Evaluating Interlaboratory Variability in Wastewater-Based COVID-19 Surveillance
Abstract
1. Introduction
2. Materials and Methods
2.1. Generation of Wastewater Samples Stock
2.2. Pre-Analytical Process: Concentration and Acid Nucleic Extraction
2.3. Analytical Process: Real-Time One-Step RT-PCR Assays for SARS-CoV-2 Detection
2.4. Statistical Analyses
2.4.1. Pre-Analytical vs. Analytical Phase Effect
2.4.2. Wastewater Treatment Plant Effect
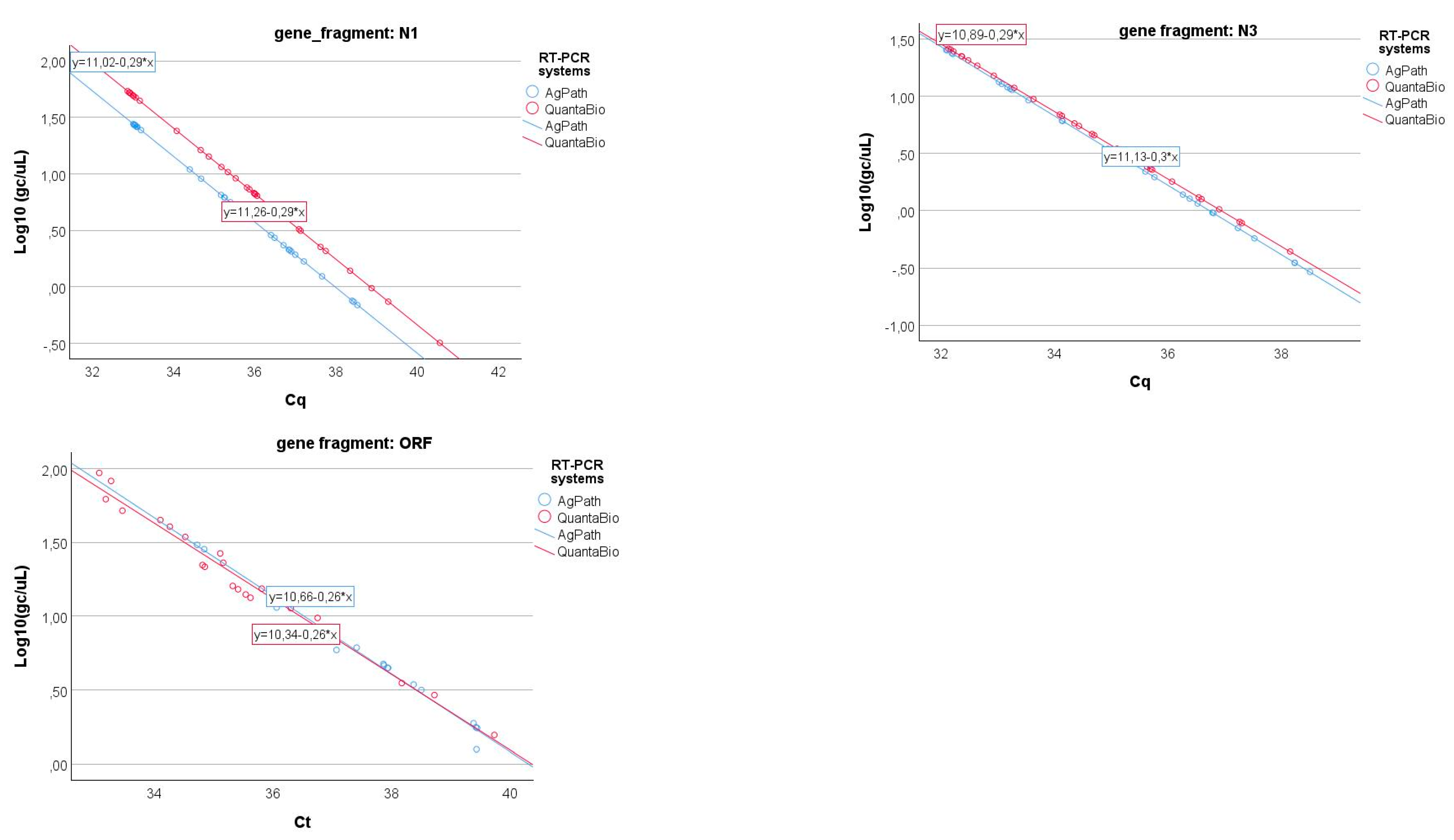
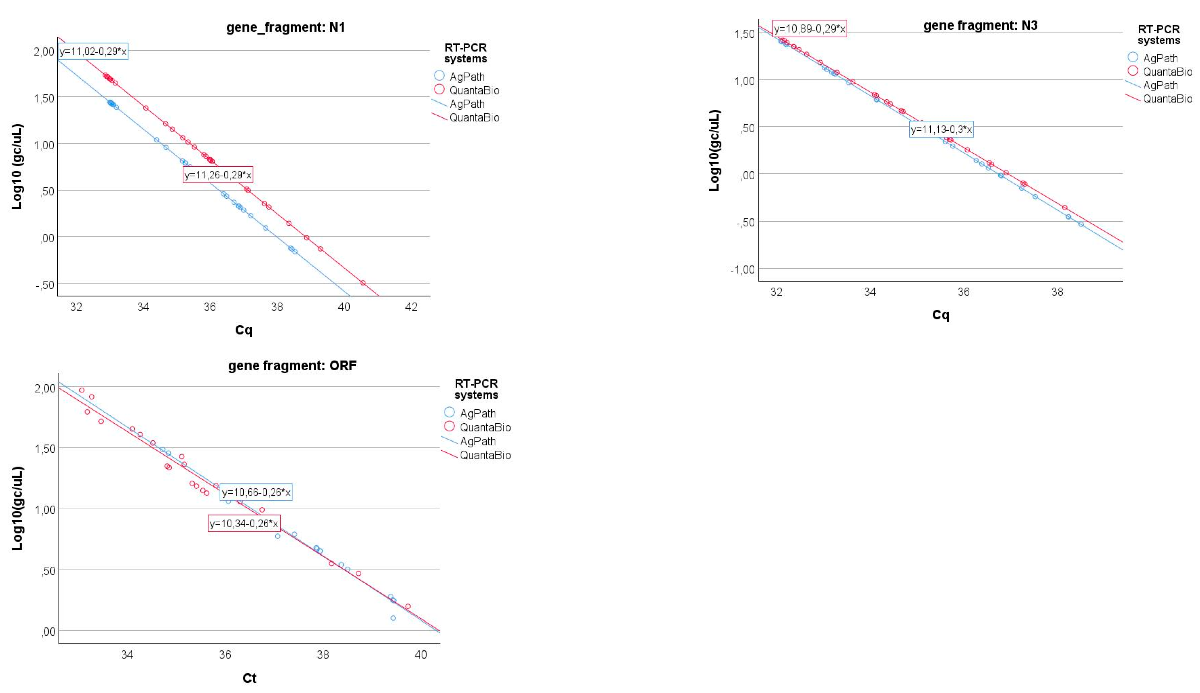
2.4.3. RT-PCR Systems Effect
2.4.4. Standard Curves Comparison
2.4.5. Frozen Samples Integrity
3. Results
3.1. Pre-Analytical vs. Analytical Phase
- − N1 gene fragment: No factor is significant (p-value > 0.05). The laboratories demonstrate consistency in determining gene copies per liter, showing no variability due to the pre-analytical concentration/extraction processes or the analytical phase.
- − N3 gene fragment: Significant differences are observed between laboratories in the analytical determination of gene copies per liter (p-value < 0.01), while no difference is present in the pre-analytical concentration and extraction processes (p-value > 0.20).
- − ORF1-ab gene fragment: Significant differences are also observed here between laboratories in the analytical determination of gene copies per liter (p-value < 0.01), while no difference is present in the pre-analytical concentration and extraction processes (p-value > 0.40). Moreover, the pre-analytical*analytical interaction term is also significant (p-value < 0.01, see Figure 3). Pairwise multiple comparison tests of the analytical phase identified two laboratories (e.g., Lab2 and Lab4) as significantly different from the others (p-value < 0.05, see Table 3), particularly concerning the gene fragment ORF and, to a lesser extent, the gene fragment N3.
3.2. Wastewater Treatment Plant Effect
3.3. RT-PCR Enzyme-Mix Effect
3.4. Harmonization of Standard Curves Across Laboratories
3.5. SARS-CoV-2 Detection in Frozen Samples
4. Discussion
5. Conclusions
Supplementary Materials
Author Contributions
Funding
Institutional Review Board Statement
Informed Consent Statement
Data Availability Statement
Acknowledgments
Conflicts of Interest
Abbreviations
| WES | Wastewater environmental surveillance |
| PE | People Equivalent |
| GLMs | Generalized Linear Models |
| WWTP | Wastewater treatment plant |
| QCMD | Quality Control for Molecular Diagnostics |
| TSSs | Total Suspended Solids |
| BOD | Biochemical Oxygen Demand |
| COD | Chemical Oxygen Demand |
| NIST | National Institute of Standards and Technology |
References
- Naughton, C.C.; Roman, F.A.; Alvarado, A.G.; Tariqi, A.Q.; Deeming, M.A.; Kadonsky, K.F.; Bibby, K.; Bivins, A.; Medema, G.; Ahmed, W.; et al. Show us the data: Global COVID-19 wastewater monitoring efforts, equity, and gaps. FEMS Microbes 2023, 4, xtad003. [Google Scholar] [CrossRef] [PubMed]
- World Health Organization (WHO). Coronavirus Disease 2019 (COVID-19) Situation Report. Available online: http://covid19.who.int (accessed on 10 February 2025).
- McMahan, C.S.; Self, S.; Rennert, L.; Kalbaugh, C.; Kriebel, D.; Graves, D.; Colby, C.; Deaver, J.A.; Popat, S.C.; Karanfil, T.; et al. COVID-19 wastewater epidemiology: A model to estimate infected populations. Lancet Planet. Health 2021, 5, e874–e881. [Google Scholar] [CrossRef]
- Wilhelm, A.; Schoth, J.; Meinert-Berning, C.; Agrawal, S.; Bastian, D.; Orschler, L.; Ciesek, S.; Teichgräber, B.; Wintgens, T.; Lackner, S.; et al. Wastewater Surveillance Allows Early Detection of SARS-CoV-2 Omicron in North Rhine-Westphalia, Germany. Sci. Total Environ. 2022, 846, 157375. [Google Scholar] [CrossRef] [PubMed]
- Hillary, L.S.; Farkas, K.; Maher, K.H.; Lucaci, A.; Thorpe, J.; Distaso, M.A.; Gaze, W.H.; Paterson, S.; Burke, T.; Connor, T.R.; et al. Monitoring SARS-CoV-2 in wastewater to evaluate the success of lockdown measures for controlling COVID-19 in the UK. Water Res. 2021, 200, 117214. [Google Scholar] [CrossRef]
- Nattino, G.; Castiglioni, S.; Cereda, D.; Della Valle, P.G.; Pellegrinelli, L.; Bertolini, G.; Pariani, E. Association Between SARS-CoV-2 Viral Load in Wastewater and Reported Cases, Hospitalizations, and Vaccinations in Milan, March 2020 to November 2021. JAMA 2022, 327, 1922–1924. [Google Scholar] [CrossRef]
- Lucansky, V.; Samec, M.; Burjanivova, T.; Lukacova, E.; Kolkova, Z.; Holubekova, V.; Turyova, E.; Hornakova, A.; Zaborsky, T.; Podlesniy, P.; et al. Comparison of the methods for isolation and detection of SARS-CoV-2 RNA in municipal wastewater. Front. Public Health 2023, 11, 1116636. [Google Scholar] [CrossRef] [PubMed]
- Philo, S.E.; Keim, E.K.; Swanstrom, R.; Ong, A.Q.W.; Burnor, E.A.; Kossik, A.L.; Harrison, J.C.; Demeke, B.A.; Zhou, N.A.; Beck, N.K.; et al. A comparison of SARS-CoV-2 wastewater concentration methods for environmental surveillance. Sci. Total Environ. 2021, 760, 144215. [Google Scholar] [CrossRef] [PubMed]
- Whitney, O.N.; Kennedy, L.C.; Fan, V.B.; Hinkle, A.; Kantor, R.; Greenwald, H.; Crits-Christoph, A.; Al-Shayeb, B.; Chaplin, M.; Maurer, A.C.; et al. Sewage, Salt, Silica, and SARS-CoV-2 (4S): An Economical Kit-Free Method for Direct Capture of SARS-CoV-2 RNA from Wastewater. Environ. Sci. Technol. 2021, 55, 4880–4888. [Google Scholar] [CrossRef] [PubMed]
- Paracchini, V.; Petrillo, M.; Arcot Rajashekar, A.; Robuch, P.; Vincent, U.; Corbisier, P.; Tavazzi, S.; Raffael, B.; Suffredini, E.; La Rosa, G.; et al. EU surveys insights: Analytical tools, future directions, and the essential requirement for reference materials in wastewater monitoring of SARS-CoV-2, antimicrobial resistance and beyond. Human. Genom. 2024, 18, 72. [Google Scholar] [CrossRef]
- Kantor, R.S.; Nelson, K.L.; Greenwald, H.D.; Kennedy, L.C. Challenges in measuring the recovery of SARS-CoV-2 from Wastewater. Environ. Sci. Technol. 2021, 55, 3514–3519. [Google Scholar] [CrossRef]
- Pecson, B.M.; Darby, E.; Haas, C.N.; Amha, Y.M.; Bartolo, M.; Danielson, R.; Dearborn, Y.; Di Giovanni, G.; Ferguson, C.; Fevig, S.; et al. Reproducibility and sensitivity of 36 methods to quantify the SARS-CoV-2 genetic signal in raw wastewater: Findings from an interlaboratory methods evaluation in the U.S. Environ. Sci. 2021, 7, 504–520. [Google Scholar] [CrossRef] [PubMed]
- Kumblathan, T.; Piroddi, N.; Hrudey, S.E.; Li, X.F. Wastewater Based Surveillance of SARS-CoV-2: Challenges and Perspective from a Canadian inter-laboratory study. J. Environ. Sci. 2022, 116, 229–232. [Google Scholar] [CrossRef]
- Pellegrinelli, L.; Castiglioni, S.; Cocuzza, C.E.; Bertasi, B.; Primache, V.; Schiarea, S.; Salmoiraghi, G.; Franzetti, A.; Musemeci, R.; Tilola, M.; et al. Evaluation of Pre-Analytical and Analytical Methods for Detecting SARS-CoV-2 in Municipal Wastewater Samples in Northern Italy. Water 2022, 14, 833. [Google Scholar] [CrossRef]
- La Rosa, G.; Iaconelli, M.; Veneri, C.; Mancini, P.; Ferraro, G.B.; Brandtner, D.; Lucentini, L.; Bonadonna, L.; Rossi, M.; Grigioni, M.; et al. The rapid spread of SARS-CoV-2 Omicron variant in Italy reflected early through wastewater surveillance. Sci. Total. Environ. 2022, 837, 155767. [Google Scholar] [CrossRef] [PubMed]
- Castiglioni, S.; Schiarea, S.; Pellegrinelli, L.; Primache, V.; Galli, C.; Bubba, L.; Mancinelli, F.; Marinelli, M.; Cereda, D.; Ammoni, E.; et al. SARS-CoV-2 RNA in urban wastewater samples to monitor the COVID-19 pandemic in Lombardy, Italy (March–June 2020). Sci. Total Environ. 2022, 806, 150816. [Google Scholar] [CrossRef] [PubMed]
- La Rosa, G.; Iaconelli, M.; Mancini, P.; Ferraro, G.B.; Veneri, C.; Bonadonna, L.; Lucentini, L.; Suffredini, E. First detection of SARS-CoV-2 in untreated wastewaters in Italy. Sci. Total Environ. 2020, 736, 139652. [Google Scholar] [CrossRef]
- Cleveland, M.H.; Romsos, E.L.; Steffen, C.R.; Olson, N.D.; Servetas, S.L.; Valiant, W.G.; Vallone, P.M. Rapid production and free distribution of a synthetic RNA material to support SARS-CoV-2 molecular diagnostic testing. Biologicals 2023, 82, 101680. [Google Scholar] [CrossRef] [PubMed]
- La Rosa, G.; Mancini, P.; Bonanno Ferraro, G.; Veneri, C.; Iaconelli, M.; Bonadonna, L.; Lucentini, L.; Suffredini, E. SARS-CoV-2 has been circulating in northern Italy since December 2019: Evidence from environmental monitoring. Sci. Total Environ. 2021, 750, 141711. [Google Scholar] [CrossRef]
- Bustin, S.A.; Benes, V.; Garson, J.A.; Hellemans, J.; Huggett, J.; Kubista, M.; Mueller, R.; Nolan, T.; Pfaffl, M.W.; Shipley, G.L.; et al. The MIQE Guidelines: Minimum Information for Publication of Quantitative Real-Time PCR Experiments. Clin. Chem. 2009, 55, 611–622. [Google Scholar] [CrossRef] [PubMed]
- Schmidt, C. Watcher in the wastewater. Nat. Biotechnol. 2020, 38, 917–920. [Google Scholar] [CrossRef] [PubMed]
- Levy, J.I.; Andersen, K.G.; Knight, R.; Karthikeyan, S. Wastewater surveillance for public health. Science 2023, 379, 26–27. [Google Scholar] [CrossRef] [PubMed]
- Tiwari, A.; Lipponen, A.; Hokajärvi, A.-M.; Luomala, O.; Sarekoski, A.; Rytkönen, A.; Österlund, P.; Al-Hello, H.; Juutinen, A.; Miettinen, I.T.; et al. Detection and quantification of SARS-CoV-2 RNA in wastewater influent in relation to reported COVID-19 incidence in Finland. Water Res. 2022, 215, 118220. [Google Scholar] [CrossRef] [PubMed]
- Tiwari, A.; Adhikari, S.; Zhang, S.; Solomon, T.B.; Lipponen, A.; Islam, M.A.; Thakali, O.; Sangkham, S.; Shaheen, M.N.F.; Jiang, G.; et al. Tracing COVID-19 trails in Wastewater: A systematic review of SARS-CoV-2 surveillance with viral variants. Water 2023, 15, 1018. [Google Scholar] [CrossRef]
- Agrawal, S.; Orschler, L.; Tavazzi, S.; Greither, R.; Gawlik, B.M.; Lackner, S. Genome sequencing of Wastewater confirms the arrival of the SARS-CoV-2 Omicron variant at Frankfurt Airport but Limited Spread in the City of Frankfurt, Germany, in November 2021. Microbiol. Resour. Announc. 2022, 11, e0122921. [Google Scholar] [CrossRef] [PubMed]
- Agrawal, S.; Orschler, L.; Schubert, S.; Zachmann, K.; Heijnen, L.; Tavazzi, S.; Gawlik, B.M.; de Graaf, M.; Medema, G.; Lackner, S. Prevalence and circulation patterns of SARS-CoV-2 variants in European sewage mirror clinical data of 54 European cities. Water Res. 2022, 214, 118162. [Google Scholar] [CrossRef]
- Marchini, A.; Petrillo, M.; Parrish, A.; Buttinger, G.; Tavazzi, S.; Querci, M.; Betsou, F.; Elsinga, G.; Medema, G.; Abdelrahman, T.; et al. New RT-PCR assay for the detection of current and future SARS-CoV-2 variants. Viruses 2023, 15, 206. [Google Scholar] [CrossRef] [PubMed]
- Fontenele, R.S.; Kraberger, S.; Hadfield, J.; Driver, E.M.; Bowes, D.; Holland, L.A.; Faleye, T.O.C.; Adhikari, S.; Kumar, R.; Inchausti, R.; et al. High-throughput sequencing of SARS-CoV-2 in wastewater provides insights into circulating variants. Water Res. 2021, 205, 117710. [Google Scholar] [CrossRef] [PubMed]
- Ahmed, W.; Simpson, S.L.; Bertsch, P.M.; Bibby, K.; Bivins, A.; Blackall, L.L.; Bofill-Mas, S.; Bosch, A.; Brandao, J.; Choi, P.M.; et al. Minimizing errors in RT-PCR detection and quantification of SARS-CoV-2 RNA for wastewater surveillance. Sci. Total Environ. 2022, 805, 149877. [Google Scholar] [CrossRef] [PubMed]
- Ahmed, W.; Bivins, A.; Simpson, S.L.; Smith, W.J.M.; Metcalfe, S.; McMinn, B.; Symonds, E.M.; Korajkic, A. Comparative analysis of rapid concentration methods for the recovery of SARS-CoV-2 and quantification of human enteric viruses and a sewage-associated marker gene in untreated wastewater. Sci. Total Environ. 2021, 799, 149386. [Google Scholar] [CrossRef] [PubMed]
- Kim, Y.-I.; Casel, M.A.B.; Kim, S.-M.; Kim, S.-G.; Park, S.-J.; Kim, E.-H.; Jeong, H.W.; Poo, H.; Choi, Y.K. Development of severe acute respiratory syndrome coronavirus 2(SARS-CoV-2) thermal inactivation method with preservation of diagnostic sensitivity. J. Microbiol. 2020, 58, 886–891. [Google Scholar] [CrossRef]
- Mailepessov, D.; Arivalan, S.; Kong, M.; Griffiths, J.; Low, S.L.; Chen, H.; Hapuarachchi, H.C.; Gu, X.; Lee, W.L.; Alm, E.J.; et al. Development of an efficient wastewater testing protocol for high-throughput country-wide SARS-CoV-2 monitoring. Sci. Total Environ. 2022, 826, 154024. [Google Scholar] [CrossRef] [PubMed]
- Cutrupi, F.; Rossi, M.; Cadonna, M.; Poznanski, E.; Manara, S.; Postinghel, M.; Palumbi, G.; Bellisomi, M.; Nicosia, E.; Allaria, G.; et al. Evaluation of concentration procedures, sample pre-treatment, and storage condition for the detection of SARS-CoV-2 in wastewater. Environ. Sci. Pollut. Res. Int. 2023, 30, 106660–106670. [Google Scholar] [CrossRef]
- Gogoi, G.; Singh, S.D.; Kalyan, E.; Koch, D.; Gogoi, P.; Kshattry, M.; Mahanta, H.J.; Imran, M.; Pandey, R.; Bharali, P. An interpretative review of the wastewater-based surveillance of the SARS-CoV-2: Where do we stand on its presence and concern? Front. Microbiol. 2024, 15, 1338100. [Google Scholar] [CrossRef]
- Bivins, A.; Kaya, D.; Bibby, K.; Simpson, S.L.; Bustin, S.A.; Shanks, O.C.; Ahmed, W. Variability in RT-qPCR assay parameters indicates unreliable SARS-CoV-2 RNA quantification for wastewater surveillance. Water Res. 2021, 203, 117516. [Google Scholar] [CrossRef]
- Parkins, M.D.; Lee, B.E.; Acosta, N.; Bautista, M.; Hubert, C.R.J.; Hrudey, S.E.; Frankowski, K.; Pang, X.L. Wastewater-based surveillance as a tool for public health action: SARS-CoV-2 and beyond. Clin. Microbiol. Rev. 2024, 37, e00103-22. [Google Scholar] [CrossRef] [PubMed]
- Kallem, P.; Hegab, H.; Alsafar, H.; Hasan, S.W.; Banat, F. SARS-CoV-2 detection and inactivation in water and wastewater: Review on analytical methods, limitations and future research recommendations. Emerg. Microbes Infect. 2023, 12, 2222850. [Google Scholar] [CrossRef] [PubMed]
- Zuri, G.; Karanasiou, A.; Lacorte, S. Human biomonitoring of microplastics and health implications: A review. Environ. Res. 2023, 237, 116966. [Google Scholar] [CrossRef] [PubMed]
- Marcuello, C. Present and future opportunities in the use of atomic force microscopy to address the physico-chemical properties of aquatic ecosystems at the nanoscale level. Int. Aquat. Res. 2022, 14, 231–240. [Google Scholar]








| Parameter | Plant1 | Plant2 | Plant3 |
|---|---|---|---|
| People Equivalent | 1,250,000 | 600,000 | 296,000 |
| Annual Average flow (m3/d) | 432,000 | 179,000 | 75,000 |
| TSSs (mg/L) | 225.0 (±58.1) | 179.8 (±102.8) | 209.0 (±90.6) |
| BOD (mg/L) | 210.2 (±54.6) | 246.0 (±103.6) | |
| COD (mg/L) | 384.9 (±100.0) | 374.2 (±164.4) | 428.1 (±142.8) |
| N-NH4 (mg/L) | 21.0 (±4.6) | 28.8 (±6.1) | 43.9 (±9.5) |
| N-tot (mg/L) | 30.9 (±5.7) | 34.0 (±6.2) | 44.0 (±7.8) |
| Dependent Variable: Log10-Transform of the SARS-CoV-2 Concentration (g.c./μL) | ||||||
|---|---|---|---|---|---|---|
| Gene | Source | Sum of Squares | df | Mean Square | F | p-Value |
| N1 a | Intercept | 13.164 | 1 | 13.164 | 958.175 | <0.001 |
| Cq | 11.393 | 1 | 11.393 | 829.310 | <0.001 | |
| Analytical phase | 0.044 | 3 | 0.015 | 1.078 | 0.362 | |
| Pre-analytical phase | 0.068 | 4 | 0.017 | 1.235 | 0.301 | |
| Pre-analytical * Analytical | 0.051 | 11 | 0.005 | 0.337 | 0.975 | |
| Error | 1.333 | 97 | 0.014 | |||
| N3 b | Intercept | 18.798 | 1 | 18.798 | 2040.562 | <0.001 |
| Cq | 16.565 | 1 | 16.565 | 1798.146 | <0.001 | |
| Analytical phase | 0.411 | 3 | 0.137 | 14.859 | <0.001 | |
| Pre-analytical phase | 0.051 | 4 | 0.013 | 1.391 | 0.242 | |
| Pre-analytical * Analytical | 0.122 | 10 | 0.012 | 1.325 | 0.227 | |
| Error | 0.940 | 102 | 0.009 | |||
| ORF1ab c | Intercept | 6.397 | 1 | 6.397 | 5360.707 | <0.001 |
| Cq | 5.890 | 1 | 5.890 | 4935.942 | <0.001 | |
| Analytical phase | 11.139 | 3 | 3.713 | 3111.654 | <0.001 | |
| Pre-analytical phase | 0.005 | 4 | 0.001 | 0.998 | 0.415 | |
| Pre-analytical * Analytical | 0.052 | 12 | 0.004 | 3.650 | <0.001 | |
| Error | 0.080 | 67 | 0.001 | |||
| Dependent Variable: Log10-Transform of the SARS-CoV-2 Concentration (g.c./μL) | |||||||
|---|---|---|---|---|---|---|---|
| Gene Fragment | (I) Lab | (J) Lab | Mean Difference (I-J) | Std. Error | p-Value | 95% Confidence Interval for Difference | |
| Lower Bound | Upper Bound | ||||||
| N3 | LAB1 | LAB2 | −0.149 * | 0.030 | <0.001 | −0.229 | −0.070 |
| LAB3 | −0.061 | 0.032 | 0.348 | −0.146 | 0.025 | ||
| LAB4 | 0.007a | 0.032 | 1.000 | −0.079 | 0.093 | ||
| LAB2 | LAB1 | 0.149 * | 0.030 | <0.001 | 0.070 | 0.229 | |
| LAB3 | 0.088 * | 0.025 | 0.003 | 0.021 | 0.155 | ||
| LAB4 | 0.156 * | 0.025 | <0.001 | 0.088 | 0.224 | ||
| LAB3 | LAB1 | 0.061 | 0.032 | 0.348 | −0.025 | 0.146 | |
| LAB2 | −0.088 * | 0.025 | 0.003 | −0.155 | −0.021 | ||
| LAB4 | 0.068a | 0.026 | 0.055 | −0.001 | 0.137 | ||
| LAB4 | LAB1 | −0.007 | 0.032 | 1.000 | −0.093 | 0.079 | |
| LAB2 | −0.156 * | 0.025 | <0.001 | −0.224 | −0.088 | ||
| LAB3 | −0.068 | 0.026 | 0.055 | −0.137 | 0.001 | ||
| ORF | LAB1 | LAB2 | 0.894 * | 0.017 | <0.001 | 0.846 | 0.941 |
| LAB3 | −0.023 | 0.016 | 0.935 | −0.067 | 0.021 | ||
| LAB4 | −0.170 * | 0.015 | <0.001 | −0.211 | −0.129 | ||
| LAB2 | LAB1 | −0.894 * | 0.017 | <0.001 | −0.941 | −0.846 | |
| LAB3 | −0.917 * | 0.010 | <0.001 | −0.945 | −0.889 | ||
| LAB4 | −1.063 * | 0.015 | <0.001 | −1.103 | −1.024 | ||
| LAB3 | LAB1 | 0.023 | 0.016 | 0.935 | −0.021 | 0.067 | |
| LAB2 | 0.917 * | 0.010 | <0.001 | 0.889 | 0.945 | ||
| LAB4 | −0.146 * | 0.013 | <0.001 | −0.183 | −0.110 | ||
| LAB4 | LAB1 | 0.170 * | 0.015 | <0.001 | 0.129 | 0.211 | |
| LAB2 | 1.063 * | 0.015 | <0.001 | 1.024 | 1.103 | ||
| LAB3 | 0.146 * | 0.013 | <0.001 | 0.110 | 0.183 | ||
| Dependent Variable: Log10-Transform of the SARS-CoV-2 Concentration (g.c./μL) | ||||||
|---|---|---|---|---|---|---|
| Gene | Source | Sum of Squares | df | Mean Square | F | p-Value |
| N1 a | Intercept | 7.680 | 1 | 7.680 | 559.595 | <0.001 |
| Cq | 6.560 | 1 | 6.560 | 477.987 | <0.001 | |
| WWTP | 0.037 | 2 | 0.019 | 1.354 | 0.263 | |
| Analytical phase | 0.043 | 3 | 0.014 | 1.054 | 0.372 | |
| Pre-analytical phase | 0.116 | 4 | 0.029 | 2.108 | 0.086 | |
| WWTP*Analytical | 0.029 | 5 | 0.006 | 0.424 | 0.831 | |
| WWTP*Pre-analytical | 0.038 | 8 | 0.005 | 0.345 | 0.946 | |
| Error | 1.276 | 93 | 0.014 | |||
| N3 b | Intercept | 8.095 | 1 | 8.095 | 806.021 | <0.001 |
| Cq | 7.126 | 1 | 7.126 | 709.460 | <0.001 | |
| WWTP | 0.008 | 2 | 0.004 | 0.412 | 0.663 | |
| Analytical phase | 0.381 | 3 | 0.127 | 12.630 | <0.001 | |
| Pre-analytical phase | 0.075 | 4 | 0.019 | 1.859 | 0.124 | |
| WWTP*Analytical | 0.039 | 6 | 0.007 | 0.651 | 0.689 | |
| WWTP*Pre-analytical | 0.054 | 8 | 0.007 | 0.672 | 0.715 | |
| Error | 0.964 | 96 | 0.010 | |||
| ORFab c | Intercept | 3.710 | 1 | 3.710 | 8012.754 | <0.001 |
| Ct | 3.497 | 1 | 3.497 | 7551.102 | <0.001 | |
| WWTP | 0.025 | 2 | 0.012 | 26.608 | <0.001 | |
| Analytical phase | 10.649 | 3 | 3.550 | 7665.489 | <0.001 | |
| Pre-analytical phase | 0.001 | 4 | 0.000 | 0.626 | 0.646 | |
| WWTP*Analytical | 0.057 | 6 | 0.010 | 20.656 | <0.001 | |
| WWTP*Pre-analytical | 0.002 | 7 | 0.000 | 0.476 | 0.848 | |
| Error | 0.030 | 64 | 0.000 | |||
| Dependent Variable: Log10-Transform of the SARS-CoV-2 Concentration (g.c./μL) | ||||||
|---|---|---|---|---|---|---|
| Gene Fragment | Source | Sum of Squares | df | Mean Square | F | p-Value |
| N1 a | Cq | 19.609 | 1 | 19.609 | 16,362,402.024 | <0.001 |
| RT-PCR system | 0.003 | 1 | 0.003 | 2368.974 | <0.001 | |
| RT-PCR system*Cq | 2.092 × 10−7 | 1 | 2.092 × 10−7 | 0.175 | 0.678 | |
| Error | 6.591 × 10−5 | 55 | 1.198 × 10−6 | |||
| N3 b | Ct | 17.698 | 1 | 17.698 | 12,665,566.600 | <0.001 |
| RT-PCR system | 0.002 | 1 | 0.002 | 1645.421 | <0.001 | |
| RT-PCR system*Cq | 0.003 | 1 | 0.003 | 2340.033 | <0.001 | |
| Error | 7.406 × 10−5 | 53 | 1.397 × 10−6 | |||
| ORF c | Ct | 6.054 | 1 | 6.054 | 1651.323 | <0.001 |
| RT-PCR system | 0.002 | 1 | 0.002 | 0.450 | 0.507 | |
| RT-PCR system*Cq | 0.002 | 1 | 0.002 | 0.416 | 0.523 | |
| Error | 0.125 | 34 | 0.004 | |||
| Dependent Variable: Log-Tranformed (Cq) | ||||||
|---|---|---|---|---|---|---|
| Gene Fragment | Source | Sum of Squares | df | Mean Square | F | p-Value |
| N1 a | log_dilution | 0.072 | 1 | 0.072 | 23.577 | <0.001 |
| Lab | 0.002 | 3 | 0.001 | 0.256 | 0.855 | |
| Lab*log_dilution | 0.000 | 3 | 6.721 × 10−5 | 0.022 | 0.995 | |
| Error | 0.033 | 11 | 0.003 | |||
| N3 b | log_dilution | 0.073 | 1 | 0.073 | 23.793 | <0.001 |
| Lab | 0.002 | 3 | 0.001 | 0.231 | 0.873 | |
| Lab*log_dilution | 0.001 | 3 | 0.000 | 0.056 | 0.982 | |
| Error | 0.034 | 11 | 0.003 | |||
| ORF c | log_dilution | 0.150 | 1 | 0.150 | 66.223 | <0.001 |
| Lab | 0.013 | 3 | 0.004 | 1.945 | 0.137 | |
| Lab*log_dilution | 0.001 | 3 | 0.000 | 0.110 | 0.954 | |
| Error | 0.095 | 42 | 0.002 | |||
| Gene | Paired Differences | ||||||||
|---|---|---|---|---|---|---|---|---|---|
| Mean | Std. Dev | Std. Error | 95% Confidence Interval of the Difference | t | df | p-Value | |||
| Lower | Upper | ||||||||
| N1 | T0–T1 | 30,106.08 | 38,406.66 | 7839.73 | 13,888.37 | 46,323.79 | 3.840 | 23 | 0.001 |
| N3 | T0–T1 | 13,108.94 | 29,665.32 | 6055.41 | 582.37 | 25,635.50 | 2.165 | 23 | 0.041 |
| ORF | T0–T1 | 10,090.75 | 22,711.99 | 4636.07 | 500.32 | 19,681.19 | 2.177 | 23 | 0.040 |
| N1 | N | 24 | |
| Percentiles | 25 | 3.5 | |
| 50 | 13.7 | ||
| 75 | 6,512,257.1 | ||
| N3 | N | 24 | |
| Percentiles | 25 | 1.4 | |
| 50 | 4.6 | ||
| 75 | 1,746,123.1 | ||
| ORF | N | 24 | |
| Percentiles | 25 | 1.0 | |
| 50 | 1.0 | ||
| 75 | 12.6 |
Disclaimer/Publisher’s Note: The statements, opinions and data contained in all publications are solely those of the individual author(s) and contributor(s) and not of MDPI and/or the editor(s). MDPI and/or the editor(s) disclaim responsibility for any injury to people or property resulting from any ideas, methods, instructions or products referred to in the content. |
© 2025 by the authors. Licensee MDPI, Basel, Switzerland. This article is an open access article distributed under the terms and conditions of the Creative Commons Attribution (CC BY) license (https://creativecommons.org/licenses/by/4.0/).
Share and Cite
Azzellino, A.; Pellegrinelli, L.; Pedrini, R.; Turolla, A.; Bertasi, B.; Binda, S.; Castiglioni, S.; Cocuzza, C.E.; Ferrari, F.; Franzetti, A.; et al. Evaluating Interlaboratory Variability in Wastewater-Based COVID-19 Surveillance. Microorganisms 2025, 13, 526. https://doi.org/10.3390/microorganisms13030526
Azzellino A, Pellegrinelli L, Pedrini R, Turolla A, Bertasi B, Binda S, Castiglioni S, Cocuzza CE, Ferrari F, Franzetti A, et al. Evaluating Interlaboratory Variability in Wastewater-Based COVID-19 Surveillance. Microorganisms. 2025; 13(3):526. https://doi.org/10.3390/microorganisms13030526
Chicago/Turabian StyleAzzellino, Arianna, Laura Pellegrinelli, Ramon Pedrini, Andrea Turolla, Barbara Bertasi, Sandro Binda, Sara Castiglioni, Clementina E. Cocuzza, Fabio Ferrari, Andrea Franzetti, and et al. 2025. "Evaluating Interlaboratory Variability in Wastewater-Based COVID-19 Surveillance" Microorganisms 13, no. 3: 526. https://doi.org/10.3390/microorganisms13030526
APA StyleAzzellino, A., Pellegrinelli, L., Pedrini, R., Turolla, A., Bertasi, B., Binda, S., Castiglioni, S., Cocuzza, C. E., Ferrari, F., Franzetti, A., Guiso, M. G., Losio, M. N., Martinelli, M., Martines, A., Musumeci, R., Oliva, D., Sandri, L., Primache, V., Righi, F., ... Malpei, F. (2025). Evaluating Interlaboratory Variability in Wastewater-Based COVID-19 Surveillance. Microorganisms, 13(3), 526. https://doi.org/10.3390/microorganisms13030526

