Analysis and Verification on Energy Consumption of the Quadruped Robot with Passive Compliant Hydraulic Servo Actuator
Abstract
1. Introduction
2. Overview of HPCA
3. Energy-Saving Principle of HPCA
3.1. Motion Description of SCalf II
3.2. Pressure Characteristics of HPCA
3.2.1. Dynamic Pressure Characteristic
3.2.2. Static Pressure Characteristic
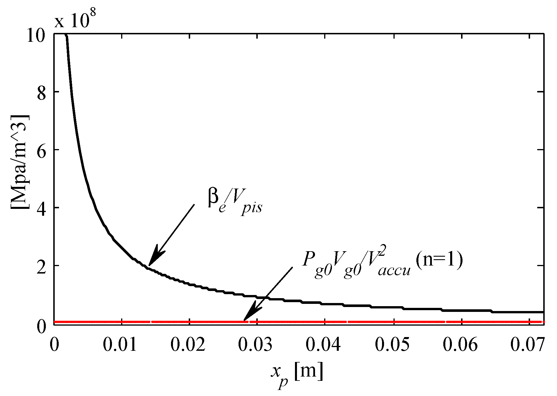
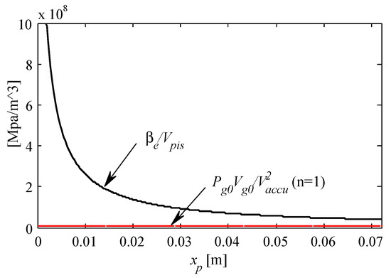
3.2.3. Working Principle of Accumulator Used on HPCA
- (1)
- In the swing phase, all actuators conform to the law that varies first retraction and then extension, and the pressure in the piston chamber tends to be less. For the actuator with original structure, the flows required for the further extension of the piston and compensation for the pressure drop are all provided by the servo valve. But, for the HPCA, part of the required flows mentioned above can be supplied by the accumulator. Thus, the supply flow from the power source needed by the system with HPCA is less than that with the original actuator in this process.
- (2)
- In the supporting phase, a rather large difference in the piston trajectory exists between the actuators that drive different joints. For the same actuator, the different initial point will also cause differences. If the piston is in the process of retraction (Figure 6A), the change in direction from elongation to shortening causes the pressure in the piston chamber to be greater. For the actuator with original structure, the raised backward pressure can result in increased pressure loss in the throttle of the servo valve, so the inessential energy-loss will also increase. For the HPCA, the pressure increase due to the piston reversal is slowed down by the accumulator (as explained in Equations (2) and (6)) on the one hand, on the other hand, the oil that flows out from the piston chamber can be partially stored in the accumulator and is supplied to the next gait cycle. When the piston is in the process of extension (Figure 6B), the flow required by this process is only provided by the servo valve. The abrupt point of the chamber pressure occurs when the trajectory transitions from the support phase to the swing phase of the next cycle, and then the law described above is carried out.
4. Simulation and Analysis
4.1. System Modeling
4.2. Simulation Setup
- (1)
- In group 1, the initial inflation pressure of the accumulator was set to 2, 4, and 6 Mpa. The working volume of the actuator is constant (1.3 × 10 m).
- (2)
- Different from group 1, the initial inflation pressure of the actuator was constant (6 Mpa) in group 2, and the working volumes were set to 2 × 10, 4 × 10, and 6 × 10 m.
4.3. Simulation Results
- (1)
- In the supporting phase, the piston chamber of the actuator at left-front leg is connected to the oil return circuit, and the flow required for the piston movement is mainly supplied by the servo valve. Thus, the energy supplied by the power source is the same whether it is the original actuator or the HPCA. But, for the actuator at rear-right leg, the piston is in the extension stage and sustains compression, and the ring chamber of the actuator is connected to the oil return circuit. Because of the unequal area of the piston, a large flow required causes the opening of the valve core to increase, and then there is a large pressure drop in the ring chamber (as shown in Figure 11). Therefore, a smaller pressure fluctuation in the piston chamber can be enough to adjust actuator output to balance the load.
- (2)
- In the swing phase, due to the small fluctuation of the loads, the pressure difference between the piston and ring chambers of the two actuators remains relatively stable, as can be seen from Figure 11. Therefore, the oil supplied by the power source for the piston movement seldom flows into the accumulator. The steps to improve the energy efficiency by changing the inflation pressure and working volume of the HPCA will have little effect.
5. Experimental Verification
5.1. Experimental Setup
5.2. Experimental Results
6. Conclusions
Author Contributions
Funding
Conflicts of Interest
References
- Chen, T.; Rong, X.; Li, Y.; Ding, C.; Chai, H.; Zhou, L. A compliant control method for robust trot motion of hydraulic actuated quadruped robot. Int. J. Adv. Robot. Syst. 2018, 15. [Google Scholar] [CrossRef]
- Boaventura, T. Hydraulic Compliance Control of the Quadruped Robot HYQ. Ph.D. Thesis, Advanced Robotics Department, University of Genova, Genova, Italy, 2013. [Google Scholar]
- Raibert, M.; Blankespoor, K.; Nelson, G.; Playter, R. BigDog, the Rough-Terrain Quadruped Robot. IFAC Proc. Vol. 2008, 41, 10822–10825. [Google Scholar] [CrossRef]
- Wooden, D.; Malchano, M.; Blankespoor, K.; Howardy, A.; Rizzi, A.A.; Raibert, M. Autonomous navigation for bigdog. In Proceedings of the 2010 IEEE International Conference on Robotics and Automation, Anchorage, Alaska, 3–8 May 2010; pp. 4736–4741. [Google Scholar]
- Nelson, G.; Saunders, A.; Playter, R. The petman and atlas robots at boston dynamics. In Humanoid Robotics: A Reference; Spring: Dordrecht, The Netherlands, 2019; pp. 169–186. [Google Scholar]
- Seok, S.; Wang, A.; Chuah, M.Y.; Otten, D.; Lang, J.; Kim, S.; Wang, A.; Lang, J. Design principles for highly efficient quadrupeds and implementation on the MIT Cheetah robot. In Proceedings of the 2013 IEEE International Conference on Robotics and Automation, Karlsruhe, Germany, 6–10 May 2013; pp. 3307–3312. [Google Scholar]
- Semini, C. HYQ-Design and Development of a Hydraulically Actuated Quadruped Robot. Ph.D. Thesis, University of Genoa, Genoa, Italy, 2010. [Google Scholar]
- Bledt, G.; Powell, M.J.; Katz, B.; Di Carlo, J.; Wensing, P.M.; Kim, S. MIT cheetah 3: Design and control of a robust, dynamic quadruped robot. In Proceedings of the 2018 IEEE/RSJ International Conference on Intelligent Robots and Systems (IROS), Madrid, Spain, 1–5 October 2018; IEEE: Piscataway, NJ, USA, 2018; pp. 2245–2252. [Google Scholar]
- Pratt, G.A.; Williamson, M.M. Series elastic actuators. In Proceedings of the 1995 IEEE/RSJ International Conference on Intelligent Robots and Systems: Human Robot Interaction and Cooperative Robots, Pittsburgh, PA, USA, 5–9 August 1995; Volume 1, pp. 399–406. [Google Scholar]
- Hanafusa, H.; Asada, H. A robot hand with elastic fingers and its application to assembly process. In Information-Control Problems in Manufacturing Technology; Elsevier BV: Amsterdam, The Netherlands, 1978; pp. 127–138. [Google Scholar]
- VanderBorght, B.; Albu-Schaeffer, A.; Bicchi, A.; Burdet, E.; Caldwell, D.; Carloni, R.; Catalano, M.; Eiberger, O.; Friedl, W.; Ganesh, G.; et al. Variable impedance actuators: A review. Robot. Auton. Syst. 2013, 61, 1601–1614. [Google Scholar] [CrossRef]
- Wolf, S.; Grioli, G.; Eiberger, O.; Friedl, W.; Grebenstein, M.; Höppner, H.; Burdet, E.; Caldwell, D.G.; Carloni, R.; Catalano, M.G.; et al. Variable stiffness actuators: Review on design and components. IEEE/ASME Trans. Mechatron. 2015, 21, 2418–2430. [Google Scholar] [CrossRef]
- Hutter, M.; Gehring, C.; Lauber, A.; Gunther, F.; Bellicoso, C.D.; Tsounis, V.; Fankhauser, P.; Diethelm, R.; Bachmann, S.; Bloesch, M.; et al. ANYmal—Toward legged robots for harsh environments. Adv. Robot. 2017, 31, 918–931. [Google Scholar] [CrossRef]
- Hutter, M.; Gehring, C.; Jud, D.; Lauber, A.; Bellicoso, C.D.; Tsounis, V.; Hwangbo, J.; Bodie, K.; Fankhauser, P.; Bloesch, M.; et al. ANYmal—A highly mobile and dynamic quadrupedal robot. In Proceedings of the 2016 IEEE/RSJ International Conference on Intelligent Robots and Systems (IROS), Daejeon, Korea, 9–14 October 2016; pp. 38–44. [Google Scholar]
- Collins, S.H.; Wisse, M.; Ruina, A. A Three-Dimensional Passive-Dynamic Walking Robot with Two Legs and Knees. Int. J. Robot. Res. 2001, 20, 607–615. [Google Scholar] [CrossRef]
- Tedrake, R.; Zhang, T.; Fong, M.-F.; Seung, H. Actuating a simple 3D passive dynamic walker. In Proceedings of the IEEE International Conference on Robotics and Automation, New Orleans, LA, USA, 26 April–1 May 2004; Volume 5, pp. 4656–4661. [Google Scholar]
- Collins, S.H.; Ruina, A. A bipedal walking robot with efficient and human-like gait. In Proceedings of the 2005 IEEE International Conference on Robotics and Automation, Barcelona, Spain, 18–22 April 2005; pp. 1983–1988. [Google Scholar]
- Kim, T.; So, B.; Kwon, O.; Park, S. The energy minimization algorithm using foot rotation for hydraulic actuated quadruped walking robot with redundancy. In Proceedings of the ISR 2010 (41st International Symposium on Robotics) and ROBOTIK 2010 (6th German Conference on Robotics), Munich, Germany, 7–9 June 2010; pp. 1–6. [Google Scholar]
- Gebhardt, N. Hydraulik: Grundlagen, Komponenten, Schaltungen; Springer: Berlin, Germany, 2008. [Google Scholar]
- Shenouda, A. Quasi-Static Hydraulic Control Systems and Energy Savings Potential Using Independent Metering Four-Valve Assembly Configuration. Ph.D. Thesis, Georgia Institute of Technology, Atlanta, GA, USA, 2006. [Google Scholar]
- Liu, S.; Yao, B. Energy-Saving Control of Single-Rod Hydraulic Cylinders with Programmable Valves and Improved Working Mode Selection; SAE Technical Paper Series; SAE International: Warrendale, PA, USA, 2005; pp. 51–61. [Google Scholar] [CrossRef]
- Jelali, M.; Kroll, A. Hydraulic Servo-Systems: Modelling, Identification and Control; Springer: London, UK, 2012. [Google Scholar]
- Barasuol, V.; Villarreal-Magaña, O.A.; Sangiah, D.; Frigerio, M.; Baker, M.; Morgan, R.; Medrano-Cerda, G.A.; Caldwell, D.G.; Semini, C. Highly-Integrated Hydraulic Smart Actuators and Smart Manifolds for High-Bandwidth Force Control. Front. Robot. AI 2018, 5. [Google Scholar] [CrossRef]
- Hua, Z.; Rong, X.; Li, Y.; Li, Y.; Sun, Y.; Su, B. Design, Modelling and Validation of Hydraulic Servo Actuator with Passive Compliance for Legged Robots. IEEE Access 2018, 6, 59486–59495. [Google Scholar] [CrossRef]
- Rong, X. Mechanism Design and Kinematics Analysis of a Hydraulically Actuated Quadruped Robot Scalf; Shandong University: Jinan, China, 2013; Volume 10. [Google Scholar]
- Hoyt, N.F.; Taylor, C.R. Gait and the energetics of locomotion in horses. Nature 1981, 292, 239–240. [Google Scholar] [CrossRef]
- Hua, Z.; Rong, X.; Li, Y.; Chai, H.; Zhang, S. Active Compliance Control on the Hydraulic Quadruped Robot with Passive Compliant Servo Actuator. IEEE Access 2019, 7, 163449–163460. [Google Scholar] [CrossRef]
- Niu, G.; Shang, F.; Krishnamurthy, M.; Garcia, J.M. Evaluation and selection of accumulator size in electric-hydraulic hybrid (EH2) powertrain. In Proceedings of the 2016 IEEE Transportation Electrification Conference and Expo (ITEC), Dearborn, MI, USA, 26–29 June 2016; pp. 1–6. [Google Scholar]
- Merritt, H.; Merritt, H.E.; Merritt, H.E. Hydraulic Control Systems; John Wiley & Sons: Hoboken, NJ, USA, 1967. [Google Scholar]
- Rydberg, K. Hydraulic accumulators as key components in energy efficient mobile systems. In Proceedings of the 6th International Conference on Fluid Power Transmission and Control, Huangzhou, China, 5–8 April 2005; pp. 124–129. [Google Scholar]
- Lin, T.; Wang, Q. Hydraulic accumulator-motor-generator energy regeneration system for a hybrid hydraulic excavator. Chin. J. Mech. Eng. 2012, 25, 1121–1129. [Google Scholar] [CrossRef]
- Marquis-Favre, W.; Bideaux, E.; Scavarda, S. A planar mechanical library in the AMESim simulation software. Part II: Library composition and illustrative example. Simul. Model. Pract. Theory 2006, 14, 95–111. [Google Scholar] [CrossRef]
- Zapolsky, S.; Drumwright, E. Quadratic programming-based inverse dynamics control for legged robots with sticking and slipping frictional contacts. In Proceedings of the 2014 IEEE/RSJ International Conference on Intelligent Robots and Systems, Chicago, IL, USA, 14–18 September 2014; IEEE: Piscataway, NJ, USA, 2014; pp. 3266–3271. [Google Scholar]

















| Description | Symbol | Value | |
|---|---|---|---|
| piston diameter | ∖ | 0.025 | m |
| piston rod diameter | ∖ | 0.012 | m |
| piston stroke | 0.072 | m | |
| initial working volume | 1.3 × 10 | m | |
| bulk modulus | 1400 | Mpa | |
| working volume | 1.3 × 10 0.25 | m |
| Description | Symbol | Value |
|---|---|---|
| input pressure | 20 Mpa | |
| torso mass | 110 kg | |
| gait length | L | 0.236 m |
| gait height | H | 0.1 m |
| gait cycle | T | 1 s |
| stiffness in x-axis | 5000 N/m | |
| stiffness in z-axis | 8000 N/m | |
| damping in x-axis | 10 N/m/s | |
| damping in z-axis | 15 N/m/s |
| Description | First (0.15 s) | Second (0.47 s) | Third (1.15 s) | Fourth (1.47 s) | Total (2 s) |
|---|---|---|---|---|---|
| original actuator | 34.04 J | 182.1 J | 302 J | 450 J | 535.8 J |
| 2 Mpa | 34.5 J | 160.4 J | 279.7 J | 405.7 J | 490.5 J |
| 4 Mpa | 34.7 J | 156.7 J | 275.9 J | 398 J | 482.6 J |
| 6 Mpa | 34.7 J | 155.8 J | 274.8 J | 395.9 J | 480.3 J |
| Description | First (0.35 s) | Second (1 s) | Third (1.35 s) | Total (2 s) |
|---|---|---|---|---|
| original actuator | 130.2 J | 279.2 J | 409.4 J | 558.4 J |
| 2 Mpa | 128 J | 264.2 J | 392.5 J | 528.8 J |
| 4 Mpa | 128 J | 262.7 J | 390.7 | 525.4 J |
| 6 Mpa | 128 J | 260.4 J | 387.9 J | 520.8 J |
| Description | ||||
|---|---|---|---|---|
| original actuator | 147 J | 119 J | 148 J | 84.5 J |
| 2 × 10 m | 120.8 J | 119 J | 119.4 J | 84.6 J |
| 4 × 10 m | 120.6 J | 119 J | 120 J | 84.8 J |
| 6 × 10 m | 121.5 J | 119.1 J | 119.6 J | 85.1 J |
| Description | |||
|---|---|---|---|
| original actuator | 149 | 130.2 | 149 |
| 2 × 10 m | 132.5 J | 125.8 J | 133.6 J |
| 4 × 10 m | 132.7 J | 125.8 J | 133.6 J |
| 6 × 10 m | 132.3 J | 126.1 J | 133.9 J |
| Case | Accumulator | Initial Pressure | Working Volume |
|---|---|---|---|
| different inflation pressure | HAWE AC-13-1/4 | 2 and 4 Mpa | 1.3 × 10 m |
| different working volume | HAWE AC-13-1/4, AC-40-1/4 | 3 Mpa | 1.3 × 10 and 4 × 10 m |
| Description | Energy |
|---|---|
| original actuator | 1997 J |
| 2 Mpa | 1945 J |
| 4 Mpa | 1915 J |
| 1.3 × 10 m | 1893 J |
| 4 × 10 m | 1921 J |
| Description | Energy |
|---|---|
| original actuator | 1231 J |
| 2 Mpa | 1148 J |
| 4 Mpa | 1130 J |
| 1.3 × 10 m | 1134 J |
| 4 × 10 m | 1105 J |
© 2020 by the authors. Licensee MDPI, Basel, Switzerland. This article is an open access article distributed under the terms and conditions of the Creative Commons Attribution (CC BY) license (http://creativecommons.org/licenses/by/4.0/).
Share and Cite
Hua, Z.; Rong, X.; Li, Y.; Chai, H.; Li, B.; Zhang, S. Analysis and Verification on Energy Consumption of the Quadruped Robot with Passive Compliant Hydraulic Servo Actuator. Appl. Sci. 2020, 10, 340. https://doi.org/10.3390/app10010340
Hua Z, Rong X, Li Y, Chai H, Li B, Zhang S. Analysis and Verification on Energy Consumption of the Quadruped Robot with Passive Compliant Hydraulic Servo Actuator. Applied Sciences. 2020; 10(1):340. https://doi.org/10.3390/app10010340
Chicago/Turabian StyleHua, Zisen, Xuewen Rong, Yibin Li, Hui Chai, Bin Li, and Shuaishuai Zhang. 2020. "Analysis and Verification on Energy Consumption of the Quadruped Robot with Passive Compliant Hydraulic Servo Actuator" Applied Sciences 10, no. 1: 340. https://doi.org/10.3390/app10010340
APA StyleHua, Z., Rong, X., Li, Y., Chai, H., Li, B., & Zhang, S. (2020). Analysis and Verification on Energy Consumption of the Quadruped Robot with Passive Compliant Hydraulic Servo Actuator. Applied Sciences, 10(1), 340. https://doi.org/10.3390/app10010340

