Seeing Things: A Community Science Investigation into Motion Illusion Susceptibility in Domestic Cats (Felis silvestris catus) and Dogs (Canis lupus familiaris)
Abstract
Simple Summary
Abstract
1. Introduction
2. Materials and Methods
2.1. Justification and Stimuli
2.2. Participants
2.3. Demographic Questions
2.4. Design
2.5. Procedure
2.6. Analysis
- Locomotion: The subject has an obvious active orientation toward a stimulus while continuously moving in a forward direction and has at least one limb within one body length from the stimulus.
- Stationary: The subject has an obvious active orientation toward and has at least one limb within one body length from the stimulus. The subject is either sitting, standing, or lying down for at least two seconds. If the subject does not move for one minute, coded as inactive (below).
- Sniffing: The subject is approaching a stimulus at around the width of approximately two human fingers or less using its nose.
- Pawing: One of the subject’s front limbs is raised and lowered in a quick succession, either over or contacting the stimulus (e.g., Figure 3).
- Inactive: The subject has a stationary position without any obvious active orientation toward any physical or social stimuli for at least four seconds (e.g., head down; lying down with eyes closed; resting; falling asleep).
3. Results
3.1. Time Spent during Experiment
3.1.1. Dogs
3.1.2. Cats
3.1.3. Species Comparison
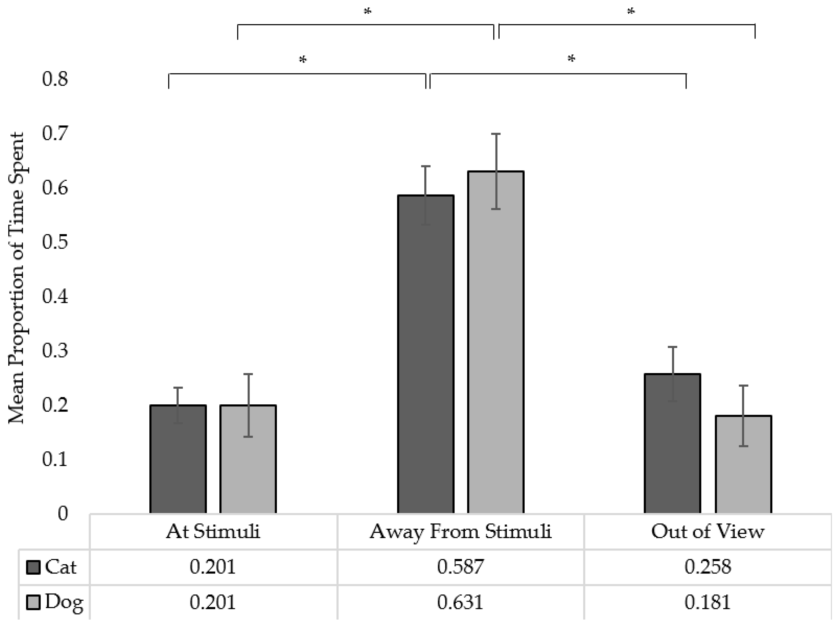
3.2. Time Spent at Stimuli
3.2.1. Dogs
3.2.2. Cats
3.2.3. Species Comparison
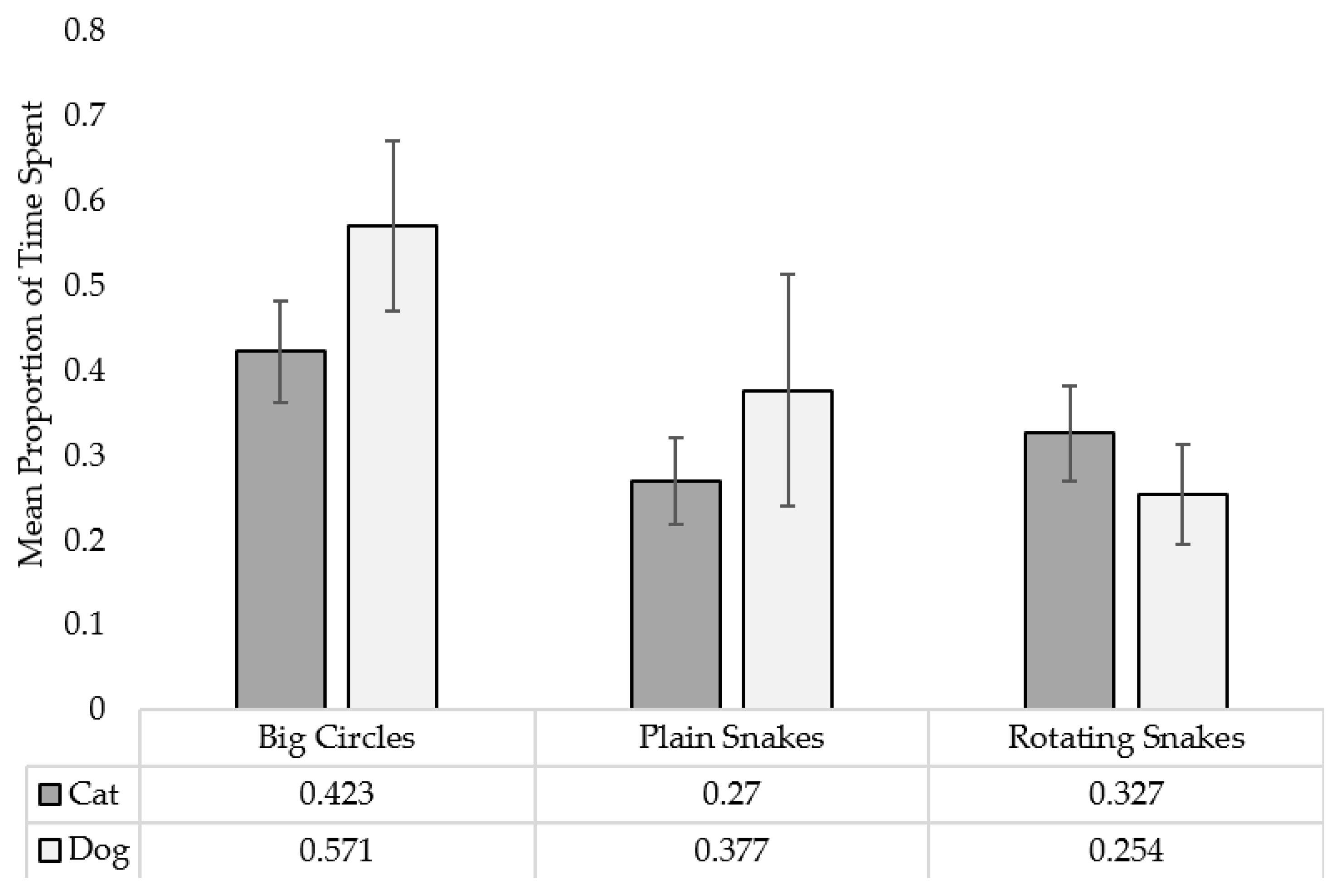
3.3. Behaviors at Stimuli
3.4. Effect of Ink Color
3.4.1. On Time Spent during Experiment
3.4.2. On time Spent at Stimuli
4. Discussion
5. Conclusions
Supplementary Materials
Author Contributions
Funding
Institutional Review Board Statement
Informed Consent Statement
Data Availability Statement
Acknowledgments
Conflicts of Interest
References
- Schuster, D.H. A new ambiguous figure: A threestick clevis. Am. J. Psychol. 1964, 77, 673. [Google Scholar] [CrossRef] [PubMed]
- Muller-Lyer, F.C. Optische urteilstauschungen. Arch. Anat. Physiol. 1889, 2, 263–270. [Google Scholar]
- Checker shadow Illusion. Available online: http://web.mit.edu/persci/people/adelson/checkershadow_illusion.html (accessed on 23 September 2022).
- Fraser, A.; Wilcox, K.J. Perception of illusory movement. Nature 1979, 281, 565–566. [Google Scholar] [CrossRef] [PubMed]
- Robinson, J.O. The Psychology of Visual Illusion; Dover Publications: New York, NY, USA, 2013. [Google Scholar]
- Révész, G. Experiments on animal space perception. Br. J. Psychol. 1924, 14, 387. [Google Scholar] [CrossRef]
- Feng, L.C.; Chouinard, P.A.; Howell, T.J.; Bennett, P.C. Why do animals differ in their susceptibility to geometrical illusions? Psychon. Bull. Rev. 2017, 24, 262–276. [Google Scholar] [CrossRef]
- Santacà, M.; Agrillo, C.; Miletto Petrazzini, M.E. The challenge of illusory perception of animals: The impact of methodological variability in cross-species investigation. Animals 2021, 11, 1618. [Google Scholar] [CrossRef]
- Bravo, M.; Blake, R.; Morrison, S. Cats see subjective contours. Vision Res. 1988, 28, 861–865. [Google Scholar] [CrossRef]
- Smith, G.E.; Chouinard, P.A.; Byosiere, S.E. If I fits I sits: A citizen science investigation into illusory contour susceptibility in domestic cats (Felis silvestris catus). Appl. Anim. Behav. Sci. 2021, 240, 105338. [Google Scholar] [CrossRef]
- Otero-Millan, J.; Macknik, S.L.; Martinez-Conde, S. Microsaccades and blinks trigger illusory rotation in the “rotating snakes” illusion. J. Neurosci. 2012, 32, 6043–6051. [Google Scholar] [CrossRef]
- Kitaoka, A.; Ashida, H. Phenomenal characteristics of the peripheral drift illusion. Vision 2003, 15, 261–262. [Google Scholar]
- Agrillo, C.; Gori, S.; Beran, M.J. Do rhesus monkeys (Macaca mulatta) perceive illusory motion? Anim. Cogn. 2015, 18, 895–910. [Google Scholar] [CrossRef]
- Gori, S.; Agrillo, C.; Dadda, M.; Bisazza, A. Do fish perceive illusory motion? Sci. Rep. 2014, 4, 6443. [Google Scholar] [CrossRef] [PubMed]
- Agrochao, M.; Tanaka, R.; Salazar-Gatzimas, E.; Clark, D.A. Mechanism for analogous illusory motion perception in flies and humans. Proc. Natl. Acad. Sci. USA 2020, 117, 23044–23053. [Google Scholar] [CrossRef] [PubMed]
- Bååth, R.; Seno, T.; Kitaoka, A. Cats and illusory motion. Psychology 2014, 5, 1131–1134. [Google Scholar] [CrossRef]
- Regaiolli, B.; Rizzo, A.; Ottolini, G.; Miletto Petrazzini, M.E.; Spiezio, C.; Agrillo, C. Motion illusions as environmental enrichment for zoo animals: A preliminary investigation on lions (Panthera leo). Front. Psychol. 2019, 10, 2220. [Google Scholar] [CrossRef]
- Pyari, M.S.; Uccheddu, S.; Lenkei, R.; Pongracz, P. Inexperienced but still interested–Indoor-only cats are more inclined for predatory play than cats with outdoor access. Appl. Anim. Behav. Sci. 2021, 241, 105373. [Google Scholar] [CrossRef]
- Bergström, A.; Frantz, L.; Schmidt, R.; Ersmark, E.; Lebrasseur, O.; Girdland-Flink, L.; Lin, A.T.; Storå, J.; Sjögren, K.-G.; Anthony, D.; et al. Origins and genetic legacy of prehistoric dogs. Science 2020, 370, 557–564. [Google Scholar] [CrossRef]
- Byosiere, S.E.; Chouinard, P.A.; Howell, T.J.; Bennett, P.C. Illusory contour perception in domestic dogs. Psychon. Bull. Rev. 2019, 26, 1641–1649. [Google Scholar] [CrossRef]
- Miller, P.E.; Murphy, C.J. Vision in dogs. AVMA 1995, 207, 1623–1634. [Google Scholar]
- Delgado, M.M.; Han, B.S.G.; Bain, M.J. Domestic cats (Felis catus) prefer freely available food over food that requires effort. Anim. Cogn. 2022, 25, 95–102. [Google Scholar] [CrossRef]
- Stewart, L.; MacLean, E.L.; Ivy, D.; Woods, V.; Cohen, E.; Rodriguez, K.; McIntyre, M.; Mukherjee, S.; Call, J.; Kaminski, J.; et al. Citizen science as a new tool in dog cognition research. PLoS ONE 2015, 10, e0135176. [Google Scholar] [CrossRef] [PubMed]
- Friard, O.; Gamba, M. BORIS: A free, versatile open-source event-logging software for video/audio coding and live observations. Methods Ecol. Evol. 2016, 7, 1325–1330. [Google Scholar] [CrossRef]
- Walker, J.K.; Dale, A.R.; D’Eath, R.B.; Wemelsfelder, F. Qualitative Behaviour Assessment of dogs in the shelter and home environment and relationship with quantitative behaviour assessment and physiological responses. Appl. Anim. Behav. Sci. 2016, 184, 97–108. [Google Scholar] [CrossRef]
- Becker, N.; Prasad-Shreckengast, S.; Byosiere, S.E. Methodological challenges in the assessment of dogs’ (Canis lupus familiaris) susceptibility of the Ebbinghaus-Titchener illusion using the spontaneous choice task. Anim. Behav. Cogn. 2021, 8, 138–151. [Google Scholar] [CrossRef]
- Santacà, M.; Miletto Petrazzini, M.E.; Wilkinson, A.; Agrillo, C. Red-footed tortoises (Chelonoidis carbonaria) do not perceive the Delboeuf illusion. Can. J. Exp. Psychol. 2020, 74, 201. [Google Scholar] [CrossRef] [PubMed]






| Cats | Dogs | |||||
|---|---|---|---|---|---|---|
| Behavior | Big Circles | Plain Snakes | Rotating Snakes | Big Circles | Plain Snakes | Rotating Snakes |
| Inactive | 49.42% | 34.78% | 66.63% | 61.93% | 94.47% | 93.09% |
| Locomotion | 4.98% | 8.04% | 5.47% | 4.71% | 0.82% | 1.41% |
| Pawing | 0.88% | 4.65% | 2.37% | 0.29% | 0.60% | 0.22% |
| Sniffing | 7.80% | 9.51% | 7.84% | 11.46% | 1.09% | 4.28% |
| Stationary | 36.92% | 43.01% | 17.69% | 21.61% | 3.02% | 1.00% |
| Species | Location | Ink | N | Mean | SD | SE |
|---|---|---|---|---|---|---|
| Dogs (N = 36) | At Stimuli | B and W | 14 | 0.231 | 0.400 | 0.107 |
| Color | 22 | 0.184 | 0.311 | 0.066 | ||
| Away from Stimuli | B and W | 14 | 0.665 | 0.431 | 0.115 | |
| Color | 22 | 0.610 | 0.414 | 0.088 | ||
| Out of View | B and W | 14 | 0.097 | 0.238 | 0.064 | |
| Color | 22 | 0.235 | 0.383 | 0.082 | ||
| Cats (N = 39) | At Stimuli | B and W | 13 | 0.194 | 0.183 | 0.051 |
| Color | 26 | 0.204 | 0.212 | 0.042 | ||
| Away from Stimuli | B and W | 13 | 0.585 | 0.328 | 0.091 | |
| Color | 26 | 0.588 | 0.343 | 0.067 | ||
| Out of View | B and W | 13 | 0.254 | 0.359 | 0.100 | |
| Color | 26 | 0.260 | 0.290 | 0.057 |
| Species | Stimulus | Ink | N | Mean | SD | SE |
|---|---|---|---|---|---|---|
| Dogs (N = 31) | Big Circles | B and W | 12 | 0.518 | 0.520 | 0.150 |
| Color | 19 | 0.604 | 0.597 | 0.137 | ||
| Plain Snakes | B and W | 12 | 0.279 | 0.376 | 0.109 | |
| Color | 19 | 0.439 | 0.931 | 0.214 | ||
| Rotating Snakes | B and W | 12 | 0.283 | 0.380 | 0.110 | |
| Color | 19 | 0.236 | 0.303 | 0.070 | ||
| Cats (N = 38) | Big Circles | B and W | 13 | 0.540 | 0.439 | 0.122 |
| Color | 25 | 0.362 | 0.327 | 0.065 | ||
| Plain Snakes | B and W | 13 | 0.191 | 0.286 | 0.079 | |
| Color | 25 | 0.312 | 0.328 | 0.066 | ||
| Rotating Snakes | B and W | 13 | 0.269 | 0.337 | 0.094 | |
| Color | 25 | 0.357 | 0.352 | 0.070 |
Publisher’s Note: MDPI stays neutral with regard to jurisdictional claims in published maps and institutional affiliations. |
© 2022 by the authors. Licensee MDPI, Basel, Switzerland. This article is an open access article distributed under the terms and conditions of the Creative Commons Attribution (CC BY) license (https://creativecommons.org/licenses/by/4.0/).
Share and Cite
Smith, G.E.; Chouinard, P.A.; Lin, I.; Tsoi, K.T.; Agrillo, C.; Byosiere, S.-E. Seeing Things: A Community Science Investigation into Motion Illusion Susceptibility in Domestic Cats (Felis silvestris catus) and Dogs (Canis lupus familiaris). Animals 2022, 12, 3562. https://doi.org/10.3390/ani12243562
Smith GE, Chouinard PA, Lin I, Tsoi KT, Agrillo C, Byosiere S-E. Seeing Things: A Community Science Investigation into Motion Illusion Susceptibility in Domestic Cats (Felis silvestris catus) and Dogs (Canis lupus familiaris). Animals. 2022; 12(24):3562. https://doi.org/10.3390/ani12243562
Chicago/Turabian StyleSmith, Gabriella E., Philippe A. Chouinard, Isabel Lin, Ka Tak Tsoi, Christian Agrillo, and Sarah-Elizabeth Byosiere. 2022. "Seeing Things: A Community Science Investigation into Motion Illusion Susceptibility in Domestic Cats (Felis silvestris catus) and Dogs (Canis lupus familiaris)" Animals 12, no. 24: 3562. https://doi.org/10.3390/ani12243562
APA StyleSmith, G. E., Chouinard, P. A., Lin, I., Tsoi, K. T., Agrillo, C., & Byosiere, S.-E. (2022). Seeing Things: A Community Science Investigation into Motion Illusion Susceptibility in Domestic Cats (Felis silvestris catus) and Dogs (Canis lupus familiaris). Animals, 12(24), 3562. https://doi.org/10.3390/ani12243562

