Effects of Phosphorus in Growth Media on Biomineralization and Cell Surface Properties of Marine Cyanobacteria Synechococcus
Abstract
1. Introduction
2. Materials and Methods
2.1. Synechococcus Growth in Different Phosphorus Concentrations
2.2. Cell Envelope Molecular Properties
2.2.1. Potentiometric Titrations and Their Combination with Attenuated Total Reflectance (ATR)-FTIR Spectroscopy
2.2.2. Tip-Enhanced Raman Spectroscopy
2.2.3. X-ray Photoelectron Spectroscopy (XPS)
2.3. Calcium Carbonate Precipitation Experiments with Synechococcus Cells
3. Results
3.1. Functional Groups at Picocyanobacterial Surfaces
3.2. Surface Spectroscopy and Morphology of Synechococcus Cells
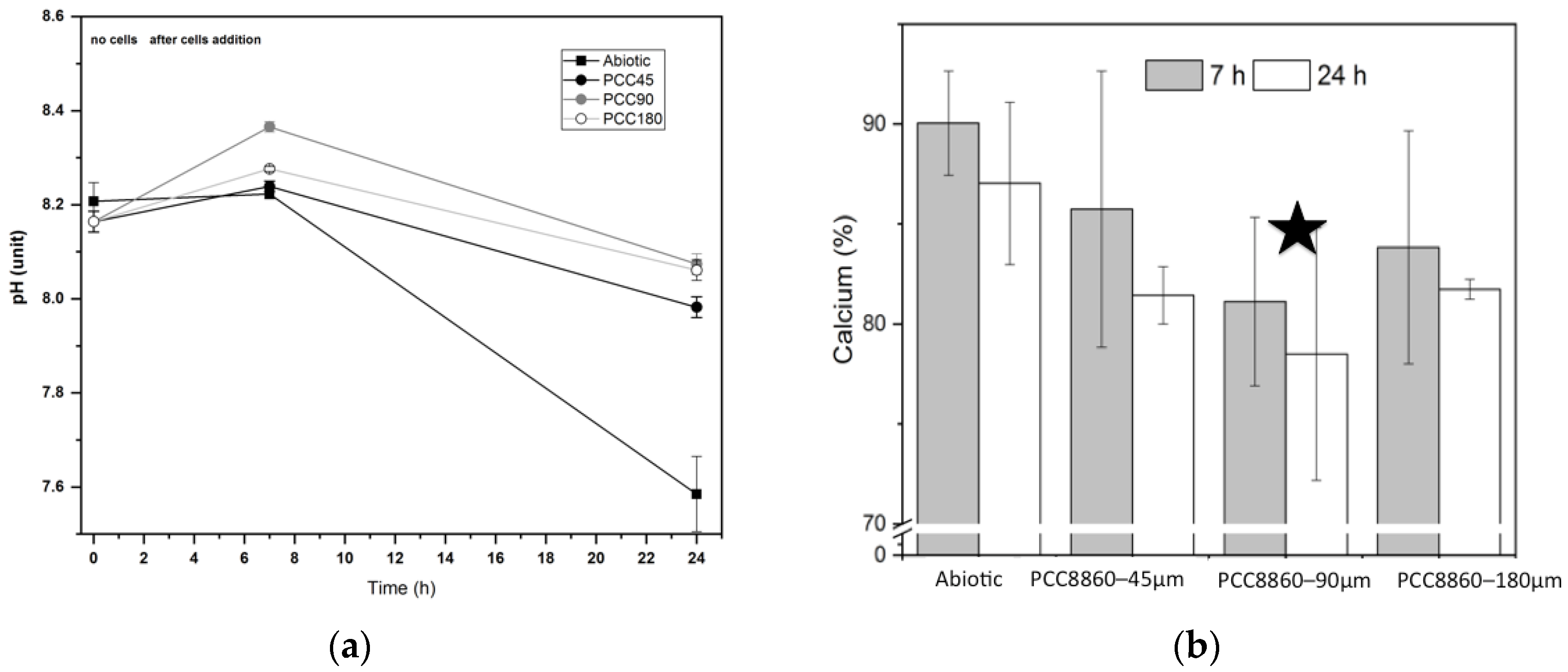
3.3. Variations in CaCO3 Precipitation
4. Discussion
4.1. Effect of Phosphorus in Growth Media on Surface Molecular Composition of Synechococcus Cells
4.2. Linking CaCO3 Biomineralization with Surface Properties of Cells
4.3. Implications for Marine Systems
5. Conclusions
Supplementary Materials
Author Contributions
Funding
Acknowledgments
Conflicts of Interest
References
- Obst, M.; Wehrli, B.; Dittrich, M. CaCO3 nucleation by cyanobacteria: Laboratory evidence for a passive, surface-induced mechanism. Geobiology 2009, 7, 324–347. [Google Scholar] [CrossRef] [PubMed]
- Riding, R. Cyanobacterial calcification, carbon dioxide concentrating mechanisms, and Proterozoic–Cambrian changes in atmospheric composition. Geobiology 2006, 4, 299–316. [Google Scholar] [CrossRef]
- Pokrovsky, O.S.; Martinez, R.E.; Golubev, S.V.; Kompantseva, E.I.; Shirokova, L.S. Adsorption of metals and protons on Gloeocapsa sp. cyanobacteria: A surface speciation approach. Appl. Geochem. 2008, 23, 2574–2588. [Google Scholar] [CrossRef]
- Dittrich, M.; Sibler, S. Calcium carbonate precipitation by cyanobacterial polysaccharides. Geol. Soc. Lond. Spec. Publ. 2010, 336, 51–63. [Google Scholar] [CrossRef]
- Liang, A.; Paulo, C.; Zhu, Y.; Dittrich, M. CaCO3 biomineralization on cyanobacterial surfaces: Insights from experiments with three Synechococcus strains. Colloids Surf. B Biointerfaces 2013, 111, 600–608. [Google Scholar] [CrossRef] [PubMed]
- Baptista, M.S.; Vasconcelos, M.T. Cyanobacteria metal interactions: Requirements, toxicity, and ecological implications. Crit. Rev. Microbiol. 2006, 32, 127–137. [Google Scholar] [CrossRef] [PubMed]
- Jiang, W.; Saxena, A.; Song, B.; Ward, B.B.; Beveridge, T.J.; Myneni, S.C. Elucidation of functional groups on gram-positive and gram-negative bacterial surfaces using infrared spectroscopy. Langmuir 2004, 20, 11433–11442. [Google Scholar] [CrossRef]
- Schultze-Lam, S.; Beveridge, T.J. Physicochemical characteristics of the mineral-forming S-layer from the cyanobacterium Synechococcus strain GL24. Can. J. Microbiol. 1994, 40, 216–223. [Google Scholar] [CrossRef]
- Martinez, R.E.; Gardés, E.; Pokrovsky, O.S.; Schott, J.; Oelkers, E.H. Do photosynthetic bacteria have a protective mechanism against carbonate precipitation at their surfaces? Geochim. Cosmochim. Acta 2010, 74, 1329–1337. [Google Scholar] [CrossRef]
- Lalonde, S.V.; Smith, D.S.; Owttrim, G.W.; Konhauser, K.O. Acid–base properties of cyanobacterial surfaces I: Influences of growth phase and nitrogen metabolism on cell surface reactivity. Geochim. Cosmochim. Acta 2008, 72, 1257–1268. [Google Scholar] [CrossRef]
- Ernst, A.; Deicher, M.; Herman, P.M.J.; Wollenzien, U.I.A. Nitrate and Phosphate Affect Cultivability of Cyanobacteria from Environments with Low Nutrient Levels. Appl. Environ. Microbiol. 2005, 71, 3379–3383. [Google Scholar] [CrossRef] [PubMed]
- Liu, Y.; Alessi, D.S.; Owttrim, G.W.; Petrash, D.A.; Mloszewska, A.M.; Lalonde, S.V.; Martinez, R.E.; Zhou, Q.; Konhauser, K.O. Cell surface reactivity of Synechococcus sp. PCC 7002: Implications for metal sorption from seawater. Geochim. Cosmochim. Acta 2015, 169, 30–44. [Google Scholar] [CrossRef]
- Pereira, S.; Zille, A.; Micheletti, E.; Moradas-Ferreira, P.; De Philippis, R.; Tamagnini, P. Complexity of cyanobacterial exopolysaccharides: Composition, structures, inducing factors and putative genes involved in their biosynthesis and assembly. FEMS Microbiol. Rev. 2009, 33, 917–941. [Google Scholar] [CrossRef] [PubMed]
- Li, P.; Harding, S.E.; Liu, Z. Cyanobacterial exopolysaccharides: Their nature and potential biotechnological applications. Biotechnol. Genet. Eng. Rev. 2001, 18, 375–404. [Google Scholar] [CrossRef] [PubMed]
- Stehfest, K.; Toepel, J.; Wilhelm, C. The application of micro-FTIR spectroscopy to analyze nutrient stress-related changes in biomass composition of phytoplankton algae. Plant Physiol. Biochem. 2005, 43, 717–726. [Google Scholar] [CrossRef] [PubMed]
- Van Mooy, B.A.S.; Rocap, G.; Fredricks, H.F.; Evans, C.T.; Devol, A.H. Sulfolipids dramatically decrease phosphorus demand by picocyanobacteria in oligotrophic marine environments. Proc. Natl. Acad. Sci. USA 2006, 103, 8607–8612. [Google Scholar] [CrossRef] [PubMed]
- Prieto, B.; Pardo, M.A.; Garbisu, C.; Llama, M.J.; Serra, J.L. Phosphate uptake by phosphorus-starved cells of the cyanobacterium Phormidium laminosum. World J. Microbiol. Biotechnol. 1997, 13, 699–705. [Google Scholar] [CrossRef]
- Dupraz, C.; Reid, R.P.; Braissant, O.; Decho, A.W.; Norman, R.S.; Visscher, P.T. Processes of carbonate precipitation in modern microbial mats. Earth-Sci. Rev. 2009, 96, 141–162. [Google Scholar] [CrossRef]
- Kawaguchi, T.; Decho, A.W. A laboratory investigation of cyanobacterial extracellular polymericsecretions (EPS) in influencing CaCO3 polymorphism. J. Cryst. Growth 2002, 240, 230–235. [Google Scholar] [CrossRef]
- Cabrerizo, M.J.; Medina-Sánchez, J.M.; Dorado-Garciá, I.; Villar-Argaiz, M.; Carrillo, P. Rising nutrient-pulse frequency and high UVR strengthen microbial interactions. Sci. Rep. 2017, 7, 43615. [Google Scholar] [CrossRef]
- Zhao, Y.; Zhao, L.; Zhang, W.; Sun, J.; Huang, L.; Li, J.; Zhai, H.; Liu, S.; Xiao, T. Variations of picoplankton abundances during blooms in the East China Sea. Deep Sea Res. Part II Top. Stud. Oceanogr. 2016, 124, 100–108. [Google Scholar] [CrossRef]
- Ivanikova, N.V.; Popels, L.C.; McKay, R.M.L.; Bullerjahn, G.S. Lake Superior Supports Novel Clusters of Cyanobacterial Picoplankton. Appl. Environ. Microbiol. 2007, 73, 4055–4065. [Google Scholar] [CrossRef] [PubMed]
- Lee, B.D.; Apel, W.A.; Walton, M.R. Calcium carbonate formation by Synechococcus sp. strain PCC 8806 and Synechococcus sp. strain PCC 8807. Bioresour. Technol. 2006, 97, 2427–2434. [Google Scholar] [CrossRef]
- Jiao, N.; Robinson, C.; Azam, F.; Thomas, H.; Baltar, F.; Dang, H.; Hardman-Mountford, N.J.; Johnson, M.; Kirchman, D.L.; Koch, B.P.; et al. Mechanisms of microbial carbon sequestration in the ocean—future research directions. Biogeosciences 2014, 11, 5285–5306. [Google Scholar] [CrossRef]
- Worden, A.Z.; Follows, M.J.; Giovannoni, S.J.; Wilken, S.; Zimmerman, A.E.; Keeling, P.J. Rethinking the marine carbon cycle: Factoring in the multifarious lifestyles of microbes. Science 2015, 347, 1257594. [Google Scholar] [CrossRef]
- Flombaum, P.; Gallegos, J.L.; Gordillo, R.A.; Rincón, J.; Zabala, L.L.; Jiao, N.; Karl, D.M.; Li, W.K.W.; Lomas, M.W.; Veneziano, D.; et al. Present and future global distributions of the marine Cyanobacteria Prochlorococcus and Synechococcus. Proc. Natl. Acad. Sci. USA 2013, 110, 9824–9829. [Google Scholar] [CrossRef] [PubMed]
- Kamennaya, N.; Ajo-Franklin, C.; Northen, T.; Jansson, C. Cyanobacteria as Biocatalysts for Carbonate Mineralization. Minerals 2012, 2, 338–364. [Google Scholar] [CrossRef]
- Gallagher, K.L.; Braissant, O.; Kading, T.J.; Dupraz, C.; Visscher, P.T. Phosphate-Related Artifacts In Carbonate Mineralization Experiments. J. Sediment. Res. 2013, 83, 37–49. [Google Scholar] [CrossRef]
- Bundeleva, I.A.; Shirokova, L.S.; Pokrovsky, O.S.; Bénézeth, P.; Ménez, B.; Gérard, E.; Balor, S. Experimental modeling of calcium carbonate precipitation by cyanobacterium Gloeocapsa sp. Chem. Geol. 2014, 374–375, 44–60. [Google Scholar] [CrossRef]
- Çelekli, A.; Yavuzatmaca, M. Predictive modeling of biomass production by Spirulina platensis as function of nitrate and NaCl concentrations. Bioresour. Technol. 2009, 100, 1847–1851. [Google Scholar] [CrossRef]
- Dufrene, Y.F.; van der Wal, A.; Norde, W.; Rouxhet, P.G. X-ray photoelectron spectroscopy analysis of whole cells and isolated cell walls of gram-positive bacteria: Comparison with biochemical analysis. J. Bacteriol. 1997, 179, 1023–1028. [Google Scholar] [CrossRef] [PubMed]
- Ojeda, J.J.; Romero-González, M.E.; Bachmann, R.T.; Edyvean, R.G.J.; Banwart, S.A. Characterization of the Cell Surface and Cell Wall Chemistry of Drinking Water Bacteria by Combining XPS, FTIR Spectroscopy, Modeling, and Potentiometric Titrations. Langmuir 2008, 24, 4032–4040. [Google Scholar] [CrossRef] [PubMed]
- Gélabert, A.; Pokrovsky, O.S.; Schott, J.; Boudou, A.; Feurtet-Mazel, A.; Mielczarski, J.; Mielczarski, E.; Mesmer-Dudons, N.; Spalla, O. Study of diatoms/aqueous solution interface. I. Acid-base equilibria and spectroscopic observation of freshwater and marine species. Geochim. Cosmochim. Acta 2004, 68, 4039–4058. [Google Scholar] [CrossRef]
- Buszewski, B.; Dziubakiewicz, E.; Pomastowski, P.; Hrynkiewicz, K.; Ploszaj-Pyrek, J.; Talik, E.; Kramer, M.; Albert, K. Assignment of functional groups in Gram-positive bacteria. J. Anal. Bioanal. Tech. 2015, 6, 1. [Google Scholar] [CrossRef]
- Ivleva, N.; Wagner, M.; Horn, H.; Niessner, R.; Haisch, C. Towards a nondestructive chemical characterization of biofilm matrix by Raman microscopy. Anal. Bioanal. Chem. 2009, 393, 197–206. [Google Scholar] [CrossRef] [PubMed]
- Vítek, P.; Osterrothová, K.; Jehlička, J. Beta-carotene—A possible biomarker in the Martian evaporitic environment: Raman micro-spectroscopic study. Planet. Space Sci. 2009, 57, 454–459. [Google Scholar] [CrossRef]
- Schmid, T.; Sebesta, A.; Stadler, J.; Opilik, L.; Balabin, R.M.; Zenobi, R. Tip-enhanced Raman spectroscopy and related techniques in studies of biological materials. Proc. SPIE 2010, 7586. [Google Scholar] [CrossRef]
- Schmid, T.; Messmer, A.; Yeo, B.S.; Zhang, W.; Zenobi, R. Towards chemical analysis of nanostructures in biofilms II: Tip-enhanced Raman spectroscopy of alginates. Anal. Bioanal. Chem. 2008, 391, 1907–1916. [Google Scholar] [CrossRef]
- Hoiczyk, E.; Hansel, A. Cyanobacterial Cell Walls: News from an Unusual Prokaryotic Envelope. J. Bacteriol. 2000, 182, 1191–1199. [Google Scholar] [CrossRef]
- Samuel, A.; Petersen, J.; Reese, T. Envelope structure of Synechococcus sp. WH8113, a nonflagellated swimming cyanobacterium. BMC Microbiol. 2001, 1, 4. [Google Scholar] [CrossRef]
- Yee, N.; Benning, L.G.; Phoenix, V.R.; Ferris, F.G. Characterization of metal-cyanobacteria sorption reactions: A combined macroscopic and infrared spectroscopic investigation. Environ. Sci. Technol. 2004, 38, 775–782. [Google Scholar] [CrossRef] [PubMed]
- Tourney, J.; Ngwenya, B.T. The role of bacterial extracellular polymeric substances in geomicrobiology. Chem. Geol. 2014, 386, 115–132. [Google Scholar] [CrossRef]
- Dittrich, M.; Sibler, S. Cell surface groups of two picocyanobacteria strains studied by zeta potential investigations, potentiometric titration, and infrared spectroscopy. J. Colloid Interface Sci. 2005, 286, 487–495. [Google Scholar] [CrossRef] [PubMed]
- Obst, M.; Dynes, J.J.; Lawrence, J.R.; Swerhone, G.D.W.; Benzerara, K.; Karunakaran, C.; Kaznatcheev, K.; Tyliszczak, T.; Hitchcock, A.P. Precipitation of amorphous CaCO3 (aragonite-like) by cyanobacteria: A STXM study of the influence of EPS on the nucleation process. Geochim. Cosmochim. Acta 2009, 73, 4180–4198. [Google Scholar] [CrossRef]
- Kosamu, I.B.M.; Obst, M. The influence of picocyanobacterial photosynthesis on calcite precipitation. Int. J. Environ. Sci. Technol. 2009, 6, 557–562. [Google Scholar] [CrossRef]
- Benzerara, K.; Skouri-Panet, F.; Li, J.; Férard, C.; Gugger, M.; Laurent, T.; Couradeau, E.; Ragon, M.; Cosmidis, J.; Menguy, N.; et al. Intracellular Ca-carbonate biomineralization is widespread in cyanobacteria. Proc. Natl. Acad. Sci. USA 2014, 111, 10933–10938. [Google Scholar] [CrossRef] [PubMed]
- Daughney, C.J.; Fowle, D.A.; Fortin, D. The effect of growth phase on proton and metal adsorption by Bacillus subtilis. Geochim. Cosmochim. Acta 2001, 65, 1025–1035. [Google Scholar] [CrossRef]
- Parkhurst, D.L.; Appelo, C.A.J. Description of Input and Examples for PHREEQC Version 3—A Computer Program for Speciation, Batch-Reaction, One-Dimensional Transport, and Inverse Geochemical Calculations; U.S. Geological Survey Techniques and Methods, Book 6; U.S. Geological Survey: Reston, VA, USA, 2013.
- Appelo, C.A.J.; Postma, D. Carbonates and Carbon Dioxide. In Geochemistry, Groundwater and Pollution, 2nd ed.; Taylor & Francis: Oxfordshire, UK, 2005; pp. 175–240. [Google Scholar]
- Pereira, S.; Micheletti, E.; Zille, A.; Santos, A.; Moradas-Ferreira, P.; Tamagnini, P.; De Philippis, R. Using extracellular polymeric substances (EPS)-producing cyanobacteria for the bioremediation of heavy metals: Do cations compete for the EPS functional groups and also accumulate inside the cell? Microbiology 2011, 157, 451–458. [Google Scholar] [CrossRef]
- Sleytr, U.B.; Schuster, B.; Egelseer, E.-M.; Pum, D. S-layers: Principles and applications. Fems Microbiol. Rev. 2014, 38, 823–864. [Google Scholar] [CrossRef]
- Roberts, J.A.; Kenward, P.A.; Fowle, D.A.; Goldstein, R.H.; González, L.A.; Moore, D.S. Surface chemistry allows for abiotic precipitation of dolomite at low temperature. Proc. Natl. Acad. Sci. USA 2013. [Google Scholar] [CrossRef]
- Giuffre, A.J.; Hamm, L.M.; Han, N.; De Yoreo, J.J.; Dove, P.M. Polysaccharide chemistry regulates kinetics of calcite nucleation through competition of interfacial energies. Proc. Natl. Acad. Sci. USA 2013, 110, 9261–9266. [Google Scholar] [CrossRef] [PubMed]
- Wang, D.; Wallace, A.F.; De Yoreo, J.J.; Dove, P.M. Carboxylated molecules regulate magnesium content of amorphous calcium carbonates during calcification. Proc. Natl. Acad. Sci. USA 2009, 106, 21511–21516. [Google Scholar] [CrossRef] [PubMed]
- Meldrum, F.C.; Colfen, H. Controlling mineral morphologies and structures in biological and synthetic systems. Chem. Rev. 2008, 108, 4332–4432. [Google Scholar] [CrossRef] [PubMed]
- Henderson, G.E.; Murray, B.J.; McGrath, K.M. Controlled variation of calcite morphology using simple carboxylic acids. J. Cryst. Growth 2008, 310, 4190–4198. [Google Scholar] [CrossRef]
- Capone, D.G.; Hutchins, D.A. Microbial biogeochemistry of coastal upwelling regimes in a changing ocean. Nat. Geosci. 2013, 6, 711–717. [Google Scholar] [CrossRef]
- Vincent, W.F.; Laurion, I.; Pienitz, R.; Walter Anthony, K.M. Climate Impacts on Arctic Lake Ecosystems. In Climatic Change and Global Warming of Inland Waters; John Wiley & Sons, Ltd.: Hoboken, NJ, USA, 2012; pp. 27–42. [Google Scholar]






); Syn. PCC8806 biomass (
45 μM,
90 μM,
180 μM).
); Syn. PCC8806 biomass (
45 μM,
90 μM,
180 μM).

| Functional Group | pKa Range | Syn. PCC8806 P = 45 μM | Syn. PCC8806 P = 90 μM | Syn. PCC8806 P = 180 μM | |||
|---|---|---|---|---|---|---|---|
| pKa | LT (mM/g) | pKa | LT (mM/g) | pKa | LT (mM/g) | ||
| Carboxyl | 3–5.8 | 4.43 ± 0.6 | 0.17 ± 0.1 | 5.8 | 0.03 | n.d. | n.d. |
| Phosphoryl | 6–8 | 6.8 ± 0.4 | 0.21 ± 0.1 | 7.00 ± 0.6 | 1.15 ± 0.7 | 6.6 ± 0.4 | 0.57 ± 0.4 |
| Amine | 8–9 | 8.2 | 0.29 ± 0.1 | 8.20 ± 0.1 | 0.65 ± 0.2 | n.d. | n.d. |
| LT (mM/g) | 0.67 | 1.83 | 0.57 | ||||
| Element/Ratio | Syn. PCC8806 | Assignment | |||
|---|---|---|---|---|---|
| Peak | Mass Fraction (%) | ||||
| (eV) | 45 μM P | 90 μM P | 180 μM P | ||
| Total C | 284.98 ± 0.06 | 71.4 | 71.4 | 71.5 | |
| Total O | 532.01 ± 0.08 | 20.8 | 20.0 | 18.8 | |
| Total N | 399.73 ± 0.06 | 6.3 | 8.0 | 8.9 | |
| O/C | 0.3 | 0.3 | 0.3 | ||
| N/C | 0.1 | 0.1 | 0.1 | ||
| C1s | 284.88 ± 0.03 | 57.0 | 52.8 | 56.5 | C–(C,H) |
| C1s A | 286.28 ± 0.06 | 29.4 | 30.4 | 28.2 | C–(O,N) |
| C1s B | 287.9 ± 0.08 | 11.7 | 13.3 | 13.4 | C = O+O–C–O |
| C1s C | 288.82 ± 0.02 | 1.9 | 3.5 | 1.9 | O = C–OH/C=O |
| O1s | 531.12 ± 0.03 | 21.9 | 22.3 | 20.6 | O = C; P = O, P–O–Ring |
| O1s A | 532.11 ± 0.06 | 55.3 | 49.4 | 54.4 | C–OH; C–O–C |
| O1s B | 533.06 ± 0.09 | 22.9 | 28.3 | 25.0 | HO–C |
| N1s | 399.91 ± 0.03 | 100.0 | 100.0 | 100.0 | unprotonated amine or amide functions |
| P = 45 μM | P = 90 μM | P = 180 μM | Wavenumbers (cm−1) and Band Vibrational Assignments |
|---|---|---|---|
| 954 | 957 | 960 | Carbohydrate |
| 1001 | 1001 | 1000 | Carotenoid C–H bending |
| 1063 | C–N and C–C str | ||
| 1081 | Carbohydrate C–O–H bending; C–O | ||
| 1149 | 1149 | 1149 | Carotene C–H stretches |
| 1184 | 1185 | 1182 | Tyrosine, phenylalanine |
| 1223 | Amide III random, lipids | ||
| 1258 | 1264 | 1261 | Lipids |
| 1293 | CH2 | ||
| 1318 | Amide III, C–H def | ||
| 1373 | 1383 | 1372 | Thymine, adenine, guanine |
| 1415 | P = O | ||
| 1442 | 1438 | Alkyl C–H2, δ(CH2)scis | |
| 1507 | 1507 | 1507 | Carotene C = C stretches |
| n | Time (h) | pH Average (±SD) | [HCO3−] mM | [Ca2+] mM | SICal | SIAra | Changes in CaCO3 Concentration over Time (mM·L−1/h) | |
|---|---|---|---|---|---|---|---|---|
| Initial conditions | 0 | 8.21 | 3.00 | 2.52 | 0.97 | 0.82 | ||
| Abiotic | 13 | 1 | 8.21 ± 0.04 | 3.01 ± 0.04 | 2.43 ± 0.08 | 0.97 | 0.82 | 0.036 |
| 3 | 7 | 8.22 ± 0.01 | 2.90 ± 0.04 | 2.27 ± 0.07 | 0.92 | 0.78 | 0.036 | |
| 3 | 24 | 7.59 ± 0.08 | 2.99 ± 0.06 | 2.20 ± 0.10 | 0.35 | 0.21 | 0.004 | |
| Syn. PCC8806 (45 μM) | 4 | 7 | 8.34 ± 0.02 | 2.98 ± 0.02 | 2.16 ± 0.17 | 1.03 | 0.88 | 0.050 |
| 3 | 24 | 8.04 ± 0.05 | 2.96 ± 0.01 | 2.06 ± 0.04 | 0.38 | 0.24 | 0.006 | |
| Syn. PCC8806 (90 μM) | 3 | 7 | 8.57 ± 0.02 | 3.02 ± 0.06 | 2.05 ± 0.01 | 1.22 | 1.07 | 0.066 |
| 3 | 24 | 8.04 ± 0.05 | 3.09 ± 0.05 | 1.98 ± 0.16 | 0.41 | 0.27 | 0.004 | |
| Syn. PCC8806 (180 μM) | 3 | 7 | 8.41 ± 0.01 | 3.02 ± 0.02 | 2.12 ± 0.15 | 1.09 | 0.95 | 0.057 |
| 3 | 24 | 8.02 ± 0.04 | 3.01 ± 0.04 | 2.06 ± 0.01 | 0.39 | 0.24 | 0.003 |
© 2018 by the authors. Licensee MDPI, Basel, Switzerland. This article is an open access article distributed under the terms and conditions of the Creative Commons Attribution (CC BY) license (http://creativecommons.org/licenses/by/4.0/).
Share and Cite
Paulo, C.; Kenney, J.P.L.; Persson, P.; Dittrich, M. Effects of Phosphorus in Growth Media on Biomineralization and Cell Surface Properties of Marine Cyanobacteria Synechococcus. Geosciences 2018, 8, 471. https://doi.org/10.3390/geosciences8120471
Paulo C, Kenney JPL, Persson P, Dittrich M. Effects of Phosphorus in Growth Media on Biomineralization and Cell Surface Properties of Marine Cyanobacteria Synechococcus. Geosciences. 2018; 8(12):471. https://doi.org/10.3390/geosciences8120471
Chicago/Turabian StylePaulo, Carlos, Janice P. L. Kenney, Per Persson, and Maria Dittrich. 2018. "Effects of Phosphorus in Growth Media on Biomineralization and Cell Surface Properties of Marine Cyanobacteria Synechococcus" Geosciences 8, no. 12: 471. https://doi.org/10.3390/geosciences8120471
APA StylePaulo, C., Kenney, J. P. L., Persson, P., & Dittrich, M. (2018). Effects of Phosphorus in Growth Media on Biomineralization and Cell Surface Properties of Marine Cyanobacteria Synechococcus. Geosciences, 8(12), 471. https://doi.org/10.3390/geosciences8120471
