Genetic Background and Inbreeding Depression in Romosinuano Cattle Breed in Mexico
Abstract
Simple Summary
Abstract
1. Introduction
2. Materials and Methods
2.1. Pedigree Genotypes and Phenotypes
2.2. Pedigree Analyses
2.2.1. Inbreeding and Relatedness Coefficient
2.2.2. Equivalent Complete Generations
2.2.3. Generation Interval
2.2.4. Realized Effective Population Size
2.2.5. Probabilities of Gene Origin
2.3. Genomic Analyses
2.3.1. Inbreeding Coefficients
2.3.2. Linkage Disequilibrium and Effective Population Size
2.4. Selection Signatures
2.5. Inbreeding Depression Analysis
3. Results and Discussion
3.1. Pedigree Analysis
3.1.1. Inbreeding and Relatedness Coefficient
3.1.2. Equivalent Complete Generations
3.1.3. Generation Interval
3.1.4. Realized Effective Population Size
3.1.5. Probabilities of Gene Origin
3.2. Genomic Analyses
3.2.1. Inbreeding Coefficients
3.2.2. Linkage Disequilibrium and Effective Population Size
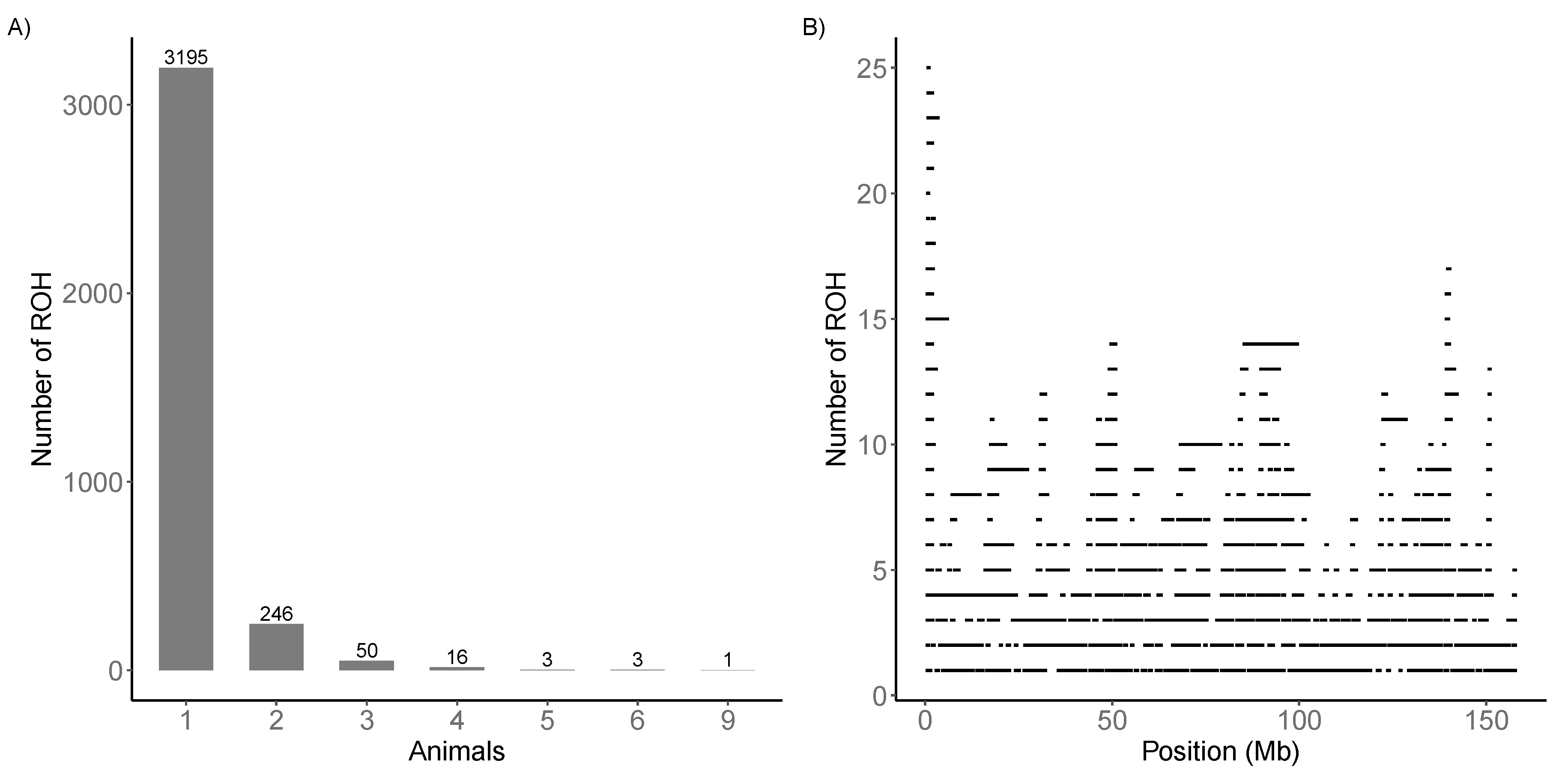
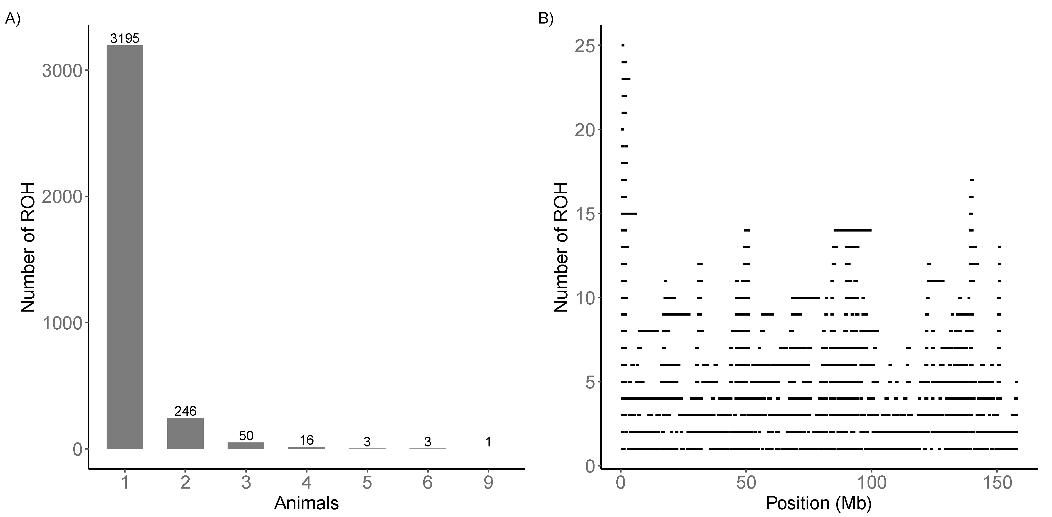
3.3. Selection Signatures
3.4. Inbreeding Depression
4. Conclusions
Author Contributions
Funding
Institutional Review Board Statement
Informed Consent Statement
Data Availability Statement
Acknowledgments
Conflicts of Interest
References
- De Alba, J. El libro de los Bovinos Criollos de América; Biblioteca Básica Agricultura (BBA): México City, Mexico, 2011. [Google Scholar]
- Ramírez Valverde, R.; Martínez Rocha, R.E.; Núñez Domínguez, R.; García Muñiz, J.G. Genetic parameters and trends of growth traits for Romosinuano cattle in Mexico. Nova Sci. 2018, 10, 16. [Google Scholar] [CrossRef]
- Núñez-Domínguez, R.E.; Martínez-Rocha, R.; Hidalgo-Moreno, J.; Ramírez-Valverde, R.; García-Muñiz, J.G. Evaluation of the Romosinuano cattle population structure in Mexico using pedigree analysis. Rev. Colomb. Cienc. Pecu. 2020, 33. [Google Scholar] [CrossRef]
- Gutiérrez, J.P.; Altarriba, J.; Díaz, C.; Quintanilla, R.; Cañón, J.; Piedrafita, J. Pedigree analysis of eight Spanish beef cattle breeds. Genet. Sel. Evol. 2003, 35, 43. [Google Scholar] [CrossRef] [PubMed]
- VanRaden, P.M. Accounting for Inbreeding and Crossbreeding in Genetic Evaluation of Large Populations. J. Dairy Sci. 1992, 75, 3136–3144. [Google Scholar] [CrossRef]
- Purcell, S.; Neale, B.; Todd-Brown, K.; Thomas, L.; Ferreira, M.A.R.; Bender, D.; Maller, J.; Sklar, P.; de Bakker, P.I.W.; Daly, M.J.; et al. PLINK: A Tool Set for Whole-Genome Association and Population-Based Linkage Analyses. Am. J. Hum. Genet. 2007, 81, 559–575. [Google Scholar] [CrossRef]
- Gutiérrez, J.P.; Goyache, F. A note on ENDOG: A computer program for analysing pedigree information. J. Anim. Breed. Genet. 2005, 122, 172–176. [Google Scholar] [CrossRef]
- Malécot, G. Mathématiques de l’hérédité. 1948. Available online: https://www.persee.fr/doc/linly_0366-1326_1948_num_17_10_8510_t1_0203_0000_2 (accessed on 9 November 2020).
- Meuwissen, T.H.E.; Luo, Z. Computing inbreeding coefficients in large populations. Genet. Sel. Evol. 1992, 24, 305–313. [Google Scholar] [CrossRef]
- Boichard, D.; Maignel, L.; Verrier, E. The value of using probabilities of gene origin to measure genetic variability in a population. Genet. Sel. Evol. 1997, 29, 1–19. [Google Scholar] [CrossRef]
- Maignel, L.; Boichard, D.; Verrier, E. Genetic variability of French dairy breeds estimated from pedigree information. Interbull Bull. 1996, 49. [Google Scholar]
- MacCluer, J.W.; Boyce, A.J.; Dyke, B.; Weitkamp, L.R.; Pfenning, D.W.; Parsons, C.J. Inbreeding and pedigree structure in Standardbred horses. J. Hered. 1983, 74, 394–399. [Google Scholar] [CrossRef]
- Gutiérrez, J.P.; Cervantes, I.; Molina, A.; Valera, M.; Goyache, F. Individual increase in inbreeding allows estimating effective sizes from pedigrees. Genet. Sel. Evol. 2008, 40, 1–20. [Google Scholar] [CrossRef] [PubMed]
- Gutiérrez, J.; Cervantes, I.; Goyache, F. Improving the estimation of realized effective population sizes in farm animals. J. Anim. Breed. Genet. 2009, 126, 327–332. [Google Scholar] [CrossRef] [PubMed]
- Lacy, R.C. Analysis of founder representation in pedigrees: Founder equivalents and founder genome equivalents. Zoo Biol. 1989, 8, 111–123. [Google Scholar] [CrossRef]
- VanRaden, P.M. Efficient methods to compute genomic predictions. J. Dairy Sci. 2008, 91, 4414–4423. [Google Scholar] [CrossRef] [PubMed]
- Misztal, I.; Tsuruta, S.; Lourenco, D.A.L.; Masuda, Y.; Aguilar, I.; Legarra, A.; Vitezica, Z. Manual for BLUPF90 Family of Programs. 2014. Available online: http://nce.ads.uga.edu/wiki/lib/exe/fetch.php?media=blupf90_all2.pdf (accessed on 4 May 2020).
- Zhang, Q.; Calus, M.P.L.; Guldbrandtsen, B.; Lund, M.S.; Sahana, G. Estimation of inbreeding using pedigree, 50k SNP chip genotypes and full sequence data in three cattle breeds. BMC Genet. 2015, 16, 88. [Google Scholar] [CrossRef] [PubMed]
- Sumreddee, P.; Toghiani, S.; Hay, E.H.; Roberts, A.; Agrrey, S.E.; Rekaya, R. Inbreeding depression in line 1 Hereford cattle population using pedigree and genomic information1. J. Anim. Sci. 2018, 97, 1–18. [Google Scholar] [CrossRef] [PubMed]
- Biscarini, F.; Cozzi, P.; Gaspa, G.; Marras, G. DetectRUNS: Detect Runs of Homozygosity and Runs of Heterozygosity in Diploid Genomes, 0.9.5. 2018. Available online: https://github.com/bioinformatics-ptp/detectRUNS/tree/master/detectRUNS (accessed on 4 May 2020).
- Kirin, M.; McQuillan, R.; Franklin, C.S.; Campbell, H.; McKeigue, P.M.; Wilson, J.F. Genomic Runs of Homozygosity Record Population History and Consanguinity. PLoS ONE 2010, 5, e13996. [Google Scholar] [CrossRef]
- Cesarani, A.; Sorbolini, S.; Criscione, A.; Bordonaro, S.; Pulina, G.; Battacone, G.; Marletta, D.; Gaspa, G.; Macciotta, N.P.P. Genome-wide variability and selection signatures in Italian island cattle breeds. Anim. Genet. 2018, 49, 371–383. [Google Scholar] [CrossRef]
- Barbato, M.; Orozco-terWengel, P.; Tapio, M.; Bruford, M.W. SNeP: A tool to estimate trends in recent effective population size trajectories using genome-wide SNP data. Front. Genet. 2015, 6, 109. [Google Scholar] [CrossRef]
- Corbin, L.J.; Liu, A.; Bishop, S.; Woolliams, J. Estimation of historical effective population size using linkage disequilibria with marker data. J. Anim. Breed. Genet. 2012, 129, 257–270. [Google Scholar] [CrossRef]
- Hayes, B.J.; Visscher, P.M.; McPartlan, H.C.; Goddard, M.E. Novel multilocus measure of linkage disequilibrium to estimate past effective population size. Genome Res 2003, 13, 635–643. [Google Scholar] [CrossRef] [PubMed]
- Sved, J.; Feldman, M. Correlation and probability methods for one and two loci. Theor. Popul. Biol. 1973, 4, 129–132. [Google Scholar] [CrossRef]
- Tenesa, A.; Navarro, P.; Hayes, B.J.; Duffy, D.L.; Clarke, G.M.; Goddard, M.E.; Visscher, P.M. Recent human effective population size estimated from linkage disequilibrium. Genome Res 2007, 17, 520–526. [Google Scholar] [CrossRef]
- Biscarini, F.; Mastrangelo, S.; Catillo, G.; Senczuk, G.; Ciampolini, R. Insights into Genetic Diversity, Runs of Homozygosity and Heterozygosity-Rich Regions in Maremmana Semi-Feral Cattle Using Pedigree and Genomic Data. Animals 2020, 10, 2285. [Google Scholar] [CrossRef] [PubMed]
- R Core Team. R: A Language and Environment for Statistical Computing; R Foundation for Statistical Computing: Vienna, Austria, 2020. [Google Scholar]
- Barczak, E.; Wolc, A.; Wójtowski, J.; Ślósarz, P.; Szwaczkowski, T. Inbreeding and inbreeding depression on body weight in sheep. J. Anim. Feed Sci. 2009, 18, 42–50. [Google Scholar] [CrossRef]
- FAO. Secondary Guidelines for Development of National Farm Animal Genetic Resources Management Plans: Management of Small Populations at Risk; FAO: Rome, Italy, 1998. [Google Scholar]
- Ramírez-Valverde, R.; Delgadillo-Zapata, A.R.; Domínguez-Viveros, J.; Hidalgo-Moreno, H.A.; Núñez-Domínguez, R.; Rodriguez-Almedida, F.A.; Reyes-Quiroz, C.; García-Muñiz, J.G. Pedigree analysis for determination of genetic diversity in Mexican beef cattle populations. Rev. Mex. Cienc. Pecu. 2018, 9, 614–635. [Google Scholar] [CrossRef]
- Maltecca, C.; Tiezzi, F.; Cole, J.B.; Baes, C. Symposium review: Exploiting homozygosity in the era of genomics-Selection, inbreeding, and mating programs. J. Dairy Sci. 2020, 103, 5302–5313. [Google Scholar] [CrossRef]
- Broman, K.W.; Weber, J.L. Long homozygous chromosomal segments in reference families from the centre d’Etude du polymorphisme humain. AJHG 1999, 65, 1493–1500. [Google Scholar] [CrossRef]
- Purfield, D.C.; Berry, D.P.; McParland, S.; Bradley, D.G. Runs of homozygosity and population history in cattle. BMC Genet. 2012, 13, 70. [Google Scholar] [CrossRef]
- Doekes, H.P.; Veerkamp, R.F.; Bijma, P.; de Jong, G.; Hiemstra, S.J.; Windig, J.J. Inbreeding depression due to recent and ancient inbreeding in Dutch Holstein–Friesian dairy cattle. Genet. Sel. Evol. 2019, 51, 54. [Google Scholar] [CrossRef]
- Makanjuola, B.O.; Maltecca, C.; Miglior, F.; Schenkel, F.S.; Baes, C.F. Effect of recent and ancient inbreeding on production and fertility traits in Canadian Holsteins. BMC Genom. 2020, 21, 605. [Google Scholar] [CrossRef] [PubMed]
- Sumreddee, P.; Toghiani, S.; Hay, E.H.; Roberts, A.; Aggrey, S.E.; Rekaya, R. Runs of homozygosity and analysis of inbreeding depression. J. Anim. Sci. 2020, 98, skaa361. [Google Scholar] [CrossRef] [PubMed]
- Cesarani, A.; Gaspa, G.; Pauciullo, A.; Degano, L.; Vicario, D.; Macciotta, N.P.P. Genome-wide analysis of homozygosity regions in european simmental bulls. J. Anim. Breed. Genet. 2020. [Google Scholar] [CrossRef] [PubMed]
- Marras, G.; Gaspa, G.; Sorbolini, S.; Dimauro, C.; Ajmone-Marsan, P.; Valentini, A.; Williams, J.L.; Macciotta, N.P.P. Analysis of runs of homozygosity and their relationship with inbreeding in five cattle breeds farmed in Italy. Anim. Genet. 2015, 46, 110–121. [Google Scholar] [CrossRef]
- Curik, I.; Ferenčaković, M.; Sölkner, J. Inbreeding and runs of homozygosity: A possible solution to an old problem. Livest. Sci. 2014, 166, 26–34. [Google Scholar] [CrossRef]
- Gibson, J.; Morton, N.E.; Collins, A. Extended tracts of homozygosity in outbred human populations. Hum. Mol. Genet. 2006, 15, 789–795. [Google Scholar] [CrossRef]
- Bosse, M.; Megens, H.-J.; Madsen, O.; Paudel, Y.; Frantz, L.A.F.; Schook, L.B.; Crooijmans, R.P.M.A.; Groenen, M.A.M. Regions of Homozygosity in the Porcine Genome: Consequence of Demography and the Recombination Landscape. PLoS Genet. 2012, 8, e1003100. [Google Scholar] [CrossRef]
- Fisher, R.A. A fuller theory of “Junctions” in inbreeding. Heredity 1954, 8, 187–197. [Google Scholar] [CrossRef]
- Ferencakovic, M.; Hamzić, E.; Gredler, B.; Solberg, T.R.; Klemetsdal, G.; Curik, I.; Sölkner, J. Estimates of autozygosity derived from runs of homozygosity: Empirical evidence from selected cattle populations. J. Anim. Breed. Genet. 2013, 130, 286–293. [Google Scholar] [CrossRef]
- Szmatoła, T.; Gurgul, A.; Ropka-Molik, K.; Jasielczuk, I.; Ząbek, T.; Bugno-Poniewierska, M. Characteristics of runs of homozygosity in selected cattle breeds maintained in Poland. Livest. Sci. 2016, 188, 72–80. [Google Scholar] [CrossRef]
- Ferencakovic, M.; Hamzi, E.; Gredler, B.; Curik, I.; Sölkner, J. Runs of Homozygosity Reveal Genome- Wide Autozygosity in the Austrian Fleckvieh Cattle. Agr. Cons. Sci. 2011, 76, 325–328. Available online: http://www.agr.unizg.hr/smotra/pdf_76/acs76_63.pdf (accessed on 4 July 2020).
- Meyermans, R.; Gorssen, W.; Buys, N.; Janssens, S. How to study runs of homozygosity using PLINK? A guide for analyzing medium density SNP data in livestock and pet species. BMC Genom. 2020, 21, 94. [Google Scholar] [CrossRef] [PubMed]
- Pryce, J.E.; Haile-Mariam, M.; Goddard, M.E.; Hayes, B.J. Identification of genomic regions associated with inbreeding depression in Holstein and Jersey dairy cattle. Genet. Sel. Evol. 2014, 46, 71. [Google Scholar] [CrossRef] [PubMed]
- Sargolzaei, M.; Schenkel, F.S.; Jansen, G.B.; Schaeffer, L.R. Extent of Linkage Disequilibrium in Holstein Cattle in North America. J. Dairy Sci. 2008, 91, 2106–2117. [Google Scholar] [CrossRef] [PubMed]
- Xu, L.; Zhu, B.; Wang, Z.; Xu, L.; Liu, Y.; Chen, Y.; Zhang, L.; Gao, X.; Gao, H.; Zhang, S.; et al. Evaluation of Linkage Disequilibrium, Effective Population Size and Haplotype Block Structure in Chinese Cattle. Animals 2019, 9, 83. [Google Scholar] [CrossRef]
- Bejarano, D.; Martínez, R.; Manrique, C.; Parra, L.M.; Rocha, J.F.; Gómez, Y.; Abuabara, Y.; Gallego, J. Linkage disequilibrium levels and allele frequency distribution in Blanco Orejinegro and Romosinuano Creole cattle using medium density SNP chip data. Genet. Mol. Biol. 2018, 41, 426–433. [Google Scholar] [CrossRef]
- Bohmanova, J.; Sargolzaei, M.; Schenkel, F.S. Characteristics of linkage disequilibrium in North American Holsteins. BMC Genom. 2010, 11, 421. [Google Scholar] [CrossRef]
- Flury, C.; Tapio, M.; Sonstegard, T.; Drögemüller, C.; Leeb, T.; Simianer, H.; Hanotte, O.; Rieder, S. Effective population size of an indigenous Swiss cattle breed estimated from linkage disequilibrium. J. Anim. Breed. Genet. 2010, 127, 339–347. [Google Scholar] [CrossRef]
- Silva, D.B.; Fonseca, L.F.; Pinheiro, D.G.; Magalhães, A.F.; Muniz, M.M.; Ferro, J.A.; Baldi, F.; Chardulo, L.A.; Schnabel, R.D.; Taylor, J.F. Spliced genes in muscle from Nelore Cattle and their association with carcass and meat quality. Sci. Rep. 2020, 10, 1–13. [Google Scholar] [CrossRef]
- Zhang, L.; Michal, J.J.; O’Fallon, J.V.; Pan, Z.; Gaskins, C.T.; Reeves, J.J.; Busboom, J.R.; Zhou, X.; Ding, B.; Dodson, M.V. Quantitative genomics of 30 complex phenotypes in Wagyu × Angus F1 progeny. Int. J. Biol. Sci. 2012, 8, 838. [Google Scholar] [CrossRef][Green Version]
- Grajales, S.M.B.; Zuluaga, J.J.E.; Herrera, A.L.; Osorio, N.R.; Vergara, D.M.B. RNA-seq differential gene expression analysis in mammary tissue from lactating dairy cows supplemented with sunflower oil. Anim. Prod. Sci. 2020, 60, 758–771. [Google Scholar] [CrossRef]
- De Camargo, G.; Aspilcueta-Borquis, R.R.; Fortes, M.; Porto-Neto, R.; Cardoso, D.F.; Santos, D.; Lehnert, S.; Reverter, A.; Moore, S.; Tonhati, H. Prospecting major genes in dairy buffaloes. BMC Genom. 2015, 16, 872. [Google Scholar] [CrossRef] [PubMed]
- Londoño-Gil, M.; Rincón Flórez, J.C.; Lopez-Herrera, A.; Gonzalez-Herrera, L.G. Genome-Wide Association Study for Growth Traits in Blanco Orejinero (Bon) Cattle from Colombia. Livest. Sci. 2021, 243, 104366. [Google Scholar] [CrossRef]
- Devani, K.; Plastow, G.; Orsel, K.; Valente, T.S. Genome-wide association study for mammary structure in Canadian Angus cows. PLoS ONE 2020, 15, e0237818. [Google Scholar] [CrossRef]
- Pitt, D.; Bruford, M.W.; Barbato, M.; Orozco-terWengel, P.; Martínez, R.; Sevane, N. Demography and rapid local adaptation shape Creole cattle genome diversity in the tropics. Evol. Appl. 2019, 12, 105–122. [Google Scholar] [CrossRef]
- Falconer, D.S.; Mackay, T.F.C. Introduction to Quantitative Genetics, 4th ed.; Longman: Essex, UK, 1996. [Google Scholar]
- Leroy, G. Inbreeding depression in livestock species: Review and meta-analysis. Anim. Genet. 2014, 45, 618–628. [Google Scholar] [CrossRef]
- Martikainen, K.; Sironen, A.; Uimari, P. Estimation of intrachromosomal inbreeding depression on female fertility using runs of homozygosity in Finnish Ayrshire cattle. J. Dairy Sci. 2018, 101, 11097–11107. [Google Scholar] [CrossRef]
- Meuwissen, T.H.E. Maximizing the response of selection with a predefined rate of inbreeding. J. Anim. Sci. 1997, 75, 934–940. [Google Scholar] [CrossRef]







| Path of Selection | n | GI ± SE (y) |
|---|---|---|
| Total population | ||
| Sire–sire | 1211 | 6.73 ± 0.11 |
| Sire–dam | 2428 | 6.27 ± 0.06 |
| Dam–sire | 1270 | 6.49 ± 0.09 |
| Dam–dam | 2006 | 5.76 ± 0.07 |
| Total | 6915 | 6.25 ± 0.04 |
| Reference population | ||
| Sire–sire | 459 | 6.21 ± 0.15 |
| Sire–dam | 557 | 6.12 ± 0.16 |
| Dam–sire | 470 | 7.09 ± 0.17 |
| Dam–dam | 544 | 6.71 ± 0.18 |
| Total | 2030 | 6.52 ± 0.08 |
| ROH Length Class | Number of ROH (%) | ||
|---|---|---|---|
| Length, Mb | SNP | ||
| 1–2 Mb | 1907 (48.4) | 1.43 ± 0.27 | 20 ± 7 |
| 2–4 Mb | 1098 (27.8) | 2.79 ± 0.57 | 35 ± 14 |
| 4–8 Mb | 640 (16.2) | 5.60 ± 1.10 | 68 ± 20 |
| 8–16 Mb | 250 (6.3) | 10.42 ± 2.00 | 124 ± 29 |
| >16 Mb | 48 (1.3) | 20.34 ± 4.56 | 237 ± 70 |
| Total | 3943 (100) | 329 ± 3.19 | 41 ± 39 |
| Statistic | Inbreeding Measure | ||||||
|---|---|---|---|---|---|---|---|
| Mean ± SD, % | 2.98 ± 2.81 | 2.98 ± 4.01 | 7.28 ± 3.68 | 5.75 ± 3.54 | 4.20 ± 3.07 | 4.20 ± 3.07 | 1.44 ± 1.05 |
| Minimum, % | 0.00 | −3.35 | 1.17 | 0.17 | 0.17 | 0.17 | 0.64 |
| Maximum, % | 14.28 | 17.34 | 20.74 | 18.89 | 16.39 | 16.39 | 4.36 |
| Inbreeding Measure | ||||||||
|---|---|---|---|---|---|---|---|---|
| >1 Mb | >2 Mb | >4 Mb | >8 Mb | >16 Mb | ||||
| −0.25 | 0.58 | 0.51 | 0.46 | 0.46 | 0.44 | |||
| n.s. | 0.16 | 0.24 | 0.24 | 0.24 | 0.31 | |||
| >1 Mb | n.s. | n.s. | 0.99 | 0.96 | 0.96 | 0.69 | ||
| >2 Mb | n.s. | n.s. | *** | 0.98 | 0.98 | 0.73 | ||
| >4 Mb | n.s. | n.s. | *** | *** | 1.00 | 0.81 | ||
| >8 Mb | n.s. | n.s. | *** | *** | *** | 0.81 | ||
| >16 Mb | n.s. | n.s. | * | * | ** | ** | ||
| Island Type | BTA | Start (bp) | End (bp) | n SNP | Genes 1 |
|---|---|---|---|---|---|
| ROH island | 1 | 39,3248 | 139,7493 | 13 | LOC112447010, LOC100138661, LOC1077131365, LOC618212, LOC112447011, LOC104971400, LOC787710, LOC112447083, CLIC6, RCAN1, LOC618840, TRNA-CCC, KCNE1, LOC101904627, LOC10190344, C1H2orf140, SMIM11A, KCNE2, LOC112446832, LOC112447088, LOC107132170, MRPS6 |
| island | 1 | 103,788,356 | 104,344,681 | 9 | LOC112448262, LOC 112448289 |
| 8 | 55,663,248 | 56,244,907 | 13 | TLE4, LOC112447804, LOC104972906, LOC112447806, LOC104969368, LOC107132695 | |
| 13 | 39,826,900 | 41,023,312 | 17 | CFAP61, INSM1, RALGAPA2, LOC112449374, LOC104973781, LOC112449451, KIZ, LOC100140493, XRN2, NKX2-4, LOC112449289, NKX2-2, LOC614124, PAX1 |
| Group/Inbreeding Coefficient | Birth Weight | Weaning Weight | ||||
|---|---|---|---|---|---|---|
| Estimate ± SE | p value | n | Estimate ± SE | p value | n | |
| With phenotypes | ||||||
| −0.103 ± 0.032 | 0.001 | 1328 | −0.685 ± 0.229 | 0.003 | 690 | |
| With phenotypes and genotyped | ||||||
| −0.044 ± 0.218 | 0.841 | 51 | −2.021 ± 2.222 | 0.373 | 37 | |
| −0.183 ± 0.170 | 0.291 | 51 | −2.771 ± 1.507 | 0.079 | 37 | |
| −0.064 ± 0.047 | 0.185 | 51 | −0.444 ± 0.349 | 0.212 | 37 | |
Publisher’s Note: MDPI stays neutral with regard to jurisdictional claims in published maps and institutional affiliations. |
© 2021 by the authors. Licensee MDPI, Basel, Switzerland. This article is an open access article distributed under the terms and conditions of the Creative Commons Attribution (CC BY) license (http://creativecommons.org/licenses/by/4.0/).
Share and Cite
Hidalgo, J.; Cesarani, A.; Garcia, A.; Sumreddee, P.; Larios, N.; Mancin, E.; García, J.G.; Núñez, R.; Ramírez, R. Genetic Background and Inbreeding Depression in Romosinuano Cattle Breed in Mexico. Animals 2021, 11, 321. https://doi.org/10.3390/ani11020321
Hidalgo J, Cesarani A, Garcia A, Sumreddee P, Larios N, Mancin E, García JG, Núñez R, Ramírez R. Genetic Background and Inbreeding Depression in Romosinuano Cattle Breed in Mexico. Animals. 2021; 11(2):321. https://doi.org/10.3390/ani11020321
Chicago/Turabian StyleHidalgo, Jorge, Alberto Cesarani, Andre Garcia, Pattarapol Sumreddee, Neon Larios, Enrico Mancin, José Guadalupe García, Rafael Núñez, and Rodolfo Ramírez. 2021. "Genetic Background and Inbreeding Depression in Romosinuano Cattle Breed in Mexico" Animals 11, no. 2: 321. https://doi.org/10.3390/ani11020321
APA StyleHidalgo, J., Cesarani, A., Garcia, A., Sumreddee, P., Larios, N., Mancin, E., García, J. G., Núñez, R., & Ramírez, R. (2021). Genetic Background and Inbreeding Depression in Romosinuano Cattle Breed in Mexico. Animals, 11(2), 321. https://doi.org/10.3390/ani11020321

