Evidence for Human-Centric In-Vehicle Lighting: Part 1
Abstract
1. Milestones of In-Vehicle Lighting
2. Definition and Sorting
- The second part focuses on visual aspects which are directly motivated out of the presence of in-vehicle lighting systems. Examples for that are space perception, interior quality and functionality which are higher perceived with the attendance of these systems compared to those without [9]. These are used as a driving assistant like for a lane changing assistant [10,11], brake accelerator [12] and parking assistant [13] or as a overtaking request indicator between manual and autonomous driving [14], and were designed with different visual stimuli but were not able to increase significantly the reaction time compared with no visual stimuli [15]. Compared to a display system, a LED light bar as a HMI warning interface achieved a higher subjective driver satisfaction rate but with missing significance [16]. In addition, trust in the vehicle [17] and steering reaction time are significantly improved with a supported in-vehicle lighting system for assistance compared to those without [18]. It is questionable if auditory or visual stimuli are more preferred for an autonomous driving vehicle-driver communication [19]. A combination of both might be suitable since a visual-accuracy and an auditory-reaction time relation was reported [20]. All these stimuli were placed in a peripheral vision area. For foveal vision, there might be an influence on the driver’s road or traffic participant perception based on color and brightness changes by in-vehicle lighting [21]. Brightness studies for in-vehicle lighting within the coming visual communication approach are initialized also under daylight conditions [22].
- The third part can be classically categorized to non-visual aspects. In a recent study, color, brightness and dynamic factors were varied and three car occupants’ mood ratings about satisfaction, tension and unique were analyzed. They found a significant correlation between arousal with light color and dynamic [23]. Also, in-vehicle lighting can achieve a general positive effect on car occupants by increasing the concentration level on high-speed driving. In addition, an idea is also to reduce cognitive workload by in-vehicle lighting, which is currently only a concept [24]. On the other side, further study participants recognized the additional visual stimuli as distracting or causing higher stress level [25]. Furthermore, blue-enriched white in-vehicle light might have the potential as a counter measurement for driving fatigue by increasing reaction time, although precise driving tasks had less accuracy within this condition [26]. For a long wavelength orange light illumination, simulated driving behavior is constant but characterized with larger driving errors under blue light illumination with reduced reaction time [27]. Only a prior driving light shower with a high brightness (5600 lx at eye, 4100–5000 K) for 45 min could improve the simulated driving behavior versus a dim light condition (35 lx, 4100–5000 K) under sleep deprivation [28].
3. The Next Level: Human-Centric In-Vehicle Lighting
- q1: Is the preference of an iVLS with its color and position options within age, gender and origin the same?
- q2: How does surrounding effects like time and weather affect preferences of an iVLS?
- q3: Are meanings of light pattern perceived in a unique-understandable way transmitted by an iVLSa?
4. Methods—Survey Based
- Personal: Living country, living region, age class and genders.
- Surroundings: Current weather condition, date and time of the day.
- Driving experience: The time spent inside a vehicle during a normal week (without consider the COVID-19 pandemic), if a subject drove a vehicle before.
- Social status: Age of subject’s own vehicle, acceptable price for buying a new vehicle.
- Visual performance: Color vision check by Ishihara test and contrast vision test.
- -
- Color vision test: Necessary to confirm that all subjects have no color-blindness.
- -
- Contrast vision test: Necessary to make sure that all subjects were able to identify the displayed information in a proper way, since there was no external observation and verification possible.
- 1.
- Color Preferences:People were asked to rate all 10 colors according to their preferences. Rating was performed on Likert-like scales with alternating five items (like–bit like–neutral–bit dislike–dislike) or four items (no neutral element).
- 2.
- Color and Emotions:People were asked to rate the same 10 colors in the context of four different emotions, named as joy, fatigue, attention and relax. These emotions were selected out of the driving context. Rating was performed on Likert-like scales, as in question 1.
- 3.
- Lighting Positions:People should imagine two different situations: First, just sit at the second row as the perspective of the pictures. Second, sit at the first row and they are driving a vehicle. For each situation we collected ratings for each position on Likert-like scales using the same method as introduced before in Questions 1 and 2.
- 4.
- Lighting System for Manual and Autonomous Driving:In this category, people were able to select out of 10 possible colors and eight different lighting positions (without option all), which lighting system they preferred for manual or autonomous driving. Multiple selections were possible.
- 5.
- Meaning of Dynamic Lighting Patterns:People were asked about a spontaneous meaning for six different light patterns. The meanings were pre-defined and a single one could be selected out of a scroll-bar.
- i.
- Question 1, q1:Which lighting system do you want to have in your future vehicle?
- ii.
- Question 2, q2:If you don’t like your current interior lighting in your vehicle, which proposals you have to improve?
- iii.
- Question 3, q3:If you have some additional comments, please write down your opinions.
5. Results
5.1. Demographics
5.2. Question II—Color Preferences
5.3. Question III—Color and Mood Relations
5.4. Question IV—Lighting Positioning Rating
5.5. Question V—Definition of Lighting Systems for Manual and Autonomous Driving
5.6. Question VI—Meaning of Dynamic Light Pattern
5.7. Question VII—Qualitative Results
5.8. Combined Results
6. Discussion
7. Conclusions
- -
- Identification of three color-preference groups with a polarized, accepted or merged character.
- -
- For the important driving-signaling mood of attention, a strong hue dependency for European participants was observed but was missing for the Chinese participants.
- -
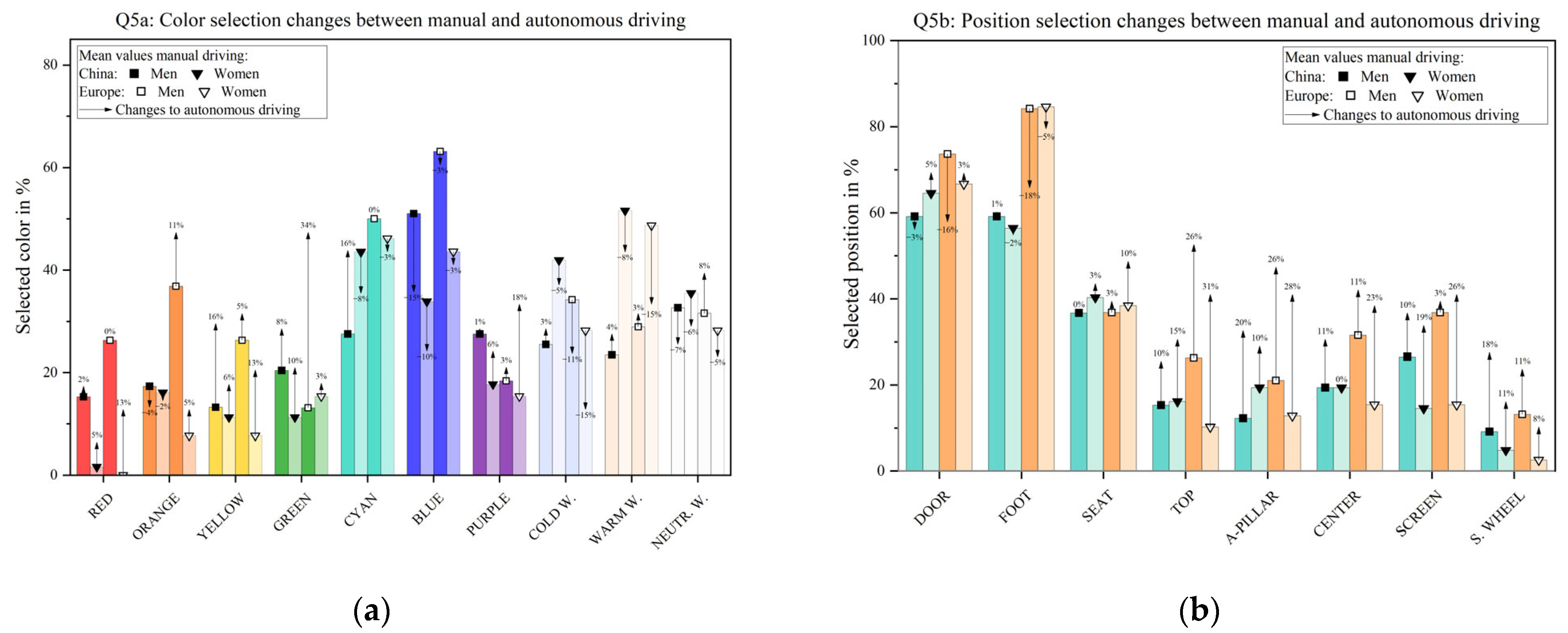
- No differences were observed for all eight light positions between Chinese and European participants. The door and the foot position are favored for both.
Supplementary Materials
Author Contributions
Funding
Institutional Review Board Statement
Informed Consent Statement
Data Availability Statement
Acknowledgments
Conflicts of Interest
References
- Prodin, T.; Miller, R.; Lossing Jeffrey, S.; McQuad Heldke Michelle, L. Vehicle Interior Lighting System with Welcome and Farewell Stages. U.S. Patent 8,476,832 B2, 2 July 2013. [Google Scholar]
- Daimler AG. Meet the S-Class DIGITAL: “Luxury & Well-Being”: Personal Wellness Oasis: Comfortable Travel While Staying Fit. Available online: https://media.daimler.com/marsMediaSite/en/instance/ko.xhtml?oid=47054163 (accessed on 30 September 2021).
- Automotive-World. Camaro 2016 Wows Visitors with Flowing Ambient Light from Hella. Available online: https://www.automotiveworld.com/news-releases/camaro-2016-wows-visitors-flowing-ambient-light-hella (accessed on 30 September 2021).
- Daimler AG. Der Fond der Neuen Mercedes-Maybach S-Klasse. Available online: https://media.mercedes-benz.com/article/da2c8da8-ca36-4ebc-951f-794dd9a5ffc1 (accessed on 30 September 2021).
- I-Micronews. Automotive Interior—From Lighting, Sensing to Display Technologies 2020. Available online: https://www.i-micronews.com/products/automotive-interior-from-lighting-sensing-to-display-technologies-2020 (accessed on 30 September 2021).
- Matviienko, A.; Rauschenberger, M.; Cobus, V.; Timmermann, J.; Fortmann, J.; Löcken, A.; Müller, H.; Trappe, C.; Heuten, W.; Boll, S. Towards New Ambient Light Systems: A Close Look at Existing Encodings of Ambient Light Systems. Interact. Des. Archit. (S) J.-IxDA 2015, 26, 10–24. [Google Scholar]
- Cervi, M.; Pappis, D.; Campos, A.; Prado, R.N.D. Omnibus interior lighting system using LEDs and automotive communication network. Sba Controle Automação Soc. Bras. Autom. 2006, 17, 205–212. [Google Scholar] [CrossRef][Green Version]
- Blankenbach, K.; Hertlein, F.; Hoffmann, S. Advances in automotive interior lighting concerning new LED approach and optical performance. J. Soc. Inf. Disp. 2020, 28, 655–667. [Google Scholar] [CrossRef]
- Caberletti, L.; Elfmann, K.; Kummel, M.; Schierz, C. Influence of ambient lighting in a vehicle interior on the driver’s perceptions. Lighting Res. Technol. 2010, 42, 297–311. [Google Scholar] [CrossRef]
- Löcken, A.; Yan, F.; Heuten, W.; Boll, S. Investigating driver gaze behavior during lane changes using two visual cues: Ambient light and focal icons. J. Multimodal User Interfaces 2019, 13, 119–136. [Google Scholar] [CrossRef]
- Löcken, A.; Heuten, W.; Boll, S. Supporting lane change decisions with ambient light. In Proceedings of the 7th International Conference on Automotive User Interfaces and Interactive Vehicular Applications, Nottingham, UK, 1–3 September 2015; pp. 204–211. [Google Scholar]
- Wilbrink, M.; Kelsch, J.; Schieben, A. Ambient light based interaction concept for an integrative driver assistance system—A driving simulator study. In Proceedings of the Human Factors and Ergonomics Society Europe, Prague, Czech Republic, 26–28 October 2016; pp. 171–182. [Google Scholar]
- Hipp, M.; Löcken, A.; Heuten, W.; Boll, S. Ambient Park Assist: Supporting Reverse Parking Maneuvers with Ambient Light. In Proceedings of the 8th International Conference on Automotive User Interfaces and Interactive Vehicular Applications, Ann Arbor, MI, USA, 24–26 October 2016; pp. 45–50. [Google Scholar]
- Morales-Alvarez, W.; Sipele, O.; Léberon, R.; Tadjine, H.H.; Olaverri-Monreal, C. Automated Driving: A Literature Review of the Take over Request in Conditional Automation. Electronics 2020, 9, 2087. [Google Scholar] [CrossRef]
- Capalar, J.; Olaverri-Monreal, C. Hypovigilance in limited self-driving automation: Peripheral visual stimulus for a balanced level of automation and cognitive workload. In Proceedings of the 2017 IEEE 20th International Conference on Intelligent Transportation Systems (ITSC), Yokohama, Japan, 16–19 October 2017. [Google Scholar]
- Mahlke, S.; Rösler, D.; Seifert, K.; Krems, J.; Thuering, M. Evaluation of Six Night Vision Enhancement Systems: Qualitative and Quantitative Support for Intelligent Image Processing. Hum. Factors 2007, 49, 518–531. [Google Scholar] [CrossRef] [PubMed]
- Löcken, A.; Frison, A.-K.; Fahn, V.; Kreppold, D.; Götz, M.; Riener, A. Increasing User Experience and Trust in Automated Vehicles via an Ambient Light Display. In Proceedings of the 22nd International Conference on Human-Computer Interaction with Mobile Devices and Services, Oldenburg, Germany, 5–8 October 2020. [Google Scholar]
- Yang, Y.; Karakaya, B.; Dominioni, G.C.; Kawabe, K.; Bengler, K. An HMI Concept to Improve Driver’s Visual Behavior and Situation Awareness in Automated Vehicle. In Proceedings of the 2018 21st International Conference on Intelligent Transportation Systems (ITSC), Maui, HI, USA, 4–7 November 2018. [Google Scholar]
- Louw, T.; Madigan, R.; Lee, Y.M.; Marco, C.D.; Mallada, J.L.; Merat, N. Don’t Worry, I’m in Control! Is Users’ Trust in Automated Driving Different When Using a Continuous Ambient Light HMI Compared to an Auditory HMI? In Proceedings of the AutomotiveUI ’21, Leeds, UK, 9–14 September 2021; pp. 220–222. [Google Scholar]
- Wang, M.; Liao, Y.; Lyckvi, S.L.; Chen, F. How drivers respond to visual vs. auditory information in advisory traffic information systems. Behav. Inf. Technol. 2020, 39, 1308–1319. [Google Scholar] [CrossRef]
- Flannagan, M.J.; Devonshire, J.M. Effects of Automotive Interior Lighting on Driver Vision. Leukos 2012, 9, 9–23. [Google Scholar] [CrossRef]
- Blankenbach, K.; Brezing, K.; Reichel, S. Evaluation of luminance vs. brightness for automotive RGB LED light guides in autonomous cars. In Proceedings of the Illumination Optics VI, Madrid, Spain, 13–16 September 2021; Volume 11874. [Google Scholar]
- Kim, T.; Kim, Y.; Jeon, H.; Choi, C.-S.; Suk, H.-J. Emotional Response to In-Car Dynamic Lighting. Int. J. Automot. Technol. 2021, 22, 1035–1043. [Google Scholar] [CrossRef]
- Löcken, A.; Unni, A.; Müller, H.; Rieger, J.; Heuten, W.; Boll, S. The Car That Cares: Introducing an in-vehicle ambient light display to reduce cognitive load. In Proceedings of the AutomotiveUI ’13, Eindhoven, The Netherlands, 27–30 October 2013. [Google Scholar]
- Hooft van Huysduynen, H.; Terken, J.; Meschtscherjakov, A.; Eggen, B.; Tscheligi, M. Ambient Light and its Influence on Driving Experience. In Proceedings of the 9th International Conference on Automotive User Interfaces and Interactive Vehicular Applications, Oldenburg, Germany, 24–27 September 2017; pp. 293–301. [Google Scholar]
- Rodríguez-Morilla, B.; Madrid, J.A.; Molina, E.; Pérez-Navarro, J.; Correa, Á. Blue-Enriched Light Enhances Alertness but Impairs Accurate Performance in Evening Chronotypes Driving in the Morning. Front. Psychol. 2018, 9, 688. [Google Scholar] [CrossRef]
- Rodríguez-Morilla, B.; Madrid, J.A.; Molina, E.; Correa, A. Blue-Enriched White Light Enhances Physiological Arousal But Not Behavioral Performance during Simulated Driving at Early Night. Front. Psychol. 2017, 8. [Google Scholar] [CrossRef] [PubMed]
- Weisgerber, D.M.; Nikol, M.; Mistlberger, R.E. Driving home from the night shift: A bright light intervention study. Sleep Med. 2017, 30, 171–179. [Google Scholar] [CrossRef] [PubMed]
- Wördenweber, B.; Boyce, P.; Hoffman, D.D.; Wallaschek, J. Automotive Lighting and Human Vision; Springer: Berlin/Heidelberg, Germany, 2007; Volume 1. [Google Scholar]
- Wolska, A.; Sawicki, D.; Tafil-Klawe, M. Visual and Non-Visual Effects of Light: Working Environment and Well-Being; CRC Press: Boca Raton, FL, USA, 2020. [Google Scholar] [CrossRef]
- US Department of Transportation. National Standards for Traffic Control Devices; The Manual on Uniform Traffic Control Devices for Streets and Highways; 23 CFR Part 655, FHWA Docket No. FHWA–2007–28977; Federal Highway Administration: Washington, DC, USA, 2009.
- Werner, A. New colours for autonomous driving: An evaluation of chromaticities for the external lighting equipment of autonomous vehicles. Colour Turn 2018. [Google Scholar] [CrossRef]
- Jamieson, S. Likert scales: How to (ab)use them. Med. Educ. 2004, 38, 1217–1218. [Google Scholar] [CrossRef] [PubMed]
- De Winter, J.F.; Dodou, D. Five-point likert items: T test versus Mann-Whitney-Wilcoxon (Addendum added October 2012). Pract. Assess. Res. Eval. 2010, 15, 11. [Google Scholar]
- Newton, I. Opticks: Or, A Treatise of the Reflections, Refractions, Inflections and Colours of Light; Sam. Smith & Benj.: London, UK; p. 1704.
- Fritz, C.O.; Morris, P.E.; Richler, J.J. Effect size estimates: Current use, calculations, and interpretation. J. Exp. Psychol. Gen. 2012, 141, 2–18. [Google Scholar] [CrossRef] [PubMed]
- Cohen, J. Statistical Power Analysis for the Behavioral Sciences, 2nd ed.; Routledge: New York, NY, USA, 1988. [Google Scholar]
- Revilla, M.; Ochoa, C. Ideal and Maximum Length for a Web Survey. Int. J. Mark. Res. 2017, 59, 557–565. [Google Scholar] [CrossRef]
- Hurlbert, A.C.; Ling, Y. Biological components of sex differences in color preference. Curr. Biol. 2007, 17, R623–R625. [Google Scholar] [CrossRef]
- Hurvich, L.M.; Jameson, D. An opponent-process theory of color vision. Psychol. Rev. 1957, 64, 384. [Google Scholar] [CrossRef]
- Fider, N.A.; Komarova, N.L. Differences in color categorization manifested by males and females: A quantitative World Color Survey study. Palgrave Commun. 2019, 5, 142. [Google Scholar] [CrossRef]
- Smet, K.; Lin, Y.; Nagy, B.; Németh, Z.; Duque-Chica, G.; Quintero, J.; Chen, H.-S.; Luo, M.; Safi, M.; Hanselaer, P. Cross-cultural variation of memory colors of familiar objects. Opt. Express 2014, 22, 32308–32328. [Google Scholar] [CrossRef] [PubMed]
- Maier, M.A.; Barchfeld, P.; Elliot, A.J.; Pekrun, R. Context specificity of implicit preferences: The case of human preference for red. Emotion 2009, 9, 734–738. [Google Scholar] [CrossRef]
- Jonauskaite, D.; Althaus, B.; Dael, N.; Dan-Glauser, E.; Mohr, C. What color do you feel? Color choices are driven by mood. Color Res. Appl. 2019, 44, 272–284. [Google Scholar] [CrossRef]
- Scherer, K.R. What are emotions? And how can they be measured? Soc. Sci. Inf. 2005, 44, 695–729. [Google Scholar] [CrossRef]
- Scherer, K.R.; Shuman, V.; Fontaine, J.; Soriano Salinas, C. The GRID meets the Wheel: Assessing emotional feeling via self-report. Compon. Emot. Mean. A Sourceb. 2013. [Google Scholar] [CrossRef]
- Stylidis, K.; Woxlin, A.; Siljefalk, L.; Heimersson, E.; Söderberg, R. Understanding light. A study on the perceived quality of car exterior lighting and interior illumination. Procedia CIRP 2020, 93, 1340–1345. [Google Scholar] [CrossRef]
- Morgenroth, T.; Fine, C.; Ryan, M.K.; Genat, A.E. Sex, Drugs, and Reckless Driving. Soc. Psychol. Personal. Sci. 2018, 9, 744–753. [Google Scholar] [CrossRef]
- Biologically Effective Illumination-Design Guidelines; DIN SPEC 67600: 2013-04; Beuth Verlag: Berlin, Germany, 2013.
- Perneger, T.V. What’s wrong with Bonferroni adjustments. BMJ 1998, 316, 1236–1238. [Google Scholar] [CrossRef]












| Color | Meaning in the Automotive Driving Context | Color Code in RGB | Spectral Properties |
|---|---|---|---|
| Red | Do no enter, wrong way sign, stop and yield driving. | 255, 0, 0 | Mono-chromatic |
| Orange | Background color for temporary traffic control signs. | 255, 102, 0 | |
| Yellow | Background color for warning signs. | 255, 204, 0 | |
| Green | Background color for information and guide signs. | 0, 153, 0 | |
| Cyan | Proposal of signal light color for autonomous driving. | 6, 206, 179 | |
| Blue | Background color for travel service information signs. | 0, 0, 255 | |
| Purple | Background color for electronic toll collection signs. | 102, 0, 153 | |
| Cold White | 10,000 K for cold white appearance, no driving context. | 207, 218, 255 | Multi-chromatic |
| Warm White | 5000 K for warm white appearance, no driving context. | 255, 208, 206 | |
| Neutral White | 6500 K for neutral white appearance, no driving context. | 255, 249, 253 |
| Color Fixed for All Position Rating, Code in RGB: 6, 206, 179 | ||
| Door | Foot | Seat |
![]() | ![]() | ![]() |
| Along the door length, below the door window. Direction: front-back | Foot area illumination, below the door area and center console. Direction: front-back, middle | Seat contour illumination. Direction: front-back, middle |
| Top | A-Pillar | Center |
![]() | ![]() | ![]() |
| Along the width of the vehicle, above the windshield. Direction: left-right | Connection between door and top illumination. Direction: front-back, tilted | Along the width of the center console of the vehicle. Direction: left-right |
| Screen | S. Wheel | All |
![]() | ![]() | ![]() |
| Illumination around the central screen. Direction: multiple | Illumination around the steering wheel of the vehicle. Direction: multiple | All lighting positions shown. Direction: multiple |
| China | Europe | ||||
| Female | Male | Female | Male | ||
| Participants | 63 | 98 | 39 | 38 | |
| Age class, Mean | 3.4 | 3.5 | 3.9 | 4.1 | |
| Spent time | Mean = 17 min 39 s, std. = ±8 min 13 s | ||||
| Age class 3 | 25–34 years old | ||||
| Age class 4 | 35–44 years old | ||||
| Age class 5 | 45–54 years old | ||||
| Origin | Amount | Ratio in % |
|---|---|---|
| Germany | 65 | 84 |
| Switzerland | 5 | 6 |
| Austria | 4 | 5 |
| Slovakia | 1 | 1 |
| Slovenia | 1 | 1 |
| Italy | 1 | 1 |
![]() | ![]() |
![]() | ![]() |
![]() | ![]() |
![]() | ![]() |
![]() | ![]() |
| Color | 1. China: Men | ||||||||||||||
|---|---|---|---|---|---|---|---|---|---|---|---|---|---|---|---|
| 2. China: Women, n (1 + 2) = 161 | 3. Europe: Men, n (1 + 3) = 136 | 4. Europe: Women, n (1 + 4) = 137 | |||||||||||||
| z | p (asym.) | r | Level | z | p (asym.) | r | Level | z | p (asym.) | r | Level | ||||
| Red | 0.805 | 4.822 | 1.42 × 10−6 | 0.380 | medium | −0.253 | −0.622 | 0.534 | not sign. | not sign. | 0.643 | 3.500 | 4.66 × 10−4 | 0.299 | medium |
| Orange | 0.477 | 2.644 | 8.19 × 10−3 | 0.208 | weak | −0.478 | −2.044 | 4.09 × 10−2 | 0.175 | weak | 0.457 | 2.246 | 2.47 × 10−2 | 0.192 | weak |
| Yellow | 0.391 | 2.080 | 3.75 × 10−2 | 0.164 | weak | −0.174 | −0.693 | 0.488 | not sign. | not sign. | 0.036 | −0.052 | 0.958 | not sign. | not sign. |
| Green | 0.117 | 0.608 | 0.543 | not sign. | not sign. | −0.563 | −2.579 | 9.90 × 10−3 | 0.221 | weak | 0.297 | 1.371 | 0.170 | not sign. | not sign. |
| Cyan | 0.141 | 0.726 | 0.468 | not sign. | not sign. | −0.311 | −1.751 | 0.079 | not sign. | not sign. | −0.551 | −2.837 | 4.56 × 10−3 | 0.242 | weak |
| Blue | 0.253 | 1.945 | 0.052 | not sign. | not sign. | −0.454 | −2.861 | 4.23 × 10−3 | 0.245 | weak | −0.035 | −1.334 | 0.182 | not sign. | not sign. |
| Purple | 0.540 | 2.890 | 3.85 × 10−3 | 0.228 | weak | 0.338 | 1.252 | 0.210 | not sign. | not sign. | 0.260 | 0.959 | 0.338 | not sign. | not sign. |
| Cold White | −0.261 | −1.445 | 0.148 | not sign. | not sign. | −0.226 | −1.170 | 0.241 | not sign. | not sign. | −0.007 | −0.345 | 0.730 | not sign. | not sign. |
| Warm White | −0.442 | −2.962 | 3.06 × 10−3 | 0.233 | weak | −0.227 | −1.430 | 0.152 | not sign. | not sign. | −0.439 | −2.745 | 6.06 × 10−3 | 0.234 | weak |
| Neutral White | −0.076 | −0.513 | 0.608 | not sign. | not sign. | −0.073 | −0.549 | 0.582 | not sign. | not sign. | −0.008 | −0.300 | 0.764 | not sign. | not sign. |
| Color | 2. China: Women | 3. Europe: Men | |||||||||||||
| 3. Europe: Men, n (2 + 3) = 101 | 4. Europe: Women, n (2 + 4) = 102 | 4. Europe: Women, n (3 + 4) = 77 | |||||||||||||
| Δ | z | p (asym.) | r | Level | Δ | z | p (asym.) | r | Level | Δ | z | p (asym.) | r | Level | |
| Red | −1.058 | −3.161 | 1.57 × 10−3 | 0.315 | medium | −0.162 | 0.062 | 0.950 | not sign. | not sign. | 0.896 | 2.510 | 1.21 × 10−2 | 0.286 | weak |
| Orange | −0.955 | −3.630 | 2.84 × 10−4 | 0.361 | medium | −0.021 | −0.036 | 0.971 | not sign. | not sign. | 0.935 | 3.180 | 1.47 × 10−3 | 0.362 | medium |
| Yellow | −0.565 | −1.981 | 4.78 × 10−2 | 0.197 | weak | −0.355 | −1.268 | 0.205 | not sign. | not sign. | 0.210 | 0.783 | 0.433 | not sign. | not sign. |
| Green | −0.680 | −2.816 | 4.86 × 10−3 | 0.280 | weak | 0.181 | 0.848 | 0.396 | not sign. | not sign. | 0.860 | 2.707 | 6.80 × 10−3 | 0.308 | medium |
| Cyan | −0.452 | −1.998 | 4.58 × 10−2 | 0.199 | weak | −0.691 | −2.974 | 2.94 × 10−3 | 0.294 | weak | −0.240 | −0.844 | 0.399 | not sign. | not sign. |
| Blue | −0.707 | −3.694 | 2.20 × 10−4 | 0.368 | medium | −0.288 | −2.097 | 3.60 × 10−2 | 0.208 | weak | 0.419 | 1.139 | 0.255 | not sign. | not sign. |
| Purple | −0.201 | −0.493 | 0.622 | not sign. | not sign. | −0.280 | −0.754 | 0.451 | not sign. | not sign. | −0.078 | −0.215 | 0.830 | not sign. | not sign. |
| Cold White | 0.035 | −0.165 | 0.869 | not sign. | not sign. | 0.254 | 0.469 | 0.639 | not sign. | not sign. | 0.219 | 0.545 | 0.586 | not sign. | not sign. |
| Warm White | 0.216 | 0.802 | 0.423 | not sign. | not sign. | 0.004 | −0.460 | 0.646 | not sign. | not sign. | −0.212 | −1.017 | 0.309 | not sign. | not sign. |
| Neutral White | 0.003 | −0.106 | 0.916 | not sign. | not sign. | 0.068 | 0.071 | 0.943 | not sign. | not sign. | 0.065 | 0.116 | 0.908 | not sign. | not sign. |
| Participants | 1. Polarization | 2. Acceptance | |||||||||||||
|---|---|---|---|---|---|---|---|---|---|---|---|---|---|---|---|
| 2. Acceptance | 3. Merging | 3. Merging | |||||||||||||
| z | p (asym.) | r | Level | z | p (asym.) | r | Level | z | p (asym.) | r | Level | ||||
| China: Men n = 98 | −0.702 | −6.021 | 1.73 × 10−9 | 0.608 | strong | −0.485 | −4.523 | 6.08 × 10−6 | 0.457 | strong | 0.217 | 1.913 | 0.056 | not sign. | not sign. |
| China: Women n = 63 | −0.952 | −5.534 | 3.12 × 10−8 | 0.697 | strong | −0.992 | −5.697 | 1.22 × 10−8 | 0.718 | strong | −0.040 | −0.195 | 0.845 | not sign. | not sign. |
| Europe: Men n = 38 | −0.717 | −3.406 | 6.58 × 10−4 | 0.553 | strong | −0.164 | −0.976 | 0.329 | not sign. | not sign. | 0.553 | 2.460 | 1.39 × 10−2 | 0.399 | medium |
| Europe: Women n = 39 | −1.353 | −4.225 | 2.39 × 10−5 | 0.677 | strong | −0.891 | −3.533 | 4.11 × 10−4 | 0.566 | strong | 0.462 | 2.122 | 3.39 × 10−2 | 0.340 | medium |
| Name | Illustration | Direction | Size | Single-Duration |
|---|---|---|---|---|
| center-to-side | ![]() | center to outside | dynamic: zero to vehicle width | 1 s effect + 1 s fade off |
| fading | ![]() | n.a. | fixed: vehicle width | 1 s effect + 1 s fade off |
| segment-bouncing | ![]() | 1. center to right 2. right to left 3. left to right | fixed: ca. 12% of vehicle width | 2 s effect from right to left + 2 s back to right |
| outside-inside | ![]() | outside to center | dynamic: zero to vehicle width | 1 s effect + 1 s fade off |
| left-right | ![]() | left to right | dynamic: 1. zero to vehicle width 2. vehicle width to zero | 2 s effect |
| flashing | ![]() | n.a. | fixed: vehicle width | 1 s turn on, 1 s turn off, no transition |
Publisher’s Note: MDPI stays neutral with regard to jurisdictional claims in published maps and institutional affiliations. |
© 2022 by the authors. Licensee MDPI, Basel, Switzerland. This article is an open access article distributed under the terms and conditions of the Creative Commons Attribution (CC BY) license (https://creativecommons.org/licenses/by/4.0/).
Share and Cite
Weirich, C.; Lin, Y.; Khanh, T.Q. Evidence for Human-Centric In-Vehicle Lighting: Part 1. Appl. Sci. 2022, 12, 552. https://doi.org/10.3390/app12020552
Weirich C, Lin Y, Khanh TQ. Evidence for Human-Centric In-Vehicle Lighting: Part 1. Applied Sciences. 2022; 12(2):552. https://doi.org/10.3390/app12020552
Chicago/Turabian StyleWeirich, Christopher, Yandan Lin, and Tran Quoc Khanh. 2022. "Evidence for Human-Centric In-Vehicle Lighting: Part 1" Applied Sciences 12, no. 2: 552. https://doi.org/10.3390/app12020552
APA StyleWeirich, C., Lin, Y., & Khanh, T. Q. (2022). Evidence for Human-Centric In-Vehicle Lighting: Part 1. Applied Sciences, 12(2), 552. https://doi.org/10.3390/app12020552


























