Abstract
The rapid development of algorithms for skeletal postural detection with relatively inexpensive contactless systems and cameras opens up the possibility of monitoring and assessing the health and wellbeing of humans. However, the evaluation and confirmation of posture classifications are still needed. The purpose of this study was therefore to develop a simple algorithm for the automatic classification of human posture detection. The most affordable solution for this project was through using a Kinect V2, enabling the identification of 25 joints, so as to record movements and postures for data analysis. A total of 10 subjects volunteered for this study. Three algorithms were developed for the classification of different postures in Matlab. These were based on a total error of vector lengths, a total error of angles, multiplication of these two parameters and the simultaneous analysis of the first and second parameters. A base of 13 exercises was then created to test the recognition of postures by the algorithm and analyze subject performance. The best results for posture classification were shown by the second algorithm, with an accuracy of 94.9%. The average degree of correctness of the exercises among the 10 participants was 94.2% (SD1.8%). It was shown that the proposed algorithms provide the same accuracy as that obtained from machine learning-based algorithms and algorithms with neural networks, but have less computational complexity and do not need resources for training. The algorithms developed and evaluated in this study have demonstrated a reasonable level of accuracy, and could potentially form the basis for developing a low-cost system for the remote monitoring of humans.
1. Introduction
Demographic ageing in humans means that to date, 12% of the global population are aged over 60 years, and this number is likely to double within a few decades [1]. Ageing leads to a higher prevalence of complications that may benefit from exercise therapy. Such an increase in ageing will mean that the rapid development of science and medicine, as well as the introduction of new technologies and methodologies utilized by health systems, will be needed. Increased knowledge has been gained regarding new treatment regimes for a growing number of chronic diseases and traumas, but with consequential increases in social and economic costs [2]. It is well-known that rehabilitation forms an important part of a typical overall treatment plan, which can be delivered, for instance, by utilizing therapeutic exercise (physiotherapy). The performance of physical activity has many advantages in older people with dementia, and can positively affect the preservation of cognitive abilities [3]. Stroke patents may also benefit from physical activities, which can result in improved recovery rates.
However, the success of rehabilitation largely depends on keeping the patient interested and motivated in the continuation of treatment. Factors influencing adherence to the continuation of physical education depend on whether people continue to receive professional assistance and counselling after the completion of the initial training [4]. Among the main reasons for the termination of continued professional assistance and counselling are forgetfulness, a lack of further supervision and motivation, and time restraints (for example: attending the rehabilitation center).
The use of exercise therapy delivered remotely using posture recognition and interactive content may have a positive impact on enabling patients to perform exercise, as well as their willingness to continue training and rehabilitation programs [5].
Events such as the recent Covid-19 pandemic reinforce the need for remote exercise therapy with feedback from a doctor, which would be very beneficial for many patients with different disabilities.
Traditionally, exercise therapy consists of demonstrating exercises, observation and evaluation by a health professional, which in turn requires special training and significant face-to-face contact with a patient. However, modern computer and sensor technologies could be utilized to augment (or where appropriate, replace) direct intervention by health professionals. Such technologies that can capture specific postures will be able to determine whether or not the exercise regimes provided to the patient are proving the beneficial postural changes over time, with reference to those obtained from healthy adults. With the capabilities of motion capture systems advancing significantly in recent years, and with motion capture systems being more accessible and effective, they allow the kinematics of the human body to be measured and recorded with sufficient accuracy in real time, even using web cameras.
Two main types of motion capture systems are widely used: those which use markers, and those which estimate joint and limb segment parameters based on neural network training from marker systems. The first requires use of a special suit, or a removable system of sensors (active or passive markers) attached to the human body. The second type, such as those provided by Microsoft Kinect, Intel RealSense, Structure Core and others, use color and depth data, as well as image recognition algorithms, to retrieve the data. These systems can record kinematic data and perform analysis of the human body’s movements in real time.
In addition, the development and availability of these sensors opens more opportunities, as it makes it possible to create bespoke courses of rehabilitation, and to monitor their implementation [6,7,8,9,10,11]. Similar applications have been developed for different patient groups, but the most widely represented software has been designed for post-stroke patients [12,13,14,15,16]. Software has also been designed for people with neurological diseases [17], including cerebral palsy [18], multiple sclerosis [19] and traumatic brain injuries [20].
However, the algorithms used by these systems to estimate the accuracy of execution of movements by such patients are not fully described in the literature. Two of those algorithms can, however, be distinguished by their differing mode of operation. The first is based on the use of dynamic time warping (DTW), along with fuzzy logic [7], and the other is based on the recognition of different body segment postures and trajectories [21]. However, the use of a home-based system, using virtual rehabilitation and offering the possibility of communication with a doctor, is more convenient for the patient, and also allows the course of rehabilitation to be altered by adding new exercises, if necessary. DTW is, however, difficult to apply when compared to posture estimation algorithms. Anton et al. utilized the recognition of postures together with trajectories, which resulted in an accuracy of posture estimation of 91.9%, and detection of movements of 95.16% [21].
Recent advances in machine learning have led to the use of machine learning algorithms in many studies, including posture classification [22,23]. The objective of these studies is to classify the sitting postures via conventional algorithms and deep learning-based algorithms using the body pressure distribution data from pressure sensors [22]. After classifying the sitting postures using several classifiers, average and maximum classification rates of 97.20% and 97.94%, respectively, were obtained from nine subjects with a support vector machine using the radial basis function kernel. Through a comparison of the application of the convolutional neural network (CNN) and conventional machine learning algorithms, the effectiveness of an approach [23] wherein the CNN algorithm is applied was shown (average value of accuracy = 0.953). However, machine learning-based algorithms have problems with a computational complexity that lead to an inability of real-time implementation (in reference [22], the authors stressed this point) and the need for resources for training.
These examples of previous research in the use of posture recognition algorithms provide strong arguments for the continued research and development of such algorithms.
The aim of this research was to develop simpler and more efficient identification algorithms for posture and exercise classification within healthy participants, as well as to evaluate these using Kinect V2. The main contributions of our work can be summarized as follows. Three algorithms for the classification of different postures were developed and evaluated. The effectiveness of these algorithms was based on a total error of vector lengths and a total error of angles, and the multiplication of these two parameters was proved. To compare the effectiveness of classification algorithms, a database was created from the descriptions of the 573 known postures, as well as 903 postures which were not related to them. It was shown that the algorithms presented in this study were demonstrated to be reasonably accurate, and could potentially form the basis for developing a simple system for the remote monitoring of rehabilitation involving exercise therapy.
The remainder of this paper is organized as follows. In Section 2, we describe the Microsoft Kinect V2-based approach to the automatic classification of human exercise movement and present three algorithms for posture classifications. In Section 3, we compare the effectiveness of the three developed classification algorithms by means of a database that was created from the descriptions of the 573 known postures and 903 postures which were not correctly performed. In Section 4, we discuss the results and how they can be interpreted from the perspective of previous studies, and of the working hypotheses. Future research directions also are highlighted. Finally, we present the conclusions in Section 5.
2. Materials and Methods
2.1. Participants
Ten healthy young adults (mean ± standard deviation age: 23.4 ± 4.1 years; six males with body mass: 72.7 ± 4.7 kg and height: 179.7 ± 4.2 cm; four females with body mass: 51.5 ± 2.6 kg and height: 163.3 ± 2.8 cm) participated in forming the exercise database. A healthy male (age 35, weight 75 kg and height 184 cm) and a healthy female (age 23, weight 50 kg and height 165 cm) were used to form the independent reference posture database. This research was completed as part of the state project of the Ministry of Health of Russia and was approved by the Ethics Committee of the Ilizarov Scientific Center for Restorative Traumatology and Orthopaedics (17 May 2018, protocol No.2(57)). All participants read the information sheet before the experiment. Written informed consent was obtained from all the participants.
2.2. Posture Description
A 3D Sensor (Microsoft Kinect V2) was used to record movement, as it is able to recognize different subjects, track their movement and create a skeleton comprising 25 points (Figure 1), which may be described by three-dimensional coordinates (i.e., by using X, Y and Z planes of motion).
Figure 1.
Diagram of connection of points received from the sensor.
Any movement consists of a series of postures. Eighteen joints were used to describe a posture in a series of volunteer subjects. It was decided to exclude joints such as those numbered 16, 20, 21, 22, 23, 24 and 25 (Figure 1) from algorithms, as they demonstrated high inconsistency in tracking accuracy. A total of 40 parameters were therefore calculated, based on 18 points: 17 were vector lengths (Table 1) and 23 were angles. However, each algorithm used a different number of parameters, as described in Section 2.3.
Table 1.
Vector lengths used for the algorithm, where numbers represent the joint as shown in Figure 1.
The vector lengths were calculated relative to a position on the centerline of the torso (see point “2”, Figure 1), as it had minimal errors in tracking. As each subject had a different body shape, this meant lengths between joints were not consistent, and it was therefore decided to normalize them using the participants’ heights using the following formula [24]
where and represent coordinates of the midpoint of the back, and x, y, z are the coordinates of the point for which the distance is calculated.
Eleven angles were used in algorithms to describe postures and movements, as shown in Figure 2 and Table 2. For all 11 joints, the angles were between two vectors in 3D space. However, for the shoulder, hip and knee, the angles were calculated in the frontal and sagittal planes only.
Figure 2.
Angles used in describing poses.
Table 2.
Angles used to describe postures.
The angles were calculated as the angle between two 3D vectors
where , are the coordinates of vectors obtained by the differences between points, according to Table 1.
2.3. Experemental Protocol
A database of 12 postures was created to validate the algorithms containing postures and exercise movements by ten subjects (Table 3, Figure 3 and Figure 4). Each subject was asked to do 13 exercises and repeat each one at least 25 times. Subjects were allowed to rest if they felt fatigued. On average, it took around four hours to record 13 exercise movements for each participant. Exercise movements were randomized for each subject.
Table 3.
Reference database of postures for the two people recorded and used for the classification of other participants.
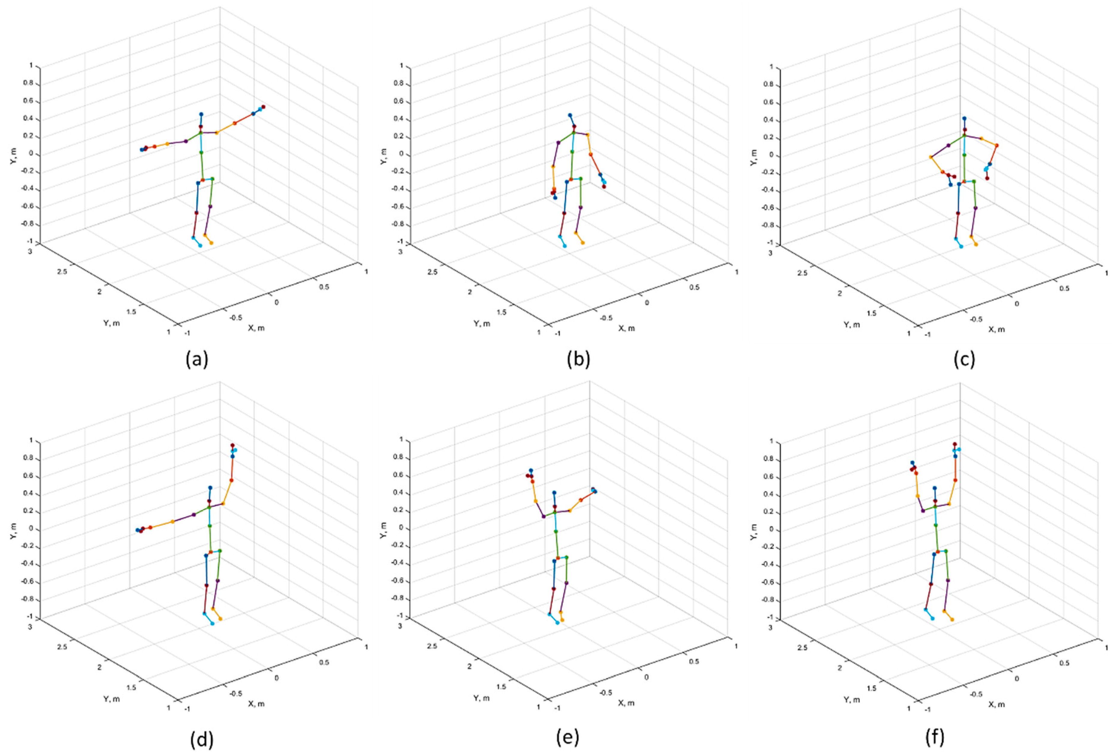
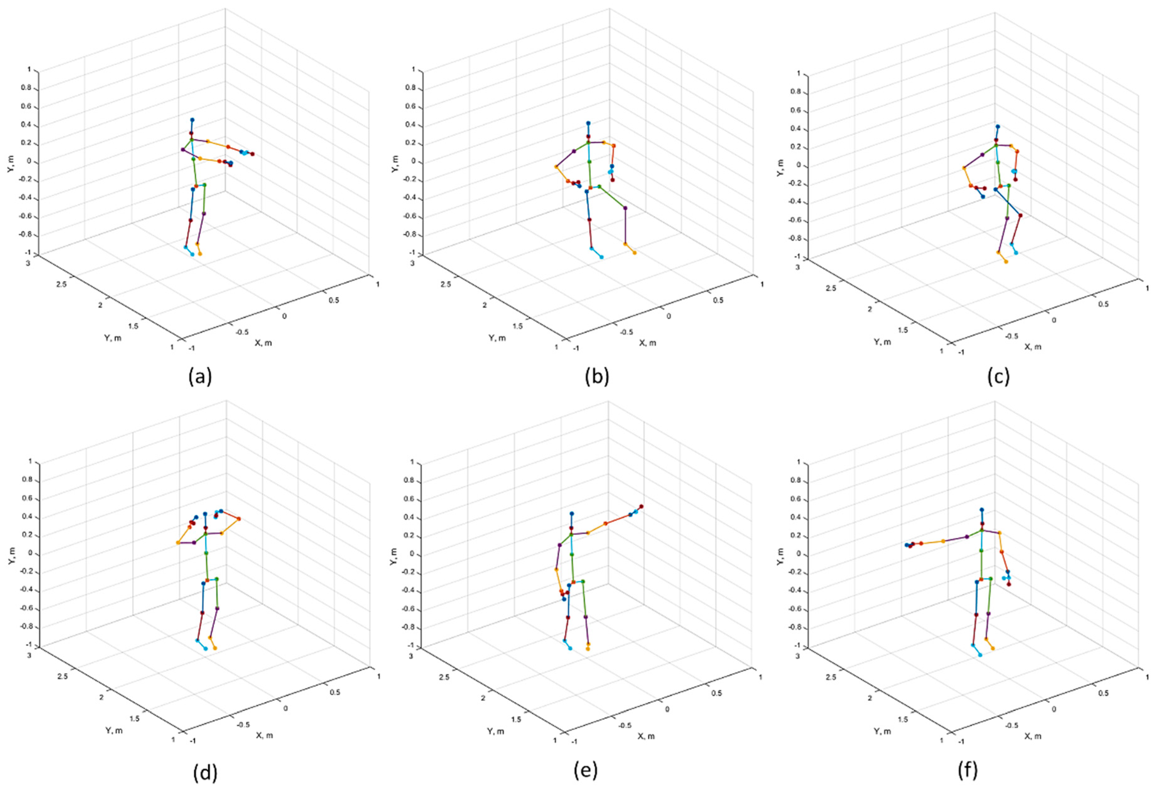
Figure 3.
Postures: (a) hands outstretched; (b) hands down; (c) hands on the waist; (d) left hand up; (e) right hand up; and (f) both hands up.
Figure 4.
Postures: (a) hands forward; (b) left knee up; (c) right knee up; (d) both hands to the head; (e) left hand to the side; and (f) right hand to the side.
The movement exercises were described as a sequence of postures. The simplest movement was described by the start and the end position. In some cases, however, there were more complex sequences of movements where the middle phase movement comprised a combination of several postures. A total of thirteen different exercise test movements were eventually used in the study, as shown in Table 4.
Table 4.
Test exercises.
2.4. Accuracy Evaluation of Postures and Movement Exercises
The accuracy, specificity and sensitivity were calculated based on formulas described in the article [25].
The classification of postures was made by comparing the recorded posture descriptors (Di) with a reference database (Dj). The distance Eri for each pose i between the reference and reordered posture could be calculated as:
A descriptor is composed of two parameters (angles and vectors), and thus two types of errors were calculated: the total error of the length of vectors and the total error of angles.
The first was calculated using absolute differences between them
where Di(k), k = between 1 and 17—parameters that are responsible for the length of the vectors. The total error angles for postures i were calculated using the formula
where Di(k), k = between 18 and 40—parameters responsible for the values of angles.
Based on those types of errors, three algorithms for the posture classifications assessment were developed. To classify the posture, the results should be equal to or almost equal to the reference database, so that the algorithm can define the correct posture classification from the data set collected. This was achieved by setting a threshold for the three algorithms:
- Algorithm 1: vector length error (A1)
- Algorithm 2: angle error (A2)
- Algorithm 3: multiplication of angle errors by vector errors (A3)
To evaluate the most accurate algorithm for posture detection, the classification database was made using the descriptions of either “correct” or “incorrect” postures. In our study, all subjects were young and healthy, therefore it was enough to use two people for the posture reference database. However, the reference database would be more complex if participants had some disabilities and varied in age group.
To justify the accuracy of exercise movement classification, the database, with a set of sequenced postures in the correct order, was made, as shown in the examples in Figure 5.
Figure 5.
Example of a movement exercise: (a) combination of two postures; and (b) a more complex movement exercise with a set of postures in sequential order.
Matlab was used for data collection, analysis.
3. Results
3.1. Classification Algorithms
To compare the effectiveness of different classification algorithms, a database was created from the descriptions of the 573 known postures, as shown in Table 3, and 903 postures which were not correct. Using this database, three algorithms were obtained that tested the sensitivity, specificity and accuracy of values. (Figure 6 and Figure 7).
Figure 6.
Relationship between specificity, sensitivity, accuracy and threshold for: (a) Algorithm 1; and (b) Algorithm 2.
Figure 7.
Relationship between specificity, sensitivity, accuracy and threshold for Algorithm 3.
The mean sensitivity for the first algorithm was 92.5%, while for the second it was 98.95% and for the third it was 96.5%. Table 5 demonstrates detailed statistical results for three algorithms. Figure 8 shows receiver operator characteristic (ROC) curve results for three algorithms.
Table 5.
Statistical results.
Figure 8.
Relationship between false and true positive rates between three different algorithms.
The mean intersection of sensitivity and specificity for the first algorithm was 75.7%, while for the second it was 94.1% and for the third it was 87.7%. The mean accuracy for the first algorithm was 76.6%, while for the second it was 94.9% and for the third it was 89.3%. The area under the ROC curves for the first algorithm was 0.862, while for the second it was 0.986 and for the third it was 0.966.
3.2. Number of Exercises Performed by Participants
Each participant performed at least 390 exercises in total. Table 6 demonstrates detailed information on the number of exercises performed by each participant.
Table 6.
Number of exercises performed by each participant.
The highest values of accuracy for movement exercises was demonstrated by the second algorithm, with 94.3% (SD 1.7%), as shown in Figure 9.
Figure 9.
The accuracy of exercise movements performed by ten subjects for the second algorithm.
Figure 10 shows the percentage ratio of the identification of 13 exercises.
Figure 10.
The identification ratio for 13 exercises with the implementation of Algorithm 2.
The average identification ratio of correct movement classification among participants was 94.3% (SD 1.7%). The average identification of correct exercises was 94.2% (SD 1.8%).
4. Discussion
The aim of this study was to determine accurate posture and exercise classification algorithms with low-cost sensors such as Microsoft Kinect, which has also led to the development of different virtual rehabilitation programs [13,26]. The use of such sensors can have many advantages. Firstly, they highlight interactivity and motivation, and they can also be used at home. This is important for people who live in remote areas, where there may not be experts who are locally available. In addition, the technique can be adapted to the needs of any patient group [27], or animals [28,29,30,31].
The comparison of this sensor with a professional optical motion capture system has demonstrated that it has the accuracy sufficient for both the tasks and data generation capability needed by specialists in the field of rehabilitation [8].
However, the question of how to evaluate the correctness of the exercise is still not certain, as the literature is only represented by a limited number of articles [7,21]. The previous research has demonstrated a most accurate posture classification of 91.9%, and for movement, a most accurate posture classification of 95.16% [21]. This study demonstrated a slight increase in the accuracy by using three different algorithms and by setting up a threshold level for: total error of vector lengths; total error of angles; and multiplication of vector errors by angle errors (as in [21]). Calculating sensitivity and specificity, the classification accuracy of the algorithms was obtained, with the best result shown by the algorithm using the total error of angles (94.9%). This algorithm showed better results when compared with previous research based on a multiplication of the total errors algorithm. This new algorithm also requires considerably fewer parameters for the classification of postures and exercise movements. The previous study, which showed the best accuracy for the posture classification, used 30 variables of the posture descriptor, such as angles and vector lengths [21]. However, the second algorithm in this research used only 17 variables of posture descriptor, which significantly improved the efficiency of the method.
In our study, when evaluating the classification accuracy of the exercises, we used results for the average accuracy of each participant and the average accuracy of the exercises, which were 94.3% (SD 1.7%) and 94.2% (SD 1.8%), respectively. Those results are practically the same as those of the previous research [21], but our algorithm, as mentioned above, requires considerably fewer parameters for the classification of postures and exercise movements. More advanced marker-based motion capture systems can also be used to improve the classification accuracy of algorithms. Previous research [32] has demonstrated that the static error of tracking passive markers with Oqus (Qualisys) cameras was 0.15 mm and a dynamic 0.26 mm, with much higher tracking frequencies than those used by the Kinect V2 sensor.
The definition of human posture can be applied not only to the creation of applications for rehabilitation, but also for monitoring the lives of older people, such as in the recording of a sudden fall. According to statistics, 28–35% of people over 65 years of age experience a fall [33], after which they often need a period of rehabilitation. Such a monitoring system could detect a person’s posture, and alert relatives, neighbors or close friends in cases where the person’s positional data indicates the possibility of a heart attack, stroke or other complication; such a posture, for example, could be lying down on the floor. The time factor in attending to such situations is very crucial, being directly correlated to the person’s recovery.
More studies are required to develop classification algorithms for the various medical applications mentioned, as this study had a number of limitations, outlined below.
- Limited tested sample size and reference database for healthy subjects.
- Healthy and young subjects were recruited without any disabilities.
- Different races, nationalities and type of disability may influence the results, as well as affect anthropometric data.
- Kinect sensors are not consistent in data collection for different environments, and different types of clothing can significantly change the accuracy of the detection of joints, as was noticed in our study.
Future planned research is to use the Qualisys system to improve the algorithm by reducing the number of limitations.
Video analysis is widely applied in the context of human movement detection, and real-time implementation using reliable algorithms based on the postural recognition of healthy persons should provide postural data that can be used to assess the effectiveness of clinically prescribed exercise regimes for patients, as well as allow for variations in exercise regime, dependent on the data collected. Such data would be useful in optimized treatment by exercise therapy.
The advantages of such an approach could also be extended to veterinary applications. Very few studies address automatic video-based analysis of animals—for example, canine behavior as a means of monitoring animal health and wellbeing [28,29,30]—with some of these studies using a 3D Kinect camera to detect joint position. In [28], the authors present a system capable of identifying static postures for canines that does not rely on hand-labeled data at any point, although the system can only identify the “standing,” “sitting” and “lying” postures with approximately 70%, 69% and 94% accuracy, respectively. Paper [29] presents a depth-based tracking system for the automatic detection of animals’ postures and body segments, as well as an exhaustive evaluation on the performance of several classification algorithms, based on both a supervised and a knowledge-based approach. Furthermore, Barnard et al. addressed a problem of automatic behavioral analysis of kenneled dogs using 3D video monitoring [30]. Dog body segment detection was done using standard Structural Support Vector Machine classifiers, and the automatic tracking of the dog was also implemented. However, this tool has a high margin for improvement.
A number of studies were also found in the literature using wide-ranging applications in the biomechanics of animals, as well as in prosthetics to prevent injuries, monitoring rehabilitation after surgical operations, choosing the appropriate orthopedic devices and prostheses, training and others [34,35,36]. Therefore, the classification algorithm of posture can also be useful in not only human medicine, but also veterinary applications, influencing veterinary intervention using exercise regimes, as well as monitoring animals’ health and behavior. Further studies using the Qualisys system and neural network, which would be trained to recognize a dog’s skeleton using cost-effective video cameras, are planned; so far, such work has only been carried out for humans.
5. Conclusions
Virtual or home rehabilitation using modern technologies can improve health and quality of life for many people and animals. The algorithms for posture and movement classification used in this study demonstrated good results using an optical sensor. These algorithms can also be used in other motion capture systems as a simpler and less resource-intensive alternative to machine learning and neural network algorithms, thus increasing accuracy.
The posture and movement classification algorithm may also be used to monitor incidental falls in the elderly population that can be associated with heart failure or a stroke, and initiate a call for help.
As for animals, this technique may also be applied for measuring the time budget of animals, indicating the amount or proportion of time that animals spend in different behaviors as a measure for common ethological and welfare parameters [37].
Author Contributions
Conceptualisation, A.A. and T.K.; methodology, A.S.; software, T.K. and A.S.; validation, A.A., T.K. and D.K.; formal analysis, A.S.; investigation, A.A.; resources, A.S.; data curation, A.S.; writing—original draft preparation, A.A. and D.K.; writing—review and editing, D.K. and A.A.; visualization, A.A. and T.K.; supervision, A.Z. and O.A.M.; project administration, D.K. and A.Z.; and funding acquisition, O.A.M., D.K. and A.Z. All authors have read and agreed to the published version of the manuscript.
Funding
This research was supported by a grant from the Ministry of Science & Technology of Israel and by RFBR according to the research project N 19-57-06007.
Acknowledgments
The authors would like to express their sincere gratitude to the Ilizarov Scientific Center for Restorative Traumatology and Orthopaedics for supporting the project.
Conflicts of Interest
The authors declare no conflict of interest.
References
- Eleni, K.; Srinivas, A.; Judith, J. The aging population: Demographics and the biology of aging. Periodontol. 2000 2016, 72, 13–18. [Google Scholar] [CrossRef]
- Goulding, M.R.; Rodgers, M.E. Trends in aging—United states and worldwide. MMWR Morb. Mortal. Wkly. Rep. 2003, 52, 101–104. [Google Scholar]
- Kirk-Sanchez, N.J.; McGough, E.L. Physical exercise and cognitive performance in the elderly: Current perspectives. Clin. Interv. Aging 2014, 9, 51–62. [Google Scholar] [CrossRef] [PubMed]
- Zhou, Z.; Hou, Y.; Lin, J.; Wang, K.; Liu, Q. Patients’ views toward knee osteoarthritis exercise therapy and factors influencing adherence—A survey in china. Physician Sportsmed. 2018, 46, 221–227. [Google Scholar] [CrossRef] [PubMed]
- Lawford, B.J.; Delany, C.; Bennell, K.L.; Hinman, R.S. “I was really sceptical...But it worked really well”: A qualitative study of patient perceptions of telephone-delivered exercise therapy by physiotherapists for people with knee osteoarthritis. Osteoarthr. Cartil. 2018, 26, 741–750. [Google Scholar] [CrossRef] [PubMed]
- Tao, G.; Archambault, P.S.; Levin, M.F. Evaluation of kinect skeletal tracking in a virtual reality rehabilitation system for upper limb hemiparesis. In Proceedings of the 2013 International Conference on Virtual Rehabilitation (ICVR), Philadelphia, PA, USA, 26–29 August 2013; pp. 164–165. [Google Scholar] [CrossRef]
- Su, C.-J.; Chiang, C.-Y.; Huang, J.-Y. Kinect-enabled home-based rehabilitation system using dynamic time warping and fuzzy logic. Appl. Soft Comput. 2014, 22, 652–666. [Google Scholar] [CrossRef]
- Fern’ndez-Baena, A.; Susín, A.; Lligadas, X. Biomechanical validation of upper-body and lower-body joint movements of kinect motion capture data for rehabilitation treatments. In Proceedings of the 2012 Fourth International Conference on Intelligent Networking and Collaborative Systems, Bucharest, Romania, 19–21 September 2012; pp. 656–661. [Google Scholar] [CrossRef]
- Lin, T.; Hsieh, C.; Lee, J. A kinect-based system for physical rehabilitation: Utilizing tai chi exercises to improve movement disorders in patients with balance ability. In Proceedings of the 2013 7th Asia Modelling Symposium, Hong Kong, China, 23–25 July 2013; pp. 149–153. [Google Scholar] [CrossRef]
- Lange, B.; Koenig, S.; McConnell, E.; Chang, C.; Juang, R.; Suma, E.; Bolas, M.; Rizzo, A. Interactive game-based rehabilitation using the microsoft Kinect. In Proceedings of the 2012 IEEE Virtual Reality Workshops (VRW), Costa Mesa, CA, USA, 4–8 March 2012; pp. 171–172. [Google Scholar] [CrossRef]
- Antón, D.; Goñi, A.; Illarramendi, A.; Torres-Unda, J.J.; Seco, J. Kires: A kinect-based telerehabilitation system. In Proceedings of the 2013 IEEE 15th International Conference on e-Health Networking, Applications and Services (Healthcom 2013), Lisbon, Portugal, 9–12 October 2013; pp. 444–448. [Google Scholar] [CrossRef]
- Clark, R.A.; Vernon, S.; Mentiplay, B.F.; Miller, K.J.; McGinley, J.L.; Pua, Y.H.; Paterson, K.; Bower, K.J. Instrumenting gait assessment using the kinect in people living with stroke: Reliability and association with balance tests. J. Neuroeng. Rehabil. 2015, 12, 15. [Google Scholar] [CrossRef]
- Webster, D.; Celik, O. Systematic review of kinect applications in elderly care and stroke rehabilitation. J. Neuroeng. Rehabil. 2014, 11, 108. [Google Scholar] [CrossRef]
- Pastor, I.; Hayes, H.A.; Bamberg, S.J.M. A feasibility study of an upper limb rehabilitation system using kinect and computer games. In Proceedings of the 2012 Annual International Conference of the IEEE Engineering in Medicine and Biology Society, San Diego, CA, USA, 28 August–1 September 2012; pp. 1286–1289. [Google Scholar] [CrossRef]
- Saini, S.; Rambli, D.R.A.; Sulaiman, S.; Zakaria, M.N.; Shukri, S.R.M. A low-cost game framework for a home-based stroke rehabilitation system. In Proceedings of the 2012 International Conference on Computer & Information Science (ICCIS), Kuala Lumpur, Malaysia, 12–14 June 2012; pp. 55–60. [Google Scholar] [CrossRef]
- Shin, J.-H.; Ryu, H.; Jang, S.H. A task-specific interactive game-based virtual reality rehabilitation system for patients with stroke: A usability test and two clinical experiments. J. Neuroeng. Rehabil. 2014, 11, 32. [Google Scholar] [CrossRef]
- González-Ortega, D.; Díaz-Pernas, F.J.; Martínez-Zarzuela, M.; Antón-Rodríguez, M. A kinect-based system for cognitive rehabilitation exercises monitoring. Comput. Methods Programs Biomed. 2014, 113, 620–631. [Google Scholar] [CrossRef] [PubMed]
- Chang, Y.J.; Han, W.Y.; Tsai, Y.C. A kinect-based upper limb rehabilitation system to assist people with cerebral palsy. Res. Dev. Disabil. 2013, 34, 3654–3659. [Google Scholar] [CrossRef] [PubMed]
- Lozano-Quilis, J.-A.; Gil-Gómez, H.; Gil-Gómez, J.-A.; Albiol-Pérez, S.; Palacios-Navarro, G.; Fardoun, H.M.; Mashat, A.S. Virtual rehabilitation for multiple sclerosis using a kinect-based system: Randomized controlled trial. JMIR Serious Games 2014, 2, e12. [Google Scholar] [CrossRef] [PubMed]
- Venugopalan, J.; Cheng, C.; Stokes, T.H.; Wang, M.D. Kinect-based rehabilitation system for patients with traumatic brain injury. In Proceedings of the 2013 35th Annual International Conference of the IEEE Engineering in Medicine and Biology Society (EMBC), Osaka, Japan, 3–7 July 2013; pp. 4625–4628. [Google Scholar] [CrossRef]
- Anton, D.; Goni, A.; Illarramendi, A. Exercise recognition for kinect-based telerehabilitation. Methods Inf. Med. 2015, 54, 145–155. [Google Scholar] [CrossRef] [PubMed]
- Roh, J.; Park, H.-J.; Lee, K.J.; Hyeong, J.; Kim, S.; Lee, B. Sitting Posture Monitoring System Based on a Low-Cost Load Cell Using Machine Learning. Sensors 2018, 18, 208. [Google Scholar] [CrossRef] [PubMed]
- Kim, Y.M.; Son, Y.; Kim, W.; Jin, B.; Yun, M.H. Classification of Children’s Sitting Postures Using Machine Learning Algorithms. Appl. Sci. 2018, 8, 1280. [Google Scholar] [CrossRef]
- Giacomozzi, C.; D’Ambrogi, E.; Uccioli, L.; Macellari, V. Does the thickening of achilles tendon and plantar fascia contribute to the alteration of diabetic foot loading? Clin. Biomech. 2005, 20, 532–539. [Google Scholar] [CrossRef]
- Baratloo, A.; Hosseini, M.; Negida, A.; El Ashal, G. Part 1: Simple Definition and Calculation of Accuracy, Sensitivity and Specificity. Emergency (Tehran, Iran) 2015, 3, 48–49. [Google Scholar]
- Mousavi Hondori, H.; Khademi, M. A review on technical and clinical impact of microsoft kinect on physical therapy and rehabilitation. J. Med. Eng. 2014, 2014, 846514. [Google Scholar] [CrossRef]
- Burdea, G.C. Virtual rehabilitation—Benefits and challenges. Methods Inf. Med. 2003, 42, 519–523. [Google Scholar]
- Mealin, S.; Dom’ınguez, I.X.; Roberts, D.L. Semi-supervised classification of static canine postures using the microsoft Kinect. In Proceedings of the Third International Conference on Animal-Computer Interaction, Milton Keynes, UK, 15–17 November 2016; ACM: New York, NY, USA, 2016; p. 16. [Google Scholar]
- Pons, P.; Jaen, J.; Catala, A. Assessing machine learning classifiers for the detection of animals behavior using depth-based tracking. Expert Syst. Appl. 2017, 86, 235–246. [Google Scholar] [CrossRef]
- Barnard, S.; Calderara, S.; Pistocchi, S.; Cucchiara, R.; Podaliri-Vulpiani, M.; Messori, S.; Ferri, N. Quick, accurate, smart: 3d computer vision technology helps assessing confined animals behaviour. PLoS ONE 2016, 11, e0158748. [Google Scholar] [CrossRef] [PubMed]
- Psota, E.T.; Mittek, M.; Pérez, L.C.; Schmidt, T.; Mote, B. Multi-Pig Part Detection and Association with a Fully-Convolutional Network. Sensors 2019, 19, 852. [Google Scholar] [CrossRef] [PubMed]
- Feng, Y.; Max, L. Accuracy and precision of a custom camera-based system for 2d and 3d motion tracking during speech and nonspeech motor tasks. J. Speech Lang. Hear. Res. JSLHR 2014, 57, 426–438. [Google Scholar] [CrossRef] [PubMed]
- Vieira, E.R.; Palmer, R.C.; Chaves, P.H.M. Prevention of falls in older people living in the community. BMJ 2016, 353, i1419. [Google Scholar] [CrossRef] [PubMed]
- Prankel, S.; Corbett, M.; Bevins, J.; Davies, J. Biomechanical analysis in veterinary practice. Practice 2016, 38, 176–187. [Google Scholar] [CrossRef]
- Farrell, B.J.; Prilutsky, B.I.; Kistenberg, R.S.; Dalton, J.F.T.; Pitkin, M. An animal model to evaluate skin-implant-bone integration and gait with a prosthesis directly attached to the residual limb. Clin. Biomech. 2014, 29, 336–349. [Google Scholar] [CrossRef]
- Druen, S.; Boddeker, J.; Meyer-Lindenberg, A.; Fehr, M.; Nolte, I.; Wefstaedt, P. Computer-based gait analysis of dogs: Evaluation of kinetic and kinematic parameters after cemented and cementless total hip replacement. Vet. Comp. Orthop. Traumatol. VCOT 2012, 25, 375–384. [Google Scholar] [CrossRef]
- Arney, D. What is animal welfare and how is it assessed? In Sustainable Agriculture; Baltic University Press: Uppsala, Sweden, 2012; pp. 311–315. [Google Scholar]
© 2020 by the authors. Licensee MDPI, Basel, Switzerland. This article is an open access article distributed under the terms and conditions of the Creative Commons Attribution (CC BY) license (http://creativecommons.org/licenses/by/4.0/).









