Analysis of the Airflow Generated by Human Activity Using a Mobile Slipstream Measuring Device
Abstract
:1. Introduction
2. Materials and Methods
2.1. Experimental Equipment
2.2. Experimental Methods
3. Results and Discussion
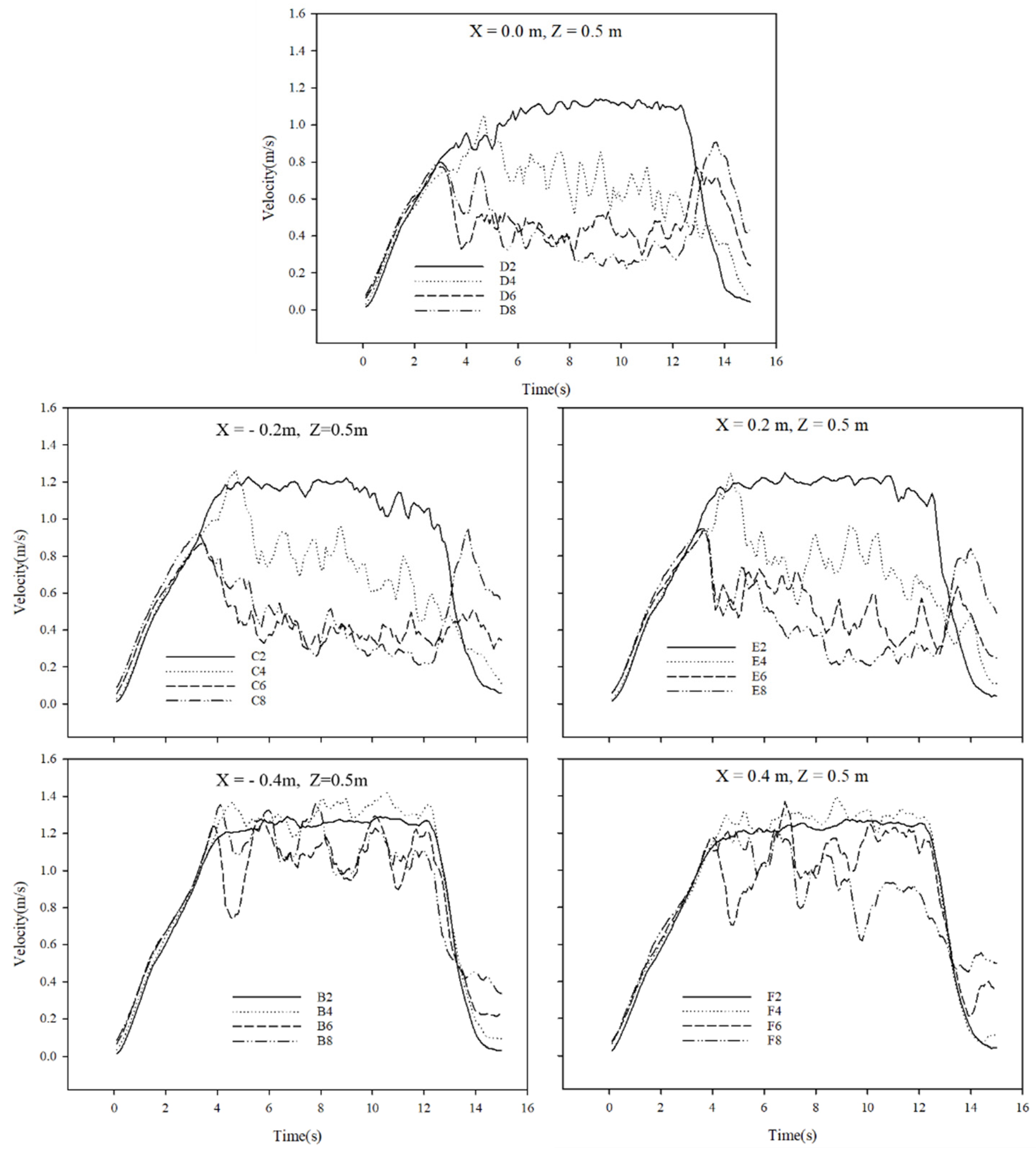
3.1. Measurement Results
3.2. Results of Cylinder Measurements and the Numerical Analysis
4. Conclusions and Discussion
Author Contributions
Funding
Conflicts of Interest
References
- Yu, I.T.S.; Li, Y.G.; Wong, T.W.; Tam, W.; Chan, A.T.; Lee, J.H.W.; Leung, D.Y.C.; Ho, T. Evidence of airborne trans-mission of the severe acute respiratory syndrome virus. N. Engl. J. Med. 2004, 350, 1731–1739. [Google Scholar] [CrossRef] [PubMed] [Green Version]
- U.S. Department of Health & Human Services. Centers for Disease Control and Prevention; 2016. Available online: https://www.cdc.gov/coronavirus/mers/index.html (accessed on 20 July 2016).
- Wei, J.; Li, Y. Airborne spread of infectious agents in the indoor environment. Am. J. Infect. Control. 2016, 44, S102–S108. [Google Scholar] [CrossRef] [PubMed]
- Wang, J.; Chow, T.T. Numerical investigation of influence of human walking on dispersion and deposition of expiratory droplets in airborne infection isolation room. Build. Environ. 2011, 46, 1993–2002. [Google Scholar] [CrossRef]
- Hang, J.; Li, Y.; Jin, R. The influence of human walking on the flow and airborne transmission in a six-bed isolation room: Tracer gas simulation. Build. Environ. 2014, 77, 119–134. [Google Scholar] [CrossRef] [PubMed]
- Cheong Chang, H.; Seo, Y.M.; Lee, S.H.; Kang, J. Improvement of airborne infection prevention methods in emergency room by design case study. J. Korean Soc. Living Environ. Syst. 2016, 23, 433–442. [Google Scholar]
- Min-Ki, S.; Shinsuke, K.; Jong-Hun, K. Airborne contaminant dispersion in the ward area of a hospital air-conditioned by multi zone VAV systems. J. Korean Soc. Living Environ. Syst. 2012, 19, 1–7. [Google Scholar]
- Liu, Y.; Zhao, Y.; Liu, Z.; Luo, J. Numerical investigation of the unsteady flow characteristics of human body thermal plume. Build. Simul. 2016, 9, 677–687. [Google Scholar] [CrossRef]
- Martinho, N.; Lopes, A.G.; da Silva, M.C.G. Evaluation of errors on the CFD computation of air flow and heat transfer around the human body. Build. Environ. 2012, 58, 58–69. [Google Scholar] [CrossRef]
- Takada, S.; Sasaki, A.; Kimura, R. Fundamental study of ventilation in air layer in clothing considering real shape of the human body based on CFD analysis. Build. Environ. 2016, 99, 210–220. [Google Scholar] [CrossRef]
- Ge, Q.; Li, X.; Inthavong, K.; Tu, J. Numerical study of the effects of human body heat on particle transport and inhalation in indoor environment. Build. Environ. 2013, 59, 1–9. [Google Scholar] [CrossRef]
- Choi, J.-I.; Oberoi, R.C.; Edwards, J.R.; Rosati, J.A. An immersed boundary method for complex incompressible flows. J. Comput. Phys. 2007, 224, 757–784. [Google Scholar] [CrossRef]
- Choi, J.-I.; Edwards, J.R. Large eddy simulation and zonal modeling of human-induced contaminant transport. Indoor Air 2008, 18, 233–249. [Google Scholar] [CrossRef] [PubMed]
- Choi, J.-I.; Edwards, J.R.; Choi, J.-I.; Edwards, J.R. Large-eddy simulation of human-induced contaminant transport in room compartments. Indoor Air 2011, 22, 77–87. [Google Scholar] [CrossRef] [PubMed]
- Choi, J.-I.; Edwards, J.R.; Rosati, J.A.; Eisner, A.D. Large Eddy Simulation of Particle Re-suspension During a Footstep. Aerosol Sci. Technol. 2012, 46, 767–780. [Google Scholar] [CrossRef] [Green Version]
- Shih, Y.-C.; Chiu, C.-C.; Wang, O. Dynamic airflow simulation within an isolation room. Build. Environ. 2007, 42, 3194–3209. [Google Scholar] [CrossRef] [PubMed]
- Zhang, Z.; Chen, X.; Mazumdar, S.; Zhang, T.; Chen, Q. Experimental and numerical investigation of airflow and contaminant transport in an airliner cabin mockup. Build. Environ. 2009, 44, 85–94. [Google Scholar] [CrossRef] [Green Version]
- Poussou, S.B.; Mazumdar, S.; Plesniak, M.; Sojka, P.E.; Chen, Q. Flow and contaminant transport in an airliner cabin induced by a moving body: Model experiments and CFD predictions. Atmos. Environ. 2010, 44, 2830–2839. [Google Scholar] [CrossRef]
- Mazumdar, S.; Poussou, S.B.; Lin, C.-H.; Isukapalli, S.S.; Plesniak, M.W.; Chen, Q. Impact of scaling and body movement on contaminant transport in airliner cabins. Atmos. Environ. 2011, 45, 6019–6028. [Google Scholar] [CrossRef]
- Han, Z.Y.; Weng, W.G.; Huang, Q.Y.; Fu, M.; Yang, J.; Luo, N. Aerodynamic characteristics of human movement be-haviors in full-scale environment: Comparison of limbs pendulum and body motion. Indoor Built Environ. 2015, 24, 87–100. [Google Scholar] [CrossRef]
- Milanowicz, M.; Kedzior, K. Active numerical model of human body for reconstruction of falls from height. Forensic Sci. Int. 2017, 270, 223–231. [Google Scholar] [CrossRef]
- Liu, Y.; Liu, Z.; Luo, J. Numerical Investigation of the Unsteady Thermal Plume Around Human Body in Closed Space. Procedia Eng. 2015, 121, 1919–1926. [Google Scholar] [CrossRef] [Green Version]
- Hemant, N.; Shaligram, T. Heat transfer and fluid flow characteristics from finite height circular cylinder mounted on horizontal plate. Procedia Eng. 2015, 127, 71–78. [Google Scholar]
- Park, C.W.; Lee, S.J. Free end effects on the near wake flow structure behind a finite circular cylinder. J. Wind. Eng. Ind. Aerodyn. 2000, 88, 231–246. [Google Scholar] [CrossRef]
- Kawamura, T.; Hiwada, M.; Hibino, T.; Mabuchi, I.; Kumada, M. Flow around a finite circular cylinder on a flat plate. Bulletin of JSME. 1984, 27, 2142–2151. [Google Scholar] [CrossRef] [Green Version]
- Gola, M.; Caggiano, G.; De Giglio, O.; Napoli, C.; Diella, G.; Carlucci, M.; Carpagnano, L.F.; D’Alessandro, D.; Joppolo, C.M.; Capolongo, S.; et al. SARS-CoV-2 indoor contamination: Considerations on anti-COVID-19 management of ventilation systems, and finishing materials in healthcare facilities. Ann. Ig. 2021, 33, 381–392. [Google Scholar] [CrossRef] [PubMed]
- Yang, Y.K.; Won, A.N.; Hwang, J.H.; Park, J.C. Simulation of splash diffusion analysis for prevention of infection in hospital. KIEAE J. 2018, 18, 121–127. [Google Scholar] [CrossRef]
- Li, Z.; Wang, H.; Zhang, X.; Wu, T.; Yang, X. Effects of space sizes on the dispersion of cough-generated droplets from a walking person. Phys. Fluids 2020, 32, 121705. [Google Scholar] [CrossRef] [PubMed]










| Column B (X = −0.4 m) | Column C (X = −0.2 m) | Column D (X = 0.0 m) | Column E (X = 0.2 m) | Column F (X = 0.4 m) | |
|---|---|---|---|---|---|
| 2nd Height (Y = 1.8 m) | B2 | C2 | D2 | E2 | F2 |
| 4th Height (Y = 1.4 m) | B4 | C4 | D4 | E4 | F4 |
| 6th Height (Y = 1.0 m) | B6 | C6 | D6 | E6 | F6 |
| 8th Height (Y = 0.6 m) | B8 | C8 | D8 | E8 | F8 |
| Column B (X = −0.4 m) | Column C (X = −0.2 m) | Column D (X = 0.0 m) | Column E (X = 0.2 m) | Column F (X = 0.4 m) | |
|---|---|---|---|---|---|
| Z = 2 m | 0.944 ± 0.027 | 0.870 ± 0.049 | 0.788 ± 0.037 | 0.886 ± 0.030 | 0.877 ± 0.047 |
| Z = 1 m | 1.003 ± 0.032 | 0.527 ± 0.089 | 0.553 ± 0.092 | 0.690 ± 0.119 | 0.901 ± 0.031 |
| Z = 0.75 m | 1.034 ± 0.042 | 0.396 ± 0.074 | 0.442 ± 0.095 | 0.466 ± 0.158 | 0.963 ± 0.029 |
| Z = 0.5 m | 1.108 ± 0.034 | 0.2450 ± 0.044 | 0.244 ± 0.024 | 0.299 ± 0.027 | 0.943 ± 0.085 |
| Z = 0.25 m | 1.158 ± 0.043 | 0.384 ± 0.040 | 0.385 ± 0.041 | 0.313 ± 0.033 | 1.108 ± 0.064 |
| Z = 0.15 m | 1.188 ± 0.040 | 0.311 ± 0.043 | 0.354 ± 0.038 | 0.237 ± 0.052 | 1.159 ± 0.024 |
Publisher’s Note: MDPI stays neutral with regard to jurisdictional claims in published maps and institutional affiliations. |
© 2021 by the authors. Licensee MDPI, Basel, Switzerland. This article is an open access article distributed under the terms and conditions of the Creative Commons Attribution (CC BY) license (https://creativecommons.org/licenses/by/4.0/).
Share and Cite
Kim, M.; Lee, Y.; Park, D. Analysis of the Airflow Generated by Human Activity Using a Mobile Slipstream Measuring Device. Environments 2021, 8, 97. https://doi.org/10.3390/environments8100097
Kim M, Lee Y, Park D. Analysis of the Airflow Generated by Human Activity Using a Mobile Slipstream Measuring Device. Environments. 2021; 8(10):97. https://doi.org/10.3390/environments8100097
Chicago/Turabian StyleKim, Minkyeong, Yongil Lee, and Duckshin Park. 2021. "Analysis of the Airflow Generated by Human Activity Using a Mobile Slipstream Measuring Device" Environments 8, no. 10: 97. https://doi.org/10.3390/environments8100097
APA StyleKim, M., Lee, Y., & Park, D. (2021). Analysis of the Airflow Generated by Human Activity Using a Mobile Slipstream Measuring Device. Environments, 8(10), 97. https://doi.org/10.3390/environments8100097

