NMR Diffusiometry Spectroscopy, a Novel Technique for Monitoring the Micro-Modifications in Bitumen Ageing
Abstract
1. Introduction
2. Materials
2.1. Sample Preparation
2.2. Asphaltene and Maltene Separation (Modified Conventional Method)
3. Methodology
3.1. Rheological Characterization
- represents elastic and reversible energy;
- represents irreversible viscous dissipation of mechanical energy.
3.2. Optical Microscopy
3.3. Nuclear Magnetic Resonance (NMR) Characterization
3.4. Atomic Force Microscopy (AFM)
4. Results and Discussion
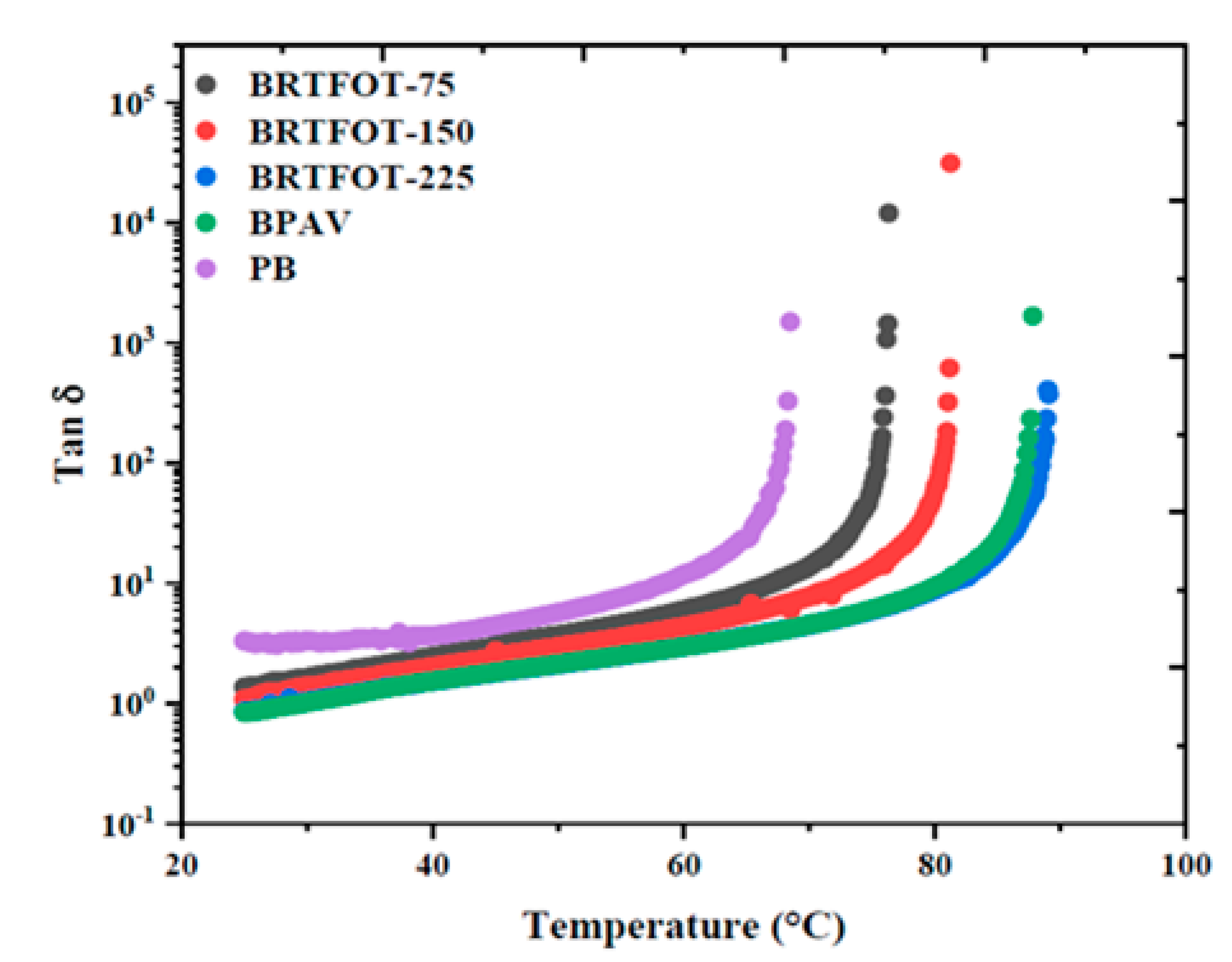
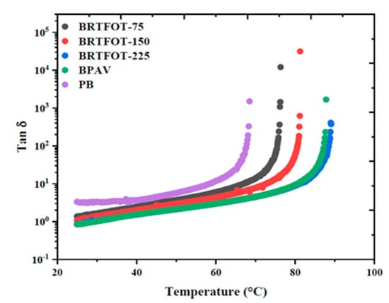
4.1. Rheology
4.2. Optical Microscopy
4.3. Fourier Transform NMR Self-Diffusion Coefficient Test
4.4. Atomic Force Microscopy (AFM)
5. Conclusions
Author Contributions
Funding
Conflicts of Interest
References
- Huang, S.C.; Di Benedetto, H. Advances in Asphalt Materials; Elsevier: Dordrecht, The Netherlands, 2015. [Google Scholar] [CrossRef]
- Speight, J.G. Asphalt Materials Science and Technology; Elsevier: Dordrecht, The Netherlands, 2016. [Google Scholar] [CrossRef]
- Fahim, M.A.; Alsahhaf, T.A.; Elkilani, A. Fundamentals of Petroleum Refining; Elsevier: Dordrecht, The Netherlands, 2010. [Google Scholar] [CrossRef]
- TH, B. The modern asphalt pavement. Nature 1905, 72, 316. [Google Scholar] [CrossRef][Green Version]
- Speight, J.G. The Chemistry and Technology of Petroleum; CRC Press: Boca Raton, FL, USA, 2014. [Google Scholar] [CrossRef]
- Fischer, K.A.; Schram, A. The constitution of asphaltic bitumen. In Proceedings of the 5th World Petroleum Congress, New York, NY, USA, 30 May–5 June 1959; pp. 259–271. [Google Scholar]
- Thurston, R.R.; Knowles, E.C. Asphalt and Its constituents. Oxidation at service temperatures. Ind. Eng. Chem. 1941, 33, 320–324. [Google Scholar] [CrossRef]
- Loise, V.; Caputo, P.; Porto, M.; Calandra, P.; Angelico, R.; Oliviero Rossi, C. A Review on bitumen rejuvenation: Mechanisms, materials, methods and perspectives. Appl. Sci. 2019, 9, 4316. [Google Scholar] [CrossRef]
- Tauste, R.; Moreno-Navarro, F.; Sol-Sánchez, M.; Rubio-Gámez, M.C. Understanding the bitumen ageing phenomenon: A review. Constr. Build. Mater. 2018, 192, 593–609. [Google Scholar] [CrossRef]
- Lesueur, D. The colloidal structure of bitumen: Consequences on the rheology and on the mechanisms of bitumen modification. Adv. Colloid Interface Sci. 2009, 145, 42–82. [Google Scholar] [CrossRef] [PubMed]
- Cautela, J.; Giustini, M.; Pavel, N.V.; Palazzo, G.; Galantini, L. Wormlike reverse micelles in lecithin/bile salt/water mixtures in oil. Colloids Surf. A Physicochem. Eng. Asp. 2017, 532, 411–419. [Google Scholar] [CrossRef]
- Calandra, P.; Giordano, C.; Ruggirello, A.; Turco Liveri, V. Physicochemical investigation of acrylamide solubilization in sodium bis(2-ethylhexyl)sulfosuccinate and lecithin reversed micelles. J. Colloid Interface Sci. 2004, 277, 206–214. [Google Scholar] [CrossRef]
- Calandra, P.; Longo, A.; Ruggirello, A.; Turco Liveri, V. Physico-chemical investigation of the state of cyanamide confined in AOT and lecithin reversed micelles. J. Phys. Chem. B 2004, 108, 8260–8268. [Google Scholar] [CrossRef]
- Calandra, P.; Di Marco, G.; Ruggirello, A.; Liveri, V.T. Physico-chemical investigation of nanostructures in liquid phases: Nickel chloride ionic clusters confined in sodium bis(2-ethylhexyl) sulfosuccinate reverse micelles. J. Colloid Interface Sci. 2009, 336, 176–182. [Google Scholar] [CrossRef]
- Longo, A.; Calandra, P.; Casaletto, M.P.; Giordano, C.; Venezia, A.M.; Liveri, V.T. Synthesis and physico-chemical characterization of gold nanoparticles softly coated by AOT. Mater. Chem. Phys. 2006, 96, 66–72. [Google Scholar] [CrossRef]
- Petersen, J.C. A Review of the Fundamentals of Asphalt Oxidation: Chemical, Physicochemical, Physical Property, and Durability Relationships; Transportation Research Board: Washington, DC, USA, 2009. [Google Scholar] [CrossRef]
- Ashimova, S.; Teltayev, B.; Oliviero Rossi, C.; Caputo, P.; Eskandarsefat, S. Organic-based recycling agents for road paving applications in cold-climate regions. Int. J. Pavement Eng. 2020, 1–9. [Google Scholar] [CrossRef]
- Caputo, P.; Loise, V.; Ashimova, S.; Teltayev, B.; Vaiana, R.; Oliviero Rossi, C. Inverse laplace transform (ILT) NMR: A powerful tool to differentiate a real rejuvenator and a softener of aged bitumen. Colloids Surf. A Physicochem. Eng. Asp. 2019, 574, 154–161. [Google Scholar] [CrossRef]
- European Committee for Standardization. EN 1427, Bitumen and Bituminous Binders—Determination of the Softening Point—Ring and Ball Method; European Committee for Standardization: Brussels, Belgium, 2015; p. 18. [Google Scholar]
- European Committee for Standardization. EN 1426, Bitumen and Bituminous Binders—Determination of Needle Penetration; European Committee for Standardization: Brussels, Belgium, 2007. [Google Scholar]
- European Committee for Standardization. EN 13302, Bitumen and Bituminous Binders—Determination of Dynamic Viscosity of Bituminous Binder Using a Rotating Spindle Apparatus; European Committee for Standardization: Brussels, Belgium, 2010; p. 16. [Google Scholar]
- Lin, J.; Hong, J.; Liu, J.; Wu, S. Investigation on physical and chemical parameters to predict long-term aging of asphalt binder. Constr. Build. Mater. 2016, 122, 753–759. [Google Scholar] [CrossRef]
- Yao, H.; Dai, Q.; You, Z. Fourier transform infrared spectroscopy characterization of aging-related properties of original and nano-modified asphalt binders. Constr. Build. Mater. 2015, 101, 1078–1087. [Google Scholar] [CrossRef]
- Hou, X.; Xiao, F.; Wang, J.; Amirkhanian, S. Identification of asphalt aging characterization by spectrophotometry technique. Fuel 2018, 226, 230–239. [Google Scholar] [CrossRef]
- Tanaka, R.; Sato, E.; Hunt, J.E.; Winans, R.E.; Sato, S.; Takanohashi, T. Characterization of asphaltene aggregates using X-ray diffraction and small-angle X-ray scattering. Energy Fuels 2004, 18, 1118–1125. [Google Scholar] [CrossRef]
- Caputo, P.; Loise, V.; Crispini, A.; Sangiorgi, C.; Scarpelli, F.; Oliviero Rossi, C. The efficiency of bitumen rejuvenator investigated through Powder X-ray Diffraction (PXRD) analysis and T2-NMR spectroscopy. Colloids Surfaces A Physicochem. Eng. Asp. 2019, 571, 50–54. [Google Scholar] [CrossRef]
- Lee, S.-J.; Amirkhanian, S.N.; Shatanawi, K.; Kim, K.W. Short-term aging characterization of asphalt binders using gel permeation chromatography and selected Superpave binder tests. Constr. Build. Mater. 2008, 22, 2220–2227. [Google Scholar] [CrossRef]
- Masson, J.-F.; Price, T.; Collins, P. Dynamics of bitumen fractions by thin layer chromatography/flame ionization detection. Energy Fuels 2001, 15, 955–960. [Google Scholar] [CrossRef]
- Allen, R.G.; Little, D.N.; Bhasin, A. Structural characterization of micromechanical properties in asphalt using atomic force microscopy. J. Mater. Civ. Eng. 2012, 24, 1317–1327. [Google Scholar] [CrossRef]
- Menapace, I.; Masad, E.; Papavassiliou, G.; Kassem, E. Evaluation of ageing in asphalt cores using low-field nuclear magnetic resonance. Int. J. Pavement Eng. 2016, 17, 847–860. [Google Scholar] [CrossRef]
- Pauli, G.F.; Jaki, B.U.; Lankin, D.C. Quantitative 1 H NMR: Development and potential of a method for natural products analysis §. J. Nat. Prod. 2005, 68, 133–149. [Google Scholar] [CrossRef] [PubMed]
- Cozzolino, S.; Galantini, L.; Leggio, C.; Pavel, N.V. Correlation between small-angle X-ray scattering spectra and apparent diffusion coefficients in the study of structure and interaction of sodium taurodeoxycholate micelles. J. Phys. Chem. B 2005, 109, 6111–6120. [Google Scholar] [CrossRef] [PubMed]
- Galantini, L.; Giglio, E.; Leonelli, A.; Pavel, N.V. An integrated study of small-Angle X-ray scattering and dynamic light scattering on cylindrical micelles of sodium glycodeoxycholate. J. Phys. Chem. B 2004, 108, 3078–3085. [Google Scholar] [CrossRef]
- Corain, B.; D’Archivio, A.A.; Galantini, L.; Lora, S.; Isse, A.A.; Maran, F. Electrochemical, pulsed-field-gradient spin-echo NMR spectroscopic, and ESR spectroscopic study of the diffusivity of molecular probes inside gel-type cross-linked polymers. Chem. A Eur. J. 2007, 13, 2392–2401. [Google Scholar] [CrossRef]
- Aroulanda, C.; Celebre, G.; De Luca, G.; Longeri, M. Molecular ordering and structure of quasi-spherical solutes by liquid crystal NMR and Monte Carlo simulations: The case of norbornadiene. J. Phys. Chem. B 2006. [Google Scholar] [CrossRef]
- Celebre, G.; Concistré, M.; De Luca, G.; Longeri, M.; Pileio, G. Intrinsic information content of NMR dipolar couplings: A conformational investigation of 1,3-Butadiene in a nematic phase. ChemPhysChem 2006, 7, 1930–1943. [Google Scholar] [CrossRef]
- Di Pietro, M.E.; Aroulanda, C.; Merlet, D.; Celebre, G.; De Luca, G. Conformational investigation in solution of a fluorinated anti-inflammatory drug by NMR spectroscopy in weakly ordering media. J. Phys. Chem. B 2014, 118, 9007–9016. [Google Scholar] [CrossRef]
- Angelico, R.; Ceglie, A.; Olsson, U.; Palazzo, G.; Ambrosone, L. Anomalous surfactant diffusion in a living polymer system. Phys. Rev. E 2006, 74, 031403. [Google Scholar] [CrossRef]
- Read, J.; Whiteoak, D.; Hunter, R.N. The Shell Bitumen Handbook, 5th ed.; Thomas Telford Ltd.: London, UK, 2003. [Google Scholar] [CrossRef]
- Oliviero Rossi, C.; Caputo, P.; De Luca, G.; Maiuolo, L.; Eskandarsefat, S.; Sangiorgi, C. 1H-NMR spectroscopy: A possible approach to advanced bitumen characterization for industrial and paving applications. Appl. Sci. 2018, 8, 229. [Google Scholar] [CrossRef]
- Barnes, H.A.; Hutton, J.F.; Walters, K. An Introduction to Rheology; Elsevier: Dordrecht, The Netherlands, 1989; Volume 3. [Google Scholar]
- Olsson, U.; Börjesson, J.; Angelico, R.; Ceglie, A.; Palazzo, G. Slow dynamics of wormlike micelles. Soft Matter 2010, 6, 1769–1777. [Google Scholar] [CrossRef]
- Oliviero Rossi, C.; Spadafora, A.; Teltayev, B.; Izmailova, G.; Amerbayev, Y.; Bortolotti, V. Polymer modified bitumen: Rheological properties and structural characterization. Colloids Surf. A Physicochem. Eng. Asp. 2015, 480, 390–397. [Google Scholar] [CrossRef]
- Oliviero Rossi, C.; Caputo, P.; Loise, V.; Miriello, D.; Teltayev, B.; Angelico, R. Role of a food grade additive in the high temperature performance of modified bitumens. Colloids Surf. A Physicochem. Eng. Asp. 2017, 532, 618–624. [Google Scholar] [CrossRef]
- Jansen, J.C.; Macchione, M.; Oliviero, C.; Mendichi, R.; Ranieri, G.A.; Drioli, E. Rheological evaluation of the influence of polymer concentration and molar mass distribution on the formation and performance of asymmetric gas separation membranes prepared by dry phase inversion. Polymer 2005, 46, 11366–11379. [Google Scholar] [CrossRef]
- Stejskal, E.O.; Tanner, J.E. Spin diffusion measurements: Spin echoes in the presence of a time-dependent field Gradient. J. Chem. Phys. 1965, 42, 288–292. [Google Scholar] [CrossRef]
- Coppola, L.; Oliviero, C.; Olsson, U.; Ranieri, G.A. Characterization of a reverse hexagonal lyomesophase by a PGSE NMR water self-diffusion study. Langmuir 2000, 16, 4180–4184. [Google Scholar] [CrossRef]
- Filippelli, L.; Gentile, L.; Rossi, C.O.; Ranieri, G.A.; Antunes, F.E. Structural change of bitumen in the recycling process by using rheology and NMR. Ind. Eng. Chem. Res. 2012, 51, 16346–16353. [Google Scholar] [CrossRef]
- Chidichimo, D.; De Fazio, G.A.; Ranieri, M.; Terenzi, M. Self-diffusion of water in a lamellar lyotropic liquid crystal: A study by pulsed field gradient NMR. Chem. Phys. Lett. 1985, 117, 514–517. [Google Scholar] [CrossRef]
- Calandra, P.; Caputo, P.; De Santo, M.P.; Todaro, L.; Turco Liveri, V.; Oliviero Rossi, C. Effect of additives on the structural organization of asphaltene aggregates in bitumen. Constr. Build. Mater. 2019, 199, 288–297. [Google Scholar] [CrossRef]
- Coppola, L.; Oliviero, C.; Pogliani, L.; Ranieri, G.A.; Terenzi, M. A self-diffusion study in aqueous solution and lyotropic mesophases of amphiphilic block copolymers. Colloid Polym. Sci. 2000, 278, 434–442. [Google Scholar] [CrossRef]
- Calandra, P.; Ruggirello, A.; Mele, A.; Liveri, V.T. Self-assembly in surfactant-based liquid mixtures: Bis(2-ethylhexyl)phosphoric acid/bis(2-ethylhexyl)amine systems. J. Colloid Interface Sci. 2010, 348, 183–188. [Google Scholar] [CrossRef] [PubMed]
- Calandra, P.; Turco Liveri, V.; Riello, P.; Freris, I.; Mandanici, A. Self-assembly in surfactant-based liquid mixtures: Octanoic acid/Bis(2-ethylhexyl)amine systems. J. Colloid Interface Sci. 2012, 367, 280–285. [Google Scholar] [CrossRef] [PubMed]
- Calandra, P.; Mandanici, A.; Liveri, V.T. Self-assembly in surfactant-based mixtures driven by acid–base reactions: Bis(2-ethylhexyl) phosphoric acid–n-octylamine systems. RSC Adv. 2013, 3, 5148. [Google Scholar] [CrossRef]
- Calandra, P.; Mandanici, A.; Turco Liveri, V.; Pochylski, M.; Aliotta, F. Emerging dynamics in surfactant-based liquid mixtures: Octanoic acid/bis(2-ethylhexyl) amine systems. J. Chem. Phys. 2012, 136, 064515. [Google Scholar] [CrossRef]
- Calandra, P.; Mandanici, A.; Liveri, V.T. Dynamical properties of self-assembled surfactant-based mixtures: Triggering of one-dimensional anomalous diffusion in bis(2-ethylhexyl)phosphoric acid/ n -octylamine systems. Langmuir 2013, 29, 14848–14854. [Google Scholar] [CrossRef]
- Jäger, A.; Lackner, R.; Eisenmenger-Sittner, C.; Blab, R. Identification of microstructural components of bitumen by means of atomic force microscopy (AFM). PAMM 2004, 4, 400–401. [Google Scholar] [CrossRef]
- Calandra, P.; Caschera, D.; Turco Liveri, V.; Lombardo, D. How self-assembly of amphiphilic molecules can generate complexity in the nanoscale. Colloids Surf. A Physicochem. Eng. Asp. 2015, 484, 164–183. [Google Scholar] [CrossRef]







| Sample | % w/w |
|---|---|
| Saturates | 4 |
| Aromatics | 51 |
| Resins | 22 |
| Asphaltenes | 23 |
© 2020 by the authors. Licensee MDPI, Basel, Switzerland. This article is an open access article distributed under the terms and conditions of the Creative Commons Attribution (CC BY) license (http://creativecommons.org/licenses/by/4.0/).
Share and Cite
Caputo, P.; Shaikhah, D.; Porto, M.; Loise, V.; De Santo, M.P.; Oliviero Rossi, C. NMR Diffusiometry Spectroscopy, a Novel Technique for Monitoring the Micro-Modifications in Bitumen Ageing. Appl. Sci. 2020, 10, 5409. https://doi.org/10.3390/app10165409
Caputo P, Shaikhah D, Porto M, Loise V, De Santo MP, Oliviero Rossi C. NMR Diffusiometry Spectroscopy, a Novel Technique for Monitoring the Micro-Modifications in Bitumen Ageing. Applied Sciences. 2020; 10(16):5409. https://doi.org/10.3390/app10165409
Chicago/Turabian StyleCaputo, Paolino, Dlshad Shaikhah, Michele Porto, Valeria Loise, Maria Penelope De Santo, and Cesare Oliviero Rossi. 2020. "NMR Diffusiometry Spectroscopy, a Novel Technique for Monitoring the Micro-Modifications in Bitumen Ageing" Applied Sciences 10, no. 16: 5409. https://doi.org/10.3390/app10165409
APA StyleCaputo, P., Shaikhah, D., Porto, M., Loise, V., De Santo, M. P., & Oliviero Rossi, C. (2020). NMR Diffusiometry Spectroscopy, a Novel Technique for Monitoring the Micro-Modifications in Bitumen Ageing. Applied Sciences, 10(16), 5409. https://doi.org/10.3390/app10165409

