Abstract
Simple Summary
In fish, it is obvious that the asynchronous development of the gonads and sexual dimorphism limit the development of aquaculture, so the research into sex-differentiation and gonadal growth is very important. Due to the sexual reversal phenomenon (genetic females becoming phenotypic males), the Chinese tongue sole (Cynoglossus semilaevis) is a great model for investigating sex-differentiation. Herein, we report one gene involved in sex-differentiation and gonadal growth of the Chinese Tongue Sole. The gene cyp26b1 (cytochrome P450 family 26 subfamily b member 1) is a metabolizing Retinoic Acid (RA) enzyme. Since it regulates RA to control sex determination and differentiation, cyp26b1 is considered a critical part of mammals’ ovary-antagonizing and testis-determining downstream passageway of Sry (sex-determining region Y) and Sox9 (sry- box transcription factor 9). In fish, the related research is reported only on the Japanese flounder (Paralichthys olivaceus) and zebrafish (Danio rerio). In the current investigation, the identification and expression pattern of the cyp26b1 gene in the Chinese tongue sole suggested that cyp26b1 might impact sex-differentiation and gonadal development.
Abstract
As an RA-metabolizing enzyme, cyp26b1 has a substantial impact on RA-signaling pathways. The cyp26b1 gene from the Chinese tongue sole was cloned and identified in this investigation. The cyp26b1 ORF was 1536 bp in length and encoded a 512 amino acid protein. A quantitative real-time PCR (qPCR) indicated that the cyp26b1 expression is no significant sexual dimorphism in the gonads at the 80 days post-hatching (dph) stages. After 4 months post-hatching (mph), the expression of cyp26b1 showed sexual dimorphism and lower level of expression in the ovaries than in the testes. An in situ hybridization demonstrated that cyp26b1 mRNA was primarily located in the testis. Interestingly, the cyp26b1 mRNA probe was also detected in the ovaries. These results suggested that cyp26b1 participates in the sex-differentiation and gonadal development of the Chinese tongue sole.
1. Introduction
Sex determination and differentiation are complex processes that depend on a series and interplay of signaling pathways. The development of a fetal gonad into an ovary or testis is determined by the type of genetic signals it receives. In males, the gene sry leads to the activation of the signaling pathway of testis development and the suppression of the pathway of ovarian development [,]. Knocking-down DMRT1 (doublesex and mab-3-related transcription factor 1) results in the feminization of the testis in chickens []. In contrast to the sex determination studies, the genetic mechanism research of controlling the germ and somatic cells’ sexual fate is also important. Both oocytes and sperm are derived from primordial germ cells (PGCs). The germ cells’ (GC) sex is characterized by the somatic cells that surround them []. In Cyp26b1-null male mouse embryos, endogenous RA is not metabolized, testis determination and steroidogenesis are destructed, ovotestis is formed, and a feminized reproductive tract can be observed []. In the Japanese flounder, the cyp26b1 mRNA expression is increased and the meiotic initiation is delayed during sex differentiation because of high temperature []. This indicates that cyp26b1 is an essential gene for sex-differentiation.
It has been demonstrated that RA can promote GC differentiation, leading to the activation of Stra8 (stimulated by retinoic acid gene 8) in mice []. It is mass produced in both female and male mesonephros and only transferred to the developmental mouse ovaries, where it directs GCs to express the Stra8 gene and begin meiosis. However, the RA of the developing testis is metabolized by the Cyp26b1, such that GCs do not enter meiosis [].
The balance of RA has a relationship with a determination of sex and is essential for spermatogenesis []. Playing a substantial physiological role in RA metabolism and inactivating the RA in the somatic cells, Cyp26b1 has been known to be a factor promoting male germ cell (GC) differentiation []. In mice, ensuring that the blocking of GCs differentiation and RA is degraded, the Cyp26b1 expression is maintained by Sox9 and nr5a1 (Nuclear receptor subfamily 5 group a member 1; previously known as Sf1 (steroidogenic factor 1) during the development of the gonads []. The Cyp26b1 works downstream of Sry, which masculinizes the embryonic gonads through activating male-specific genes such as Fgf9 (fibroblast growth factor 9) and Sox9 in the somatic cells []. By regulating the RA signaling during the beginning of meiosis of GCs in mice, the Cyp26b1 is reported to be expressed initially in the fetal ovaries and testes 11.5 days post-coitum (11.5 dpc), and is subsequently down-regulated in females but up-regulated in males after 12.5 dpc [,]. In the gonadogenesis of mice, the GCs in males and females enter meiosis during the various developmental stages. The low expression level of Cyp26b1 stimulates RA to cause GCs in the embryonic ovaries to enter meiosis, while in males its up-regulation causes the RA to deteriorate, protecting the GCs from attempting to enter meiosis in the emerging testes [,].
By artificial gynogenesis and traditional karyotype analysis studies, Chinese tongue sole have been found to possess a heterogametic sex system (WZ) and pronounced sexual dimorphism, in which males possess two Z sex chromosomes []. The females develop much quicker and gain final physical sizes twice or up to four times that of males []. Although chromosomal inheritance is the fundamental sex determinant, around 14 percent of genetic ZW females experience sexual reversion to phenotypic males (pseudo-males) []. The Chinese tongue sole has the problem of an asynchronous sexual maturity. It takes about 1 year for male fish to reach sexual maturity and 2 years for female fish. These problems affect the work regarding artificial reproduction, so it is necessary to study the sex determination and differentiation of the Chinese tongue sole. Previous research has revealed that dmrt1 is a vital male-determining sex gene in the Chinese tongue sole []. A comparative investigation of the gonadal DNA methylomes and transcriptome analysis of female, pseudo-male, and normal male fish indicated that epigenetic regulation is necessary for the Chinese tongue sole’s sexual reversal []. Moreover, in the Chinese tongue sole, numerous sex-associated genes, for instance, cyp19a1a (cytochrome P450 family 19 subfamily a member 1 a), foxl2 (forkhead box protein L2), sox9, figla (folliculogenesis specific BHLH transcription factor), and gsdf (gonadal somatic cell-derived factor), have been identified [,,,]. However, the mechanisms underlying the determination of sex and gonadal growth are unknown. There are few studies on GCs’ differentiation.
In fish, the related research is reported only on Japanese flounders and zebrafish. Our study may provide new insights into the function of teleost cyp26b1 in sex differentiation. For our objective, we cloned and identified the CDS of cyp26b1 gene in the Chinese tongue sole. The qPCR expression of cyp26b1 was examined in various tissues and different stages of the gonads. Furthermore, in situ hybridization was applied to identify the signal of cyp26b1 in gonads. The results exhibited sexual dimorphism and suggested the involvement of cyp26b1 in sex-differentiation as well as the gonadal development of the Chinese tongue sole.
2. Materials and Methods
2.1. Ethics Approval
All experimental protocols were carried out under the aegis of the Yellow Sea Fisheries Research Institute’s animal care and use committee (YSFRI-2021007). To minimize fishes’ suffering, enormous efforts were undertaken, including employing anesthesia by MS222 (Table 1).

Table 1.
Anesthetic doses for different fish ages and weights (dph: day post-hatching; mph: month post-hatching; yph: year post-hatching).
2.2. Fish and Sample Collection
Experimental fish were purchased from the High-Tech Experimental Base Haiyang (Haiyang, Shandong Province, China). Applying an established method [], the phenotypic and genetic sexuality were determined. The amplification was performed using the genomic DNA template extracted from fin sample and the sex-specific marker (Table 2), of which male samples produced only 206 bp band and female samples produced 206 and 218 bp bands. A total of 10 tissues (spleen, liver, intestine, kidney, gill, gonads, brain, heart, muscle, and skin) from one-and-a-half-year-old fish were collected. The collected samples were stored for future use at −80 °C after snap-freezing in liquid nitrogen. Furthermore, the 2 yph gonads were stored in 4 percent (w/v) paraformaldehyde fixative (PFA) at 4 °C overnight and embedded in paraffin for in situ hybridization analysis. In addition, gonads of 80 dph, 4 mph, 6 mph, 1 yph, 1.5 yph, and 2 yph were collected.

Table 2.
Primer sequences used in this study.
2.3. Gene Cloning and Phylogenetic Analysis
The ORF was amplified using specific gene primers (Table 2). The Gel Extraction Kit (QIAGEN, Germany) was used to purify the amplified fragments. The purified product was inserted into the pMD18-T vector (Takara, Japan), conveyed into E. coli TOP10, and then sequenced. DNASTAR 7.10 (http://www.dnastar.com/) (accessed on 29 November 2021) was applied for forecasting the encoded amino acid and the Open Reading Frame (ORF). The inspection of the conserved domain was performed using the Simple Modular Architecture Research Tool (SMART) (http://smart.embl-heidelberg.de/) (accessed on 18 December 2021). Homologous sequences of amino acids were searched using the BLAST search on NCBI (http://www.ncbi.nlm.nih.gov/BLAST/) (accessed on 18 December 2021). The multiple sequence alignment was performed using the Clustal W at MEGA 7.0 software. The Maximum Likelihood (ML) method was used to create the phylogenetic tree. Bootstrap values were based on 1000 resampling replicates.
2.4. Quantitative Real-Time PCR (qPCR)
The total RNA (800 ng) was extracted following the manufacturer’s protocol for the TRIzol reagent (Invitrogen, Carlsbad, CA, USA). The quality of the RNA was measured by NanoVue Plus (Biochrom, Cambridge, Cambs, UK). The genomic contamination in the total RNA was removed using gDNA Eraser (TaKaRa, Otsu, Japan). The reverse transcription was carried out using the PrimeScript™ RT reagent kit (TaKaRa, Otsu, Japan). The experiment followed the principles of independent triplicate analysis and at least three samples were measured. qPCR reaction was performed with a 7500 ABI fast detection system (Applied Biosystems, Foster City, CA, USA) using Takara Green Premix Ex Taq II (TaKaRa, Otsu, Japan). Following the TaKaRa kit manual, 0.4 μL 50×ROX Dye II, 1.0 μL cDNA (0.1–100 ng), 0.4 μL of every primer (10 μM), 10.0 μL 2×SYBR Premix, and 7.8 μL ddH2O were contained in a volume of 20 μL qPCR reaction system. The qPCR program was as follows: 95 °C for 30 s, 40 cycles of 95 °C for 5 s, and 34 s at 60 °C. According to the standard curve, the number of beta actin (actb) copies in 12 different tissues of the Chinese tongue sole was calculated from the Ct values for all samples []. The results indicated that actb was very stable and its expression was not significantly different (p < 0.05) []. Thus, actb was selected as an internal reference. Applying the one-way analysis of variance (ANOVA) using SPSS18.0 (IBM, New York, NY, USA), the statistical analysis of the data was conducted while setting p < 0.05 as the significance.
2.5. In Situ RNA Hybridization (ISH)
To locate cyp26b1 expression in the GCs, ISH, as previously described, was carried out []. The cyp26b1 digoxigenin (DIG)-labeled RNA probes (443 bp) were amplified with the specific primers (Table 2) and inserted into the pGEM-T vector. The selected positive plasmid was linearized with Not I and then transcribed by T7 RNA polymerase. The RNA probes were labeled using DIG-NTP by means of the DIG RNA Labeling Kit (Roche, Mannheim, Germany). The deparaffinized slices were incubated with the RNA probes (0.2 µg/mL) at 50 °C overnight. At room temperature, the slices were blocked for 4 h in confining liquid (10% goat serum, 150 mM NaCl, 100 mM maleic acid, and adjusted to pH 7.5). Then, the slices were incubated with the anti-DIG-antibodies (Roche, Mannheim, Germany) overnight. The signal was produced with nitroblue tetrazolium/5-bromo-4-chloro-3-indolyl phosphate (Roche, Mannheim, Germany). Three samples for each group were used for analysis.
3. Results
3.1. Cloning and Sequencing of the cyp26b1 Gene
The ORF of cyp26b1 was 1536 bp in length (Figure 1A), which encoded a 512 amino acid putative protein with a predicted molecular weight of 57.88 kDa and an isoelectric point (PI) of 8.51. Through searching conserved domains, we determined that the cyp26b1 gene of the Chinese tongue sole contained the transmembrane region and Pfam: P450 domain (Figure 1).

Figure 1.
The cyp26b1 (GenBank accession number: XM_008324250.3) ORF and its domains in Chinese tongue sole. (A), Nucleotide and the derived pattern of cyp26b1. The initiated codon is ATG and stop codon is TGA. The blue boxs represent transmembrane regions and black boxes represent Pfam: p450 domain. (B), Domains of cyp26b1 predicted by SMART program. The transmembrane region is shown with a blue box. The Pfam: p450 domain was marked with gray box.
3.2. Phylogenetic Analysis
The GenBank accession numbers for Cyp26b1 from the Chinese tongue sole and 14 additional vertebrates are listed in Table 3. As shown in Figure 2, the homology analysis showed that Cyp26b1 from the Chinese tongue sole shared high identities (86.72–96.48%) to Cyp26b1 sequences in other teleost fish, while only 75.78% to humans and 75.98% to mice. The phylogenetic tree showed that cyp26b1 genes were significantly clustered into two categories, where Chinese tongue sole and other fish formed one clade; the other vertebrates were grouped together (Figure 3).

Table 3.
Table list of species used in multiple alignment.

Figure 2.
Multiple alignment of the Chinese tongue sole Cyp26b1 protein sequences with other vertebrates. The consensus residues are in black, the residues that are ≥75% identical among the aligned sequences are in pink, and the residues that are ≥50% identical among the aligned sequences are in blue.

Figure 3.
Phylogenetic tree of Cyp26b1 in Chinese tongue sole and other species based on the ML method. Bootstrap values were based on 1000 resampling replicates.
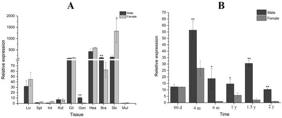
3.3. The Spatiotemporal Expression of cyp26b1
The gene cyp26b1 mRNA was identified in a variety of tissues in one-and-a-half-year-old Chinese tongue sole. It had a remarkably increased level of expression and no sexual dimorphism in the liver, gills, or heart (Figure 4A). Interestingly, cyp26b1 mRNA showed significantly higher expression in the testis than in the ovaries (Figure 4A). There was no variation that was statistically meaningful between the ovaries and the testis at 80 dph in the Chinese tongue sole (Figure 4B). The expression of cyp26b1 showed sexual dimorphism after 4 mph and higher level of expression in the testis than in the ovaries (Figure 4B). There was a tendency for the expression to decrease in the 6 mph and 1 yph testis (Figure 4B). Then, the expression is increased in the 1.5 yph testis and decreased in the 2 yph testis (Figure 4B). In contrast, the expression of cyp26b1 was lowest in the 6 mph ovaries, and increased in the 1 yph ovaries, followed by decreases in the 1.5 yph and 2 yph ovaries (Figure 4B).

Figure 4.
Relative expression of cyp26b1 in Chinese tongue sole tissues. (A), relative expression of cyp26b1 in different tissues. (B), relative expression of cyp26b1 in various development stages. Values are indicated as means ± SEM (N = 3). ‘*’ refers to statistically significant differences (p < 0.05), and ‘**’ means very significant differences (p < 0.01).
3.4. Cellular Localization of cyp26b1
The expression of the cyp26b1 mRNA in the gonads was detected through in situ hybridization. The cyp26b1 signals located mainly in spermatogonia, spermatids, and sperm were found to be highly intense, as revealed from the ISH results (Figure 5A,B). Further, in the ovaries, the signals were also spotted (Figure 5D,E).

Figure 5.
Cellular regionalization of cyp26b1 mRNA in 2 yph gonads of Chinese tongue sole. In situ hybridization of gonads by means of antisense (A,B,D,E) and sense (C,F) probes of cyp26b1 mRNA performed in Chinese tongue sole. (B) High magnification of the red-framed space in (A). (E) a high magnification of the red-framed space in (D). SG: spermatogonia; ST: spermatid; SM: sperm; I: Stage I oocytes; II: Stage II oocytes; III: Stage III oocytes; IV: Stage IV oocytes. Scale bar is shown in the figures.
4. Discussion
Cytochrome P450 enzymes are a superfamily of heme-containing monooxygenase enzymes that catalyze many oxidative reactions. In the RA-catabolizing reaction, the protein Cyp26b1, acting as the cytochrome P450 hydroxylase, could metabolize RA []. In mice, the gene Cyp26b1 is expressed in fetal gonads and considered a key enzyme in RA degradation in the gonads []. In Japanese flounders, high temperature induces the expression of cyp26b1 in the XX gonads and lead to the formation of XX masculinizational gonads []. In this study, the gene cyp26b1 from the Chinese tongue sole has a conserved region that encodes a 441-amino acid p450 domain. This gene has the highest homology with the cyp26b1 from other fish, so it was confirmed as the cyp26b1 gene of the p450 family. The ORF of Chinese tongue sole cyp26b1 was 1536 bp in length and encoded a 512 amino acid protein. However, the predicted protein of the cyp26b1 gene from the Salmo salar and Oncorhynchus mykiss has 518 amino acids. The homology analysis shows that the similarity of the cyp26b1 gene of the Chinese tongue sole with humans and mice was lower than that for other fish. This indicates that cyp26b1 still has certain differences among species with different evolutionary positions.
In mammals, the gene Cyp26b1 destabilizes ovary development; supporting testis development is an important component in the downstream of Sry and Sox9 located in ovary-antagonizing and testis-determining pathways [,,]. During the sex variation of the XX gonads in the Japanese flounder, a high water temperature and cortisol induced cyp26b1 mRNA expression and delayed the beginning of meiosis in GCs []. It was observed that the cyp26b1 gene indicates a significant dimorphism in the gonads between the males and the females in the 1.5 yph Chinese tongue soles. The result of a different expression in the gonads with a higher expression in the testis is consistent with the expression pattern of Cyp26b1 in mice [,,]. For the development of the testis to move on normally, using the RA-degrading enzyme Cyp26b1, the endogenous RA needs to be cleared actively from the testicular tissue []. As a result of the genetic ablation of Cyp26b1 in mice, the ovotestis is formed, and the transcriptional procedures are interrupted by the presence of the ectopic RA. In turn, the Mullerian-inhibiting factor (Amh) and steroid hormones are produced in the XY gonads with downstream influences regarding secondary sexual development [,]. The in situ hybridization method was performed to detect the signals of cyp26b1 in the gonads. The cyp26b1 mRNA displayed a strong hybridization signal in the testis and a light hybridization signal in the ovaries, which was consistent with the results of the qPCR. In the testis, the strong hybridization signal was located in the spermatogonia, spermatid, and sperm. This suggests that cyp26b1 may play a role in spermatogenesis. RA can elicit GCs to participate in meiosis in embryonic ovaries by down-regulating cyp26b1 expression. In the male-specific upregulation of cyp26b1 expression, the deprivation of the RA is caused by protecting the GCs from trying to enter meiosis in the emerging testes, as observed in the gonadogenesis of mice [,,]. During the early stages of the Chinese tongue sole’s life, the GCs in the early testis and ovaries both forego meiosis. There is no significant difference in the cyp26b1 expression of gonads. In 4 mph gonads, there was a significantly increased expression of cyp26b1. We speculate that it metabolized RA, resulting in suppressing meiosis and the growth of the gonads. Combining the above results, it can be surmised that cyp26b1 could play a considerable role in the gonadal development and sex differentiation of the Chinese tongue sole.
Unlike the case of the Japanese flounder [], the cyp26b1 mRNA of Chinese tongue sole was not only expressed in the gonads and liver; rather, it was also highly expressed in the gills, heart, brain, and skin. The cyp26b1 expression patterns of these tissues were even higher than the gonadal ones. In mice, a distinct skin-barrier homeostatic network was found to operate through Cyp26b1 expressed highly in the fibroblasts of skin, and its suppression led to an increase in P2 × 7 expression in mast cells []. The cyp26b1 mRNA was intensely articulated in the liver of the Japanese flounder and rats [,]. Cyp26b1 also displayed other functions such as lymphatic vascular development, limb outgrowth, and morphogenetic growth [,,]. It was believed that it plays a substantial role in the immune regulation of the Chinese tongue sole; nevertheless, this would require further experimental authentication.
5. Conclusions
In summary, we obtained the CDS of the cyp26b1 gene in the Chinese tongue sole. The cyp26b1 gene was primarily expressed in the gonads and other tissues. The expressed level of mRNA indicated that cyp26b1 was mainly expressed in the testis. The ISH results revealed that cyp26b1 was mostly detected in the testicular GCs. Hence, cyp26b1 might impact the sex differentiation and gonadal growth in the Chinese tongue sole. Nonetheless, further experiments are needed to test the other functions.
Author Contributions
Conceptualization, S.C.; Project administration, S.C. and Z.C. (Zhongkai Cui); Funding acquisition, S.C. and Z.C. (Zhongkai Cui); Investigation, J.W. (Jie Wang), Y.Y., Q.W., J.W. (Jialin Wang) and T.Z.; Writing-original draft, Z.C. (Zhongkai Cui) and J.W. (Jie Wang); Writing review and editing, Z.C. (Zhangfan Chen) and W.X. All authors have read and agreed to the published version of the manuscript.
Funding
This research was funded by National Key R&D Program of China (2018YFD0901203); the National Natural Science Foundation of China (31730099 and 32102779); Basic Research Funds of Chinese Academy of Fishery Sciences (2020XT0101); the Innovative Team Project of Chinese Academy of Fishery Sciences (2020TD20); Taishan Scholar Climbing Project of Shandong Province, China. And The APC was funded by National Key R&D Program of China (2018YFD0901203).
Institutional Review Board Statement
The study was conducted in accordance with the Declaration of Helsinki, and approved by the Ethics Committee of Yellow Sea Fisheries Research Institute (Approval number, YSFRI-2021007).
Data Availability Statement
The data presented in this study are available in this article.
Conflicts of Interest
The authors declare no conflict of interest.
References
- Burgoyne, M.S. Role of mammalian Y chromosome in sex determination. Philos. Trans. R. Soc. Lond. B Biol. 1988, 322, 63–72. [Google Scholar]
- Koopman, P.; Gubbay, J.; Vivian, N.; Goodfellow, P.; Lovell-Badge, R. Male development of chromosomally female mice transgenic for Sry. Nature 1991, 351, 117–121. [Google Scholar] [CrossRef] [PubMed]
- Craig, A.S.; Kelly, N.R.; Thomas, O.; David, M.C.; Peter, G.F.; Timothy, J.D.; Andrew, H.S. The avian Z-linked gene DMRT1 is required for male sex determination in the chicken. Nature 2009, 461, 267–271. [Google Scholar]
- Bowles, J.; Feng, C.W.; Spiller, C.; Davidson, T.L.; Jackson, A.; Koopman, P. FGF9 suppresses meiosis and promotes male germ cell fate in mice. Dev. Cell 2010, 19, 440–449. [Google Scholar] [CrossRef] [PubMed]
- Bowles, J.; Feng, C.W.; Ineson, J.; Miles, K.; Spiller, C.M.; Harley, V.R.; Sinclair, A.H.; Koopman, P. Retinoic acid antagonizes testis development in mice. Cell Rep. 2018, 24, 1330–1341. [Google Scholar] [CrossRef] [PubMed]
- Yamaguchi, T.; Kitano, T. High temperature induces cyp26b1 mRNA expression and delays meiotic initiation of germ cells by increasing cortisol levels during gonadal sex differentiation in Japanese flounder. Biochem. Biophys. Res. Commun. 2012, 419, 287–292. [Google Scholar] [CrossRef] [PubMed]
- Saba, R.; Wu, Q.; Saga, Y. CYP26B1 promotes male germ cell differentiation by suppressing STRA8-dependent meiotic and STRA8-independent mitotic pathways. Dev. Biol. 2014, 389, 173–181. [Google Scholar] [CrossRef] [PubMed][Green Version]
- King, A.C.; Gut, M.; Zenker, A.K. Shedding new light on early sex determination in zebrafsh. Arch. Toxicol. 2020, 94, 4143–4158. [Google Scholar] [CrossRef]
- Parekh, P.A.; Garcia, T.X.; Waheeb, R.; Jain, V.; Gandhi, P.; Meistrich, M.; Shetty, G.; Hofmann, M.C. Undifferentiated spermatogonia regulate Cyp26b1 expression through NOTCH signaling and drive germ cell differentiation. FASEB J. 2019, 33, 8423–8435. [Google Scholar] [CrossRef]
- McClelland, K.; Bowles, J.; Koopman, P. Male sex determination: Insights into molecular mechanisms. Asian J. Adrol. 2012, 14, 164–171. [Google Scholar] [CrossRef]
- Bowles, J.; Knight, D.; Smith, C.; Wilhelm, D.; Richman, J.; Mamiya, S.; Yashiro, K.; Chawengsaksophak, K.; Wilson, M.J.; Rossant, J. Retinoid signaling determines germ cell fate in mice. Science 2006, 312, 596–600. [Google Scholar] [CrossRef] [PubMed]
- Koubova, J.; Menke, D.B.; Zhou, Q.; Capel, B.; Griswold, M.D.; Page, D.C. Retinoic acid regulates sex-specific timing of meiotic initiation in mice. Proc. Natl. Acad. Sci. USA 2006, 103, 2474–2479. [Google Scholar] [CrossRef] [PubMed]
- Rodríguez-Marí, A.; Cañestro, C.; BreMiller, R.A.; Catchen, J.M.; Yan, Y.L.; Postlethwait, J.H. Retinoic acid metabolic genes, meiosis, and gonadal sex differentiation in zebrafish. PLoS ONE 2013, 8, e73951. [Google Scholar] [CrossRef] [PubMed]
- Kashimada, K.; Svingen, T.; Feng, C.W.; Pelosi, E.; Bagheri-Fam, S.; Harley, V.R.; Schlessinger, D.; Bowles, J.; Koopman, P. Antagonistic regulation of Cyp26b1 by transcription factors SOX9/SF1 and FOXL2 during gonadal development in mice. FASEB J. 2011, 25, 3561–3569. [Google Scholar] [CrossRef]
- Chen, S.L.; Tian, Y.S.; Yang, J.F.; Shao, C.W.; Ji, X.S.; Zhai, J.M.; Liao, X.L.; Zhuang, Z.M.; Su, P.Z.; Xu, J.Y.; et al. Artificial gynogenesis and sex determination in half-smooth tongue sole (Cynoglossus semilaevis). Mar. Biotechnol. 2009, 11, 243–251. [Google Scholar] [CrossRef]
- Chen, S.; Zhang, G.; Shao, C.; Huang, Q.; Liu, G.; Zhang, P.; Song, W.; An, N.; Chalopin, D.; Volff, J.N.; et al. Whole-genome sequence of a flatfish provides insights into ZW sex chromosome evolution and adaptation to a benthic lifestyle. Nat. Genet. 2014, 46, 253–260. [Google Scholar] [CrossRef]
- Cui, Z.; Liu, Y.; Wang, W.; Wang, Q.; Zhang, N.; Lin, F.; Wang, N.; Shao, C.; Dong, Z.; Li, Y.; et al. Genome editing reveals dmrt1 as an essential male sex-determining gene in Chinese tongue sole (Cynoglossus semilaevis). Sci. Rep. 2017, 7, 42213. [Google Scholar] [CrossRef]
- Shao, C.; Li, Q.; Chen, S.; Zhang, P.; Lian, J.; Hu, Q.; Sun, B.; Jin, L.; Liu, S.; Wang, Z.; et al. Epigenetic modification and inheritance in sexual reversal of fish. Genome Res. 2014, 24, 604–615. [Google Scholar] [CrossRef]
- Deng, S.P.; Chen, S.L.; Xu, J.Y.; Liu, B.W. Molecular cloning, characterization and expression analysis of gonadal P450 aromatase in the half-smooth tonguesole, Cynoglossus semilaevis. Aquaculture 2009, 287, 211–218. [Google Scholar] [CrossRef]
- Dong, X.L.; Chen, S.L.; JI, X.S.; Shao, C.W. Molecular cloning, characterization and expression analysis of Sox9a and Foxl2 genes in half-smooth tongue sole (Cynoglossus semilaevis). Acta Oceanol. Sin. 2011, 30, 68–77. [Google Scholar] [CrossRef]
- Li, H.; Xu, W.; Zhang, N.; Shao, C.; Zhu, Y.; Dong, Z.; Wang, N.; Jia, X.; Xu, H.; Chen, S. Two Figla homologues have disparate functions during sex differentiation in half-smooth tongue sole (Cynoglossus semilaevis). Sci. Rep. 2016, 6, 28219. [Google Scholar] [CrossRef] [PubMed]
- Zhu, Y.; Meng, L.; Xu, W.; Cui, Z.; Zhang, N.; Guo, H.; Wang, N.; Shao, C.; Chen, S. The autosomal Gsdf gene plays a role in male gonad development in Chinese tongue sole (Cynoglossus semilaevis). Sci. Rep. 2018, 8, 17716. [Google Scholar] [CrossRef]
- Chen, S.L.; Ji, X.S.; Shao, C.W.; Li, W.L.; Yang, J.F.; Liang, Z.; Liao, X.L.; Xu, G.B.; Xu, Y.; Song, W.T. Induction of mitogynogenetic diploids and identification of WW super-female using sex-specific SSR markers in half-smooth tongue sole (Cynoglossus semilaevis). Mar. Biotechnol. 2012, 14, 120–128. [Google Scholar] [CrossRef] [PubMed]
- Li, Z.; Yang, L.; Wang, J.; Shi, W.; Pawar, R.A.; Liu, Y.; Xu, C.; Cong, W.; Hu, Q.; Lu, T.; et al. β-Actin is a useful internal control for tissue-specific gene expression studies using quantitative real-time PCR in the half-smooth tongue sole Cynoglossus semilaevis challenged with LPS or Vibrio anguillarum. Fish Shellfish Immunol. 2010, 29, 89–93. [Google Scholar] [CrossRef]
- Bowles, J.; Secker, G.; Nguyen, C.; Kazenwadel, J.; Truong, V.; Frampton, E.; Curtis, C.; Skoczylas, R.; Davidson, T.L.; Miura, N.; et al. Control of retinoid levels by CYP26B1 is important for lymphatic vascular development in the mouse embryo. Dev. Biol. 2014, 386, 25–33. [Google Scholar] [CrossRef] [PubMed]
- Piprek, R.P.; Pecio, A.; Laskowska-Kaszub, K.; Kloc, M.; Kubiak, J.Z.; Szymura, J.M. Retinoic acid homeostasis regulates meiotic entry in developing anuran gonads and in Bidder’s organ through Raldh2 and Cyp26b1 proteins. Mech. Dev. 2013, 130, 613–627. [Google Scholar] [CrossRef]
- MacLean, G.; Li, H.; Metzger, D.; Chambon, P.; Petkovich, M. Apoptotic extinction of germ cells in testes of Cyp26b1 knockout mice. Endocrinology 2007, 148, 4560–4567. [Google Scholar] [CrossRef]
- Minkina, A.; Lindeman, R.E.; Gearhart, M.D.; Chassot, A.A.; Chaboissier, M.C.; Ghyselinck, N.B.; Bardwell, V.J.; Zarkower, D. Retinoic acid signaling is dispensable for somatic development and function in the mammalian ovary. Dev. Biol. 2017, 424, 208–220. [Google Scholar] [CrossRef]
- Snyder, E.M.; Small, C.; Griswold, M.D. Retinoic acid availability drives the asynchronous initiation of spermatogonial differentiation in the mouse. Biol. Reprod. 2010, 83, 783–790. [Google Scholar] [CrossRef]
- Kurashima, Y.; Amiya, T.; Fujisawa, K.; Shibata, N.; Suzuki, Y.; Kogure, Y.; Hashimoto, E.; Otsuka, A.; Kabashima, K.; Sato, S.; et al. The enzyme Cyp26b1 mediates inhibition of mast cell activation by fibroblasts to maintain skin-barrier homeostasis. Immunity 2014, 40, 530–541. [Google Scholar] [CrossRef]
- Zolfaghari, R.; Cifelli, C.J.; Lieu, S.O.; Chen, Q.; Li, N.; Ross, A.C. Lipopolysaccharide opposes the induction of CYP26A1 and CYP26B1 gene expression by retinoic acid in the rat liver in vivo. Am. J. Physiol. Gastrointest. Liver Physiol. 2006, 292, 1029–1036. [Google Scholar] [CrossRef] [PubMed][Green Version]
- Pennimpede, T.; Cameron, D.A.; Maclean, G.A.; Petkovich, M. Analysis of Cyp26b1/Rarg compound-null mice reveals two genetically separable effects of retinoic acid on limb outgrowth. Dev. Biol. 2010, 339, 179–186. [Google Scholar] [CrossRef] [PubMed]
- Abu-Abed, S.; MacLean, G.; Fraulob, V.; Chambon, P.; Petkovich, M.; Dolle, P. Differential expression of the retinoic acid-metabolizing enzymes CYP26A1 and CYP26B1 during murine organogenesis. Mech. Dev. 2002, 110, 173–177. [Google Scholar] [CrossRef]
Publisher’s Note: MDPI stays neutral with regard to jurisdictional claims in published maps and institutional affiliations. |
© 2022 by the authors. Licensee MDPI, Basel, Switzerland. This article is an open access article distributed under the terms and conditions of the Creative Commons Attribution (CC BY) license (https://creativecommons.org/licenses/by/4.0/).