. [Google Scholar] [CrossRef]
- Schapire, R.E. The strength of weak learnability. Mach. Learn. 1990, 5, 197–227. [Google Scholar] [CrossRef]
- Freund, Y. Boosting a weak learning algorithm by majority. Inf. Comput. 1995, 121, 256–285. [Google Scholar] [CrossRef]
- Freund, Y.; Schapire, R.E. A decision-theoretic generalization of on-line learning and an application to boosting. J. Comput. Syst. Sci. 1997, 55, 119–139. [Google Scholar] [CrossRef]
- Breiman, L. Bagging predictors. Mach. Learn. 1996, 24, 123–140. [Google Scholar] [CrossRef]
- Efron, B.; Tibshirani, R.J. An Introduction to the Bootstrap; CRC Press: Boca Raton, FL, USA, 1994. [Google Scholar]
- Breiman, L. Random forests. Mach. Learn. 2001, 45, 5–32. [Google Scholar] [CrossRef]
- Chen, T.; Guestrin, C. Xgboost: A scalable tree boosting system. In Proceedings of the 22nd Acm Sigkdd International Conference on Knowledge Discovery and Data Mining, San Francisco, CA, USA, 13–17 August 2016; pp. 785–794. [Google Scholar]








| Study | Input Variable | Method | R2 |
|---|---|---|---|
| Armaghani, Mohamad, Momeni, Monjezi and Narayanasamy [1] | Is(50), n, RN, Vp | ICA-ANN | 0.71 |
| Armaghani, et al. [54] | p; Vp, Qtz, Kpr, Plg, Chl, Mica | ANFIS | 0.99 |
| Beiki, Majdi and Givshad [17] | p; n; Vp | GA | 0.67 |
| Bejarbaneh, Bejarbaneh, Fahimifar, Armaghani and Abd Majid [2] | Rn, Vp, Is(50) | FIS and ANN | 0.79 and 0.82 |
| Dehghan, et al. [55] | Vp; Is(50); Rn; n | ANN | 0.77 |
| Gokceoglu and Zorlu [56] | Is(50), BPI; Vp, BTS | FIS | 0.79 |
| Majdi and Beiki [57] | p; RQD; n; NJ; GSI | GA-ANN | 0.89 |
| Singh, et al. [58] | p; Is(50), WA | ANFIS | 0.66 |
| Yılmaz and Yuksek [15] | ne, Is(50), Rn; Id | ANN | 0.91 |
| Yilmaz and Yuksek [14] | Vp; Is(50); Rn; WC | ANFIS | 0.95 |
| Method | Equation | R | Std. Error of the Estimate |
|---|---|---|---|
| Enter | E = 25.89 × DD + 0.005 × Vp + 1.50 × Qtz − 1.22 × Kpr − 0.10 × Plg − 2.18 × Chl − 1.29 × Mica − 36.16 | 0.6 | 26.620 |
| Stepwise/Backwards/Forwards | E = 0.0009094 × Vp + 1.644 × Qtz − 43.93 | 0.553 | 26.018 |
| Input | Before Transformation | After Transformation | ||
|---|---|---|---|---|
| Skewness | SD | Skewness | SD | |
| Vp | 0.36 | 1137.62 | 0.36 | 0.19 |
| Qtz | 0.21 | 5.68 | 0.21 | 0.17 |
| DD | 2.75 | 0.13 | 2.75 | 0.18 |
| Mica | 0.43 | 3.56 | 0.43 | 0.21 |
| Chl | 0.85 | 1.65 | 0.85 | 0.33 |
| Plg | 0.20 | 7.86 | 0.20 | 0.15 |
| Kpr | −1.05 | 5.36 | −1.05 | 0.17 |
| DT | ANN | |||
|---|---|---|---|---|
| R | MAE | R | MAE | |
| Standard model | 0.476 | 21.111 | 0.566 | 18.928 |
| Bagged model | 0.91 | 9.726 | 0.849 | 12.551 |
| Boosted model | 0.994 | 3.836 | 0.972 | 5.343 |
| Minimum Error | Maximum Error | Mean Error | Standard Deviation | |
|---|---|---|---|---|
| Standard DT | −44.944 | 51.957 | 0.081 | 26.845 |
| Bagged DT | −39.5 | 32.02 | −1.205 | 13.486 |
| Boosted DT | −4.638 | 21.466 | 3.231 | 4.872 |
| Standard ANN | −60.37 | 72.076 | −1.552 | 25.35 |
| Bagged ANN | −46.864 | 42.601 | −3.742 | 16.251 |
| Boosted ANN | −15.577 | 17.198 | 0.314 | 7.332 |
Publisher’s Note: MDPI stays neutral with regard to jurisdictional claims in published maps and institutional affiliations. |
© 2022 by the authors. Licensee MDPI, Basel, Switzerland. This article is an open access article distributed under the terms and conditions of the Creative Commons Attribution (CC BY) license (https://creativecommons.org/licenses/by/4.0/).
Share and Cite
Tsang, L.; He, B.; Rashid, A.S.A.; Jalil, A.T.; Sabri, M.M.S. Predicting the Young’s Modulus of Rock Material Based on Petrographic and Rock Index Tests Using Boosting and Bagging Intelligence Techniques. Appl. Sci. 2022, 12, 10258. https://doi.org/10.3390/app122010258
Tsang L, He B, Rashid ASA, Jalil AT, Sabri MMS. Predicting the Young’s Modulus of Rock Material Based on Petrographic and Rock Index Tests Using Boosting and Bagging Intelligence Techniques. Applied Sciences. 2022; 12(20):10258. https://doi.org/10.3390/app122010258
Chicago/Turabian StyleTsang, Long, Biao He, Ahmad Safuan A Rashid, Abduladheem Turki Jalil, and Mohanad Muayad Sabri Sabri. 2022. "Predicting the Young’s Modulus of Rock Material Based on Petrographic and Rock Index Tests Using Boosting and Bagging Intelligence Techniques" Applied Sciences 12, no. 20: 10258. https://doi.org/10.3390/app122010258
APA StyleTsang, L., He, B., Rashid, A. S. A., Jalil, A. T., & Sabri, M. M. S. (2022). Predicting the Young’s Modulus of Rock Material Based on Petrographic and Rock Index Tests Using Boosting and Bagging Intelligence Techniques. Applied Sciences, 12(20), 10258. https://doi.org/10.3390/app122010258

