Research on Sparse Representation Method of Acoustic Microimaging Signals
Abstract
:1. Introduction
2. Materials and Methods
2.1. General Formulation
2.1.1. Acoustic Microimaging Signals Model
2.1.2. Sparse Representation
2.2. Constraint Dictionary-Based Sparse Representation
2.2.1. Constraint Dictionary
- 1.
- When ultrasonic waves propagate inside an electronic package, absorption attenuation is dominant, and the transfer function is:
- 2.
- The full width at one-tenth maximum (FWTM) of the Gaussian window is about , and the duration of Gabor atoms in the time domain can be approximated by FWTM, that is, . Relating the scale factor to the frequency factor , can be expressed as:
- 3.
- The displacement of the reference echo is , so the displacement of the target echo is , where is the longitudinal wave velocity in the medium. Therefore, the discrete range of the displacement factor can be constrained to .
- 4.
- Due to the frequency-dependent attenuation of the medium, the target echo and the reference echo are no longer simply in-phase or anti-phase, but show a certain difference. Therefore, the dispersion range of the phase factor can be constrained to .
2.2.2. Algorithm Design
- 1.
- Initialization: given the overlapping AMI signal , the constrained Gabor dictionary and the residual signal threshold , set the initial solution support set and the initial residual signal .
- 2.
- Discretization of constraint dictionary: the AMI signal is exemplified in Figure 3a, where is selected as the reference echo and the target echoes are and . According to the constraints above, discretization is performed at a small discrete interval to achieve high resolution.
- 3.
- Matching pursuit ():
- (a)
- All the atoms are sequentially inner producted with the residual signal to find the atom whose decomposition coefficient satisfies , and update the support set . (Since inner product operations can be converted into a cross-correlation operation, FFT can be used to quickly implement cross-correlation operations to increase the calculation speed [23].)
- (b)
- Update residual signal: .
- (c)
- Stop condition: .
- 4.
- Selection and reconstruction:
- (a)
- As shown in Figure 3b, each atom obtained by the matching iteration is represented by a Heisenberg box, and the decomposition coefficient is represented by the darkness of the box. The larger the coefficient, the darker the box.
- (b)
- According to the target echoes and , atoms with the largest decomposition coefficients are selected as the time-frequency window, respectively.
- (c)
- (d)
- Display the peak value of the target echo at each x-y position to generate a C-scan image.
3. Simulations
3.1. Simulation Model
3.2. Simulation Results
3.2.1. Longitudinal Resolution
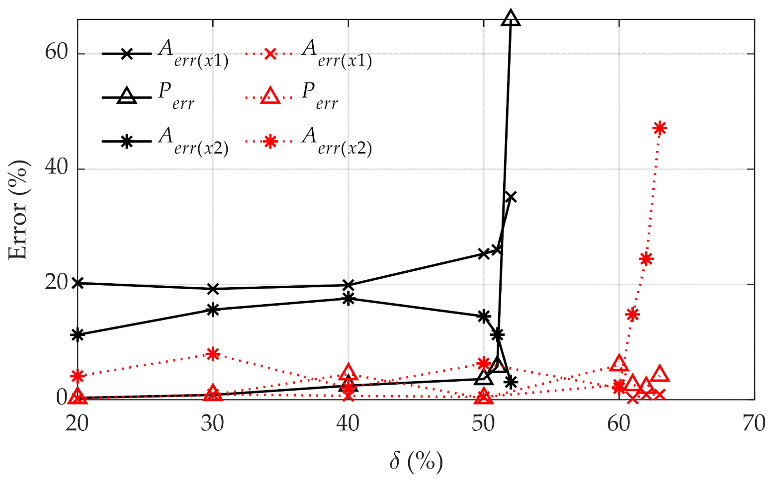
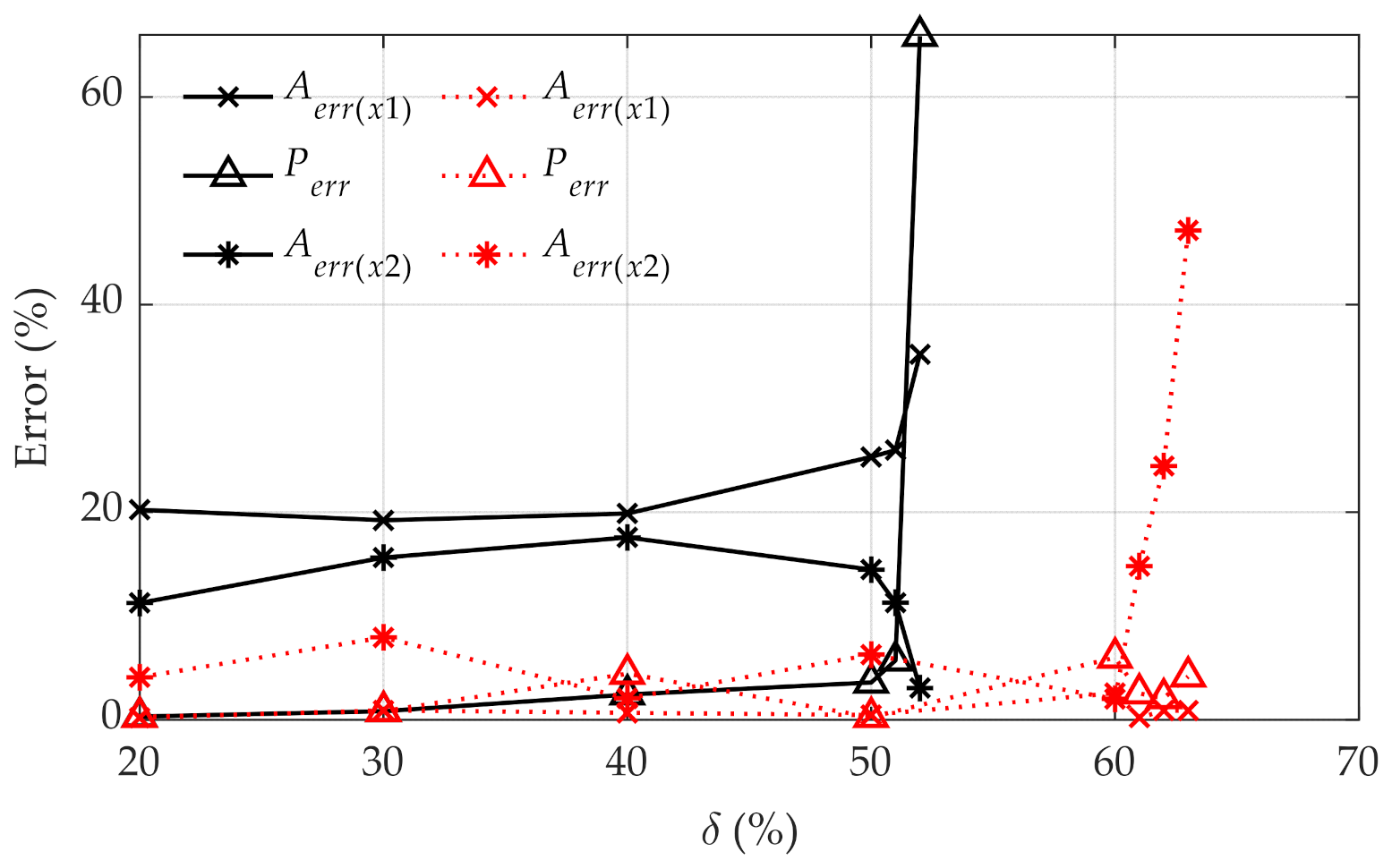
3.2.2. Robustness
4. Experiments
4.1. Conventional Experiment
4.1.1. Experimental Setup
4.1.2. Experimental Results
4.2. Analogous Experiment for Very High Frequency
4.2.1. Experimental Design
4.2.2. Experimental Results
5. Conclusions
Author Contributions
Funding
Institutional Review Board Statement
Informed Consent Statement
Data Availability Statement
Conflicts of Interest
References
- Hertl, M.; Mialhe, F.; Richard, I. On the replacement of water as coupling medium in scanning acoustic microscopy analysis of sensitive electronics components. Microelectron. Reliab. 2020, 114, 113860. [Google Scholar] [CrossRef]
- Altun, B.; Demirkan, I.; Isik, E.O.; Kocaturk, O.; Unlu, M.B.; Garipcan, B. Acoustic impedance measurement of tissue mimicking materials by using scanning acoustic microscopy. Ultrasonics 2020, 110, 106274. [Google Scholar] [CrossRef] [PubMed]
- Zinin, P.V.; Kutuza, I.B.; Titov, S.A. Near-Field Defects Imaging in Thin DLC Coatings Using High-Frequency Scanning Acoustic Microscopy. J. Surf. Investig. X-ray Synchrotron Neutron Tech. 2018, 12, 1285–1293. [Google Scholar] [CrossRef]
- Mehr, M.Y.; Bahrami, A.; Fischer, H.; Gielen, S.; Corbeij, R.; Van Driel, W.D.; Zhang, G.Q. An overview of scanning acoustic mi-croscope, a reliable method for non-destructive failure analysis of microelectronic components. In Proceedings of the 2015 16th International Conference on Thermal, Mechanical and Multi-Physics Simulation and Experiments in Microelectronics and Microsystems, EuroSimE 2015, Budapest, Hungary, 19–22 April 2015. [Google Scholar]
- Yu, X.; Huang, H.; Xie, W.; Gu, J.; Li, K.; Su, L. Simulation Research on Sparse Reconstruction for Defect Signals of Flip Chip Based on High-Frequency Ultrasound. Appl. Sci. 2020, 10, 1292. [Google Scholar] [CrossRef] [Green Version]
- Wolter, K.J.; Speck, M.; Heinze, R. Reliability analysis in microelectronic packaging by acoustic microscopy. In Proceedings of the 28th International Spring Seminar on Electronics Technology: Meeting the Challenges of Electronics Technology Progress, Wiener Neustadt, Austria, 19–20 May 2005. [Google Scholar]
- Ma, L.; Bao, S.; Lv, D.; Du, Z.; Li, S. Application of C-mode scanning acoustic microscopy in packaging. In Proceedings of the Electronic Packaging Technology Conference, EPTC, Sparks, NV, USA, 29 May–1 June 2007. [Google Scholar]
- Zhang, G.-M.; Harvey, D.M.; Braden, D.R. An improved acoustic microimaging technique with learning overcomplete representation. J. Acoust. Soc. Am. 2005, 118, 3706. [Google Scholar] [CrossRef]
- Semmens, J.E.; Kessler, L.W. Application of Acoustic Frequency Domain Imaging for the Evaluation of Advanced Micro Electronic Packages. Microelectron. Reliab. 2002, 42, 1735–1740. [Google Scholar] [CrossRef]
- Zhang, G.-M.; Harvey, D.; Braden, D. Advanced Acoustic Microimaging Using Sparse Signal Representation for the Evaluation of Microelectronic Packages. IEEE Trans. Adv. Packag. 2006, 29, 271–283. [Google Scholar] [CrossRef]
- Feng, W.; Chen, X.; Wang, C.; Shi, Y. Application research on the time–frequency analysis method in the quality detection of ultrasonic wire bonding. Int. J. Distrib. Sens. Networks 2021, 17, 15501477211018346. [Google Scholar] [CrossRef]
- Jhang, K.; Jang, H.; Park, B.; Ha, J.; Park, I.; Kim, K. Wavelet analysis based deconvolution to improve the resolution of scanning acoustic microscope images for the inspection of thin die layer in semiconductor. NDTE Int. 2002, 35, 549–557. [Google Scholar] [CrossRef]
- Zhang, G.-M.; Harvey, D.M.; Braden, D.R. Resolution improvement of acoustic microimaging by continuous wavelet transform for semiconductor inspection. Microelectron. Reliab. 2006, 46, 811–821. [Google Scholar] [CrossRef]
- Zhang, G.-M.; Zhang, C.-Z.; Harvey, D.M. Sparse signal representation and its applications in ultrasonic NDE. Ultrasonics 2012, 52, 351–363. [Google Scholar] [CrossRef] [PubMed]
- Qi, A.L.; Ma, H.W.; Liu, T. A weak signal detection method based on artificial fish swarm optimized matching pursuit. In Proceedings of the 2009 WRI World Congress on Computer Science and Information Engineering, Los Angeles, CA, USA, 31 March–2 April 2009; Volume 6, pp. 185–189. [Google Scholar]
- Duan, J.; Zhong, H.; Jing, B.; Zhang, S.; Wan, M. Increasing Axial Resolution of Ultrasonic Imaging with a Joint Sparse Representation Model. IEEE Trans. Ultrason. Ferroelectr. Freq. Control 2016, 63, 2045–2056. [Google Scholar] [CrossRef]
- Ruiz-Reyes, N.; Vera-Candeas, P.; Curpián-Alonso, J.; Mata-Campos, R.; Cuevas-Martínez, J. New matching pursuit-based algorithm for SNR improvement in ultrasonic NDT. NDTE Int. 2005, 38, 453–458. [Google Scholar] [CrossRef]
- Jabarulla, M.Y.; Lee, H.-N. Speckle Reduction on Ultrasound Liver Images Based on a Sparse Representation over a Learned Dictionary. Appl. Sci. 2018, 8, 903. [Google Scholar] [CrossRef] [Green Version]
- Qi, A.-L.; Zhang, G.-M.; Dong, M.; Ma, H.-W.; Harvey, D.M. An artificial bee colony optimization based matching pursuit approach for ultrasonic echo estimation. Ultrasonics 2018, 88, 1–8. [Google Scholar] [CrossRef] [PubMed] [Green Version]
- Wang, B.; Li, Y.; Zhao, W.; Zhang, Z.; Zhang, Y.; Wang, Z. Effective Crack Damage Detection Using Multilayer Sparse Feature Representation and Incremental Extreme Learning Machine. Appl. Sci. 2019, 9, 614. [Google Scholar] [CrossRef] [Green Version]
- Zibulevsky, M.; Pearlmutter, B. Blind Source Separation by Sparse Decomposition in a Signal Dictionary. Neural Comput. 2001, 13, 863–882. [Google Scholar] [CrossRef]
- Wang, W.; Bao, Y.; Zhou, W.; Li, H. Sparse representation for Lamb-wave-based damage detection using a dictionary algorithm. Ultrasonics 2018, 87, 48–58. [Google Scholar] [CrossRef] [PubMed]
- Elad, M. Sparse and Redundant Representations; Springer: New York, NY, USA, 2010; ISBN 978-1-4419-7010-7. [Google Scholar]
- Lu, Y.; Michaels, J.E. Ultrasonic Signal Decomposition via Matching Pursuit with an Adaptive and Interpolated Dictionary. AIP Conf. Proc. 2007, 894, 579–586. [Google Scholar] [CrossRef]
- Hong, J.-C.; Sun, K.H.; Kim, Y.Y. Waveguide damage detection by the matching pursuit approach employing the dispersion-based chirp functions. IEEE Trans. Ultrason. Ferroelectr. Freq. Control. 2006, 53, 592–605. [Google Scholar] [CrossRef]
- Yang, G.; Zhang, Q.; Que, P.-W. Matching-pursuit-based adaptive wavelet-packet atomic decomposition applied in ultrasonic inspection. Russ. J. Nondestruct. Test. 2007, 43, 62–68. [Google Scholar] [CrossRef]
- Mallat, S.; Zhang, Z. Matching pursuits with time-frequency dictionaries. IEEE Trans. Signal Process. 1993, 41, 3397–3415. [Google Scholar] [CrossRef] [Green Version]
- Boßmann, F.; Plonka, G.; Peter, T.; Nemitz, O.; Schmitte, T. Sparse Deconvolution Methods for Ultrasonic NDT. J. Nondestruct. Evaluation 2012, 31, 225–244. [Google Scholar] [CrossRef] [Green Version]
- Lu, Y.; Michaels, J.E. Numerical implementation of matching pursuit for the analysis of complex ultrasonic signals. IEEE Trans. Ultrason. Ferroelectr. Freq. Control. 2008, 55, 173–182. [Google Scholar] [CrossRef]
- Murray, J.F.; Kreutz-Delgado, K. Learning Sparse Overcomplete Codes for Images. J. VLSI Signal Process. Syst. Signal Image Video Technol. 2006, 46, 1–13. [Google Scholar] [CrossRef] [Green Version]
- Feng, J.; Song, L.; Yang, X.; Zhang, W. Sub clustering K-SVD: Size variable dictionary learning for sparse representations. In Proceedings of the Proceedings—International Conference on Image Processing, Las Vegas, NV, USA, 13–16 July 2009; pp. 2149–2152. [Google Scholar] [CrossRef]
- Rubinstein, R.; Bruckstein, A.M.; Elad, M. Dictionaries for Sparse Representation Modeling. Proc. IEEE 2010, 98, 1045–1057. [Google Scholar] [CrossRef]
- Elad, M.; Yavneh, I. A Plurality of Sparse Representations Is Better Than the Sparsest One Alone. IEEE Trans. Inf. Theory 2009, 55, 4701–4714. [Google Scholar] [CrossRef]
- Zhang, G.-M.; Harvey, D.M.; Braden, D.R. Microelectronic package characterisation using scanning acoustic microscopy. NDT E Int. 2007, 40, 609–617. [Google Scholar] [CrossRef]
- Qi, A.L.; Ma, H.W.; Liu, T. Ultrasonic signal detection via improved sparse representations. In Proceedings of the 2009 WRI Global Congress on Intelligent Systems, Xiamen, China, 19–21 May 2009; Volume 1, pp. 309–313. [Google Scholar]
- Lobo, A.; Loizou, P. Voiced/unvoiced speech discrimination in noise using Gabor atomic decomposition. In Proceedings of the ICASSP, IEEE International Conference on Acoustics, Speech and Signal Processing, Hong Kong, China, 6–10 April 2003; Volume 1, pp. 820–823. [Google Scholar] [CrossRef]
















| Silicon Die | Epoxy Molding Compound (EMC) | Water | |
|---|---|---|---|
| ) | 2330 | 1050 | 1000 |
| ) | 7526 | 2400 | 1496 |
| ) | 2.0 | 7.1 | 0.8 |
| ) |
| Silicon Wafer | Polystyrene Sheet | |
|---|---|---|
| ) | 2330 | 1050 |
| ) | 7834 | 2314 |
| ) |
| 250 | 50 | 4.12 | 8.48 |
| 200 | 60 | 2.68 | 3.42 |
| Coaxial Cable | |
|---|---|
| 50 | |
| ) | |
| ) | |
| ) |
| 0.60 | 50 | 3.48 | 1.04 | 0.47 |
| 0.48 | 60 | 0.62 | 2.39 | 12.64 |
Publisher’s Note: MDPI stays neutral with regard to jurisdictional claims in published maps and institutional affiliations. |
© 2022 by the authors. Licensee MDPI, Basel, Switzerland. This article is an open access article distributed under the terms and conditions of the Creative Commons Attribution (CC BY) license (https://creativecommons.org/licenses/by/4.0/).
Share and Cite
Wang, K.; Leng, T.; Mao, J.; Lian, G.; Zhou, C. Research on Sparse Representation Method of Acoustic Microimaging Signals. Appl. Sci. 2022, 12, 642. https://doi.org/10.3390/app12020642
Wang K, Leng T, Mao J, Lian G, Zhou C. Research on Sparse Representation Method of Acoustic Microimaging Signals. Applied Sciences. 2022; 12(2):642. https://doi.org/10.3390/app12020642
Chicago/Turabian StyleWang, Kun, Tao Leng, Jie Mao, Guoxuan Lian, and Changzhi Zhou. 2022. "Research on Sparse Representation Method of Acoustic Microimaging Signals" Applied Sciences 12, no. 2: 642. https://doi.org/10.3390/app12020642
APA StyleWang, K., Leng, T., Mao, J., Lian, G., & Zhou, C. (2022). Research on Sparse Representation Method of Acoustic Microimaging Signals. Applied Sciences, 12(2), 642. https://doi.org/10.3390/app12020642

