Health-Related Quality of Life in Kindergarten Children with Developmental Language Disorder: Child–Mother Agreement
Abstract
:1. Introduction
2. Materials and Methods
2.1. Participants
2.2. Measures
2.3. Statistical Analysis
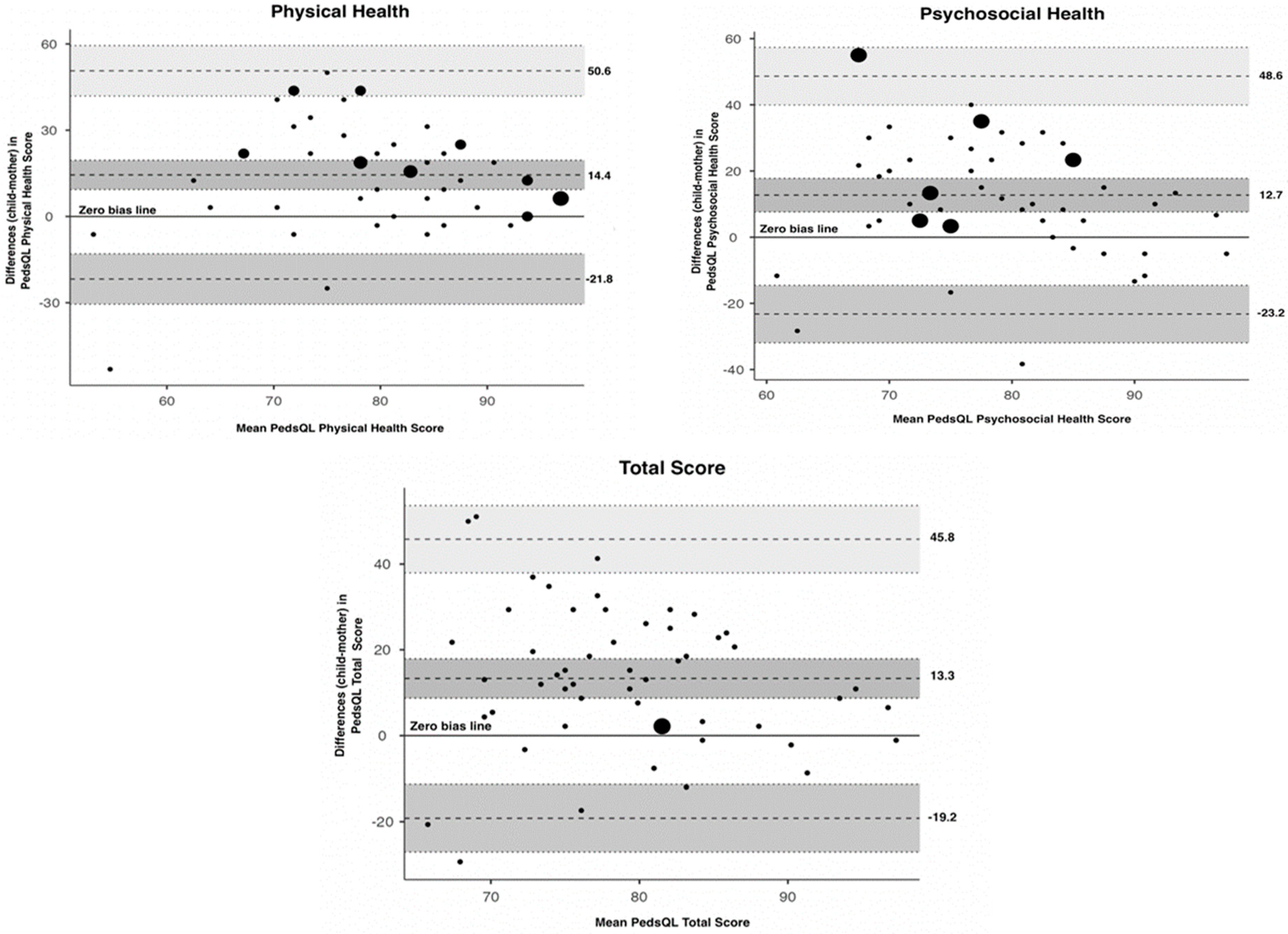
3. Results
3.1. PedsQL Reliability
3.2. Child Self-Reported and Parent-Reported HRQoL
3.3. Level of Child–Parent Agreement
4. Discussion
- HRQoL agreement studies in developmental disorders
- DLD and HRQoL agreement
4.1. Limitations
4.2. Clinical Implications
5. Conclusions
Author Contributions
Funding
Institutional Review Board Statement
Informed Consent Statement
Data Availability Statement
Conflicts of Interest
References
- Hemmingsson, H.; Ólafsdóttir, L.B.; Egilson, S.T. Agreements and Disagreements between Children and Their Parents in Health-Related Assessments. Disabil. Rehabil. 2017, 39, 1059–1072. [Google Scholar] [CrossRef] [PubMed]
- Verhey, L.H.; Kulik, D.M.; Ronen, G.M.; Rosenbaum, P.; Lach, L.; Streiner, D.L. Quality of Life in Childhood Epilepsy: What Is the Level of Agreement between Youth and Their Parents? Epilepsy Behav. 2009, 14, 407–410. [Google Scholar] [CrossRef] [PubMed]
- Barbosa, J.; Tannock, R.; Manassis, K. Measuring Anxiety: Parent-Child Reporting Differences in Clinical Samples. Depress. Anxiety 2002, 15, 61–65. [Google Scholar] [CrossRef] [PubMed]
- Bishop, D.V.M.; Snowling, M.J.; Thompson, P.A.; Greenhalgh, T. Phase 2 of CATALISE: A Multinational and Multidisciplinary Delphi Consensus Study of Problems with Language Development: Terminology. J. Child Psychol. Psychiatry 2017, 58, 1068–1080. [Google Scholar] [CrossRef] [PubMed]
- Bishop, D.V.M.; Snowling, M.J.; Thompson, P.A.; Greenhalgh, T. CATALISE: A Multinational and Multidisciplinary Delphi Consensus Study. Identifying Language Impairments in Children. PLoS ONE 2016, 11, e0158753. [Google Scholar] [CrossRef]
- Tomblin, J.B.; Records, N.L.; Buckwalter, P.; Zhang, X.; Smith, E.; O’Brien, M. Prevalence of Specific Language Impairment in Kindergarten Children. J. Speech Lang. Hear. Res. 1997, 40, 1245–1260. [Google Scholar] [CrossRef]
- McGregor, K.K. How We Fail Children with Developmental Language Disorder. Lang. Speech Hear. Serv. Sch. 2020, 51, 981–992. [Google Scholar] [CrossRef]
- Bishop, D.V.M. Ten Questions about Terminology for Children with Unexplained Language Problems. Int. J. Lang. Commun. Disord. 2014, 49, 381–415. [Google Scholar] [CrossRef]
- Beitchman, J.H.; Wilson, B.; Brownlie, E.B.; Walters, H.; Inglis, A.; Lancee, W. Long-Term Consistency in Speech/Language Profiles: II. Behavioral, Emotional, and Social Outcomes. J. Am. Acad. Child Adolesc. Psychiatry 1996, 35, 815–825. [Google Scholar] [CrossRef]
- McCabe, P.C. Social and Behavioral Correlates of Preschoolers with Specific Language Impairment. Sch. Psychol. 2005, 42, 373–387. [Google Scholar] [CrossRef]
- Reilly, S.; Tomblin, B.; Law, J.; McKean, C.; Mensah, F.K.; Morgan, A.; Goldfeld, S.; Nicholson, J.M.; Wake, M. Specific Language Impairment: A Convenient Label for Whom? Int. J. Lang. Commun. Disord. 2014, 49, 416–451. [Google Scholar] [CrossRef] [PubMed]
- Markham, C.; van Laar, D.; Gibbard, D.; Dean, T. Children with Speech, Language and Communication Needs: Their Perceptions of Their Quality of Life. Int. J. Lang. Commun. Disord. 2009, 44, 748–768. [Google Scholar] [CrossRef] [PubMed]
- Conti-Ramsden, G.; Botting, N. Emotional Health in Adolescents with and without a History of Specific Language Impairment (SLI). J. Child Psychol. Psychiatry 2008, 49, 516–525. [Google Scholar] [CrossRef] [PubMed]
- Eadie, P.; Conway, L.; Hallenstein, B.; Mensah, F.; McKean, C.; Reilly, S. Quality of Life in Children with Developmental Language Disorder. Int. J. Lang. Commun. Disord. 2018, 53, 799–810. [Google Scholar] [CrossRef] [PubMed]
- Law, J.; Rush, R.; Schoon, I.; Parsons, S. Modeling Developmental Language Difficulties from School Entry Into Adulthood: Literacy, Mental Health, and Employment Outcomes. J. Speech Lang. Hear. Res. 2009, 52, 1401–1416. [Google Scholar] [CrossRef] [PubMed]
- Le, H.N.D.; Mensah, F.; Eadie, P.; McKean, C.; Sciberras, E.; Bavin, E.L.; Reilly, S.; Gold, L. Health-Related Quality of Life of Children with Low Language from Early Childhood to Adolescence: Results from an Australian Longitudinal Population-Based Study. J. Child Psychol. Psychiatry 2021, 62, 349–356. [Google Scholar] [CrossRef]
- Spieth, L.E.; Harris, C.V. Assessment of Health-Related Quality of Life in Children and Adolescents: An Integrative Review. J. Pediatr. Psychol. 1996, 21, 175–193. [Google Scholar] [CrossRef] [PubMed]
- Ebrahim, S. Clinical and Public Health Perspectives and Applications of Health-Related Quality of Life Measurement. Soc. Sci. Med. 1995, 41, 1383–1394. [Google Scholar] [CrossRef]
- Palermo, T.M.; Long, A.C.; Lewandowski, A.S.; Drotar, D.; Quittner, A.L.; Walker, L.S. Evidence-Based Assessment of Health-Related Quality of Life and Functional Impairment in Pediatric Psychology. J. Pediatr. Psychol. 2008, 33, 983–996. [Google Scholar] [CrossRef]
- Gomersall, T.; Spencer, S.; Basarir, H.; Tsuchiya, A.; Clegg, J.; Sutton, A.; Dickinson, K. Measuring Quality of Life in Children with Speech and Language Difficulties: A Systematic Review of Existing Approaches. Int. J. Lang. Commun. Disord. 2015, 50, 416–435. [Google Scholar] [CrossRef]
- Nicola, K.; Watter, P. The Comparison of Perceived Health-Related Quality of Life between Australian Children with Severe Specific Language Impairment to Age and Gender-Matched Peers. BMC Pediatr. 2018, 18, 62. [Google Scholar] [CrossRef] [PubMed]
- Arkkila, E.; Räsänen, P.; Roine, R.P.; Sintonen, H.; Saar, V.; Vilkman, E. Health-Related Quality of Life of Children with Specific Language Impairment Aged 8–11. Folia Phoniatr. Logop. 2011, 63, 27–35. [Google Scholar] [CrossRef] [PubMed]
- Nicola, K.; Watter, P. Health-Related Quality of Life from the Perspective of Children with Severe Specific Language Impairment. Health Qual. Life Outcomes 2015, 13, 127. [Google Scholar] [CrossRef] [PubMed]
- Hubert-Dibon, G.; Bru, M.; Gras Le Guen, C.; Launay, E.; Roy, A. Health-Related Quality of Life for Children and Adolescents with Specific Language Impairment: A Cohort Study by a Learning Disabilities Reference Center. PLoS ONE 2016, 11, e0166541. [Google Scholar] [CrossRef] [PubMed]
- Davis, E.; Nicolas, C.; Waters, E.; Cook, K.; Gibbs, L.; Gosch, A.; Ravens-Sieberer, U. Parent-Proxy and Child Self-Reported Health-Related Quality of Life: Using Qualitative Methods to Explain the Discordance. Qual. Life Res. 2007, 16, 863–871. [Google Scholar] [CrossRef] [PubMed]
- Eiser, C.; Morse, R. Can Parents Rate Their Child’s Health-Related Quality of Life? Results of a Systematic Review. Qual. Life Res. 2001, 10, 347–357. [Google Scholar] [CrossRef]
- Wallander, J.L.; Koot, H.M. Quality of Life in Children: A Critical Examination of Concepts, Approaches, Issues, and Future Directions. Clin. Psychol. Rev. 2016, 45, 131–143. [Google Scholar] [CrossRef]
- Sneeuw, K.C.A.; Sprangers, M.A.G.; Aaronson, N.K. The Role of Health Care Providers and Significant Others in Evaluating the Quality of Life of Patients with Chronic Disease. J. Clin. Epidemiol. 2002, 55, 1130–1143. [Google Scholar] [CrossRef]
- Varni, J.W.; Limbers, C.A.; Burwinkle, T.M. How Young Can Children Reliably and Validly Self-Report Their Health-Related Quality of Life? An Analysis of 8591 Children across Age Subgroups with the PedsQLTM 4.0 Generic Core Scales. Health Qual. Life Outcomes 2007, 5, 1. [Google Scholar] [CrossRef]
- Vieira, M.E.B.; Formiga, C.K.M.R.; Linhares, M.B.M. Quality of Life Reported by Pre-School Children and Their Primary Caregivers. Child Indic. Res. 2018, 11, 1967–1982. [Google Scholar] [CrossRef]
- Cremeens, J.; Eiser, C.; Blades, M. Characteristics of Health-Related Self-Report Measures for Children Aged Three to Eight Years: A Review of the Literature. Qual. Life Res. 2006, 15, 739–754. [Google Scholar] [CrossRef] [PubMed]
- Matza, L.S.; Swensen, A.R.; Flood, E.M.; Secnik, K.; Leidy, N.K. Assessment of Health-Related Quality of Life in Children: A Review of Conceptual, Methodological, and Regulatory Issues. Value Health 2004, 7, 79–92. [Google Scholar] [CrossRef] [PubMed]
- Theunissen, N.C.M.; Vogels, T.G.C.; Koopman, H.M.; Verrips, G.H.W.; Zwinderman, K.A.H.; Verloove-Vanhorick, S.P.; Wit, J.M. The Proxy Problem: Child Report versus Parent Report in Health-Related Quality of Life Research. Qual. Life Res. 1998, 7, 387–397. [Google Scholar] [CrossRef] [PubMed]
- Ottosson, S.; Schachinger Lorentzon, U.; Kadesjö, B.; Gillberg, C.; Miniscalco, C. Neurodevelopmental Problems and Quality of Life in 6-Year-Olds with a History of Developmental Language Disorder. Acta Paediatr. 2022, 111, 115–122. [Google Scholar] [CrossRef] [PubMed]
- Redondo-Tébar, A.; Ruiz-Hermosa, A.; Martínez-Vizcaíno, V.; Martín-Espinosa, N.M.; Notario-Pacheco, B.; Sánchez-López, M. Health-Related Quality of Life in Developmental Coordination Disorder and Typical Developing Children. Res. Dev. Disabil. 2021, 119, 104087. [Google Scholar] [CrossRef]
- Gutierrez-Colina, A.M.; Eaton, C.K.; Lee, J.L.; LaMotte, J.; Blount, R.L. Health-Related Quality of Life and Psychosocial Functioning in Children With Tourette Syndrome. J. Child Neurol. 2015, 30, 326–332. [Google Scholar] [CrossRef]
- Brewster, A.B. Chronically Ill Hospitalized Children’s Concepts of Their Illness. Pediatrics 1982, 69, 355–362. [Google Scholar] [CrossRef]
- Pantell, R.H.; Lewis, C.C. Measuring the Impact of Medical Care on Children. J. Chronic Dis. 1987, 40, 99S–108S. [Google Scholar] [CrossRef]
- Owen, R.; Hayett, L.; Roulstone, S. Children’s Views of Speech and Language Therapy in School: Consulting Children with Communication Difficulties. Child Lang. Teach. Ther. 2004, 20, 55–73. [Google Scholar] [CrossRef]
- The Convention on the Rights of the Child; U.N. General Assembly: New York, NY, USA, 2019; ISBN 9789210045131.
- Gough Kenyon, S.M.; Palikara, O.; Lucas, R.M. Consistency of Parental and Self-Reported Adolescent Wellbeing: Evidence From Developmental Language Disorder. Front. Psychol. 2021, 12, 629577. [Google Scholar] [CrossRef]
- Palikara, O.; Lindsay, G.; Dockrell, J.E. Voices of Young People with a History of Specific Language Impairment (SLI) in the First Year of Post-16 Education. Int. J. Lang. Commun. Disord. 2009, 44, 56–78. [Google Scholar] [CrossRef] [PubMed]
- Koot, H.M. Quality of Life in Children: The Use of Parent Reports. Dev. Med. Child Neurol. 2020, 62, 545–546. [Google Scholar] [CrossRef] [PubMed]
- Rensen, N.; Steur, L.M.H.; Schepers, S.A.; Merks, J.H.M.; Moll, A.C.; Kaspers, G.J.L.; Van Litsenburg, R.R.L.; Grootenhuis, M.A. Determinants of Health-Related Quality of Life Proxy Rating Disagreement between Caregivers of Children with Cancer. Qual. Life Res. 2020, 29, 901–912. [Google Scholar] [CrossRef] [PubMed]
- Varni, J.W.; Seid, M.; Kurtin, P.S. PedsQLTM 4.0: Reliability and Validity of the Pediatric Quality of Life InventoryTM Version 4.0 Generic Core Scales in Healthy and Patient Populations. Med. Care 2001, 39, 800–812. [Google Scholar] [CrossRef] [PubMed]
- Varni, J.W.; Burwinkle, T.M.; Seid, M.; Skarr, D. The PedsQLTM* 4.0 as a Pediatric Population Health Measure: Feasibility, Reliability, and Validity. Ambul. Pediatr. 2003, 3, 329–341. [Google Scholar] [CrossRef] [PubMed]
- Varni, J.W.; Limbers, C.A.; Burwinkle, T.M. Parent Proxy-Report of Their Children’s Health-Related Quality of Life: An Analysis of 13,878 Parents’ Reliability and Validity across Age Subgroups Using the PedsQLTM 4.0 Generic Core Scales. Health Qual. Life Outcomes 2007, 5, 2. [Google Scholar] [CrossRef]
- IBM Corp. IBM SPSS Statistics for Mac, Version 28.0. Released 2021. IBM Corp: Armonk, NY, USA.
- The Jamovi Project. Jamovi (Version 2.3) [Computer Software]. 2022. Available online: https://www.jamovi.org (accessed on 7 February 2022).
- Koo, T.K.; Li, M.Y. A Guideline of Selecting and Reporting Intraclass Correlation Coefficients for Reliability Research. J. Chiropr. Med. 2016, 15, 155–163. [Google Scholar] [CrossRef]
- De Wet, H.C.; Terwee, C.B.; Mokkink, L.B.; Knol, D.L. Measurement in Medicine: A Practical Guide, 1st ed.; Cambridge University Press: Cambridge, UK, 2011. [Google Scholar]
- Lee, Y.; Yang, H.-J.; Chen, V.C.; Lee, W.-T.; Teng, M.-J.; Lin, C.-H.; Gossop, M. Meta-Analysis of Quality of Life in Children and Adolescents with ADHD: By Both Parent Proxy-Report and Child Self-Report Using PedsQLTM. Res. Dev. Disabil. 2016, 51–52, 160–172. [Google Scholar] [CrossRef]
- Galloway, H.; Newman, E. Is There a Difference between Child Self-Ratings and Parent Proxy-Ratings of the Quality of Life of Children with a Diagnosis of Attention-Deficit Hyperactivity Disorder (ADHD)? A Systematic Review of the Literature. ADHD Atten. Deficit Hyperact. Disord. 2017, 9, 11–29. [Google Scholar] [CrossRef]
- Potvin, M.-C.; Snider, L.; Prelock, P.A.; Wood-Dauphinee, S.; Kehayia, E. Health-Related Quality of Life in Children with High-Functioning Autism. Autism 2015, 19, 14–19. [Google Scholar] [CrossRef]
- Clark, B.G.; Magill-Evans, J.E.; Koning, C.J. Youth with Autism Spectrum Disorders. Focus Autism Other Dev. Disabil. 2015, 30, 57–64. [Google Scholar] [CrossRef]
- Rotsika, V.; Coccossis, M.; Vlassopoulos, M.; Papaeleftheriou, E.; Sakellariou, K.; Anagnostopoulos, D.C.; Kokkevi, A.; Skevington, S. Does the Subjective Quality of Life of Children with Specific Learning Disabilities (SpLD) Agree with Their Parents’ Proxy Reports? Qual. Life Res. 2011, 20, 1271–1278. [Google Scholar] [CrossRef] [PubMed]
- Golubović, Š.; Škrbić, R. Agreement in Quality of Life Assessment between Adolescents with Intellectual Disability and Their Parents. Res. Dev. Disabil. 2013, 34, 1863–1869. [Google Scholar] [CrossRef] [PubMed]
- Canavera, K.E.; Wilkins, K.C.; Pincus, D.B.; Ehrenreich-May, J.T. Parent–Child Agreement in the Assessment of Obsessive-Compulsive Disorder. J. Clin. Child Adolesc. Psychol. 2009, 38, 909–915. [Google Scholar] [CrossRef] [PubMed]
- Chang, P.-C.; Yeh, C.-H. Agreement between Child Self-Report and Parent Proxy-Report to Evaluate Quality of Life in Children with Cancer. Psychooncology 2005, 14, 125–134. [Google Scholar] [CrossRef] [PubMed]
- Kulkarni, A.V.; Cochrane, D.D.; McNeely, P.D.; Shams, I. Comparing Children’s and Parents’ Perspectives of Health Outcome in Paediatric Hydrocephalus. Dev. Med. Child Neurol. 2008, 50, 587–592. [Google Scholar] [CrossRef] [PubMed]
- Gkoltsiou, K.; Dimitrakaki, C.; Tzavara, C.; Papaevangelou, V.; Varni, J.W.; Tountas, Y. Measuring Health-Related Quality of Life in Greek Children: Psychometric Properties of the Greek Version of the Pediatric Quality of Life InventoryTM 4.0 Generic Core Scales. Qual. Life Res. 2008, 17, 299–305. [Google Scholar] [CrossRef]
- Aldayel, A.S.; Aldayel, A.A.; Almutairi, A.M.; Alhussain, H.A.; Alwehaibi, S.A.; Almutairi, T.A. Parental Knowledge of Children’s Developmental Milestones in Riyadh, Saudi Arabia. Int. J. Pediatr. 2020, 2020, 8889912. [Google Scholar] [CrossRef]
- Aguilera, M.; Ahufinger, N.; Esteve-Gibert, N.; Ferinu, L.; Andreu, L.; Sanz-Torrent, M. Vocabulary Abilities and Parents’ Emotional Regulation Predict Emotional Regulation in School-Age Children but Not Adolescents with and without Developmental Language Disorder. Front. Psychol. 2021, 12, 748283. [Google Scholar] [CrossRef]
- Ahufinger, N.; Guerra, E.; Ferinu, L.; Andreu, L.; Sanz-Torrent, M. Cross-Situational Statistical Learning in Children with Developmental Language Disorder. Lang. Cogn. Neurosci. 2021, 36, 1180–1200. [Google Scholar] [CrossRef]
- Rice, M.L.; Buhr, J.C.; Nemeth, M. Fast Mapping Word-Learning Abilities of Language-Delayed Preschoolers. J. Speech Hear. Disord. 1990, 55, 33–42. [Google Scholar] [CrossRef] [PubMed]
- Bussières, E.-L.; Malboeuf-Hurtubise, C.; Meilleur, A.; Mastine, T.; Hérault, E.; Chadi, N.; Montreuil, M.; Généreux, M.; Camden, C. Consequences of the COVID-19 Pandemic on Children’s Mental Health: A Meta-Analysis. Front. Psychiatry 2021, 12, 691659. [Google Scholar] [CrossRef] [PubMed]
- Ding, X.; Liu, H.; Wang, H.; Song, Q.; Su, W.; Li, N.; Liang, M.; Guo, X.; Qu, G.; Ma, S.; et al. COVID-19 Pandemic Impact on Family Life and Exacerbated Emotional and Behavioral Health among Preschool Children: A Longitudinal Study. Int. J. Clin. Health Psychol. 2022, 22, 100327. [Google Scholar] [CrossRef] [PubMed]

| HRQoL Domains | Child Self-Report | Parent Proxy Report | p |
|---|---|---|---|
| Mean ± SD (N = 53) | |||
| Physical Functioning | 73.1 ± 13.8 | 87.6 ± 13.8 | <0.001 |
| Emotional Functioning | 64.9 ± 19.0 | 81.8 ± 14.7 | <0.001 |
| Social Functioning | 72.6 ± 22.2 | 85.6 ± 16.1 | <0.001 |
| School Functioning | 78.7 ± 13.6 | 87.0 ± 13.1 | <0.001 |
| Physical Health | 73.1 ± 13.8 | 87.6 ± 13.8 | <0.001 |
| Psychosocial Health | 72.1 ± 13.8 | 84.8 ± 11.1 | <0.001 |
| Total Score | 72.4 ± 12.2 | 85.7 ± 10.3 | <0.001 |
| HRQoL Domains | ICC |
|---|---|
| Physical Functioning | 0.07 |
| Emotional Functioning | −0.05 |
| Social Functioning | 0.07 |
| School Functioning | 0.05 |
| Physical Health | 0.07 |
| Psychosocial Health | −0.05 |
| Total Score | −0.05 |
| HRQoL Domains | Limit of Agreement | ||
|---|---|---|---|
| Bias Estimate (95% CI) | Lower (95% CI) | Upper (95% CI) | |
| Physical Health | 14.4 (9.3–19.5) | −21.8 (−30.5–−13.0) | 50.6 (41.9–59.4) |
| Psychosocial Health | 12.7 (7.6–17.8) | −23.2 (−31.9–−14.5) | 48.6 (39.9–57.3) |
| Total Score | 13.3 (8.7–17.9) | −19.2 (−27.1–−11.3) | 45.8 (37.9–53.7) |
Disclaimer/Publisher’s Note: The statements, opinions and data contained in all publications are solely those of the individual author(s) and contributor(s) and not of MDPI and/or the editor(s). MDPI and/or the editor(s) disclaim responsibility for any injury to people or property resulting from any ideas, methods, instructions or products referred to in the content. |
© 2023 by the authors. Licensee MDPI, Basel, Switzerland. This article is an open access article distributed under the terms and conditions of the Creative Commons Attribution (CC BY) license (https://creativecommons.org/licenses/by/4.0/).
Share and Cite
Boukouvala, M.; Hyphantis, T.; Koullourou, I.; Tzotzi, A.; Mitropoulou, A.; Mantas, C.; Petrikis, P.; Serdari, A.; Siafaka, V.; Kotsis, K. Health-Related Quality of Life in Kindergarten Children with Developmental Language Disorder: Child–Mother Agreement. Behav. Sci. 2023, 13, 1017. https://doi.org/10.3390/bs13121017
Boukouvala M, Hyphantis T, Koullourou I, Tzotzi A, Mitropoulou A, Mantas C, Petrikis P, Serdari A, Siafaka V, Kotsis K. Health-Related Quality of Life in Kindergarten Children with Developmental Language Disorder: Child–Mother Agreement. Behavioral Sciences. 2023; 13(12):1017. https://doi.org/10.3390/bs13121017
Chicago/Turabian StyleBoukouvala, Maria, Thomas Hyphantis, Iouliani Koullourou, Alexandra Tzotzi, Andromachi Mitropoulou, Christos Mantas, Petros Petrikis, Aspasia Serdari, Vassiliki Siafaka, and Konstantinos Kotsis. 2023. "Health-Related Quality of Life in Kindergarten Children with Developmental Language Disorder: Child–Mother Agreement" Behavioral Sciences 13, no. 12: 1017. https://doi.org/10.3390/bs13121017
APA StyleBoukouvala, M., Hyphantis, T., Koullourou, I., Tzotzi, A., Mitropoulou, A., Mantas, C., Petrikis, P., Serdari, A., Siafaka, V., & Kotsis, K. (2023). Health-Related Quality of Life in Kindergarten Children with Developmental Language Disorder: Child–Mother Agreement. Behavioral Sciences, 13(12), 1017. https://doi.org/10.3390/bs13121017

