Terahertz and Microwave Optical Properties of Single-Crystal Quartz and Vitreous Silica and the Behavior of the Boson Peak
Abstract
Featured Application
Abstract
1. Introduction
2. Materials and Methods
2.1. Material Samples
2.2. Terahertz Time-Domain Spectroscopy Measurements
2.3. Open Resonator Measurements
3. Results and Discussion
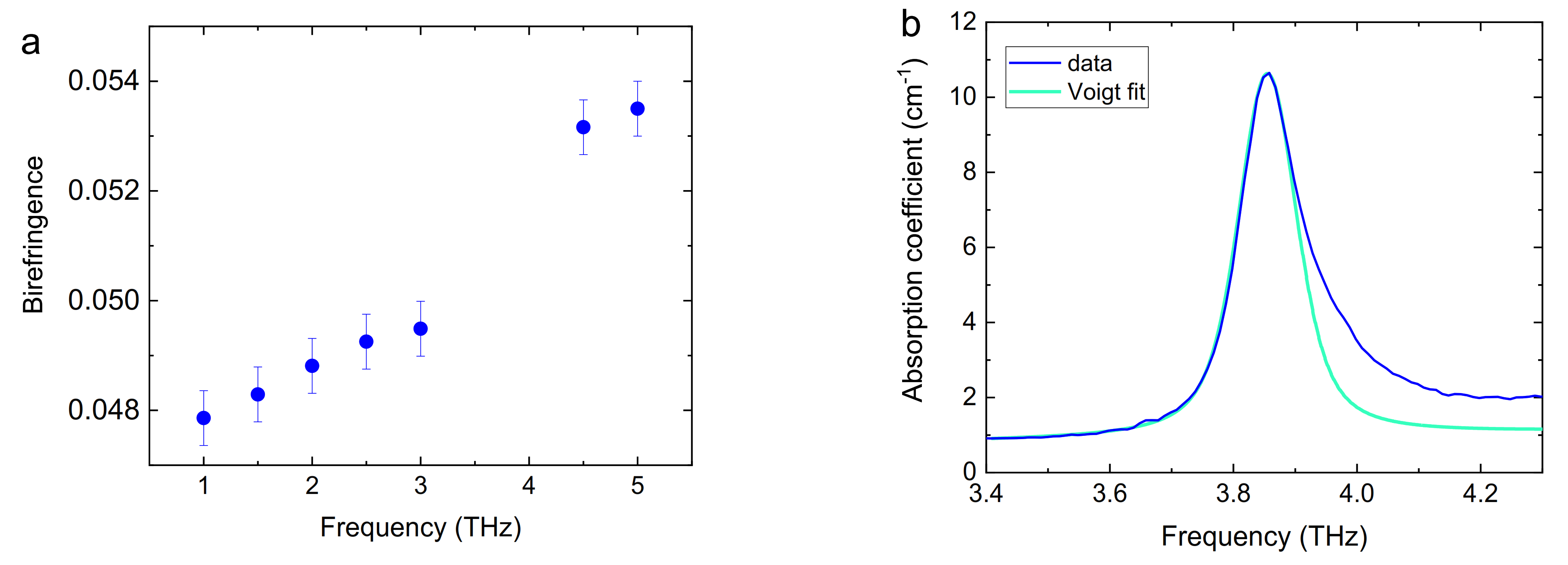
3.1. Single-Crystal Quartz
3.2. Vitreous Silica
4. Conclusions
Author Contributions
Funding
Institutional Review Board Statement
Informed Consent Statement
Conflicts of Interest
References
- Dhillon, S.S.; Vitiello, M.S.; Linfield, E.H.; Davies, A.; Hoffmann, M.; Booske, J.; Paoloni, C.; Gensch, M.; Weightman, P.; Williams, G.P.; et al. The 2017 terahertz science and technology roadmap. J. Phys. D Appl. Phys. 2017, 50. [Google Scholar] [CrossRef]
- Clarke, R.N.; Gregory, A.P.; Cannell, D.; Patrick, M.; Wylie, S.; Youngs, I.; Hill, G. Guide to the Characterisation of Dielectric Materials at RF and Microwave Frequencies; The Institute of Measurement and Control and The National Physical Laboratory: Teddington, UK, 2003; ISBN 0904457389. [Google Scholar]
- Russell, E.E.; Bell, E.E. Measurement of the Optical Constants of Crystal Quartz in the Far Infrared with the Asymmetric Fourier-Transform Method *. J. Opt. Soc. Am. 1967, 57, 341–348. [Google Scholar] [CrossRef]
- Loewenstein, V.E.; Smith, D.R.; Morgan, R.L. Optical constants of far infrared materials. 2: Crystalline solids. Appl. Opt. 1973, 12, 398–406. [Google Scholar] [CrossRef] [PubMed]
- Passchier, W.F.; Honijk, D.D.; Mandel, M.; Afsar, M.N. A new method for the determination of complex refractive index spectra of transparent solids in the far-infrared spectral region: Results of pure silicon and crystal quartz. J. Phys. D Appl. Phys. 1977, 10, 509–517. [Google Scholar] [CrossRef]
- Cummings, K.D.; Tanner, D.B. Far-infrared ordinary-ray optical constants of quartz. J. Opt. Soc. Am. 1980, 70, 123–126. [Google Scholar] [CrossRef]
- Grischkowsky, D.; Keiding, S.R.; Van Exter, M.; Fattinger, C. Far-infrared time-domain spectroscopy with terahertz beams of dielectrics and semiconductors. J. Opt. Soc. Am. B 1990, 7, 2006–2015. [Google Scholar] [CrossRef]
- Brehat, F.; Wyncke, B. Measurement of the optical constants of crystal quartz at 10 K and 300 K in the far infrared spectral range: 10–600 cm−1. Int. J. Infrared Millim. Waves 1997, 18, 1663–1679. [Google Scholar] [CrossRef]
- Wyncke, B.; Brehat, F.; Kharroubi, H. Spectroscopic studies of optical materials in the far infrared: The case of crystal quartz. Int. J. Infrared Millim. Waves 1997, 18, 475–489. [Google Scholar] [CrossRef]
- Castro-Camus, E.; Johnston, M.B. Extraction of the anisotropic dielectric properties of materials from polarization-resolved terahertz time-domain spectra. J. Opt. A Pure Appl. Opt. 2009, 11. [Google Scholar] [CrossRef][Green Version]
- Davies, C.L.; Patel, J.B.; Xia, C.Q.; Herz, L.M.; Johnston, M.B. Temperature-Dependent Refractive Index of Quartz at Terahertz Frequencies. J. Infrared Millim. Terahertz Waves 2018, 39, 1236–1248. [Google Scholar] [CrossRef]
- Takeya, K.; Ishizuki, H.; Taira, T. Quantitative Evaluation of Birefringence of Quartz Crystal in Terahertz Region. In Laser Applications Conference; Optical Society of America: Washington, DC, USA, 2020; p. JTh6A-20. [Google Scholar]
- Krupka, J.; Derzakowski, K.; Tobar, M.; Hartnett, J.; Geyer, R.G. Complex permittivity of some ultralow loss dielectric crystals at cryogenic temperatures. Meas. Sci. Technol. 1999, 10, 387–392. [Google Scholar] [CrossRef]
- Jones, R.G. The measurement of dielectric anisotropy using a microwave open resonator. J. Phys. D Appl. Phys. 1976, 9, 819–827. [Google Scholar] [CrossRef]
- Randall, C.M.; Rawcliffe, R.D. Refractive Indices of Germanium, Silicon, and Fused Quartz in the Far Infrared. Appl. Opt. 1967, 6, 1889–1895. [Google Scholar] [CrossRef]
- Bagdad, W.; Stolen, R. Far infrared absorption in fused quartz and soft glass. J. Phys. Chem. Solids 1968, 29, 2001–2008. [Google Scholar] [CrossRef]
- Wong, P.T.T.; Whalley, E. Infra-red and Raman spectra of glasses. Part 2—Far infra-red spectrum of vitreous silica in the range 100–15 cm–1. Discuss. Faraday Soc. 1970, 50, 94–102. [Google Scholar] [CrossRef]
- Parker, T.; Ford, J.; Chambers, W. The optical constants of pure fused quartz in the far-infrared. Infrared Phys. 1978, 18, 215–219. [Google Scholar] [CrossRef]
- Zhilinskii, P.A.; Gorchakov, A.P.; Egorova, T.S.; Miskinova, N.A. Optical characteristics of fused quartz in the far IR range. Opt. Spectrosc. 1987, 62, 783–784. [Google Scholar]
- Koike, C.; Hasegawa, H.; Asada, N.; Komatuzaki, T. Optical constants of fine particles for the infrared region. Mon. Not. R. Astron. Soc. 1989, 239, 127–137. [Google Scholar] [CrossRef][Green Version]
- Kojima, S.; Kitahara, H.; Nishizawa, S.; Yang, Y.; Takeda, M.W. Terahertz time-domain spectroscopy of low-energy excitations in glasses. J. Mol. Struct. 2005, 744–747, 243–246. [Google Scholar] [CrossRef]
- Kitamura, R.; Pilon, L.; Jonasz, M. Optical constants of silica glass from extreme ultraviolet to far infrared at near room temperature. Appl. Opt. 2007, 46, 8118–8133. [Google Scholar] [CrossRef]
- Tsuzuki, S.; Kuzuu, N.; Horikoshi, H.; Saito, K.; Yamamoto, K.; Tani, M. Influence of OH-group concentration on optical properties of silica glass in terahertz frequency region. Appl. Phys. Express 2015, 8, 72402. [Google Scholar] [CrossRef]
- Cataldo, G.; Wollack, E.; Brown, A.D.; Miller, K.H. Infrared dielectric properties of low-stress silicon oxide. Opt. Lett. 2016, 41, 1364–1367. [Google Scholar] [CrossRef]
- Afsar, M.N.; Kenneth, J.B. Precise Millimeter-Wave Measurements of Complex Refractive Index, Complex Dielectric Permittivity and Loss Tangent of GaAs, Si, SiO2, A12O3, BeO, Macor, and Glass. IEEE Trans. Microw. Theory Tech. 1983, 31, 217–223. [Google Scholar] [CrossRef]
- Mollá, J.; Ibarra, A. Radiation effects on the dielectric properties of fused silica. Nucl. Instrum. Methods Phys. Res. Sect. B Beam Interact. Mater. At. 2004, 218, 189–193. [Google Scholar] [CrossRef]
- Jepsen, P.U.; Cooke, D.G.; Koch, M. Terahertz spectroscopy and imaging-Modern techniques and applications. Laser Photon- Rev. 2010, 5, 124–166. [Google Scholar] [CrossRef]
- Neu, J.; Schmuttenmaer, C.A. Tutorial: An introduction to terahertz time domain spectroscopy (THz-TDS). J. Appl. Phys. 2018, 124, 231101. [Google Scholar] [CrossRef]
- Jones, R. Precise dielectric measurements at 35 GHz using an open microwave resonator. Proc. Inst. Electr. Eng. 1976, 123, 285. [Google Scholar] [CrossRef]
- Peiponen, K.-E.; Saarinen, J.J. Generalized Kramers–Kronig relations in nonlinear optical- and THz-spectroscopy. Rep. Prog. Phys. 2009, 72. [Google Scholar] [CrossRef]
- Fletcher, J.; Naftaly, M.; Molloy, J.; Andreev, Y.M.; Kokh, K.; Lanskii, G. Measurement of a phonon resonance in a GaSe crystal using THz free induction decay. Vib. Spectrosc. 2017, 92, 169–172. [Google Scholar] [CrossRef]
- Fox, M. Optical Properties of Solids; Oxford University Press: Oxford, UK, 2002; pp. 1269–1270. [Google Scholar]
- Withayachumnankul, W.; Fischer, B.M.; Abbott, D. Material thickness optimization for transmission-mode terahertz time-domain spectroscopy. Opt. Express 2008, 16, 7382–7396. [Google Scholar] [CrossRef] [PubMed]
- Baker-Jarvis, R.J.; Janezic, M.D.; Riddle, B.F.; Johnk, R.T.; Holloway, L.C.; Richard, G.G.; Chriss, A.G. Measuring the permittivity and permeability of lossy materials: Solids, liquids, metals, and negative-index materials. NIST Technol. Note 2005, 1536, 2004. [Google Scholar]
- Nakayama, T. Boson peak and terahertz frequency dynamics of vitreous silica. Rep. Prog. Phys. 2002, 65, 1195–1242. [Google Scholar] [CrossRef]
- Hutt, K.W.; Phillips, A.W.; Butcher, R.J. Far-infrared properties of dilute hydroxyl groups in an amorphous silica matrix. J. Phys. Condens. Matter 1989, 1, 4767–4772. [Google Scholar] [CrossRef]
- Ohsaka, T.; Oshikawa, S. Effect of OH content on the far-infrared absorption and low-energy states in silica glass. Phys. Rev. B 1998, 57, 4995–4998. [Google Scholar] [CrossRef]
- Ohsaka, T.; Shoji, T. Effect of OH Content on the Far-Infrared Absorption and Nature of the Boson Peak in Silica Glass. J. Phys. Soc. Jpn. 1999, 68, 2664–2668. [Google Scholar] [CrossRef]
- Mori, T.; Masubuchi, M.; Fujii, Y.; Kitani, S.; Kohara, S.; Hirata, A.; Tokoro, H.; Ohkoshi, S.-I.; Koreeda, A.; Kawaji, H.; et al. Boson Peak Investigation of Unusually Disproportionated Amorphous Silicon Monoxide via Terahertz Spectroscopy. In Proceedings of the 2020 45th International Conference on Infrared, Millimeter, and Terahertz Waves (IRMMW-THz), Buffalo, NY, USA, 8–13 November 2020; IEEE: New York City, NY, USA, 2020; pp. 1–2. [Google Scholar]











| Material | 36 GHz | 144 GHz | 1 THz | |||||||
|---|---|---|---|---|---|---|---|---|---|---|
| ε′ ±0.012 | δ (μrad) | RI ±0.003 | Abs (cm−1) × 10−3 | ε′ ±0.012 | δ (μrad) | RI ±0.003 | Abs (cm−1) × 10−3 | RI ±0.001 | Abs (cm−1) | |
| Q1 (o-ray) | 4.435 | 37 ± 12 | 2.105 | 0.6 ± 0.1 | 2.108 | 0.15 ± 0.08 | ||||
| A1 | 3.830 | 510 ± 40 | 1.957 | 7.6 ± 0.6 | 3.837 | 1370 ± 110 | 1.959 | 78 ± 6 | 1.953 | 2.5 ± 0.2 |
| A2 | 3.830 | 520 ± 40 | 1.957 | 7.7 ± 0.6 | 3.830 | 1400 ± 120 | 1.957 | 80 ± 6 | 1.953 | 2.7 ± 0.2 |
| B | 3.834 | 426 ± 30 | 1.958 | 6.3 ± 0.4 | 1.957 | 2.7 ± 0.2 | ||||
| C | 3.834 | 435 ± 30 | 1.958 | 6.4 ± 0.4 | 1.958 | 2.9 ± 0.2 | ||||
| D1 | 3.817 | 255 ± 20 | 1.954 | 3.8 ± 0.3 | 1.954 | 2.3 ± 0.2 | ||||
| D2 | 3.821 | 258 ± 20 | 1.955 | 3.8 ± 0.3 | 1.953 | 2.5 ± 0.2 | ||||
| D3 | 3.826 | 356 ± 20 | 1.956 | 5.3 ± 0.3 | 1.953 | 2.6 ± 0.2 | ||||
Publisher’s Note: MDPI stays neutral with regard to jurisdictional claims in published maps and institutional affiliations. |
© 2021 by the authors. Licensee MDPI, Basel, Switzerland. This article is an open access article distributed under the terms and conditions of the Creative Commons Attribution (CC BY) license (https://creativecommons.org/licenses/by/4.0/).
Share and Cite
Naftaly, M.; Gregory, A. Terahertz and Microwave Optical Properties of Single-Crystal Quartz and Vitreous Silica and the Behavior of the Boson Peak. Appl. Sci. 2021, 11, 6733. https://doi.org/10.3390/app11156733
Naftaly M, Gregory A. Terahertz and Microwave Optical Properties of Single-Crystal Quartz and Vitreous Silica and the Behavior of the Boson Peak. Applied Sciences. 2021; 11(15):6733. https://doi.org/10.3390/app11156733
Chicago/Turabian StyleNaftaly, Mira, and Andrew Gregory. 2021. "Terahertz and Microwave Optical Properties of Single-Crystal Quartz and Vitreous Silica and the Behavior of the Boson Peak" Applied Sciences 11, no. 15: 6733. https://doi.org/10.3390/app11156733
APA StyleNaftaly, M., & Gregory, A. (2021). Terahertz and Microwave Optical Properties of Single-Crystal Quartz and Vitreous Silica and the Behavior of the Boson Peak. Applied Sciences, 11(15), 6733. https://doi.org/10.3390/app11156733

