Dried and Powdered Leaves of Parsley as a Functional Additive to Wheat Bread
Abstract
1. Introduction
2. Materials and Methods
2.1. Materials
2.2. Basic Chemical Composition
2.3. Bread Preparation
2.4. Bread Volume and Crumb Color
2.5. Texture of the Crumb
2.6. Total Phenolic Content and Antioxidant Activity
2.7. Sensory Evaluation of Bread
2.8. Statistical Evaluation of Data
3. Results and Discussion
3.1. Basic Chemical Analysis
3.2. Bread Volume
3.3. Color Coordinates
3.4. Bread Texture
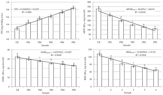
3.5. Total Phenolic Content and Antioxidant Activity
3.6. Sensory Evaluation of Bread
4. Conclusions
Author Contributions
Funding
Institutional Review Board Statement
Informed Consent Statement
Data Availability Statement
Conflicts of Interest
References
- Punoševac, M.; Radović, J.; Leković, A.; Kundaković-Vasović, T. A review of botanical characteristics, chemical composition, pharmacological activity and use of parsley. Arh. Farm. 2021, 71, 177–196. [Google Scholar] [CrossRef]
- Jadczak, D.; Bojko, K.; Wysocka, G.; Szymańska, M. Yield and biological properties of leaf parsley (Petroselinum crispum (mill.) Nym. Ex A.W. Hillc Convar. crispum). J. Elem. 2019, 24, 803–815. [Google Scholar] [CrossRef]
- Farzaei, M.H.; Abbasabadi, Z.; Ardekani, M.R.S.; Rahimi, R.; Farzaei, F. Parsley: A review of ethnopharmacology, phytochemistry and biological activities. J. Tradit. Chinese Med. 2013, 33, 815–826. [Google Scholar] [CrossRef]
- Tang, E.L.H.; Rajarajeswaran, J.; Fung, S.; Kanthimathi, M.S. Petroselinum crispum has antioxidant properties, protects against DNA damage and inhibits proliferation and migration of cancer cells. J. Sci. Food Agric. 2015, 95, 2763–2771. [Google Scholar] [CrossRef] [PubMed]
- Sarwar, S.; Ayyub, M.A.; Rezgui, M.; Nisar, S.; Jilani, M.I. Parsley: A review of habitat, phytochemistry, ethnopharmacology and biological activities. IJCBS 2016, 9, 49–55. Available online: https://www.researchgate.net/publication/336134809_Parsley_A_review_of_habitat_phytochemistry_ethnopharmacology_and_biological_activities (accessed on 4 May 2022).
- Dobričević, N.; Šic Žlabur, J.; Voća, S.; Pliestić, S.; Galić, A.; Delić, A.; Fabek Uher, S. Bioactive compounds content and nutritional potential of different parsley parts (Petroselinum crispum Mill.). J. Cent. Eur. Agric. 2019, 20, 900–910. [Google Scholar] [CrossRef]
- Fejes, S.; Blázovics, A.; Lemberkovics, É.; Petri, G.; Szöke, É.; Kéry, Á. Free radical scavenging and membrane protective effects of methanol extracts from Anthriscus cerefolium L. (Hoffm.) and Petroselinum crispum (Mill.) Nym. ex A. W. Hill. Phyther. Res. 2000, 14, 362–365. [Google Scholar] [CrossRef]
- Wong, P.Y.Y.; Kitts, D.D. Studies on the dual antioxidant and antibacterial properties of parsley (Petroselinum crispum) and cilantro (Coriandrum sativum) extracts. Food Chem. 2006, 97, 505–515. [Google Scholar] [CrossRef]
- Farouk, A.; Ali, H.; Al-Khalifa, A.R.; Mohsen, M.; Fikry, R. Aroma volatile compounds of parsley cultivated in the Kingdom of Saudi Arabia and Egypt extracted by hydrodistillation and headspace solid-phase microextraction. Int. J. Food Prop. 2018, 20, S2868–S2877. [Google Scholar] [CrossRef]
- Vokk, R.; Lõugas, T.; Mets, K.; Kravets, M. Dill (Anethum graveolens L.) and parsley (Petroselinum crispum (Mill.) Fuss) from Estonia: Seasonal differences in essential oil composition. Agron. Res. 2011, 9, 515–520. Available online: https://agronomy.emu.ee/vol09Spec2/p09s222.pdf (accessed on 14 July 2022).
- Danciu, C.; Cioanca, O.; Watz (Farcaș), C.; Hancianu, M.; Racoviceanu, R.; Muntean, D.; Zupko, I.; Oprean, C.; Tatu, C.; Paunescu, V.; et al. Botanical Therapeutics (Part II): Antimicrobial and In vitro anticancer activity against mcf7 human breast cancer cells of chamomile, parsley and celery alcoholic extracts. Anticancer. Agents Med. Chem. 2020, 21, 187–200. [Google Scholar] [CrossRef] [PubMed]
- Ashry, M.; Atia, I.; Morsy, F. Elmashad, wael Protective efficiency of parsley (Petroselinum crispum) against oxidative stress, DNA damage and nephrotoxicity induced with anti-tuberculosis drugs. Int. J. Cancer Biomed. Res. 2021, 5, 27–36. [Google Scholar] [CrossRef]
- Dziki, D.; Rózyło, R.; Gawlik-Dziki, U.; Świeca, M. Current trends in the enhancement of antioxidant activity of wheat bread by the addition of plant materials rich in phenolic compounds. Trends Food Sci. Technol. 2014, 40, 48–61. [Google Scholar] [CrossRef]
- El-Loly, M.M.; Mohamed, A.G.; Farahat, E.S.A. Innovative vegetables-processed cheese: II. high nutritional and functional attributes. Bioact. Compd. Health Dis. 2022, 5, 13–32. [Google Scholar] [CrossRef]
- Bochnak-Niedźwiecka, J.; Szymanowska, U.; Kapusta, I.; Świeca, M. Antioxidant content and antioxidant capacity of the protein-rich powdered beverages enriched with flax seeds gum. Antioxidants 2022, 11, 582. [Google Scholar] [CrossRef] [PubMed]
- Bochnak-Niedźwiecka, J.; Szymanowska, U.; Świeca, M. Studies on the development of vegetable-based powdered beverages—Effect of the composition and dispersing temperature on potential bioaccessibility of main low-molecular antioxidants and antioxidant properties. LWT Food Sci. Technol. 2020, 131, 109822. [Google Scholar] [CrossRef]
- Badee, A.Z.M.; Salama, N.A.E.; Allah, M.K.I. Utilization of dried parsley leaves {Petroselinum Crispumm) and their essential oil for extending shelf life of beef burger. Carpathian J. Food Sci. Technol. 2020, 12, 41–50. [Google Scholar] [CrossRef]
- Dirim, S.N.; Koç, G.Ç. Functional properties of parsley fortified homemade Turkish noodles (Erişte). Croat. J. food Sci. Technol. 2019, 11, 88–96. [Google Scholar] [CrossRef]
- Seczyk, Ł.; Świeca, M.; Gawlik-Dziki, U. Changes of antioxidant potential of pasta fortified with parsley (Petroselinum crispum Mill.) Leaves in the light of protein-phenolics interactions. Acta Sci. Pol. Technol. Aliment. 2015, 14, 29–36. [Google Scholar] [CrossRef]
- Sȩczyk, Ł.; Świeca, M.; Gawlik-Dziki, U.; Luty, M.; Czyz, J. Effect of fortification with parsley (Petroselinum crispum Mill.) leaves on the nutraceutical and nutritional quality of wheat pasta. Food Chem. 2016, 190, 419–428. [Google Scholar] [CrossRef]
- Hassoon, W.H.; Dziki, D.; Miś, A.; Biernacka, B. Wheat grinding process with low moisture content: A new approach for wholemeal flour production. Processes 2021, 9, 32. [Google Scholar] [CrossRef]
- AACC. American Association of Cereal Chemistry Approved Methods. 11th ed. St. Paul. Available online: http://methods.aaccnet.org/toc.aspx (accessed on 25 December 2021).
- Krawęcka, A.; Sobota, A.; Pankiewicz, U.; Zielińska, E.; Zarzycki, P. Stinging nettle (Urtica dioica l.) as a functional component in durum wheat pasta production: Impact on chemical composition, in vitro glycemic index, and quality properties. Molecules 2021, 26, 6909. [Google Scholar] [CrossRef] [PubMed]
- Różyło, R.; Dziki, D.; Laskowski, J. Changes in the physical and the sensorial properties of wheat bread caused by interruption and slowing of the fermentation of yeast-based leaven. J. Cereal Sci. 2014, 59, 88–94. [Google Scholar] [CrossRef]
- Bourekoua, H.; Różyło, R.; Gawlik-Dziki, U.; Benatallah, L.; Zidoune, M.N.; Dziki, D. Evaluation of physical, sensorial, and antioxidant properties of gluten-free bread enriched with Moringa Oleifera leaf powder. Eur. Food Res. Technol. 2017, 244, 189–195. [Google Scholar] [CrossRef]
- Miceli, A.; Francesca, N.; Moschetti, G.; Settanni, L. The influence of addition of Borago officinalis with antibacterial activity on the sensory quality of fresh pasta. Int. J. Gastron. Food Sci. 2015, 2, 93–97. [Google Scholar] [CrossRef][Green Version]
- Armero, E.; Collar, C. Texture properties of formulated wheat doughs: Relationships with dough and bread technological quality. Eur. Food Res. Technol. 1997, 204, 136–145. Available online: https://link.springer.com/content/pdf/10.1007/s002170050050.pdf (accessed on 14 July 2022).
- Lisiecka, K.; Wójtowicz, A.; Dziki, D.; Gawlik-Dziki, U. The influence of Cistus incanus L. leaves on wheat pasta quality. J. Food Sci. Technol. 2019, 56, 4311–4322. [Google Scholar] [CrossRef]
- Romankiewicz, D.; Hassoon, W.H.; Cacak-Pietrzak, G.; Sobczyk, M.; Wirkowska-WojdyBa, M.; CegliNska, A.; Dziki, D. The effect of chia seeds (salvia hispanica L.) addition on quality and nutritional value of wheat bread. J. Food Qual. 2017, 2017, 7352631. [Google Scholar] [CrossRef]
- Re, R.; Pellegrini, N.; Proteggente, A.; Pannala, A.; Yang, M.; Rice-Evans, C. Antioxidant activity applying an improved ABTS radical cation decolorization assay. Free Radic. Biol. Med. 1999, 26, 1231–1237. [Google Scholar] [CrossRef]
- Guo, J.T.; Lee, H.L.; Chiang, S.H.; Lin, F.I.; Chang, C.Y. antioxidant properties of the extracts from different parts of broccoli in Taiwan. J. Food Drug Anal. 2001, 9, 96–101. [Google Scholar] [CrossRef]
- Oyaizu, M. Studies on products of browning reaction. Antioxidative activities of products of browning reaction prepared from glucosamine. Japanese J. Nutr. Diet. 1986, 44, 307–315. [Google Scholar] [CrossRef]
- Biernacka, B.; Dziki, D.; Gawlik-Dziki, U.; Różyło, R.; Siastała, M. Physical, sensorial, and antioxidant properties of common wheat pasta enriched with carob fiber. LWT Food Sci. Technol. 2017, 77, 186–192. [Google Scholar] [CrossRef]
- García-Gómez, B.; Fernández-Canto, N.; Vázquez-Odériz, M.L.; Quiroga-García, M.; Muñoz-Ferreiro, N.; Romero-Rodríguez, M.Á. Sensory descriptive analysis and hedonic consumer test for Galician type breads. Food Control 2022, 134, 108765. [Google Scholar] [CrossRef]
- Fernandes, Â.; Polyzos, N.; Petropoulos, S.A.; Pinela, J.; Ardohain, E.; Moreira, G.; Ferreira, I.C.F.R.; Barros, L. Phytochemical composition and nutritional value of pot-grown turnip-rooted and plain and curly-leafed parsley cultivars. Agronomy 2020, 10, 1416. [Google Scholar] [CrossRef]
- Elgeti, D.; Nordlohne, S.D.; Föste, M.; Besl, M.; Linden, M.H.; Heinz, V.; Jekle, M.; Becker, T. Volume and texture improvement of gluten-free bread using quinoa white flour. J. Cereal Sci. 2014, 59, 41–47. [Google Scholar] [CrossRef]
- Pentikäinen, S.; Sozer, N.; Närväinen, J.; Ylätalo, S.; Teppola, P.; Jurvelin, J.; Holopainen-Mantila, U.; Törrönen, R.; Aura, A.M.; Poutanen, K. Effects of wheat and rye bread structure on mastication process and bolus properties. Food Res. Int. 2014, 66, 356–364. [Google Scholar] [CrossRef]
- Monteiro, J.S.; Farage, P.; Zandonadi, R.P.; Botelho, R.B.A.; de Oliveira, L.d.L.; Raposo, A.; Shakeel, F.; Alshehri, S.; Mahdi, W.A.; Araújo, W.M.C. A systematic review on gluten-free bread formulations using specific volume as a quality indicator. Foods 2021, 10, 614. [Google Scholar] [CrossRef]
- Tolve, R.; Simonato, B.; Rainero, G.; Bianchi, F.; Rizzi, C.; Cervini, M.; Giuberti, G. Wheat bread fortification by grape pomace powder: Nutritional, technological, antioxidant, and sensory properties. Foods 2021, 10, 75. [Google Scholar] [CrossRef]
- Coţovanu, I.; Mironeasa, C.; Mironeasa, S. Insights into the potential of buckwheat flour fractions in wheat bread dough. Appl. Sci. 2022, 12, 2302. [Google Scholar] [CrossRef]
- Coţovanu, I.; Mironeasa, S. Influence of buckwheat seed fractions on dough and baking performance of wheat bread. Agronomy 2022, 12, 137. [Google Scholar] [CrossRef]
- Fiorentini, M.; Kinchla, A.J.; Nolden, A.A. Role of sensory evaluation in consumer acceptance of plant-based meat analogs and meat extenders: A scoping review. Foods 2020, 9, 1334. [Google Scholar] [CrossRef] [PubMed]
- Bouasla, A.; Gassi, H.E.; Lisiecka, K.; Wojtowicz, A. Application of parsley leaf powder as functional ingredient in fortified wheat pasta: Nutraceutical, physical and organoleptic characteristics. Int. Agrophys. 2022, 36, 37–45. [Google Scholar] [CrossRef]
- Pérez-Gálvez, A.; Viera, I.; Roca, M. Carotenoids and chlorophylls as antioxidants. Antioxidants 2020, 9, 505. [Google Scholar] [CrossRef] [PubMed]
- Tazrart, K.; Zaidi, F.; Lamacchia, C.; Haros, M. Effect of durum wheat semolina substitution with broad bean flour (Vicia faba) on the Maccheronccini pasta quality. Eur. Food Res. Technol. 2016, 242, 477–485. [Google Scholar] [CrossRef]
- Salehi, F.; Aghajanzadeh, S. Effect of dried fruits and vegetables powder on cakes quality: A review. Trends Food Sci. Technol. 2020, 95, 162–172. [Google Scholar] [CrossRef]
- Cacak-Pietrzak, G.; Dziki, D.; Gawlik-Dziki, U.; Sułek, A.; Kalisz, S.; Sujka, K. Effect of the addition of dried dandelion roots (Taraxacum officinale f. h. wigg.) on wheat dough and bread properties. Molecules 2021, 26, 7564. [Google Scholar] [CrossRef]
- Wirkijowska, A.; Zarzycki, P.; Sobota, A.; Nawrocka, A.; Blicharz-Kania, A.; Andrejko, D. The possibility of using by-products from the flaxseed industry for functional bread production. LWT Food Sci. Technol. 2020, 118, 108860. [Google Scholar] [CrossRef]
- Raczyk, M.; Kruszewski, B.; Michałowska, D. Effect of coconut and chestnut flour supplementations on texture, nutritional and sensory properties of baked wheat based bread. Molecules 2021, 26, 4641. [Google Scholar] [CrossRef]
- Rathnayake, H.A.; Navaratne, S.B.; Navaratne, C.M. Porous Crumb Structure of Leavened Baked Products. Int. J. Food Sci. 2018, 2018, 8187318. [Google Scholar] [CrossRef]
- López, E.P.; Pérez, G.T.; de Erramouspe, P.L.J.; Cuevas, C.M. Effect of Brea Gum on the characteristics of wheat bread at different storage times. Food Sci. Technol. 2013, 33, 745–752. [Google Scholar] [CrossRef]
- Hu, Y.; Sun, H.; Mu, T. Effects of sweet potato leaf powder on sensory, texture, nutrition, and digestive characteristics of steamed bread. J. Food Process. Preserv. 2022, 46, e16697. [Google Scholar] [CrossRef]
- Bernaerta, N.; Debonne, E.; De Leyn, I.; Van Droogenbroeck, B.; Van Bockstaele, F. Incorporation of leek powder (Allium ampeloprasum var. porrum) in wheat bread: Technological implications, shelf life and sensory evaluation. LWT Food Sci. Technol. 2022, 153, 112517. [Google Scholar] [CrossRef]
- Haminiuk, C.W.I.; Maciel, G.M.; Plata-Oviedo, M.S.V.; Peralta, R.M. Phenolic compounds in fruits—An overview. Int. J. Food Sci. Technol. 2012, 47, 2023–2044. [Google Scholar] [CrossRef]
- Luo, W.; Zhao, M.; Yang, B.; Ren, J.; Shen, G.; Rao, G. Antioxidant and antiproliferative capacities of phenolics purified from Phyllanthus emblica L. fruit. Food Chem. 2011, 126, 277–282. [Google Scholar] [CrossRef]
- De Oliveira, V.S.; Chávez, D.W.H.; Paiva, P.R.F.; Gamallo, O.D.; Castro, R.N.; Sawaya, A.C.H.F.; Sampaio, G.R.; da Silva Torres, E.A.F.; Saldanha, T. Parsley (Petroselinum crispum Mill.): A source of bioactive compounds as a domestic strategy to minimize cholesterol oxidation during the thermal preparation of omelets. Food Res. Int. 2022, 156, 111199. [Google Scholar] [CrossRef]
- Munteanu, I.G.; Apetrei, C. Analytical methods used in determining antioxidant activity: A review. Int. J. Mol. Sci. 2021, 22, 3380. [Google Scholar] [CrossRef]
- Pereira, M.P.; Tavano, O.L. Use of Different Spices as Potential Natural Antioxidant Additives on Cooked Beans (Phaseolus vulgaris). Increase of DPPH Radical Scavenging Activity and Total Phenolic Content. Plant Foods Hum. Nutr. 2014, 69, 337–343. [Google Scholar] [CrossRef]
- Liberal, Â.; Fernandes, Â.; Polyzos, N.; Petropoulos, S.A.; Dias, M.I.; Pinela, J.; Petrović, J.; Soković, M.; Ferreira, I.C.F.R.; Barros, L. Bioactive properties and phenolic compound profiles of turnip-rooted, plain-leafed and curly-leafed parsley cultivars. Molecules 2020, 25, 5606. [Google Scholar] [CrossRef]
- Mara De Menezes Epifanio, N.; Rykiel Iglesias Cavalcanti, L.; Falcão Dos Santos, K.; Soares Coutinho Duarte, P.; Kachlicki, P.; Ozarowski, M.; Jorge Riger, C.; Siqueira De Almeida Chaves, D. Chemical characterization and in vivo antioxidant activity of parsley (Petroselinum crispum) aqueous extract. Food Funct. 2020, 11, 5346–5356. [Google Scholar] [CrossRef]
- Sany, H.; Said-Al Ahl, H.A.H.; Astatkie, T. Essential oil content, yield, and components from the herb, leaf, and stem of curly-leafed parsley at three harvest days. J. Cent. Eur. Agric. 2022, 23, 54–61. [Google Scholar] [CrossRef]




| Sample | Moisture | Protein | Ash | Fat | Fiber | Carbohydrates |
|---|---|---|---|---|---|---|
| WF * | 11.2 ± 0.1 A ** | 10.1 ± 0.13 B | 0.64 ± 0.05 A | 1.4 ± 0.1 A | 3.1 ± 0.1 A | 73.6 |
| PL | 11.2 ± 0.1 A | 10.9 ± 0.02 A | 8.8 ± 0.03 B | 3.4 ± 0.1 A | 14.8 ± 0.2 B | 50.9 |
| CB | 36.6 ± 0.1 a | 10.3 ± 0.1 a | 0.74 ± 0.01 a | 1.6 ± 0.0 a | 3.6 ± 0.2 a | 83.76 |
| PB1 | 37.0 ± 0.1 ab | 10.3 ± 0.2 ab | 0.96 ± 0.02 b | 1.6 ± 0.1 ab | 3.9 ± 0.3 a | 83.24 |
| PB2 | 37.3 ± 0.2 bc | 10.5 ± 0.2 ab | 1.12 ± 0.02 c | 1.7 ± 0.2 ab | 4.0 ± 0.3 b | 82.78 |
| PB3 | 37.5 ± 0.1 c | 10.6 ± 0.2 ab | 1.38 ± 0.01 d | 1.7 ± 0.2 ab | 4.3 ± 0.3 c | 82.02 |
| PB4 | 37.8 ± 0.0 d | 10.6 ± 0.1 b | 1.42 ± 0.02 e | 1.7 ± 0.2 ab | 4.6 ± 0.2 d | 81.68 |
| PB5 | 38.0 ± 0.1 e | 10.5 ± 0.2 ab | 1.56 ± 0.02 f | 1.9 ± 0.2 b | 4.9 ± 0.3 e | 81.14 |
| Sample | L* | a* | b* | TCD |
|---|---|---|---|---|
| CB * | 73.9 ± 1.11 e ** | 2.83 ± 0.62 d | 12.83 ± 0.48 a | - |
| PB1 | 66.1 ± 1.03 d | −0.37 ± 0.27 a | 16.87 ± 0.32 b | 9.3 |
| PB2 | 61.2 ± 0.34 c | −1.10 ± 0.19 b | 17.27 ± 1.02 b | 14.0 |
| PB3 | 56.2 ± 0.43 b | −1.67 ± 0.52 c | 19.37 ± 1.23 c | 19.4 |
| PB4 | 54.2 ± 1.71 ab | −2.63 ± 0.39 d | 17.90 ± 0.98 c | 21.1 |
| PB5 | 53.8 ± 2.30 a | 2.33 ± 0.22 cd | 18.13 ± 1.07 c | 21.4 |
| Sample | Hardness (N) | Springiness (-) | Gumminess (N) | Chewiness (Nmm) | Cohesiveness (N) |
|---|---|---|---|---|---|
| CB * | 8.2 ± 0.3 b ** | 0.83 ± 0.06 a | 3.4 ± 0.2 b | 2.8 ± 0.3 a | 0.41 ± 0.01 a |
| PB1 | 7.6 ± 0.6 b | 0.81 ± 0.09 a | 3.2 ± 0.1 ab | 2.5 ± 0.3 a | 0.42 ± 0.01 a |
| PB2 | 6.9 ± 0.5 ab | 0.82 ± 0.05 a | 2.7 ± 0.3 a | 2.2 ± 0.4 a | 0.43 ± 0.02 a |
| PB3 | 6.9 ± 0.4 ab | 0.82 ± 0.08 a | 3.1 ± 0.2 ab | 2.5 ± 0.4 a | 0.45 ± 0.02 a |
| PB4 | 6.2 ± 0.8 a | 0.87 ± 0.03 a | 3.0 ± 0.3 ab | 2.6 ± 0.3 a | 0.44 ± 0.03 a |
| PB5 | 7.8 ± 0.7 b | 0.85 ± 0.04 a | 3.7 ± 0.7 b | 3.1 ± 0.6 a | 0.42 ± 0.02 a |
| Sample | Appearance | Taste | Odor | Color | Texture | Overall |
|---|---|---|---|---|---|---|
| CB * | 6.5 ± 0.26 e ** | 6.5 ± 0.31 d | 6.0 ± 0.21 f | 6.5 ± 0.21d | 5.6 ± 0.17 a | 6.5 ± 0.29 e |
| PB1 | 5.7 ± 0.28 d | 6.1 ± 0.46 d | 5.6 ± 0.33 e | 5.8 ± 0.33 c | 5.8 ± 0.21 a | 6.1 ± 0.23 e |
| PB2 | 5.4 ± 0.59 c | 5.5 ± 0.32 c | 5.0 ± 0.29 d | 5.8 ± 0.29 b | 5.8 ± 0.15 a | 5.5 ± 0.22 d |
| PB3 | 5.0 ± 0.33 bc | 4.5 ± 0.26 b | 4.0 ± 0.31 c | 4.5 ± 0.31 a | 5.6 ± 0.14 a | 4.5 ± 0.19 c |
| PB4 | 4.6 ± 0.50 ab | 3.2 ± 0.31 a | 3.6 ± 0.22 b | 4.1 ± 0.22 a | 5.5 ± 0.22 a | 3.6 ± 0.35 b |
| PB5 | 4.5 ± 0.47 a | 3.0 ± 0.27 a | 2.7 ± 0.18 a | 3.8 ± 0.18 a | 5.6 ± 0.17 a | 2.9 ± 0.37 a |
Publisher’s Note: MDPI stays neutral with regard to jurisdictional claims in published maps and institutional affiliations. |
© 2022 by the authors. Licensee MDPI, Basel, Switzerland. This article is an open access article distributed under the terms and conditions of the Creative Commons Attribution (CC BY) license (https://creativecommons.org/licenses/by/4.0/).
Share and Cite
Dziki, D.; Hassoon, W.H.; Biernacka, B.; Gawlik-Dziki, U. Dried and Powdered Leaves of Parsley as a Functional Additive to Wheat Bread. Appl. Sci. 2022, 12, 7930. https://doi.org/10.3390/app12157930
Dziki D, Hassoon WH, Biernacka B, Gawlik-Dziki U. Dried and Powdered Leaves of Parsley as a Functional Additive to Wheat Bread. Applied Sciences. 2022; 12(15):7930. https://doi.org/10.3390/app12157930
Chicago/Turabian StyleDziki, Dariusz, Waleed H. Hassoon, Beata Biernacka, and Urszula Gawlik-Dziki. 2022. "Dried and Powdered Leaves of Parsley as a Functional Additive to Wheat Bread" Applied Sciences 12, no. 15: 7930. https://doi.org/10.3390/app12157930
APA StyleDziki, D., Hassoon, W. H., Biernacka, B., & Gawlik-Dziki, U. (2022). Dried and Powdered Leaves of Parsley as a Functional Additive to Wheat Bread. Applied Sciences, 12(15), 7930. https://doi.org/10.3390/app12157930

