Abstract
In order to study the aerodynamic performance of the quadrotor with different rotor spacings in hover, experiments were performed together with numerical simulations. For experimental study, an experimental platform was designed to measure the thrust and power consumption of the quadrotor with different rotor spacings (L/R = 2.2, 2.6, 3.0, 3.2, 3.6, and 4.0), and to attempt to find out the optimal rotor configuration which makes the quadrotor have the best aerodynamic performance. In addition, the pressure distribution, vorticity of the blade tip, and velocity vector of quadrotor in the flow field were obtained by Computational Fluid Dynamics (CFD) method to visually analyze the aerodynamic interference between adjacent rotors. By the comparison of experimental results and numerical simulations, the final results show that the aerodynamic performance of the quadrotor varies obviously with the change of rotor spacing, and it has a negative impact on hover efficiency if rotor spacing is too much small or large. The rotors pacing at L/R = 3.6 with larger thrust and smaller power is considered to be the best aerodynamic configuration for the quadrotor with better aerodynamic characteristics. Furthermore, compared with the isolated rotor, moderate aerodynamic interference is proved to help improve the aerodynamic performance of the quadrotor with a larger thrust, especially for a rotor spacing at L/R = 3.6.
1. Introduction
Micro unmanned aerial vehicles (MAVs) have been predicted to be the next, emerging generation of aerospace systems, with many potential applications in both civilian and military missions [1,2,3,4,5]. Although MAVs offer numerous inherent utilities and exciting new capabilities, they also offer numerous challenges in design, stemming from their small scale. From aerodynamic performance to the number of moving parts, each MAV configuration faces design challenges. Especially for the typical rotary MAVs-quadrotor, rotor distribution can have a large impact on the vehicle’s capabilities. The main difficulty in achieving a better performance with multi-rotors comes from the large hover power requirements caused by strong rotor interference. Hover is an intrinsically high-power flight state with considerably larger energy requirements than cruise. If hover extends for a significant fraction of the mission duration, hover efficiency becomes a key vehicle characteristic that must be carefully addressed. Since rotor wakes will produce the phenomena of distortion, winding and crushing due to the induction between wakes, which affects the aerodynamic performance of the quadrotor aircraft, therefore, appropriate rotor spacing should be selected wisely to reduce aerodynamic interference for the structural design of the quadrotor aircraft [6,7].
Although much work involved with control ability has been performed on quadrotors, there existed scarce data on the aerodynamic performance of quadrotor. For the theoretical research, Yeong et al. [8] studied the propeller design of micro quadrotor aircraft by using computational fluid dynamics (CFD) method, and optimized the aerodynamic performance of the aircraft through the shear stress transfer K-Omega (SST K-Omega) turbulence model. Sankar et al. [9] used N-S equation and free wake method to solve the flow field of the rotor, and obtained a better simulation result with a relatively small calculation cost. Hwang et al. [10] conducted the numerical simulations both in hover and forward flight for the quadrotor aircraft. They found that the inflow caused by interaction between rotors during hover was higher than that of a single rotor, and the tip vortex and downwash flow of the upstream rotors would have a strong impact on the downstream rotors during forward flight. Wang et al. [11,12] analyzed and calculated the aerodynamic interference of the quadrotor aircraft in hover and forward flight through numerical simulation method, which provided theoretical basis for the overall aerodynamic layout design of the quadrotor aircraft.
In addition, as for experimental studies, Nguyen et al. [13] studied the aerodynamic characteristics of the quadrotor through wind tunnel tests. They found that the lift coefficient of the rear rotor was significantly reduced due to the interference effect of the front rotor on the rear rotor during forward flight. Narramore et al. [14] studied unsteady flow field and aerodynamic characteristics of tilting quadrotor aircraft based on sliding grid technology, and verified the reliability of the method through experiments. Kaya et al. [15] used momentum and blade element theory to deduce the expressions of forces and moments generated by the rotor, and verified them through wind tunnel tests. Aleksandrov et al. [16] analyzed the aerodynamic interference between rotors at different rotor spacing by experiment and CFD simulation, but the influence of aerodynamic interference on power is not considered. Lei et al. [17] studied the aerodynamic performance of coaxial rotor with different spacing and wind disturbance by wind tunnel tests. In [18], a test platform was designed to measure the thrust of the quadrotor under the influence of wind. These previous studies on quadrotor mainly used CFD method to study the effects of vortex and wake interference on aerodynamic performance, or to optimize the efficiency of the aircraft by measuring aerodynamic parameters in the experiment. However, the analysis of the aerodynamic performance of the quadrotor with different rotor spacings is not involved by both experiments and simulations. In response to this dearth of reliable information, a systematic, experimental investigation and numerical simulations should be conducted of the aerodynamic characteristics of quadrotor to obtain the optimal configuration considering different rotor spacings.
The structure of this paper is organized as follows. In Section 2, the aerodynamic interference model of quadrotor was established in details. In Section 3, the thrust and power are obtained by the experiments. In Section 4, CFD simulations are performed to study the flow field of the quadrotor with different rotor spacings. Finally, Section 5 provides the conclusions.
2. Aerodynamic Model of the Quadrotor Considering Rotor Interference
Compared with the isolated rotor, the intensity of aerodynamic interference between the adjacent rotors is determined by the rotor spacing. Considering that the interference is mainly caused by the rotor wake and interactions between the downwash flows, the stability and flight efficiency of the quadrotor is challenged in hover. Figure 1 shows the aerodynamic interference model of micro quadrotor aircraft.
Figure 1.
Aerodynamic interference model of micro quadrotor aircraft.
In the Figure 1, Ω, T and R are the rotational speed, the thrust and the radius of rotor. The distance between the rotating center of two adjacent rotors is L. And the thrust of quadrotor can be expressed as follows:
Figure of Merit (FM) can be used to measure the hover performance of rotor, and it is defined as follows:
where , , , , and are thrust coefficient, power coefficient, power, torque, air density, and the area of the rotor disk, respectively. The definitions of thrust and power coefficients are as follows:
In order to analyze the interference between adjacent rotors with different rotor spacings, a dimensionless quantity L/R is defined for rotor spacing, which is ranged from 2.2 to 4.0. In the next sections, a custom-designed experimental setup is applied to measure the thrust and power of the rotor, and then CFD methods are applied to simulate the flow field characteristics systematically. Finally, the optimal rotor configuration with better aerodynamic performance is obtained.
3. Experimental Study
3.1. Basic Parameters
The radius of the rotor applied in this study is 200 mm with a fixed chord length, which is manufactured by the Beijing Satellite Factory in China with carbon fiber and special manufacturing process. The specific parameters of rotor and the chord length variation are shown in Table 1 and Figure 2. Additionally, the rotational speed is between 1500 r/min and 2300 r/min, and the Reynolds number was ranged from to .
Table 1.
Rotor parameters.
Figure 2.
Rotor details: (a) Rotor profile; (b) chord length distribution.
3.2. Experimental Setup
The experimental setup is showed in the Figure 3.
Figure 3.
Sketch of the experimental setup.
In Figure 3, the rotor was driven by DC brushless motors (model: EM2835), the rotational speed was read by the tachometer (model: UT371, accuracy: (±0.04% ± 2 d)), and the thrust is measured by the thrust sensor (model: CZL-605, accuracy: 0.02% F.S). Additionally, all the measurements were recorded by a data acquisition connected to a computer. The experimental structure is simple without the redundant devices, all the hardware, software, and procedures were designed to ensure that high-quality, consistent data is being acquired which showed the ability to provide high quality repeatable data [19]. The detailed experimental procedure is given as follows: (1) Calibration for thrust sensors to avoid any changes in the calibration factors produced by preloading of the structure. (2) With the rotor running, 4 s of data were acquired from the transducers at a rate of 1000 samples/s from each transducer, and the values averaged to eliminate unsteady effects. (3) Each measurement run was repeated from 3 to 5 times, until the scatter in the measurements fell to acceptable levels. (4) The measurement values of the test variables from each run were converted into their non-dimensional coefficient forms to obtain the uncertainty in the value of the coefficient for that run.
3.3. Error Analysis
The main sources of error in the experiments are the standard deviations of the rotational speed and the mean voltages from the thrust sensors. Given that the calibration is repeated frequently throughout the test series, the drift is not a concern and is not included in the uncertainty of the thrust. The error of rotational speed is related to the number of rotor magnets. Hall Effect sensor with 24 magnets was used in experiments, which causes an error of by the number of times for a magnet passing over the Hall Effect sensor in 1 s. Additionally, the thrust sensor is with a accuracy of 0.02% F.S. Therefore, the error of , , and FM can be calculated by the Kline-McClintock equation. The equations are as follows:
By the Kline-McClintock equation, the average error value of , , and FM is 1.2%, 1.1%, and 1.5%, respectively.
3.4. Experimental Results and Discussion
Figure 4 shows the thrust increment of the quadrotor compared with four isolated rotors with different rotor spacing.
Figure 4.
Thrust increment of the quadrotor vs. isolated rotor.
It can be seen that the thrust of the quadrotor with different spacing is obviously higher than that of the four isolated rotors. Additionally, it is can be found that the thrust increment is relatively small when the rotor spacing is too small or too large. Additionally, it can be speculated that the strong aerodynamic interference or almost no interference between rotors will cause a loss of thrust for the quadrotor. Therefore, appropriate rotor spacing may reduce the aerodynamic interference between adjacent rotors, and also increase the thrust of the quadrotor. Actually, the quadrotor can obtain larger thrust at L/R = 3.2 and L/R = 3.6, where the largest thrust increment is 36.8% for L/R = 3.6 at 1500 RPM.
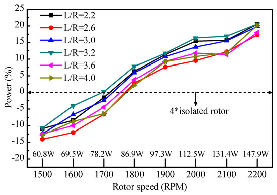
Figure 5 shows the power increment of the quadrotor compared with four isolated rotors with different rotor spacing.
Figure 5.
Power increment of the quadrotor vs. isolated rotor.
As showed in Figure 5, the power of the quadrotor increases gradually with rotational speed. When the rotational speed is lower than 1700 RPM, the power consumption of the quadrotor is smaller than that of the four isolated rotors. Combined with the Figure 4 and Figure 5, it can be found that although the quadrotor can obtain greater thrust at L/R = 3.2, it needs to consume more power compared with other rotor spacings. For the rotor spacing at L/R = 3.6, the quadrotor obtained a smaller power consumption with a larger thrust level.
Figure 6 shows the thrust and power of the quadrotor and the isolated rotor.
Figure 6.
Thrust and power distribution for quadrotor vs. isolated rotor.
It can be found that the thrust increases obviously with power, and the thrust of the quadrotor is much higher than that of the four isolated rotors with the same power consumption, which shows that moderate aerodynamic interference between rotors can effectively improve the thrust and obtain a better aerodynamic performance for the quadrotor.
In summary, based on the thrust and power distribution ranged from L/R = 2.2 to L/R = 4.0, the higher thrust with a lower power consumption is obtained at L/R = 3.6, where the quadrotor shows a better aerodynamic performance. In order to evaluate the aerodynamic characteristics of the quadrotor in the experiments, the Figure of Merit (FM) is showed in Figure 7.
Figure 7.
Variation of Figure of Merit (FM) with different RPM.
According to the definition of FM, it can be known that larger FM can be obtained with both large thrust and small power. From the Figure 7, it can be seen that the FM increased with rotor spacing until L/R = 3.6, where the performance decreased at L/R = 4.0. The main reason is the strong aerodynamic interference between adjacent rotors at a smaller rotor spacing, which not only increases the power, but also weakens the thrust of the quadrotor. Additionally, it is also interesting to note that the FM of L/R = 4.0 experienced a sudden drop at rotor speed ranged from 1800 to 1900 RPM. This may have resulted from the insufficient thrust from the collapse of the suction forces on the tip and the increase in vibration caused by the flow separation, which are relatively unsteady at this rotor spacing with a such long rotor arm, where the rotor is apt to have somewhat greater interaction with its own wake. This heightened interaction is reflected in the greater variability to decrease of FM. Additionally, L/R = 3.6 shared the largest FM, which is consistent with the analysis of thrust and power increment in the Figure 4 and Figure 5. Therefore, the quadrotor at L/R = 3.6 shows excellent hovering efficiency and aerodynamic characteristics.
4. Computational Fluid Dynamics (CFD) Simulations
4.1. Mesh Distribution
Considering the complexity of the aerodynamic interference for multi rotors, CFD simulations with ANSYS are applied to obtain the flow field distribution of multi-rotor system and provide visual figures to explain the experimental results. Transient flow solver, combining two algorithms: Pressure-Implicit with Splitting of Operators (PISO); and Semi-Implicit Method for Pressure-Linked Equations (SIMPLE); is used in simulations. The adjustable time step based on the dimensionless, and the second order discretization schemes are utilized for the time discretization and also for convection and diffusion terms. The meshing distribution is shown in the Figure 8. The total number of cells in meshing is about 2.38 million, which is divided into 5 regions, including a cylinder stationary region and 4 cylinder rotating regions.
Figure 8.
Mesh distribution.
4.2. Simulation Results of the Quadrotor
The pressure distribution around the rotor tip with the typical rotor spacing of L/R = 2.2, L/R = 2.6, L/R = 3.2, and L/R = 3.6 are shown in Figure 9.
Figure 9.
Pressure distribution: (a) L/R = 2.2; (b) L/R = 2.6; (c) L/R = 3.2; (d) L/R = 3.6.
Obviously, the pressure difference between the upper and lower surfaces of the rotor provides thrust for the rotors. Additionally, the pressure difference on the rotor surface at smaller rotor spacing L/R = 2.2 and L/R = 2.6 lead to a stronger aerodynamic interference between adjacent rotors. Especially, for L/R = 3.6, the pressure difference is larger than other rotor spacings, which obtains larger thrust. Moreover, the pressure difference decreased when rotor spacings is larger than L/R = 3.6, which may be due to the decreased interference between the rotors.
Figure 10 shows the velocity distribution between adjacent rotors with different rotor spacing.
Figure 10.
Velocity distribution: (a) L/R = 2.2; (b) L/R = 3.2; (c) L/R = 3.6.
As shown in the figure, the velocity is larger near the rotor surface, and there is strong aerodynamic interference between adjacent rotors at L/R = 2.2. The downwash flows attract and interact with each other, which may increase more power consumption. Moreover, the aerodynamic interference between downwash flows decreases gradually with the increase of rotor spacing, and the interference is much weaker at L/R = 3.6. Therefore, according to the analysis in Figure 4 and Figure 5, it illustrates that appropriate rotor spacing with moderate interference can bring larger thrust or lower power consumption for the quadrotor.
Figure 11 shows the velocity vector distribution of adjacent rotors with different rotor spacing.

Figure 11.
Velocity vector distribution: (a) L/R = 2.2; (b) L/R = 3.2; (c) L/R = 3.6; (d) L/R = 4.0.
It can be seen that the vortex is formed under the oblique part of the blades, circling along the circumferential direction. With the increase of rotor spacing, the interaction between rotors is weakened and the vortices under the rotor gradually expand outwards, eventually forming a large vortex from the bottom to the top of rotor. Additionally, it is clear that the vortex is larger and more widely distributed at L/R = 3.6 and L/R = 4.0 compared with other rotor spacing, which may bring smaller power consumption for the quadrotor.
Figure 12 shows the vorticity distribution of the quadrotor with different rotor spacing.
Figure 12.
Vorticity distribution: (a) L/R = 2.2; (b) L/R = 2.6; (c) L/R = 3.6.
It can be found that the vorticity interacts with each other at L/R = 2.2, which causes the vortex to be damaged, resulting in deformation. As the rotor spacing increases, vorticity interference is much weaker. For the rotor spacing at L/R = 3.6, the vortex maintains a complete shape without interaction, which may bring larger thrust and smaller power. However, if the rotor spacing is further extended, the extra power consumption may be introduced with longer rotor arm support.
5. Conclusions
In this paper, the aerodynamic performance of the quadrotor with rotor spacing L/R varying from 2.2 to 4.0 was studied by both experiments and numerical simulations. The interaction between the rotor systems is obtained with instantaneous thrust and power, the pressure, velocity vector, and vorticity of the quadrotor. It proves that the aerodynamic performance of the quadrotor was indeed much improved by changing rotor spacing. Conclusions of this paper are as follows:
- (1)
- Compared with the isolated rotor without interference, the thrust of the quadrotor system is obviously increased with varied rotor spacing, which illustrates that the moderate aerodynamic interference between adjacent rotors can improve the overall hover efficiency of the quadrotor. The quadrotor has larger thrust at L/R = 3.2 and L/R = 3.6 comparing with other rotor spacing, and the largest increment of thrust is about 36.8% at L/R = 3.2.
- (2)
- Small rotor spacing will decrease the aerodynamic performance of the quadrotor due to the strong aerodynamic interference between adjacent rotors, resulting in thrust loss and power increment. However, extra power consumption will be also introduced with a large rotor spacing.
- (3)
- The optimal rotor arrangement of the quadrotor is confirmed as L/R = 3.6 with a higher thrust and lower power consumption, where the Figure of Merit (FM) is also the achieved maximum.
- (4)
- A better aerodynamic performance of the quadrotor is obtained from CFD results, showing that an appropriate rotor spacing is characterized by larger pressure difference around the rotor tip and a relatively intact tip vortex as well.
Author Contributions
Y.L. carried out experiments and analyzed experimental results; H.W. wrote the manuscript with assistance of Y.L. All authors have read and agree to the published version of the manuscript.
Funding
This research was supported by the National Natural Science Foundation of China (Grant No. 51505087), Fuzhou University Jinjiang Science and Education Park (No. 2019-JJFDKY-59) and Fujian Provincial Industrial Robot Basic Components Technology Research and Development Center (2014H21010011).
Acknowledgments
The authors thank the Key Laboratory of Fluid Power and Intelligent Electro-Hydraulic Control (Fuzhou University), Fujian Province University, and Fuzhou University Jinjiang Science and Education Park for applying the experimental field.
Conflicts of Interest
The authors declare no conflict of interest.
References
- Atmaca, M.; Cetin, B.; Yilmaz, E. CFD Analysis of Unmanned Aerial Vehicles (UAV) Moving in Flocks. ACTA Phys. Pol. A 2019, 135, 694–696. [Google Scholar] [CrossRef]
- Benedict, M.; Winslow, J.; Hasnain, Z. Experimental investigation of micro air vehicle scale helicopter rotor in hover. Int. J. Micro Air Vehic. 2015, 7, 231–255. [Google Scholar] [CrossRef]
- Lei, Y.; Wang, J. Aerodynamic Performance of Quadrotor UAV with Non-Planar Rotors. Appl. Sci. 2019, 9, 2779. [Google Scholar] [CrossRef]
- Ansari, U.; Bajodah, A.H.; Kada, B. Development and experimental investigation of a Quadrotor’s robust generalized dynamic inversion control system. Nonlinear Dyn. 2019, 96, 1541–1557. [Google Scholar] [CrossRef]
- Erginer, B.; Altug, E. Design and Implementation of a Hybrid Fuzzy Logic Controller for a Quadrotor VTOL Vehicle. Int. J. Control Auto. Syst. 2012, 10, 61–70. [Google Scholar] [CrossRef]
- Sunada, S.; Tanaka, K.; Kawashima, K. Maximization of thrust torque ratio of a coaxial rotor. J. Aircr. 2005, 42, 570–572. [Google Scholar] [CrossRef]
- Wen, S.; Han, J.; Ning, Z.; Lan, Y.; Yin, X.; Zhang, J. Numerical analysis and validation of spray distributions disturbed by quad-rotor drone wake at different flight speeds. Comput. Electron. Agr. 2019, 166, 105036. [Google Scholar] [CrossRef]
- Yeong, S.P.; Dol, S.S. Aerodynamic Optimization of Micro Aerial Vehicle. J. Appl. Fluid Mech. 2016, 9, 2111–2121. [Google Scholar] [CrossRef]
- Yang, Z.; Sankar, L.N.; Smith, M.J. Recent Improvements to a Hybrid Method for Rotors in Forward Flight. J. Aircr. 2002, 39, 804–812. [Google Scholar] [CrossRef]
- Hwang, J.Y.; Jung, M.K.; Kwon, O.J. Numerical study of aerodynamic performance of a multirotor unmanned-aerial-vehicle configuration. J. Aircr. 2015, 52, 839–846. [Google Scholar] [CrossRef]
- Wang, Q.; Zhao, Q. Rotor blade aerodynamic shape optimization based on high-efficient optimization method. Proc. Inst. Mech. Eng. Part G J. Aerosp. Eng. 2020, 234, 375–387, UNSP 0954410019865700. [Google Scholar] [CrossRef]
- Wang, C.; Tang, Z.; Xu, P. Numerical simulation of flow field and aerodynamic interference of quad-rotor UAV. Flight Dyn. 2018, 36, 83–87. [Google Scholar]
- Nguyen, D.; Liu, Y.; Mori, K. Experimental Study for Aerodynamic Performance of Quadrotor Helicopter. Trans. Jpn. Soc. Aeronaut. Space Sci. 2018, 61, 29–39. [Google Scholar] [CrossRef]
- Sheng, C.H.; Narramore, J.C. Computational simulation and analysis of bell boeing quad tiltrotor aero interaction. J. Am. Hel. Soc. 2009, 54, 42002. [Google Scholar] [CrossRef]
- Kaya, D.; Kutay, T. Aerodynamic Modeling and Parameter Estimation of a Quadrotor Helicopter. In Proceedings of the AIAA Atmospheric Flight Mechanics Conference, Atlanta, GA, USA, 16–20 June 2014. [Google Scholar]
- Aleksandrov, D.; Penkov, I. Optimization of lift force of mini quadrotor helicopter by changing of gap size between rotors. Solid State Pheno. 2013, 198, 226–231. [Google Scholar] [CrossRef]
- Lei, Y.; Bai, Y.; Xu, Z.; Gao, Q.; Zhao, C. An experimental investigation on aerodynamic performance of a coaxial rotor system with different rotor spacing and wind speed. Exp. Therm. Fluid Sci. 2013, 44, 779–785. [Google Scholar] [CrossRef]
- Song, Y.; Luo, B.; Meng, Q. A rotor-aerodynamics-based wind estimation method using a quadrotor. Meas. Sci. Technol. 2018, 29, 0258012. [Google Scholar] [CrossRef]
- Lei, Y.; Ji, Y.; Wang, C.; Bai, Y.; Xu, Z. Full-scale measurement on the aerodynamics of non-planar rotor pairs in a Hexacopter. J Mech Robot 2017, 9, 064502. [Google Scholar] [CrossRef]
© 2020 by the authors. Licensee MDPI, Basel, Switzerland. This article is an open access article distributed under the terms and conditions of the Creative Commons Attribution (CC BY) license (http://creativecommons.org/licenses/by/4.0/).