Model-Based Methods to Produce Greener Metakaolin Composite Concrete
Abstract
:Featured Application
Abstract
1. Introduction
2. The Strength Evaluation Model
2.1. A Hydration-Based Strength Model of Composite Concrete
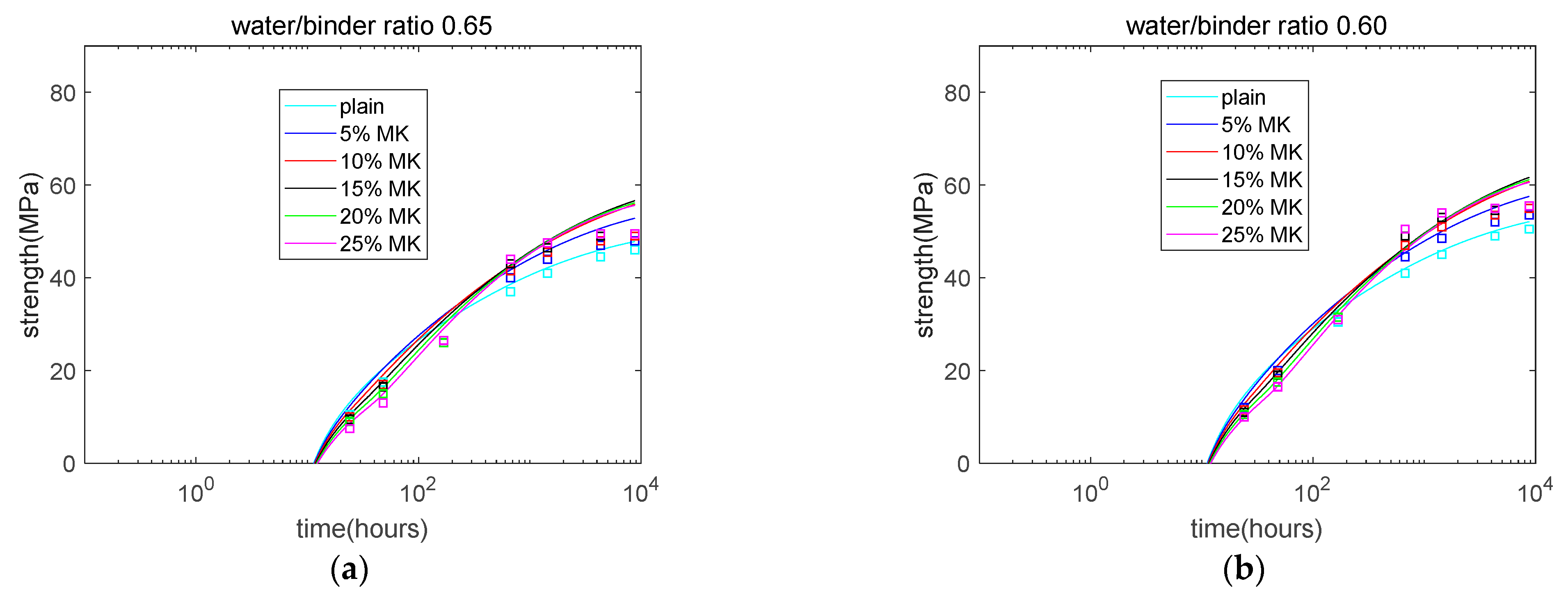
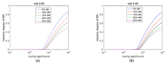
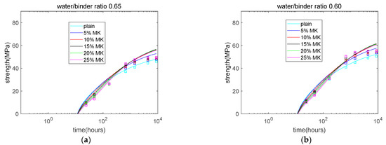
2.2. Verification of the Strength Evaluation Model
3. The Sustainability Evaluation Model and Methods for Achieving Sustainability
3.1. The Sustainability Evaluation Model
3.2. Methods for Achieving Sustainability
4. Discussion
5. Conclusions
Author Contributions
Funding
Institutional Review Board Statement
Informed Consent Statement
Data Availability Statement
Conflicts of Interest
References
- Wong, H.S.; Abdul Razak, H. Efficiency of calcined kaolin and silica fume as cement replacement material for strength performance. Cem. Concr. Res. 2005, 35, 696–702. [Google Scholar] [CrossRef] [Green Version]
- Sharifi, Y.; Hosseinpour, M. Adaptive neuro-fuzzy inference system and stepwise regression for compressive strength assessment of concrete containing metakaolin. Iran Univ. Sci. Technol. 2019, 9, 251–272. [Google Scholar]
- Abdul Razak, H.; Wong, H.S. Strength estimation model for high-strength concrete incorporating metakaolin and silica fume. Cem. Concr. Res. 2005, 35, 688–695. [Google Scholar] [CrossRef] [Green Version]
- Papadakis, V.G.; Demis, S. Predictive modeling of concrete compressive strength based on cement strength class. Comput. Concr. 2013, 11, 587–602. [Google Scholar] [CrossRef]
- Badogiannis, E.; Aggeli, E.; Papadakis, V.G.; Tsivilis, S. Evaluation of chloride-penetration resistance of metakaolin concrete by means of a diffusion—Binding model and of the k-value concept. Cem. Concr. Compos. 2015, 63, 1–7. [Google Scholar] [CrossRef]
- Sarıdemir, M. Predicting the compressive strength of mortars containing metakaolin by artificial neural networks and fuzzy logic. Adv. Eng. Softw. 2009, 40, 920–927. [Google Scholar] [CrossRef]
- Moradi, M.J.; Khaleghi, M.; Salimi, J.; Farhangi, V.; Ramezanianpour, A.M. Predicting the compressive strength of concrete containing metakaolin with different properties using ANN. Measurement 2021, 183, 109790. [Google Scholar] [CrossRef]
- Sharifi, Y.; Hosseinpour, M. Compressive Strength Assessment of Concrete Containing Metakaolin Using ANN. J. Rehabil. Civ. Eng. 2020, 8, 15–27. [Google Scholar] [CrossRef]
- Asteris, P.G.; Ashrafian, A.; Rezaie-Balf, M. Prediction of the compressive strength of self-compacting concrete using surrogate models. Comput. Concr. 2019, 24, 137–150. [Google Scholar] [CrossRef]
- Akin, O.O.; Ocholi, A.; Abejide, O.S.; Obari, J.A.; Zhang, C. Prediction of the Compressive Strength of Concrete Admixed with Metakaolin Using Gene Expression Programming. Adv. Civ. Eng. 2020, 2020, 8883412. [Google Scholar] [CrossRef]
- Busari, A. Response Surface Analysis of the Compressive Strength of Metakoalin Self-Compacting Concrete. Adv. Sci. Technol. Res. J. 2019, 13, 7–13. [Google Scholar] [CrossRef]
- Tae, S.; Baek, C.; Shin, S. Life cycle CO2 evaluation on reinforced concrete structures with high-strength concrete. Environ. Impact Assess. Rev. 2011, 31, 253–260. [Google Scholar] [CrossRef]
- Mena, J.; González, M.; Remesar, J.C.; Lopez, M. Developing a very high-strength low-CO2 cementitious matrix based on a multi-binder approach for structural lightweight aggregate concrete. Constr. Build. Mater. 2020, 234, 117830. [Google Scholar] [CrossRef]
- Possan, E.; Felix, E.F.; Thomaz, W.A. CO2 uptake by carbonation of concrete during life cycle of building structures. J. Build. Pathol. Rehabil. 2016, 1, 9. [Google Scholar] [CrossRef] [Green Version]
- Long, G.; Gao, Y.; Xie, Y. Designing more sustainable and greener self-compacting concrete. Constr. Build. Mater. 2015, 84, 301–306. [Google Scholar] [CrossRef]
- García-Gusano, D.; Cabal, H.; Lechón, Y. Long-term behaviour of CO2 emissions from cement production in Spain: Scenario analysis using an energy optimisation model. J. Clean. Prod. 2015, 99, 101–111. [Google Scholar] [CrossRef]
- Mane, K.M.; Joshi, A.M.; Kulkarni, D.K.; Prakash, K.B. Study of shrinkage characteristics of concrete made with pozzolanic materials and partly replacing River sand by MS. J. Build. Pathol. Rehabil. 2021, 6, 19. [Google Scholar] [CrossRef]
- Dawood, E.T.; Shawkat, A.S.; Abdullah, M.H. Flexural performance of ferrocement based on sustainable high-performance mortar. Case Stud. Constr. Mater. 2021, 15, e00566. [Google Scholar] [CrossRef]
- Konecny, P.; Ghosh, P.; Hrabova, K.; Lehner, P.; Teply, B. Effective methodology of sustainability assessment of concrete mixtures. Mater. Struct. 2020, 53, 98. [Google Scholar] [CrossRef]
- Badogiannis, E.; Papadakis, V.G.; Chaniotakis, E.; Tsivilis, S. Exploitation of poor Greek kaolins: Strength development of metakaolin concrete and evaluation by means of k-value. Cem. Concr. Res. 2004, 34, 1035–1041. [Google Scholar] [CrossRef]
- Wang, X.-Y. Analysis of Hydration-Mechanical-Durability Properties of Metakaolin Blended Concrete. Appl. Sci. 2017, 7, 1087. [Google Scholar] [CrossRef]
- Wang, X.-Y. Analysis of Hydration and Optimal Strength Combinations of Cement-Limestone-Metakaolin Ternary Composite. Adv. Mater. Sci. Eng. 2019, 2019, 8361810. [Google Scholar] [CrossRef] [Green Version]
- Wang, X.-Y.; Lee, H.-S. Microstructure modeling of carbonation of metakaolin blended concrete. Adv. Concr. Constr. 2019, 7, 167–174. [Google Scholar] [CrossRef]
- Maekawa, K.; Ishida, T.; Kishi, T. Multi-scale Modeling of Concrete Performance-Integrated Material and Structural Mechanics. J. Adv. Concr. Technol. 2003, 1, 91–126. [Google Scholar] [CrossRef] [Green Version]
- Poon, C.-S.; Lam, L.; Kou, S.C.; Wong, Y.-L.; Wong, R. Rate of pozzolanic reaction of metakaolin in high-performance cement pastes. Cem. Concr. Res. 2001, 31, 1301–1306. [Google Scholar] [CrossRef]
- Meddah, M.S.; Ismail, M.A.; El-Gamal, S.; Fitriani, H. Performances evaluation of binary concrete designed with silica fume and metakaolin. Constr. Build. Mater. 2018, 166, 400–412. [Google Scholar] [CrossRef]
- Lee, H.S.; Lim, S.M.; Wang, X.Y. Optimal Mixture Design of Low-CO2 High-Volume Slag Concrete Considering Climate Change and CO2 Uptake. Int. J. Concr. Struct. Mater. 2019, 13, 56. [Google Scholar] [CrossRef]
- Papadakis, V.G. Effect of fly ash on Portland cement systems: Part I. Low-calcium fly ash. Cem. Concr. Res. 1999, 29, 1727–1736. [Google Scholar] [CrossRef]
- Papadakis, V.G. Effect of fly ash on Portland cement systems: Part II. High-calcium fly ash. Cem. Concr. Res. 2000, 30, 1647–1654. [Google Scholar] [CrossRef]
- Soutsos, M.; Hatzitheodorou, A.; Kwasny, J.; Kanavaris, F. Effect of in situ temperature on the early age strength development of concretes with supplementary cementitious materials. Constr. Build. Mater. 2016, 103, 105–116. [Google Scholar] [CrossRef] [Green Version]
- Mohammed, A.; Rafiq, S.; Sihag, P.; Kurda, R.; Mahmood, W.; Ghafor, K.; Sarwar, W. ANN, M5P-tree and nonlinear regression approaches with statistical evaluations to predict the compressive strength of cement-based mortar modified with fly ash. J. Mater. Res. Technol. 2020, 9, 12416–12427. [Google Scholar] [CrossRef]
- Naqi, A.; Jang, J. Recent Progress in Green Cement Technology Utilizing Low-Carbon Emission Fuels and Raw Materials: A Review. Sustainability 2019, 11, 537. [Google Scholar] [CrossRef] [Green Version]
- Hameed, R.; Seo, J.; Park, S.; Amr, I.T.; Lee, H.K. CO2 Uptake and Physicochemical Properties of Carbonation-Cured Ternary Blend Portland Cement-Metakaolin-Limestone Pastes. Materials 2020, 13, 4656. [Google Scholar] [CrossRef]
- Scrivener, K.L.; John, V.M.; Gartner, E.M. Eco-efficient cements: Potential economically viable solutions for a low-CO2 cement-based materials industry. Cem. Concr. Res. 2018, 114, 2–26. [Google Scholar] [CrossRef]
- Wang, X.-Y. Impacts of climate change on optimal mixture design of blended concrete considering carbonation and chloride ingress. Front. Struct. Civ. Eng. 2020, 14, 473–486. [Google Scholar] [CrossRef]
- Madandoust, R.; Mousavi, S.Y. Fresh and hardened properties of self-compacting concrete containing metakaolin. Constr. Build. Mater. 2012, 35, 752–760. [Google Scholar] [CrossRef]
- Ramezanianpour, A.A.; Bahrami Jovein, H. Influence of metakaolin as supplementary cementing material on strength and durability of concretes. Constr. Build. Mater. 2012, 30, 470–479. [Google Scholar] [CrossRef]
- Lotteau, M.; Loubet, P.; Sonnemann, G. An analysis to understand how the shape of a concrete residential building influences its embodied energy and embodied carbon. Energy Build. 2017, 154, 1–11. [Google Scholar] [CrossRef]
- Babu, K.G.; Dinakar, P. Strength efficiency of metakaolin in concrete. Struct. Concr. 2006, 7, 27–31. [Google Scholar] [CrossRef]
- Shen, P.; Lu, L.; Chen, W.; Wang, F.; Hu, S. Efficiency of metakaolin in steam cured high strength concrete. Constr. Build. Mater. 2017, 152, 357–366. [Google Scholar] [CrossRef]
- Armaghani, D.J.; Asteris, P.G. A comparative study of ANN and ANFIS models for the prediction of cement-based mortar materials compressive strength. Neural Comput. Appl. 2021, 33, 4501–4532. [Google Scholar] [CrossRef]
- Lingam, A.; Karthikeyan, J. Prediction of compressive strength for HPC mixes containing different blends using ANN. Comput. Concr. 2014, 13, 621–632. [Google Scholar] [CrossRef]
- Kim, T.H.; Chae, C.U.; Kim, G.H.; Jang, H.J. Analysis of CO2 Emission Characteristics of Concrete Used at Construction Sites. Sustainability 2016, 8, 348. [Google Scholar] [CrossRef] [Green Version]
- Latawiec, R.; Woyciechowski, P.; Kowalski, K.J. Sustainable Concrete Performance—CO2-Emission. Environments 2018, 5, 27. [Google Scholar] [CrossRef] [Green Version]









| Water/ Binder | Binder (kg/m3) | Metakaolin Percentage (%) | Superplasticizer (% of Binder) | Sand (kg/m3) | 5 to10 mm Coarse Aggregate (kg/m3) | 10 to 20 mm Coarse Aggregate (kg/m3) | Water (kg/m3) |
|---|---|---|---|---|---|---|---|
| 0.65 | 285 | – | 0.24 | 730 | 400 | 800 | 185 |
| 5 | 0.38 | ||||||
| 10 | 0.58 | ||||||
| 15 | 0.77 | ||||||
| 20 | 1.15 | ||||||
| 25 | 1.54 | ||||||
| 0.60 | 310 | – | 0.13 | 710 | 400 | 800 | 185 |
| 5 | 0.26 | ||||||
| 10 | 0.43 | ||||||
| 15 | 0.69 | ||||||
| 20 | 1.04 | ||||||
| 25 | 1.30 | ||||||
| 0.52 | 355 | – | 0.11 | 670 | 400 | 800 | 185 |
| 5 | 0.39 | ||||||
| 10 | 0.50 | ||||||
| 15 | 0.80 | ||||||
| 20 | 1.15 | ||||||
| 25 | 1.45 | ||||||
| 0.45 | 410 | – | 0.21 | 625 | 400 | 800 | 185 |
| 5 | 0.42 | ||||||
| 10 | 0.67 | ||||||
| 15 | 0.84 | ||||||
| 20 | 1.18 | ||||||
| 25 | 1.55 |
| Items | CO2 (kg/kg) | Energy (MJ/kg) | Resource (kg/kg) |
|---|---|---|---|
| Metakaolin | 0.4 | 3.48 | 1.0 |
| Cement | 0.83 | 4.727 | 1.73 |
| Sand | 0.001 | 0.022 | 1.0 |
| Coarse aggregate | 0.007 | 0.113 | 1.0 |
| Water | 0.0003 | 0.006 | 0 |
| Superplasticizer | 0.72 | 18.3 | 0 |
Publisher’s Note: MDPI stays neutral with regard to jurisdictional claims in published maps and institutional affiliations. |
© 2021 by the authors. Licensee MDPI, Basel, Switzerland. This article is an open access article distributed under the terms and conditions of the Creative Commons Attribution (CC BY) license (https://creativecommons.org/licenses/by/4.0/).
Share and Cite
Park, K.-B.; Lin, R.-S.; Han, Y.; Wang, X.-Y. Model-Based Methods to Produce Greener Metakaolin Composite Concrete. Appl. Sci. 2021, 11, 10704. https://doi.org/10.3390/app112210704
Park K-B, Lin R-S, Han Y, Wang X-Y. Model-Based Methods to Produce Greener Metakaolin Composite Concrete. Applied Sciences. 2021; 11(22):10704. https://doi.org/10.3390/app112210704
Chicago/Turabian StylePark, Ki-Bong, Run-Sheng Lin, Yi Han, and Xiao-Yong Wang. 2021. "Model-Based Methods to Produce Greener Metakaolin Composite Concrete" Applied Sciences 11, no. 22: 10704. https://doi.org/10.3390/app112210704
APA StylePark, K.-B., Lin, R.-S., Han, Y., & Wang, X.-Y. (2021). Model-Based Methods to Produce Greener Metakaolin Composite Concrete. Applied Sciences, 11(22), 10704. https://doi.org/10.3390/app112210704

