Characterization of Underlying Twin Shield Tunnels Due to Foundation-Excavation Unloading in Soft Soils: An Experimental and Numerical Study
Abstract
:1. Introduction
2. Project Overview
3. Experimental Apparatus
3.1. Preparation and Procedure
3.2. Measurement Setup
4. Results and Discussion
4.1. Tunnel Deformation
4.2. Additional Earth Pressure
4.3. Tunnel Bending Moment
4.4. Tunnel Axial Force
5. Numerical Parametric Study on Tunnel Displacement
5.1. Numerical Program
5.2. Modeling and Validation
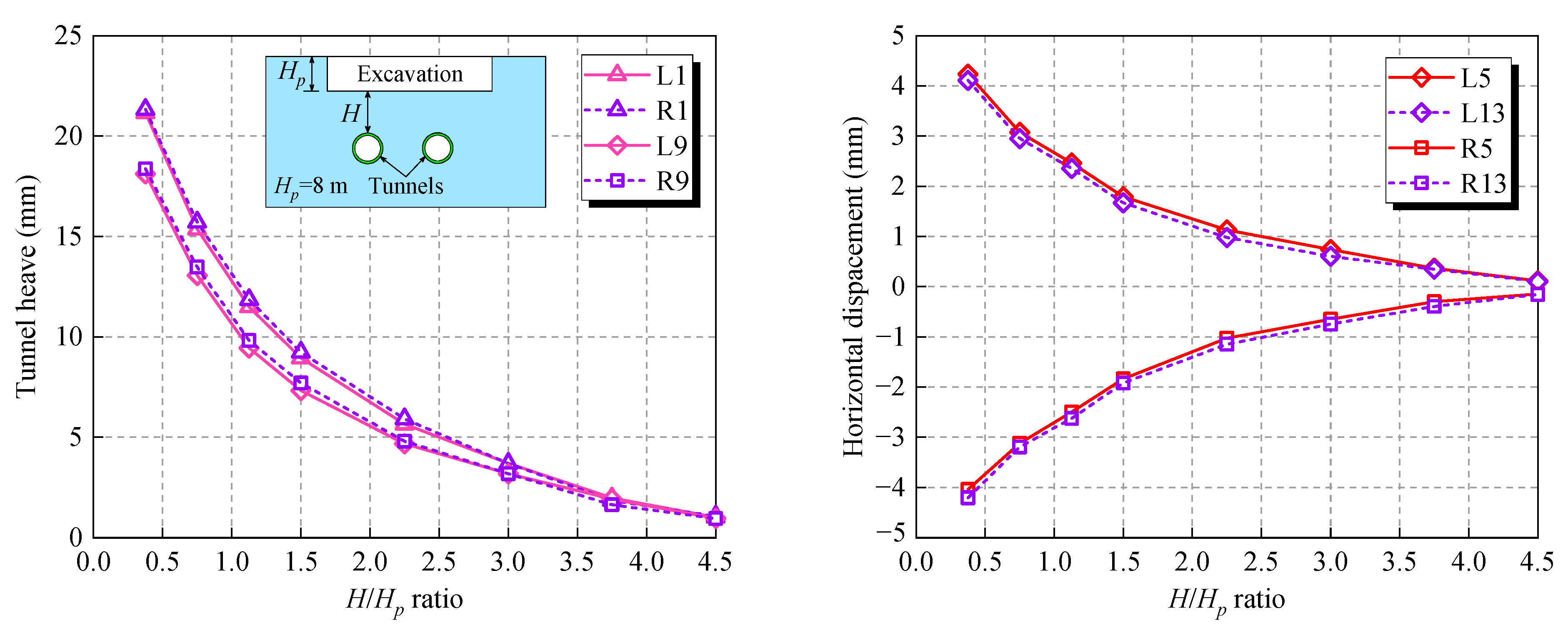
5.3. Effect of Cover-to-Depth Ratio
5.4. Effect of Length-to-Depth Ratio
5.5. Effect of Unloading Ratio
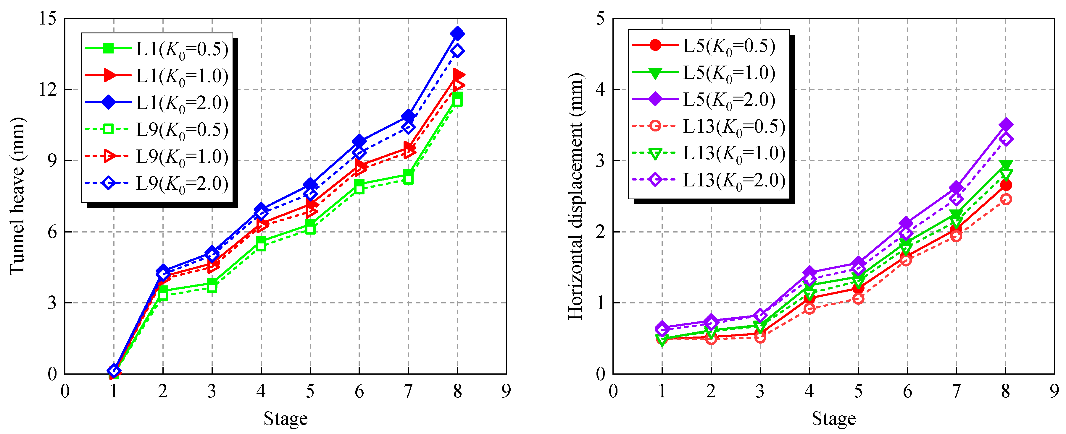
5.6. Effect of K0 (Horizontal/Vertical Stress Ratio)
6. Conclusions
- (1)
- As a result of the excavation, the tunnels undergo heaves and horizontal displacement, and the tunnel linings are placed in compression at the side walls and in tension at crown and invert. The changes of the earth pressure at tunnel crown and invert are significantly greater than that at side walls.
- (2)
- Excavation also causes significant changes in the axial forces and the bending moments at tunnel side walls, especially the tunnel-liner side near the foundation pit. So, it is recommended for designers to consider these effects and a more reserved capacity of tunnel liner while designing the tunnels in possible excavation areas, so as to ensure that these tunnels operate safely.
- (3)
- The parametric analysis confirms that the factors, including the cover depth of the tunnel, the length and unloading ratio of excavation as well as the lateral pressure coefficient, impose significant effects on tunnel displacement responses. Therefore, it is also suggested that these influential factors need to be fully considered during the design and construction of, or countermeasures employed to, an excavation adjacent to existing tunnels.
- (4)
- In this study, a reduced-scale experimental test was carried out to analyze excavation-associated issues, which is meaningful work in developing the research for underlying tunnel stability. It should also be noted that the reported findings do not consider the axis distortion effects resulting from the tunnel-soil interactions. For this purpose, further research on this subject will be conducted in order to more effectively evaluate the deformational and structural response of tunnels due to excavation activities.
Author Contributions
Funding
Institutional Review Board Statement
Informed Consent Statement
Data Availability Statement
Conflicts of Interest
References
- Lin, D.; Nelson, J.D.; Beecroft, M.; Cui, J.Q. An overview of recent developments in China’s metro systems. Tunn. Undergr. Space Technol. 2021, 111, 103783. [Google Scholar] [CrossRef]
- Xu, J.; Xiao, C.; Wu, H.N.; Kang, X. Reuse of excavated clayey silt in cement–fly ash–bentonite hybrid back-fill grouting during shield tunneling. Sustainability 2020, 12, 1017. [Google Scholar] [CrossRef] [Green Version]
- Zhu, Y.M.; Chen, L.; Zhang, H.; Tu, P.; Chen, S.G. Quantitative analysis of soil displacement induced by ground loss and shield machine mechanical effect in metro tunnel construction. Appl. Sci. 2019, 9, 3028. [Google Scholar] [CrossRef] [Green Version]
- Zhang, J.F.; Zhao, M. Monitoring system for circular deformation in metro shield tunnels in soft soils. Adv. Civ. Eng. 2020, 2020, 8886402. [Google Scholar] [CrossRef]
- Dias, D.; Kastner, R. Movements caused by the excavation of tunnels using face pressurized shields—Analysis of monitoring and numerical modeling results. Eng. Geol. 2013, 152, 17–25. [Google Scholar] [CrossRef]
- Liang, R.Z.; Xia, T.D.; Hong, Y.; Yu, F. Effects of above-crossing tunnelling on the existing shield tunnels. Tunn. Undergr. Space Technol. 2016, 58, 159–176. [Google Scholar] [CrossRef]
- Cooper, M.L.; Chapman, D.N.; Rogers, C.D.F.; Chan, A.H.C. Movements in the piccadilly line tunnels due to the Heathrow Express construction. Geotechnique 2002, 52, 243–257. [Google Scholar] [CrossRef]
- Tan, Y.; Li, X.; Kang, Z.J.; Liu, J.X.; Zhu, Y.B. Zoned excavation of an oversized pit close to an existing metro line in stiff clay: Case study. J. Perform. Constr. Facil. 2015, 29, 04014158. [Google Scholar] [CrossRef]
- Ng, C.W.; Shi, J.W.; Hong, Y. Three-dimensional centrifuge modelling of basement excavation effects on an existing tunnel in dry sand. Can. Geotech. J. 2013, 50, 874–888. [Google Scholar] [CrossRef]
- Liu, B.; Yu, Z.W.; Hang, Y.H.; Wang, Z.L.; Yang, S.; Liu, H. A simplified combined analytical method for evaluating the effect of deep surface excavations on the shield metro tunnels. Geomech. Eng. 2020, 23, 405–418. [Google Scholar] [CrossRef]
- Huang, X.; Schweiger, H.F.; Huang, H.W. Influence of deep excavations on nearby existing tunnels. Int. J. Geomech. 2013, 13, 170–180. [Google Scholar] [CrossRef]
- Huang, X.; Huang, H.W.; Zhang, D.M. Centrifuge modelling of deep excavation over existing tunnels. Proc. Inst. Civ. Eng. Geotech. Eng. 2014, 167, 3–18. [Google Scholar] [CrossRef]
- Zhang, J.F.; Chen, J.J.; Wang, J.H.; Zhu, Y.F. Prediction of tunnel displacement induced by adjacent excavation in soft soil. Tunn. Undergr. Space Technol. 2013, 36, 24–33. [Google Scholar] [CrossRef]
- Chen, R.P.; Meng, F.Y.; Li, Z.C.; Ye, Y.H.; Ye, J.N. Investigation of response of metro tunnels due to adjacent large excavation and protective measures in soft soils. Tunn. Undergr. Space Technol. 2016, 58, 224–235. [Google Scholar] [CrossRef] [Green Version]
- Zhang, X.H.; Wei, G.; Jiang, C.W. The study for longitudinal deformation of adjacent shield tunnel due to foundation pit excavation with consideration of the retaining structure deformation. Symmetry 2020, 12, 2103. [Google Scholar] [CrossRef]
- Li, M.G.; Xiao, X.; Wang, J.H.; Chen, J.J. Numerical study on responses of an existing metro line to staged deep excavations. Tunn. Undergr. Space Technol. 2019, 85, 268–281. [Google Scholar] [CrossRef]
- Avgerinos, V.; Potts, D.M.; Standing, J.R. Numerical investigation of the effects of tunnelling on existing tunnels. Géotechnique 2017, 67, 1–15. [Google Scholar] [CrossRef]
- Meng, F.Y.; Chen, R.P.; Liu, S.L.; Wu, H.N. Centrifuge modeling of ground and tunnel responses to nearby excavation in soft clay. J. Geotech. Geoenvironmental Eng. 2021, 147, 04020178. [Google Scholar] [CrossRef]
- Zhang, X.M.; Ou, X.F.; Yang, J.S.; Fu, J.Y. Deformation response of an existing tunnel to upper excavation of foundation pit and associated dewatering. Int. J. Geomech. 2017, 17, 04016112. [Google Scholar] [CrossRef]
- Sun, H.S.; Chen, Y.D.; Zhang, J.H.; Kuang, T.S. Analytical investigation of tunnel deformation caused by circular foundation pit excavation. Comput. Geotech. 2019, 106, 193–198. [Google Scholar] [CrossRef]
- Meng, F.Y.; Chen, R.P.; Xu, Y.; Wu, K.; Wu, H.N.; Liu, Y. Contributions to responses of existing tunnel subjected to nearby excavation: A review. Tunn. Undergr. Space Technol. 2022, 119, 104195. [Google Scholar] [CrossRef]
- Li, M.G.; Chen, J.J.; Wang, J.H.; Zhu, Y.F. Comparative study of construction methods for deep excavations above shield tunnels. Tunn. Undergr. Space Technol. 2018, 71, 329–339. [Google Scholar] [CrossRef]
- Ng, C.W.W.; Shi, J.W.; Masin, D.; Sun, H.S.; Lei, G.H. Influence of sand density and retaining wall stiffness on three-dimensional responses of tunnel to basement excavation. Can. Geotech. J. 2015, 52, 1811–1829. [Google Scholar] [CrossRef]
- Liu, T.J.; Chen, S.W.; Liu, H.Y. Deformation characterisation and distress diagnosis of a metro shield tunnel by adjacent constructions. Adv. Civ. Eng. 2020, 2020, 4216349. [Google Scholar] [CrossRef]
- Sharma, J.S.; Hefny, A.M.; Zhao, J.; Chan, C.W. Effect of large excavation on deformation of adjacent MRT tunnels. Tunn. Undergr. Space Technol. 2001, 16, 93–98. [Google Scholar] [CrossRef]
- Zhang, Z.G.; Huang, M.S.; Wang, W.D. Evaluation of deformation response for adjacent tunnels due to soil unloading in excavation engineering. Tunn. Undergr. Space Technol. 2013, 38, 244–253. [Google Scholar] [CrossRef]
- Han, J.Y.; Zhao, W.; Jia, P.J.; Guan, Y.P.; Chen, Y.; Jiang, B.F. Risk analysis of the opening of shield-tunnel circumferential joints induced by adjacent deep excavation. J. Perform. Constr. Facil. 2018, 32, 04017123. [Google Scholar] [CrossRef]
- Zheng, G.; Yang, X.Y.; Zhou, H.Z.; Du, Y.M.; Sun, J.Y.; Yu, X.X. A simplified prediction method for evaluating tunnel displacement induced by laterally adjacent excavations. Comput. Geotech. 2018, 95, 119–128. [Google Scholar] [CrossRef]
- Doležalová, M. Tunnel complex unloaded by a deep excavation. Comput. Geotech. 2001, 28, 469–493. [Google Scholar] [CrossRef]
- Zheng, G.; Du, Y.M.; Cheng, X.S.; Diao, Y.; Deng, X.; Wang, F.J. Characteristics and prediction methods for tunnel deformations induced by excavations. Geomech. Eng. 2017, 12, 361–397. [Google Scholar] [CrossRef]
- Liang, R.Z.; Xia, T.D.; Huang, M.S.; Lin, C.G. Simplified analytical method for evaluating the effects of adjacent excavation on shield tunnel considering the shearing effect. Comput. Geotech. 2017, 81, 167–187. [Google Scholar] [CrossRef]
- Hu, X.R.; Zhou, Z.G.; Chen, H.; Ren, Y.Q. Seismic fragility analysis of tunnels with different buried depths in a soft soil. Sustainability 2020, 12, 892. [Google Scholar] [CrossRef] [Green Version]
- Yang, A.L. Research on Influence of Existing Tunnel Deformation Caused by Foundation Pit Excavation above Subway. Master’s Thesis, Henan University of Technology, Zhengzhou, China, 2020. [Google Scholar]
- Fumagalli, E. Statical and Geomechanical Models; Springer: Vienna, Austria, 1973. [Google Scholar]
- Liu, J.; Feng, X.T.; Ding, X.L.; Zhang, J.; Yue, D.M. Stability assessment of the Three-Gorges Dam foundation, China, using physical and numerical modeling-Part I: Physical model tests. Int. J. Rock Mech. Min. Sci. 2003, 40, 609–631. [Google Scholar] [CrossRef]
- Fumagalli, E. Geomechanical models of dam foundation. In Proceedings of the International Colloquium on Physical Geo-Mechanical Models, Bergamo, Italy, 29–30 March 1979. [Google Scholar]
- Zhang, Q.Y.; Li, S.C.; Li, Y.; Chen, X.G. New Methods, Techniques and Engineering Applications of Underground Engineering Modeling Tests; Science Press: Beijing, China, 2012; pp. 6–14. [Google Scholar]
- Reza, B.A.; Vojtech, G. 3D numerical parametric study of the influence of open-pit mining sequence on existing tunnels. Tunn. Undergr. Space Technol. 2017, 27, 459–466. [Google Scholar] [CrossRef]
- Hejazi, Y.; Dias, D.; Kastner, R. Impact of constitutive models on the numerical analysis of underground constructions. Acta Geotech. 2008, 3, 251–258. [Google Scholar] [CrossRef]



















| Soil Deposits | γ (kN/m3) | E (MPa) | c (kPa) | φ (°) | μ | t (m) | Mass Ratio | ||||||
|---|---|---|---|---|---|---|---|---|---|---|---|---|---|
| p | m | p | m | p | m | p | m | p | m | p | m | ||
| Backfilling | 17.8 | 17.8 | 17.8 | 0.89 | 19.6 | 0.98 | 24.0 | 24.0 | 0.30 | 0.30 | 1.5 | 0.075 | BP:BT:GP:LM = 10:8:1:1 |
| Silt | 19.6 | 19.6 | 19.6 | 0.98 | 20.0 | 1.0 | 24.0 | 24.0 | 0.31 | 0.31 | 17.0 | 0.85 | BP:BT:GP:LM = 15:8:1:2 |
| Silty clay | 19.8 | 19.8 | 19.8 | 0.99 | 22.0 | 1.1 | 31.6 | 31.6 | 0.30 | 0.30 | 20.0 | 1.0 | BP:BT:GP:LM = 16:8:1:2 |
| Type | Monitoring Points | Value | Ratio (%) | |
|---|---|---|---|---|
| Before | After | |||
| Vertical | L1 | 182.41 | 58.27 | 31.94 |
| L9 | 229.91 | 83.47 | 36.31 | |
| R1 | 185.41 | 55.21 | 29.78 | |
| R9 | 226.20 | 91.75 | 40.56 | |
| Horizontal | L5 | 107.17 | 52.51 | 48.99 |
| L13 | 106.84 | 53.86 | 50.41 | |
| R5 | 99.81 | 48.03 | 48.12 | |
| R13 | 100.24 | 44.57 | 44.46 | |
| Parametric Setup for Influence of H/He Ratio | Parametric Setup for Influence of B/He Ratio | Parametric Setup for Influence of Unloading Ratio | |||||||
|---|---|---|---|---|---|---|---|---|---|
| H/m | Hp/m | H/Hp Ratio | Lp/m | Wp/m | Lp/Hp Ratio | Ct/m | Dt/m | Ct/Dt Ratio | Unloading Ratio |
| 3 | 8 | 0.375 | 8 | 20 | 1 | 11 | 6 | 1.83 | 0.18–0.72 |
| 6 | 0.75 | 16 | 2 | 14 | 2.33 | 0.14–0.56 | |||
| 9 | 1.125 | 24 | 3 | 17 | 2.83 | 0.12–0.47 | |||
| 12 | 1.5 | 32 | 4 | 20 | 3.33 | 0.1–0.4 | |||
| 18 | 2.25 | 40 | 5 | 26 | 4.33 | 0.077–0.308 | |||
| 24 | 3 | 48 | 6 | 32 | 5.33 | 0.0625–025 | |||
| 30 | 3.75 | 56 | 7 | 38 | 6.33 | 0.053–0.211 | |||
| Material | γ (kN/m3) | E (GPa) | μ |
|---|---|---|---|
| Diaphragm wall | 22.54 | 28.0 | 0.2 |
| Steel support | 78.5 | 206.0 | 0.2 |
| Segment liner | 25.0 | 34.5 | 0.2 |
Publisher’s Note: MDPI stays neutral with regard to jurisdictional claims in published maps and institutional affiliations. |
© 2021 by the authors. Licensee MDPI, Basel, Switzerland. This article is an open access article distributed under the terms and conditions of the Creative Commons Attribution (CC BY) license (https://creativecommons.org/licenses/by/4.0/).
Share and Cite
Cheng, X.; Hong, T.; Lu, Z.; Cheng, X. Characterization of Underlying Twin Shield Tunnels Due to Foundation-Excavation Unloading in Soft Soils: An Experimental and Numerical Study. Appl. Sci. 2021, 11, 10938. https://doi.org/10.3390/app112210938
Cheng X, Hong T, Lu Z, Cheng X. Characterization of Underlying Twin Shield Tunnels Due to Foundation-Excavation Unloading in Soft Soils: An Experimental and Numerical Study. Applied Sciences. 2021; 11(22):10938. https://doi.org/10.3390/app112210938
Chicago/Turabian StyleCheng, Xiaodong, Tianqiu Hong, Zhitang Lu, and Xiaochun Cheng. 2021. "Characterization of Underlying Twin Shield Tunnels Due to Foundation-Excavation Unloading in Soft Soils: An Experimental and Numerical Study" Applied Sciences 11, no. 22: 10938. https://doi.org/10.3390/app112210938
APA StyleCheng, X., Hong, T., Lu, Z., & Cheng, X. (2021). Characterization of Underlying Twin Shield Tunnels Due to Foundation-Excavation Unloading in Soft Soils: An Experimental and Numerical Study. Applied Sciences, 11(22), 10938. https://doi.org/10.3390/app112210938

