Abstract
Coral reef health is tightly connected to the coral holobiont, which is the association between the coral animal and a diverse microbiome functioning as a unit. The coral holobiont depends on key services such as nitrogen and sulfur cycling mediated by the associated bacteria. However, these microbial services may be impaired in response to environmental changes, such as thermal stress. A perturbed microbiome may lead to coral bleaching and disease outbreaks, which have caused an unprecedented loss in coral cover worldwide, particularly correlated to a warming ocean. The response mechanisms of the coral holobiont under high temperatures are not completely understood, but the associated microbial community is a potential source of acquired heat-tolerance. Here we investigate the effects of increased temperature on the taxonomic and functional profiles of coral surface mucous layer (SML) microbiomes in relationship to coral–algal physiology. We used shotgun metagenomics in an experimental setting to understand the dynamics of microbial taxa and genes in the SML microbiome of the coral Pseudodiploria strigosa under heat treatment. The metagenomes of corals exposed to heat showed high similarity at the level of bacterial genera and functional genes related to nitrogen and sulfur metabolism and stress response. The coral SML microbiome responded to heat with an increase in the relative abundance of taxa with probiotic potential, and functional genes for nitrogen and sulfur acquisition. Coral–algal physiology significantly explained the variation in the microbiome at taxonomic and functional levels. These consistent and specific microbial taxa and gene functions that significantly increased in proportional abundance in corals exposed to heat are potentially beneficial to coral health and thermal resistance.
1. Introduction
Microbial symbioses are the engine of coral reef ecosystems. Corals associate with endosymbiotic dinoflagellates of the family Symbiodiniaceae and a diverse microbiome (e.g., bacteria, archaea, viruses), are functioning as a unit and forming a holobiont [1]. The coral holobiont depends on key services such as nitrogen and sulfur cycling mediated by the associated microbiome [2,3,4,5]. The coral surface mucous layer (SML) sustains a diverse and abundant community of these microbial partners [6,7,8,9,10,11]. The coral microbiome benefits from the high nitrogen content and organic matter in the SML [5,12] and provides protection against coral pathogens via the production of antimicrobials [13,14]. However, coral-associated microbial communities are sensitive to environmental changes, especially to increased temperature, which disrupt the beneficial services provided to the holobiont [15,16,17,18].
Coral reefs are at great risk of collapse as coral bleaching (i.e., loss of algal symbionts) and disease outbreaks have become more frequent in the last two decades, particularly correlated to rising seawater temperature, leading to major losses in coral cover worldwide [19,20,21,22,23]. These losses are pronounced in the shallow water reefs of the Caribbean, where an overall decline in coral cover of up to 59% has occurred since 1984 [24]. Corals live at their upper thermal limits, and therefore thermal thresholds may not be able to adjust to projected rises in seawater temperature in times of rapid environmental change [25,26,27,28].
The mechanisms of resistance to environmental change in the coral holobiont are not completely understood, but the associated microbial community is a potential source of acquired heat-tolerance [29,30,31,32,33]. Beneficial bacteria isolated from coral tissue and surrounding water containing genes involved in nitrogen (e.g., nitrogenase nifH, nitrification nirK) and sulfur cycling (e.g., DMSP degradation dmdA) ameliorated the effects of increased temperatures (from 26 °C to 30 °C) and opportunistic pathogens on Pocillopora [31] and Mussismilia hispida [32] corals in aquarium manipulations. Microbiome transplants extracted from heat-tolerant corals mitigated the bleaching response of Pocillopora and Porites corals exposed to a short-term heat treatment (from an ambient 29 °C to a 34 °C heat for 9 h) [33]. There is also a potential evolutionary role of the microbiome as a source of genes (e.g., stress response genes) that can be used in thermal resilience and disease protection via mechanisms such as horizontal gene transfer [34]. The use of metagenomics associated with physiological data in experimental settings is a recommended approach to further explore the role of the coral microbiome in heat tolerance and stress response [35]. Therefore, changes in the proportions of coral–microbial taxa and gene functions in response to heat could reveal key players in the microbiome that may be providing beneficial services to support a thermally challenged holobiont.
Here, we investigate the effects of increased temperature on the taxonomic and functional profiles of coral SML microbiomes. We addressed these aims by exposing corals to a pre-bleaching heat treatment and analyzing coral–algal physiological parameters and microbial taxa (genus level) and gene functions (nitrogen metabolism, sulfur metabolism, and stress response) associated with the coral SML using shotgun metagenomics. As the coral SML is in intimate contact with the external environment, acting as a conduit between the water column and host physiology, we hypothesize that changes in coral host physiological parameters are correlated to the dynamics of the SML microbiome.
2. Materials and Methods
2.1. Field Sampling
We selected Pseudodiploria strigosa (Dana, 1846) as the coral host species because it is widely distributed in the Caribbean and, more specifically, across the Bermuda platform in the sampling area of this study. In Bermuda, a high-latitude subtropical coral reef system, corals are exposed to a wide annual range in temperature fluctuations and reef zone-specific thermal regimes ranging from more fluctuating profiles in the inner lagoon patch reefs (temperature differences of ~13–15 °C between winter averages of 16–17 °C and summer averages of 30–31 °C) and milder conditions in the outer reefs (temperature differences of ~10 °C between seasonal averages of 19 and 29 °C) [11,36,37,38,39]. The sampling period occurred between 18 May and 22 May 2017, late spring in the northern hemisphere, when environmental conditions between the two reef zones, especially temperature, are similar (~23–25 °C) [10]. The mucus from P. strigosa was collected from two colonies from the inner and outer reef zones (n = four colonies in total) to describe the natural spatial variability in the coral microbiome [10,11]. After the mucus sampling, each coral colony was collected using a hammer and chisel to be used in the experiments to assess heat resistance. The colonies (n = four in total, two from each reef zone) were carefully placed in a cooler with seawater and transported to the Bermuda Institute of Ocean Sciences. The collections were performed via SCUBA diving at 4–6 m depth.
2.2. Colony Preparation and Acclimation
After collection, the coral colonies were placed in an outdoor tank with an opaque roof supplied with unfiltered flowing seawater for a week to acclimatize. Each colony was fragmented into four pieces using a tile saw and then tagged, and all non-coral tissue areas were cleaned and covered in reef-safe epoxy. The colony fragments, here referred to as “coral nubbins”, were left to acclimatize in the indoor system for two weeks (ambient temperature 25 °C ± 1 °C). Using coral nubbins in laboratorial experiments is a way to expose the same colony and microbiome to different treatments, allowing for the assessment of genetic variability among treatments, as well as reducing the number of coral colonies collected. The nubbins were monitored and only healthy ones, assessed by the recovery of the coring process (outward growth as opposed to tissue regression) and visual endosymbiont function, as measured by color and fluorescence readings (Fv/Fm > 0.6) with a pulse amplitude-modulated fluorometer (DIVING-PAM Walz Inc., Effeltrich, Germany), were used in the experiments.
2.3. Temperature Treatments
After the acclimation period, eight coral nubbins (A.1, A.2, B.1, B.2, C.1, C.2, D.1, D.2) from four distinct colonies of coral P. strigosa (colonies A and B, from the inner reef zone and colonies C and D from the outer reef zone) were exposed to a high temperature treatment (29 °C ± 1 °C, nubbins A.1, B.1, C.1, D.1), while the remaining were maintained at ambient conditions (control, 25 °C ± 1 °C; nubbins A.2, B.2, C.2, D.2). The temperature was gradually increased from ambient conditions to hot conditions over two days then maintained within the target range. An increase of 4–5 °C from ambient temperatures is commonly used in coral microbiome heat treatments (31–33). We assumed that the temperature increase from spring (25 °C) to summer averages (29 °C) in a week would suffice to trigger a heat response, but not bleaching, in the coral holobiont. The indoor temperature-controlled tank system consisted of two fiberglass trays fed from a common header tank of filtered seawater. Each tray table was temperature-controlled by aquarium chillers and heaters. Light intensity was controlled by aquarium lights (Storm and Storm X LED Controllers, CoraLux LLC) in a 12:12 h photoperiod. The temperature was measured every 5 min throughout the experiment by pairs of HOBO data loggers (Onset Corp., Marleston, Australia) and placed in each tray table, and the light intensity was measured by a LiCor PAR sensor, Lincoln, Nebraska, USA.
2.4. Physiological Measurements
Productivity and respiration rates were measured using dissolved oxygen probes in customized transparent glass chambers (approx. 4 L) to detect oxygen evolution (production), and oxygen uptake (respiration rate). Each chamber had an oxygen sensor spot (PyroScience, Aachen, Germany) glued to the inner chamber wall and a small in-line aquarium pump for water mixing during incubation. Oxygen concentration was monitored using a fiber-optic sensor (PyroScience). Colonies were set individually inside the chamber that was bathed in and filled with the filtered, temperature-controlled seawater from the experimental tray table. Dissolved oxygen concentration was measured in the chamber during a 1 h dark period to calculate dark respiration rates (R) and, subsequently, during a light exposure period of 1 h to calculate net productivity (NP). The difference between the dissolved oxygen concentration at incubation, i.e., the start, and at the end of the experiment was normalized over time and colony surface area [40]. Surface area was determined by the aluminum foil technique, carefully following the contours of the coral surface [41], and image analysis (Image J (https://imagej.net/), US National Institutes of Health, Washington, DC, USA) of planar digital images. The dark respiration and photosynthesis rates were analyzed according to their linearity over time for quality control. Gross productivity (GP) was calculated (gross productivity = net productivity + dark respiration). Photosynthesis to respiration (GP:R ratios) were calculated as a ratio of gross productivity (GP) to respiration (R) to estimate whether production by the Symbiodiniaceae cells exceeds the maintenance requirements of both the symbiont and the coral host [42]. The maximum photochemical efficiency of photosystem II (i.e., effective quantum yield) was quantified via pulse–amplitude modulate (PAM) fluorometry [43,44]. After an overnight dark acclimation period, fluorescence (Fm and F0) was measured by saturation pulses at three random spots on each colony to calculate the colony’s average Fv/Fm. The maximum photochemical efficiency of the PSII (Fv/Fm, Fv = Fm − F0) was calculated based on fluorescence measurements using a pulse amplitude modulated fluorometer (DIVING-PAM Walz Inc., Effeltrich, Gremany).
2.5. Experiment Design
Productivity and respiration rates and photochemical efficiency were measured the day before the heat treatment started (post-acclimation or pre-treatment) and on day 7, which is the final day of the experiment (post-treatment). The coral mucus for metagenomic analysis was collected at the end of each incubation using a two-way 50 mL syringe that is filled with 0.02 µm of filtered seawater [10,11]. The filtered seawater is flowed across the coral surface, dislodging the mucus and associated microbes, which are then sucked up via the recirculating tube, and the resulting sample is pushed through a 0.22 µm sterivex for DNA extraction. Metagenomes were sequenced from coral nubbins (n = 8), representing four different coral colonies (n = 2 colonies per reef zone) that had their mucus sampled before and after the experimental treatments (n = 16 metagenomes total). These metagenomes were compared with the ones from the same colonies collected in situ [10].
2.6. Metagenomic Analysis
Microbial DNA from the coral mucus collected on the 0.22 µm Sterivex was extracted using a modified Macherey–Nagel (Dűren, Germany) protocol using a NucleoSpin column for purification. DNA was stored at −20 °C until quantification with Qubit (Thermo Fisher Scientific, Waltham, MA, USA) [45]. The Swift kit 2S plus (Swift Biosciences, Ann Arbor, Michigan, USA) was used for library preparation since it provides good results from small amounts of input DNA, which is characteristic of microbial samples collected from the surface of the host [46,47]. All samples were sequenced by the Dinsdale lab on Illumina MiSeq ( San Diego, CA, USA) at San Diego State University. The sequenced DNA was analyzed for quality control using PrinSeq V1 [48] before annotation to remove and trim low-quality sequences (i.e., exact duplicates, sequences that contained N’s, and sequences that had a Q-score < 20). The metagenomes were annotated through MG-RAST [49], applying the minimum cutoff parameters of 1 × 10−5 e-value, 70% identity, and an alignment length of 30 nucleotides, using the RefSeq database (Pruitt et al., 2007) [50] for taxonomic annotations and the SEED database (Overbeek et al., 2014) [51] for functional annotations.
We used metagenomics to describe the abundance of bacteria functions that are potentially experiencing strong selective pressure in response to environmental conditions [52,53,54]. Although metagenomics does not measure which functional genes are being expressed at the point the sample was taken (i.e., metatranscriptomics), it shows which microbial functional genes are over- or underrepresented across microbiomes [55,56].
For the taxonomic composition, the metagenomes were filtered in MG-RAST to include only bacteria at the level of genera. For the functional composition, the metagenomes were filtered in MG-RAST for stress response, nitrogen metabolism, and sulfur metabolism. We selected these three broad functional gene groups (SEED subsystem level 1) because they have the greatest relevance for corals under heat stress [2,3,17,57,58,59,60,61,62]. The number of sequence hits for each microbial taxon or function is represented as the relative abundance by calculating the proportion of sequence hits for that parameter over the total number of sequences annotated for that metagenome. Metagenomes were compared using proportional abundance, which is preferred to rarefaction [63,64,65]. Bacteria accounted for approximately 99% of the annotation; therefore, we are only analyzing bacterial taxa and gene functions in this study.
2.7. Statistical Analysis
Statistical analyses were conducted using PRIMER-e version 7 plus PERMANOVA (PRIMER-E Ltd., Plymouth, UK) and Statistical Analyses of Metagenomic profiles (STAMP) [66] software V2.1.3. Using PRIMER-e for multivariate analysis, the relative abundances in the metagenomes annotated at the level of bacterial genus, nitrogen metabolism, sulfur metabolism, and stress response were square root-transformed and resemblance matrices were generated based on Bray–Curtis similarities. The coral physiology data (GP:R ratios and Fv/Fm) was log (x + 1)-transformed, normalized, and resemblance matrices were generated based on Euclidean distances. Significant differences in the metagenomic and physiological data across the temperature treatments (pre-treatment, ambient, and heat) were identified by the permutational multivariate analysis of variance (PERMANOVA). Distance-based linear models (DistLM) using the Akaike information criterion corrected for small sample sizes (AICc) were applied to test the coral physiology data as predictor variables to the relative abundances of bacterial taxa, nitrogen metabolism genes, sulfur metabolism genes, and stress response genes. These relationships were visualized as boxplots, principal coordinate analyses (PCO), and distance-based redundancy analyses (dbRDA). We also used PRIMER-e to calculate Pielou’s evenness index (J′) and Shannon’s diversity index (H′) of microbial genera. Multiple comparisons of either taxa or functions across the temperature treatments were conducted in STAMP using ANOVA/Tukey–Kramer, Welch’s pairwise comparisons, and Benjamini–Hochberg FDR corrections.
3. Results
3.1. Coral–Algal Physiology
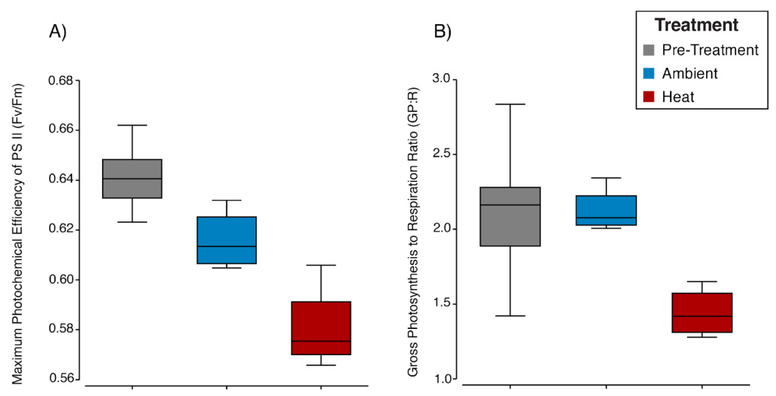
Corals showed a significant reduction in physiological performance (GP:R ratios and Fv/Fm as multivariate response variables) when exposed to the heat treatment (pairwise PERMANOVA, pre-treatment × heat: t = 4.61, P(perm) = 0.004; ambient × heat: t = 4.48, P(perm) = 0.03). Pre-treatment (n = 8, T = 25 °C, day 1 of the experiment) mean values of Fv/Fm (0.64 ± 0.016) and GP:R (2.1 ± 0.37) remained relatively stable in the ambient treatment (n = 4, T = 25 °C, day 7; Fv/Fm = 0.62 ± 0.012, GP:R = 2.1 ± 0.15) (Figure 1), while declining under heat (n = 4, T = 29 °C, day 7; Fv/Fm = 0.58 ± 0.017, GP:R = 1.44 ± 0.17) (Figure 1). There were no visual signs of the paling or bleaching of coral nubbins during the experiment, thus enabling an investigation into how the microbiome changed before bleaching became apparent.
Figure 1.
Maximum photochemical efficiency of photosystem II (Fv/Fm) (A) and gross productivity to dark respiration ratios (GP:R) (B) of coral colonies (total n = four per treatment) after exposure to heat and ambient temperatures for one week.
3.2. Coral SML Microbiome
The metagenomes associated with the coral SML of P. strigosa were sequenced at high coverage, ranging from 356,426 to 1,296,198 sequence counts (Table S1). Of a total of 595 taxa, 34 were unclassified at the genus level and maintained in the analysis according to the highest possible taxonomic annotation. Microbial richness (S, number of genera) ranged from 578 to 587 genera and did not significantly change between microbiome samples collected in situ and across the experimental treatments (Table S2). Diversity (H′) was highest in situ due to a decrease in evenness (J′) under experimental conditions. Coral microbiomes at the level of bacterial genera retained a 75% average Bray–Curtis similarity under experimental conditions when compared to in situ conditions (before colony collection) (Figure S1).
The principal coordinate analyses of bacterial genera and genes related to nitrogen metabolism, sulfur metabolism, and stress response (Figure 2), showed that dispersion (i.e., dissimilarity, β-diversity) was lower among metagenomes from heat-exposed corals than from pre-treatment and control groups. Average similarities (Bray–Curtis) within treatments at the level of bacterial genera (pre-treatment: 88.69%; ambient: 90.09%; heat: 95.07%), nitrogen metabolism genes (pre-treatment: 93.67%; ambient: 93.75%; heat: 97.22%), sulfur metabolism genes (pre-treatment: 92.99%; ambient: 93.91%; heat: 96.75%), and stress response genes (pre-treatment: 96.41%; ambient: 97.28%; heat: 98.41%) increased after heat exposure. Pairwise PERMANOVAs concluded that the relative abundances of microbial genera (t = 2.6, P(perm) < 0.03), nitrogen metabolism genes (t = 2.52, P(perm) = 0.03), and sulfur metabolism genes (t = 3.14, P(perm) = 0.03) were significantly different between pre-treatment and heat-exposed microbiomes. Metagenomes from corals at ambient conditions did not significantly change when compared to pre-experiment or heat treatments. The relative abundances of microbial stress response genes showed no significant change across treatments, suggesting a pre-bleaching condition.
Figure 2.
Principal coordinate analyses of the relative abundances of bacterial genera (A), nitrogen metabolism (B), sulfur metabolism (C), and stress response (D) genes in the coral SML of P. strigosa exposed to different temperature treatments for one week. Four coral colonies (A, B, C, D) were collected from their natural environment and replicated into two fragments (coral nubbins). After an acclimation period of two weeks, the coral nubbins were distributed between heat (A.1, B.1, C.1, D.1) and ambient (A.2, B.2, C.2, D.2) treatments. The analysis was based on a Bray–Curtis similarity matrix.
Heat exposure led to a significant increase in the relative abundances of Ruegeria (t = −2.38, corrected p-value < 0.02), Roseobacter (t = −2.15, corrected p-value < 0.001), Oceanibulbus (t = −1.58, corrected p-value < 0.03), Chromohalobacter (t = −0.84, corrected p-value < 0.02), and Halomonas (t = −0.87, corrected p-value < 0.02), according to Welch’s pairwise comparisons among the top 20 most abundant taxa in the coral microbiome (Figure 3). In contrast, there was a significant decrease in the relative abundances of Shewanella (t = 0.82, corrected p-value < 0.001), Synechococcus (t = 0.88, corrected p-value < 0.04), and Vibrio (t = 0.284, p-value < 0.02) in the microbiome of corals exposed to heat treatment (Figure 3).
Figure 3.
Top 20 most abundant bacterial genera (mean ± SE) across different temperature treatments. Asterisks indicate a significant difference between pre-treatment and heat treatment metagenomes according to Welch’s pairwise comparisons and Benjamini–Hochberg FDR corrections.
Stress response genes were investigated across the treatments; however, there was no significant difference in the proportional abundance of these genes (Figure 4A). Within nitrogen metabolism, the relative abundances of microbial gene pathways related to amidase with urea and nitrile hydratase (t = −0.363, corrected p-value < 0.0001), allantoin utilization (t = −1.079, corrected p-value = 0.042), and nitrogen fixation (t = −0.130, corrected p-value = 0.049) increased in the coral microbiome under heat exposure, while nitrosative stress (t = 1.628, corrected p-value = 0.033), and ammonia assimilation (t = 4.51, corrected p-value = 0.037) decreased (Figure 4B).
Figure 4.
Relative abundances of bacterial genes related to stress response (A), nitrogen metabolism (B), and sulfur metabolism (C). Asterisks indicate a significant difference between pre-treatment and heat-treatment metagenomes according to Welch’s pairwise comparisons and Benjamini–Hochberg FDR corrections.
Sulfur metabolism microbial genes also changed in relative abundance after heat exposure of corals. There was an increase in glutathione utilization (t = −1.70, corrected p-value < 0.0001), sulfur oxidation (t = −8.08, corrected p-value < 0.0001), and taurine utilization (t = −1.44, corrected p-value < 0.0001) and a decrease in inorganic sulfur assimilation (t = 8.04, corrected p-value < 0.0001) (Figure 4C).
3.3. Coral Microbiome in Relationship to Coral–Algal Physiology
Distance-based redundancy analysis (dbRDA) showed the influence of the coral physiological performance on the coral microbiome structure at genus level, where heat-exposed metagenomes cluster away from the control treatments that are more positively correlated to GP:R ratios and Fv/Fm (Figure 5). Marginal tests for distance-based linear models (DistLM) indicated that Fv/Fm significantly explained the observed compositional variation of bacterial genera (Pseudo-F = 4.2, p = 0.007, AICc = 71.2, R2 = 0.25) and of genes related to nitrogen (Pseudo-F = 4.5, p = 0.004, AICc = 51.9, R2 = 0.26) and sulfur metabolisms (Pseudo-F = 6.3, p = 0.01, AICc = 56.7, R2 = 0.32). The relative abundances of bacterial stress response genes could not be significantly explained by coral’s physiological variables (AICc = 32.0, R2 = 0.10).
Figure 5.
Distance-based redundancy analysis (dbRDA) of the relative abundances of bacterial genera in the coral metagenomes (square root, Bray–Curtis similarity) in the relationship to the coral’s physiological performance (GP:R ratios and Fv/Fm, log (x + 1), Euclidian distances) across temperature treatments). Four coral colonies (A, B, C, D) were collected from their natural environment and replicated into two fragments (coral nubbins). After an acclimation period of two weeks, the coral nubbins were distributed between heat (A.1, B.1, C.1, D.1) and ambient (A.2, B.2, C.2, D.2) treatments.
4. Discussion
4.1. The Coral SML Microbiome Response to Heat Exposure
Heat exposure affected coral–algal physiological performance and caused significant compositional and functional changes in the microbiome of P. strigosa. Dissimilarity (i.e., β-diversity) decreased in heat-exposed microbiomes at the level of bacterial genera, stress response, nitrogen metabolism, and sulfur metabolism genes. According to the Anna Karenina principle, taxonomic β-diversity is expected to increase among coral microbiomes under stress and in a dysbiotic state [67,68]. However, dissimilarity among coral microbiomes exposed to hyper salinity [69], bleaching conditions [70], and higher temperatures (this study, Figure 2A) did not increase, indicating that some coral–microbial systems show a specific and consistent response to environmental changes. A similar pattern was observed among the coral colonies used in this study in their natural environment (i.e., prior to collection and experimental manipulation). Dissimilarity was lower among coral SML microbiomes that are naturally more exposed to temperature changes in the inner reefs and higher among those under a milder temperature regime in the outer reefs of Bermuda [11].
As expected, the coral SML microbiome structure changed after coral colonies were removed from their native environment and fragmented. Experimental settings and manipulation inevitably affect the coral microbiome [71,72]; therefore, the results of this experiment may not entirely reflect the microbiome dynamics that occur in the natural environment. However, the experimental metagenomes retained a significant proportion of the taxonomic profile seen in the samples collected in situ (75% average similarity).
The relative abundance of specific bacterial genera (Figure 3) and nitrogen and sulfur gene functions (Figure 4) changed consistently across coral replicates that were exposed to the heat treatment, while in the ambient treatment these changes were more variable and not significantly different from pre-treatment coral microbiomes. Diversity (H’) remained high both in ambient and heat conditions. Here we present a case for a coral SML microbiome response to increased temperatures that is potentially beneficial to the holobiont at taxonomic and functional levels.
4.2. Bacterial Taxa
Ruegeria and Roseobacter significantly increased in relative abundance in response to heat stress (Figure 2). High abundances of Rhodobacterales such as Ruegeria and Roseobacter in juvenile and adult corals suggest they play a key role in coral fitness [71,73], nitrogen acquisition and remineralization [74,75], and sulfur cycling [2]. Ruegeria are among the three genera that are most frequently associated with coral species [76]. Some strains of Ruegeria have probiotic potential as they inhibit the growth of the pathogen Vibrio coralliilyticus [77] and support corals in withstanding heat stress [31,32,78]. In fact, Vibrio spp. decreased in relative abundance in the coral microbiome under heat treatment, indicating that P. strigosa was able to keep these potential pathogens in check.
Another beneficial service that the microbiome could be providing to the coral holobiont is the supplementation of energy and nutrients via heterotrophic feeding. The algal symbionts Symbiodiniaceae provide 75–100% of the daily metabolic requirements of the coral holobiont via photosynthesis [79,80]. However, high temperatures disrupt the coral–algal physiology, leading to insufficient energy intake to support the coral holobiont [80,81]. In addition to photosynthates provided by Symbiodiniaceae, corals can obtain fixed carbon from the ingestion of bacterioplankton trapped in the coral SML [74,79,80]. Corals preferentially feed on cyanobacteria Synechococcus, especially when recovering from heat stress and bleaching [74,82,83]. We confirm lower relative abundances of Synechococcus in the coral SML after heat exposure, which is an indication that the corals were hypothetically consuming these microbes to acquire nutrients and compensate for lower productivity of the algal symbiont.
4.3. Nitrogen Metabolism
The SML microbiomes of P. strigosa showed that bacterial genes related to nitrogen and sulfur metabolism responded to heat exposure. Ammonia assimilation genes decreased in relative abundance after heat exposure, indicating that less ammonia is being used in the biosynthesis of bacterial compounds by the microbiome (Figure 4B). Coral-associated bacteria compete with Symbiodiniaceae for host-generated ammonia, which is the preferred form of nitrogen of the symbiotic algae [5,35]. Lower ammonia assimilation by the coral SML microbiome under heat exposure is beneficial to the holobiont because more ammonia may be available to the algal symbiont to support photosynthesis and prevent coral bleaching.
Nitrosative stress genes allow bacteria to detoxify nitric oxide (NO) and reactive nitrogen species (RNS) involved in the denitrification process [84]. Nitrosative stress genes decreased in relative abundance under elevated heat, while denitrification and NO synthase genes did not change in proportion (Figure 4B). Therefore, the lower relative abundance of nitrosative stress genes could be a result of stability in the levels of NO and RNS in the coral SML microbiome.
Nitrogen incorporation genes, via allantoin utilization and nitrogen fixation, significantly increased in the coral SML with elevated heat (Figure 4B). Allantoin is a urea-related compound produced by plants that is a nitrogen source for bacteria and the method of transporting fixed nitrogen to plants when nitrogen is limited [85,86]. Bacteria provide about 11% of the nitrogen required by Symbiodiniaceae via nitrogen fixation in the coral holobiont [35,57]. The significant increase in the proportions of allantoin utilization and nitrogen fixation genes is a key beneficial service offered by the coral SML microbiome to supply nitrogen to the holobiont to withstand increasing temperatures.
4.4. Sulfur Metabolism
The relative abundances of bacterial genes related to glutathione utilization, sulfur oxidation, and taurine oxidation increased with heat exposure in the coral SML microbiome. Glutathione is a key sulfur-based compound used by bacteria for protection against oxidative stress and by the coral holobiont as a source of organic sulfur [3,35,87]. Taurine oxidation is coupled to sulfur oxidation to increase sulfur availability in the coral holobiont. The degradation of the amino acid taurine produces thiosulfate, which is converted to sulfate via sulfur oxidation [10,88]. Sulfur oxidation genes increase in relative abundance under stress and bleaching [3,58], and here, we show that these genes increase in pre-bleaching conditions. Taurine oxidation by Ruegeria was coupled to high primary productivity by planktonic dinoflagellates and plays a key role in the organic sulfur turnover in pelagic environments [89]. Here, Ruegeria could be playing a similar role by increasing sulfur availability via taurine oxidation to the dinoflagellates Symbiodiniaceae in the coral holobiont under heat exposure.
4.5. Stress Response
The proportions of bacterial stress response genes in the coral SML metagenomes were not affected by the heat treatment. Therefore, the coral holobiont was not engaging with the increased temperature with a generalized stress response, as the coral–algal physiology showed relatively mild decreases in GP:R ratios and Fv/Fm. Metagenomics describes the relative abundance of genes in the microbiome and identifies functional genes that are potentially being selected by the microbiome in each condition [10,55,56] but it does not measure which functional genes are being expressed at the point at which the sample was taken. Gene abundance derived from metagenomes and corresponding transcript abundance derived from metatranscriptomes are highly correlated in coral [90] and human gut [91] microbiomes, while some specific gene pathways can be over- or under expressed. Therefore, bacterial stress response gene expression could be increased under heat exposure, but the metagenomes showed that they were not selected by the coral SML microbiome in this experiment. Future studies coupling metagenomics with metatranscriptomics could elucidate the changes in stress response genes in the coral microbiome under increased temperatures.
4.6. Connecting Coral Physiology to Microbiome Structure
The photochemical efficiency of the coral endosymbionts (Fv/Fm) can be directly modulated by coral microbiome manipulation [31,32] and is a key physiological factor explaining the coral microbiome structure under heat exposure [92]. Here, Fv/Fm significantly explained the variation in coral–microbial taxonomic and functional profiles (nitrogen and sulfur metabolisms). In contrast, GP:R did not show a statistically significant effect on the P. strigosa SML microbiome. GP:R captures the physiological response of both the coral animal and the symbionts, as dark respiration rates (R) are measured for the whole colony. Fv/Fm captures the photosynthetic response of the coral algal endosymbiont. We show a the microbial-level relationship between the Symbioniaceae and the SML bacteria, which is more sensitive to external fluctuations than the coral animal physiology [92]. Lower Fv/Fm could explain the changes in bacterial metabolism that were supporting the Symbioniaceae challenged by higher temperatures via nitrogen and sulfur acquisition (Figure 6).
Figure 6.
The coral SML microbiome of P. strigosa responded to heat exposure with lower β-diversity and a taxonomic and functional composition that was potentially beneficial to the holobiont. Plots are for the visualization of observed patterns and do not represent specific observed data.
5. Conclusions
As thermal stress and disease outbreaks are some of the leading causes of an unprecedented loss in coral cover worldwide [19,21,22,93], a deeper understanding of the coral microbiome and its response to temperatures stress enhances our ability to infer how corals react to stress and potentially develop strategies to mitigate damage. We used shotgun metagenomics in an experimental setting to understand the dynamics of microbial taxa and genes in heat-exposed corals.
The metagenomes of corals exposed to heat showed greater similarity when compared to ambient treatments. We hypothesize that this low β-diversity is the result of a selective pressure towards a beneficial microbiome that supports the holobiont in withstanding temperature changes (Figure 6). The microbiome of pre-bleached corals maintained holobiont homeostasis by controlling opportunistic pathogens and providing nitrogen and sulfur to the algal symbiont and energy to the coral host.
The caveats of this study include the tank effect on the coral microbiome and a reduced number of replicates. The hypotheses suggested by our results need to be further explored by expanding the scope to examine other niches of the coral, the way in which the microbiome changes across a time series analysis, and how the microbiome changes as it approaches and surpasses the bleaching threshold.
Promising conservation efforts have been focusing on promoting and maintaining coral microbiome health [94,95,96], including the development of coral probiotics [30,31,32]. Here we support these efforts by showing that heat exposure is leading to potentially beneficial coral microbiomes.
Supplementary Materials
The following supporting information can be downloaded at: https://www.mdpi.com/article/10.3390/microorganisms12051005/s1. Figure S1. Principal coordinate analyses of the metagenomes associated with the coral SML microbiome of P. strigosa exposed to different temperature treatments. The microbiomes of four coral colonies (A, B, C, D) were sampled in their natural environment before the coral colonies were removed and replicated into two fragments (coral nubbins) each (A.1, A.2, B.1, B.2, C.1, C.2, D.1, D.2). After an acclimation period of two weeks, the microbiomes of the coral nubbins were sampled before (pre-treatment) and after being exposed to ambient and heat treatments for one week. The analysis was based on a Bray–Curtis similarity matrix of the relative abundances of the bacterial genera. Table S1. Metagenomic sequences coverage of each sample on the MG-RAST server. Table S2. Richness (S), Pielou’s evenness index (J’), and Shannon’s diversity index (H’) of microbial genera from the coral SML metagenomes across different treatments.
Author Contributions
Conceptualization, L.F.O.L., S.J.d.P. and E.A.D.; methodology, L.F.O.L., M.M.M., A.T.A., R.A.E. and E.A.D.; software, R.A.E.; formal analysis, L.F.O.L.; data curation, R.A.E. and L.F.O.L.; writing—original draft preparation, L.F.O.L., S.J.d.P. and E.A.D.; writing—review and editing, L.F.O.L., S.J.d.P. and E.A.D.; visualization, L.F.O.L.; supervision, S.J.d.P. and E.A.D.; project administration, E.A.D.; funding acquisition, E.A.D. All authors have read and agreed to the published version of the manuscript.
Funding
We thank the San Diego State University (SDSU)/University of California, Davis (UCD), Joint Doctoral Program in Ecology at SDSU/UCD, SDSU Graduate Travel Awards, and the Bermuda Institute of Science (BIOS) Grant-in-Aid Sydney L. Wright and Wolfgang Sterrer Fellowships for supporting Ph.D. candidates L.F.O.L. and A.T.A. with travel costs and research expenses at BIOS. L.F.O.L. was also supported with a graduate student scholarship awarded by S. Lo & B. Billings Global Shark Research and Conservation fund.
Data Availability Statement
The metagenomic data from this study are publicly available in the SRA database as BioProject PRJNA595374 (https://www.ncbi.nlm.nih.gov/bioproject/595374) and in MG-RAST as public study SDSU_BIOS_2017 (mgp81589; https://www.mg-rast.org/linkin.cgi?project=mgp81589) and (mgp94111; https://www.mg-rast.org/linkin.cgi?project=mgp94111).
Acknowledgments
We thank Yingqi Zhang for support in the coral physiology experiment as an undergraduate intern at BIOS.
Conflicts of Interest
The authors declare no conflicts of interest.
References
- Rohwer, F.; Seguritan, V.; Azam, F.; Knowlton, N. Diversity and distribution of coral-associated bacteria. Mar. Ecol. Prog. Ser. 2002, 243, 1–10. [Google Scholar] [CrossRef]
- Raina, J.-B.; Tapiolas, D.M.; Forêt, S.; Lutz, A.; Abrego, D.; Ceh, J.; Seneca, F.O.; Clode, P.L.; Bourne, D.G.; Willis, B.L.; et al. DMSP biosynthesis by an animal and its role in coral thermal stress response. Nature 2013, 502, 677–680. [Google Scholar] [CrossRef] [PubMed]
- Wegley, L.; Edwards, R.; Rodriguez-Brito, B.; Liu, H.; Rohwer, F. Metagenomic analysis of the microbial community associated with the coral Porites astreoides. Environ. Microbiol. 2007, 9, 2707–2719. [Google Scholar] [CrossRef] [PubMed]
- Siboni, N.; Ben-Dov, E.; Sivan, A.; Kushmaro, A. Global distribution and diversity of coral-associated Archaea and their possible role in the coral holobiont nitrogen cycle. Environ. Microbiol. 2008, 10, 2979–2990. [Google Scholar] [CrossRef] [PubMed]
- Rädecker, N.; Pogoreutz, C.; Voolstra, C.R.; Wiedenmann, J.; Wild, C. Nitrogen cycling in corals: The key to understanding holobiont functioning? Trends Microbiol. 2015, 23, 490–497. [Google Scholar] [CrossRef] [PubMed]
- Sharon, G.; Rosenberg, E. Bacterial growth on coral mucus. Curr. Microbiol. 2008, 56, 481–488. [Google Scholar] [CrossRef] [PubMed]
- Koren, O.; Rosenberg, E. Bacteria associated with mucus and tissues of the coral Oculina patagonica in summer and winter. Appl. Environ. Microbiol. 2006, 72, 5254–5259. [Google Scholar] [CrossRef]
- Ainsworth, T.D.; Krause, L.; Bridge, T.; Torda, G.; Raina, J.-B.; Zakrzewski, M.; Gates, R.D.; Padilla-Gamiño, J.L.; Spalding, H.L.; Smith, C.; et al. The coral core microbiome identifies rare bacterial taxa as ubiquitous endosymbionts. ISME J. 2015, 9, 2261–2274. [Google Scholar] [CrossRef]
- Garren, M.; Azam, F. Corals shed bacteria as a potential mechanism of resilience to organic matter enrichment. ISME J. 2012, 6, 1159–1165. [Google Scholar] [CrossRef]
- Lima, L.F.O.; Alker, A.T.; Papudeshi, B.; Morris, M.M.; Edwards, R.A.; de Putron, S.J.; Dinsdale, E.A. Coral and seawater metagenomes reveal key microbial functions to coral health and ecosystem functioning shaped at reef scale. Microb. Ecol. 2022, 86, 392–407. [Google Scholar] [CrossRef]
- Lima, L.F.O.; Weissman, M.; Reed, M.; Papudeshi, B.; Alker, A.T.; Morris, M.M.; Edwards, R.A.; de Putron, S.J.; Vaidya, N.K.; Dinsdale, E.A. Modeling of the coral microbiome: The influence of temperature and microbial network. mBio 2020, 11. [Google Scholar] [CrossRef] [PubMed]
- Wild, C.; Woyt, H.; Huettel, M. Influence of coral mucus on nutrient fluxes in carbonate sands. Mar. Ecol. Prog. Ser. 2005, 287, 87–98. [Google Scholar] [CrossRef]
- Krediet, C.J.; Ritchie, K.B.; Paul, V.J.; Teplitski, M. Coral-associated micro-organisms and their roles in promoting coral health and thwarting diseases. Proc. R. Soc. B Biol. Sci. 2013, 280, 20122328. [Google Scholar] [CrossRef]
- Ritchie, K. Regulation of microbial populations by coral surface mucus and mucus-associated bacteria. Mar. Ecol. Prog. Ser. 2006, 322, 1–14. [Google Scholar] [CrossRef]
- Vega Thurber, R.L.; Burkepile, D.E.; Fuchs, C.; Shantz, A.A.; Mcminds, R.; Zaneveld, J.R. Chronic nutrient enrichment increases prevalence and severity of coral disease and bleaching. Glob. Chang. Biol. 2014, 20, 544–554. [Google Scholar] [CrossRef] [PubMed]
- Zaneveld, J.R.; Burkepile, D.E.; Shantz, A.A.; Pritchard, C.E.; McMinds, R.; Payet, J.P.; Welsh, R.; Correa, A.M.S.; Lemoine, N.P.; Rosales, S.; et al. Overfishing and nutrient pollution interact with temperature to disrupt coral reefs down to microbial scales. Nat. Commun. 2016, 7, 1–12. [Google Scholar] [CrossRef]
- Thurber, R.V.; Willner-Hall, D.; Rodriguez-Mueller, B.; Desnues, C.; Edwards, R.A.; Angly, F.; Dinsdale, E.; Kelly, L.; Rohwer, F. Metagenomic analysis of stressed coral holobionts. Environ. Microbiol. 2009, 11, 2148–2163. [Google Scholar] [CrossRef] [PubMed]
- Raina, J.-B.; Tapiolas, D.; Motti, C.A.; Foret, S.; Seemann, T.; Tebben, J.; Willis, B.L.; Bourne, D.G. Isolation of an antimicrobial compound produced by bacteria associated with reef-building corals. PeerJ 2016, 4, e2275. [Google Scholar] [CrossRef]
- Maynard, J.; van Hooidonk, R.; Eakin, C.M.; Puotinen, M.; Garren, M.; Williams, G.; Heron, S.F.; Lamb, J.; Weil, E.; Willis, B.; et al. Projections of climate conditions that increase coral disease susceptibility and pathogen abundance and virulence. Nat. Clim. Chang. 2015, 5, 688–694. [Google Scholar] [CrossRef]
- Muller, E.M.; Bartels, E.; Baums, I.B. Author response: Bleaching causes loss of disease resistance within the threatened coral species Acropora cervicornis. eLife 2018, 7, e35066. [Google Scholar] [CrossRef]
- Heron, S.F.; Maynard, J.A.; Van Hooidonk, R.; Eakin, C.M. Warming trends and bleaching stress of the world’s coral reefs 1985–2012. Sci. Rep. 2016, 6, 38402. [Google Scholar] [CrossRef] [PubMed]
- Precht, W.F.; Gintert, B.E.; Robbart, M.L.; Fura, R.; van Woesik, R. Unprecedented disease-related coral mortality in Southeastern Florida. Sci. Rep. 2016, 6, 31374. [Google Scholar] [CrossRef] [PubMed]
- Willis, B.L.; Page, C.A.; Dinsdale, E.A. Coral Disease on the Great Barrier Reef. In Coral Health and Disease; Rosenberg, E., Loya, Y., Eds.; Springer: Berlin/Heidelberg, Germany, 2004; pp. 69–104. [Google Scholar]
- Jackson, J.B.C.; Donovan, M.K.; Cramer, K.L.; Lam, V.V. Status and Trends of Caribbean Coral Reefs: 1970–2012; Global Coral Reef Monitoring Network, IUCN: Gland, Switzerland, 2014. [Google Scholar]
- Palumbi, S.R.; Barshis, D.J.; Traylor-Knowles, N.; Bay, R.A. Mechanisms of reef coral resistance to future climate change. Science 2014, 344, 895–898. [Google Scholar] [CrossRef] [PubMed]
- Lough, J.M.; Anderson, K.D.; Hughes, T.P. Increasing thermal stress for tropical coral reefs: 1871–2017. Sci. Rep. 2018, 8, 6079. [Google Scholar] [CrossRef] [PubMed]
- Fitt, W.K.; Brown, B.E.; Warner, M.E.; Dunne, R.P. Coral bleaching: Interpretation of thermal tolerance limits and thermal thresholds in tropical corals. Coral Reefs 2001, 20, 51–65. [Google Scholar] [CrossRef]
- Berkelmans, R.; Willis, B.L. Seasonal and local spatial patterns in the upper thermal limits of corals on the inshore Central Great Barrier Reef. Coral Reefs 1999, 18, 219–228. [Google Scholar] [CrossRef]
- Ziegler, M.; Seneca, F.O.; Yum, L.K.; Palumbi, S.R.; Voolstra, C.R. Bacterial community dynamics are linked to patterns of coral heat tolerance. Nat. Commun. 2017, 8, 14213. [Google Scholar] [CrossRef] [PubMed]
- Peixoto, R.S.; Rosado, P.M.; Leite, D.C.d.A.; Rosado, A.S.; Bourne, D.G. Beneficial microorganisms for corals (BMC): Proposed mechanisms for coral health and resilience. Front. Microbiol. 2017, 8, 341. [Google Scholar] [CrossRef] [PubMed]
- Rosado, P.M.; Leite, D.C.A.; Duarte, G.A.S.; Chaloub, R.M.; Jospin, G.; Nunes da Rocha, U.; PSaraiva, J.; Dini-Andreote, F.; Eisen, J.A.; Bourne, D.G. Marine probiotics: Increasing coral resistance to bleaching through microbiome manipulation. ISME J. 2019, 13, 921–936. [Google Scholar] [CrossRef]
- Santoro, E.P.; Borges, R.M.; Espinoza, J.L.; Freire, M.; Messias, C.S.M.A.; Villela, H.D.M.; Pereira, L.M.; Vilela, C.L.S.; Rosado, J.G.; Cardoso, P.M.; et al. Coral microbiome manipulation elicits metabolic and genetic restructuring to mitigate heat stress and evade mortality. Sci. Adv. 2021, 7, eabg3088. [Google Scholar] [CrossRef]
- Doering, T.; Wall, M.; Putchim, L.; Rattanawongwan, T.; Schroeder, R.; Hentschel, U.; Roik, A. Towards enhancing coral heat tolerance: A “microbiome transplantation” treatment using inoculations of homogenized coral tissues. Microbiome 2021, 9, 102. [Google Scholar] [CrossRef] [PubMed]
- Webster, N.S.; Reusch, T.B.H. Microbial contributions to the persistence of coral reefs. ISME J. 2017, 11, 2167–2174. [Google Scholar] [CrossRef] [PubMed]
- Bourne, D.G.; Morrow, K.M.; Webster, N.S. Insights into the coral microbiome: Underpinning the health and resilience of reef ecosystems. Annu. Rev. Microbiol. 2016, 70, 317–340. [Google Scholar] [CrossRef] [PubMed]
- de Putron, S.J.; Smith, S.R. Planula release and reproductive seasonality of the scleractinian coral Porites astreoides in Bermuda, a high-latitude reef. Bull. Mar. Sci. 2011, 87, 75–90. [Google Scholar] [CrossRef][Green Version]
- Wong, K.H.; Goodbody-Gringley, G.; de Putron, S.J.; Becker, D.M.; Chequer, A.; Putnam, H.M. Brooded coral offspring physiology depends on the combined effects of parental press and pulse thermal history. Glob. Chang. Biol. 2021, 27, 3179–3195. [Google Scholar] [CrossRef] [PubMed]
- Courtney, T.A.; Kindeberg, T.; Andersson, A.J. Coral calcification responses to the North Atlantic Oscillation and coral bleaching in Bermuda. PLoS ONE 2020, 15, e0241854. [Google Scholar] [CrossRef] [PubMed]
- Courtney, T.A.; Lebrato, M.; Bates, N.R.; Collins, A.; de Putron, S.J.; Garley, R.; Johnson, R.; Molinero, J.-C.; Noyes, T.J.; Sabine, C.L.; et al. Environmental controls on modern scleractinian coral and reef-scale calcification. Sci. Adv. 2017, 3, e1701356. [Google Scholar] [CrossRef]
- Schneider, K.; Erez, J. The effect of carbonate chemistry on calcification and photosynthesis in the hermatypic coral Acropora eurystoma. Limnol. Oceanogr. 2006, 51, 1284–1293. [Google Scholar] [CrossRef]
- Marsh, J.A., Jr. Primary productivity of reef-building calcareous red algae. Ecology 1970, 51, 255–263. [Google Scholar] [CrossRef]
- Coles, S.L.; Jokiel, P.L. Effects of temperature on photosynthesis and respiration in hermatypic corals. Mar. Biol. 1977, 43, 209–216. [Google Scholar] [CrossRef]
- Jones, R.J.; Hoegh-Guldberg, O.; Larkum, A.W.D.; Schreiber, U. Temperature-induced bleaching of corals begins with impairment of the CO2 fixation mechanism in zooxanthellae. Plant Cell Environ. 1998, 21, 1219–1230. [Google Scholar] [CrossRef]
- Warner, M.E.; Fitt, W.K.; Schmidt, G.W. The effects of elevated temperature on the photosynthetic efficiency of zooxanthellae in hospite from four different species of reef coral: A novel approach. Plant Cell Environ. 1996, 19, 291–299. [Google Scholar] [CrossRef]
- Dinsdale, E.A.; Pantos, O.; Smriga, S.; Edwards, R.A.; Angly, F.; Wegley, L.; Hatay, M.; Hall, D.; Brown, E.; Haynes, M.; et al. Microbial ecology of four coral atolls in the Northern Line Islands. PLoS ONE 2008, 3, e1584. [Google Scholar] [CrossRef]
- Doane, M.P.; Haggerty, J.M.; Kacev, D.; Papudeshi, B.; Dinsdale, E.A. The skin microbiome of the common thresher shark (Alopias vulpinus) has low taxonomic and gene function β-diversity. Environ. Microbiol. Rep. 2017, 9, 357–373. [Google Scholar] [CrossRef]
- Cavalcanti, G.S.; Shukla, P.; Morris, M.; Ribeiro, B.; Foley, M.; Doane, M.P.; Thompson, C.C.; Edwards, M.S.; Dinsdale, E.A.; Thompson, F.L. Rhodoliths holobionts in a changing ocean: Host-microbes interactions mediate coralline algae resilience under ocean acidification. BMC Genom. 2018, 19, 701. [Google Scholar] [CrossRef]
- Schmieder, R.; Edwards, R. Quality control and preprocessing of metagenomic datasets. Bioinformatics 2011, 27, 863–864. [Google Scholar] [CrossRef]
- Meyer, F.; Bagchi, S.; Chaterji, S.; Gerlach, W.; Grama, A.; Harrison, T.; Paczian, T.; Trimble, W.L.; Wilke, A. MG-RAST version 4—Lessons learned from a decade of low-budget ultra-high-throughput metagenome analysis. Briefings Bioinform. 2019, 20, 1151–1159. [Google Scholar] [CrossRef]
- Pruitt, K.D.; Tatusova, T.; Maglott, D.R. NCBI reference sequences (RefSeq): A curated non-redundant sequence database of genomes, transcripts and proteins. Nucleic Acids Res. 2007, 35, D61–D65. [Google Scholar] [CrossRef] [PubMed]
- Overbeek, R.; Olson, R.; Pusch, G.D.; Olsen, G.J.; Davis, J.J.; Disz, T.; Edwards, R.A.; Gerdes, S.; Parrello, B.; Shukla, M.; et al. The SEED and the Rapid Annotation of microbial genomes using Subsystems Technology (RAST). Nucleic Acids Res. 2014, 42, D206–D214. [Google Scholar] [CrossRef]
- Gilbert, J.A.; Dupont, C.L. Microbial metagenomics: Beyond the genome. Annu. Rev. Mar. Sci. 2010, 3, 347–371. [Google Scholar] [CrossRef]
- Mason, O.U.; Hazen, T.C.; Borglin, S.; Chain, P.S.G.; Dubinsky, E.A.; Fortney, J.L.; Han, J.; Holman, H.-Y.N.; Hultman, J.; Lamendella, R. Metagenome, metatranscriptome and single-cell sequencing reveal microbial response to Deepwater Horizon oil spill. ISME J. 2012, 6, 1715–1727. [Google Scholar] [CrossRef] [PubMed]
- Gilbert, J.A.; Hill, R.; Doblin, M.A.; Ralph, P.J. Microbial consortia increase thermal tolerance of corals. Mar. Biol. 2012, 159, 1763–1771. [Google Scholar] [CrossRef]
- Dinsdale, E.A.; Edwards, R.A.; Hall, D.; Angly, F.; Breitbart, M.; Brulc, J.M.; Furlan, M.; Desnues, C.; Haynes, M.; Li, L.; et al. Functional metagenomic profiling of nine biomes. Nature 2008, 452, 629–632. [Google Scholar] [CrossRef]
- Coelho, L.P.; Alves, R.; del Río, R.; Myers, P.N.; Cantalapiedra, C.P.; Giner-Lamia, J.; Schmidt, T.S.; Mende, D.R.; Orakov, A.; Letunic, I.; et al. Towards the biogeography of prokaryotic genes. Nature 2022, 601, 252–256. [Google Scholar] [CrossRef]
- Cardini, U.; van Hoytema, N.; Bednarz, V.N.; Rix, L.; Foster, R.A.; Al-Rshaidat, M.M.D.; Wild, C. Microbial dinitrogen fixation in coral holobionts exposed to thermal stress and bleaching. Environ. Microbiol. 2016, 18, 2620–2633. [Google Scholar] [CrossRef] [PubMed]
- Littman, R.; Willis, B.L.; Bourne, D.G. Metagenomic analysis of the coral holobiont during a natural bleaching event on the Great Barrier Reef. Environ. Microbiol. Rep. 2011, 3, 651–660. [Google Scholar] [CrossRef] [PubMed]
- Wang, L.; Shantz, A.A.; Payet, J.P.; Sharpton, T.J.; Foster, A.; Burkepile, D.E.; Thurber, R.V. Corals and their microbiomes are differentially affected by exposure to elevated nutrients and a natural thermal anomaly. Front. Mar. Sci. 2018, 5, 101. [Google Scholar] [CrossRef]
- Nguyen-Kim, H.; Bouvier, T.; Bouvier, C.; Bui, V.N.; Le-Lan, H.; Bettarel, Y. Viral and bacterial epibionts in thermally-stressed corals. J. Mar. Sci. Eng. 2015, 3, 1272–1286. [Google Scholar] [CrossRef]
- Sun, H.; Zheng, H.; Jiang, Y.; Liang, J.; Liao, B.; Wang, R.; Li, A.; Xiao, B. Elevated temperature alters bacterial community composition and metabolism in seawaters of coral reef ecosystem: An evidence of laboratory experiment with Acropora digitifera bleaching. Ecol. Indic. 2022, 139, 108886. [Google Scholar] [CrossRef]
- Pogoreutz, C.; Rädecker, N.; Cárdenas, A.; Gärdes, A.; Voolstra, C.R.; Wild, C. Sugar enrichment provides evidence for a role of nitrogen fixation in coral bleaching. Glob. Chang. Biol. 2017, 23, 3838–3848. [Google Scholar] [CrossRef]
- Quince, C.; Walker, A.W.; Simpson, J.T.; Loman, N.J.; Segata, N. Shotgun metagenomics, from sampling to analysis. Nat. Biotechnol. 2017, 35, 1211. [Google Scholar] [CrossRef] [PubMed]
- Luz Calle, M. Statistical analysis of metagenomics data. Genom. Inform. 2019, 17, e6. [Google Scholar] [CrossRef]
- McMurdie, P.J.; Holmes, S. Waste Not, Want Not: Why Rarefying Microbiome Data Is Inadmissible. PLoS Comput. Biol. 2014, 10, e1003531. [Google Scholar] [CrossRef] [PubMed]
- Parks, D.H.; Tyson, G.W.; Hugenholtz, P.; Beiko, R.G. STAMP: Statistical analysis of taxonomic and functional profiles. Bioinformatics 2014, 30, 3123–3124. [Google Scholar] [CrossRef]
- Zaneveld, J.R.; McMinds, R.; Thurber, R.V. Stress and stability: Applying the Anna Karenina principle to animal microbiomes. Nat. Microbiol. 2017, 2, 17121. [Google Scholar] [CrossRef] [PubMed]
- Ahmed, H.I.; Herrera, M.; Liew, Y.J.; Aranda, M. Long-term temperature stress in the coral model Aiptasia supports the “Anna Karenina principle” for bacterial microbiomes. Front. Microbiol. 2019, 10, 975. [Google Scholar] [CrossRef]
- Röthig, T.; Ochsenkühn, M.A.; Roik, A.; van der Merwe, R.; Voolstra, C.R. Long-term salinity tolerance is accompanied by major restructuring of the coral bacterial microbiome. Mol. Ecol. 2016, 25, 1308–1323. [Google Scholar] [CrossRef]
- Hadaidi, G.; Röthig, T.; Yum, L.K.; Ziegler, M.; Arif, C.; Roder, C.; Burt, J.; Voolstra, C.R. Stable mucus-associated bacterial communities in bleached and healthy corals of Porites lobata from the Arabian Seas. Sci. Rep. 2017, 7, srep45362. [Google Scholar] [CrossRef] [PubMed]
- Zhou, G.; Cai, L.; Yuan, T.; Tian, R.; Tong, H.; Zhang, W.; Jiang, L.; Guo, M.; Liu, S.; Qian, P.; et al. Microbiome dynamics in early life stages of the scleractinian coral Acropora gemmifera in response to elevated pCO2. Environ. Microbiol. 2017, 19, 3342–3352. [Google Scholar] [CrossRef]
- Pratte, Z.A.; Kellogg, C.A. Comparison of preservation and extraction methods on five taxonomically disparate coral microbiomes. Front. Mar. Sci. 2021, 8, 684161. [Google Scholar] [CrossRef]
- Ceh, J.; van Keulen, M.; Bourne, D.G. Intergenerational transfer of specific bacteria in corals and possible implications for offspring fitness. Microb. Ecol. 2013, 65, 227–231. [Google Scholar] [CrossRef]
- McNally, S.P.; Parsons, R.J.; Santoro, A.E.; Apprill, A. Multifaceted impacts of the stony coral Porites astreoides on picoplankton abundance and community composition. Limnol. Oceanogr. 2017, 62, 217–234. [Google Scholar] [CrossRef]
- Ceh, J.; Kilburn, M.R.; Cliff, J.B.; Raina, J.; van Keulen, M.; Bourne, D.G. Nutrient cycling in early coral life stages: Pocillopora damicornis larvae provide their algal symbiont (Symbiodinium) with nitrogen acquired from bacterial associates. Ecol. Evol. 2013, 3, 2393–2400. [Google Scholar] [CrossRef]
- Huggett, M.J.; Apprill, A. Coral microbiome database: Integration of sequences reveals high diversity and relatedness of coral-associated microbes. Environ. Microbiol. Rep. 2019, 11, 372–385. [Google Scholar] [CrossRef]
- Miura, N.; Motone, K.; Takagi, T.; Aburaya, S.; Watanabe, S.; Aoki, W.; Ueda, M. Ruegeria sp. strains isolated from the reef-building coral Galaxea fascicularis inhibit growth of the temperature-dependent pathogen Vibrio coralliilyticus. Mar. Biotechnol. 2019, 21, 1–8. [Google Scholar] [CrossRef]
- Kitamura, R.; Miura, N.; Ito, M.; Takagi, T.; Yamashiro, H.; Nishikawa, Y.; Nishimura, Y.; Kobayashi, K.; Kataoka, M. Specific detection of coral-associated Ruegeria, a potential probiotic bacterium, in corals and subtropical seawater. Mar. Biotechnol. 2021, 23, 576–589. [Google Scholar] [CrossRef]
- Grottoli, A.G.; Rodrigues, L.J.; Palardy, J.E. Heterotrophic plasticity and resilience in bleached corals. Nature 2006, 440, 1186–1189. [Google Scholar] [CrossRef] [PubMed]
- Tremblay, P.; Grover, R.; Maguer, J.F.; Legendre, L.; Ferrier-Pagès, C. Autotrophic carbon budget in coral tissue: A new 13C-based model of photosynthate translocation. J. Exp. Biol. 2012, 215, 1384–1393. [Google Scholar] [CrossRef] [PubMed]
- Grottoli, A.G.; Warner, M.E.; Levas, S.J.; Aschaffenburg, M.D.; Schoepf, V.; McGinley, M.; Baumann, J.; Matsui, Y. The cumulative impact of annual coral bleaching can turn some coral species winners into losers. Glob. Chang. Biol. 2014, 20, 3823–3833. [Google Scholar] [CrossRef] [PubMed]
- Hoadley, K.D.; Hamilton, M.; Poirier, C.L.; Choi, C.J.; Yung, C.-M.; Worden, A.Z. Selective uptake of pelagic microbial community members by caribbean reef corals. Appl. Environ. Microbiol. 2021, 87, e03175-20. [Google Scholar] [CrossRef]
- Meunier, V.; Bonnet, S.; Pernice, M.; Benavides, M.; Lorrain, A.; Grosso, O.; Lambert, C.; Houlbrèque, F. Bleaching forces coral’s heterotrophy on diazotrophs and Synechococcus. ISME J. 2019, 13, 2882–2886. [Google Scholar] [CrossRef] [PubMed]
- Poole, R. Nitric oxide and nitrosative stress tolerance in bacteria. Biochem. Soc. Trans. 2005, 33, 176–180. [Google Scholar] [CrossRef] [PubMed]
- Minami, T.; Anda, M.; Mitsui, H.; Sugawara, M.; Kaneko, T.; Sato, S.; Ikeda, S.; Okubo, T.; Tsurumaru, H.; Minamisawa, K. Metagenomic analysis revealed methylamine and ureide utilization of soybean-associated Methylobacterium. Microbes Environ. 2016, 31, 268–278. [Google Scholar] [CrossRef] [PubMed][Green Version]
- Cobo-Díaz, J.F.; Fernández-González, A.J.; Villadas, P.J.; Robles, A.B.; Toro, N.; Fernandez-Lopez, M. Metagenomic assessment of the potential microbial nitrogen pathways in the rhizosphere of a Mediterranean forest after a wildfire. Microb. Ecol. 2015, 69, 895–904. [Google Scholar] [CrossRef] [PubMed]
- Masip, L.; Veeravalli, K.; Georgiou, G. The many faces of glutathione in bacteria. Antioxidants Redox Signal. 2006, 8, 753–762. [Google Scholar] [CrossRef] [PubMed]
- Robbins, S.J.; Singleton, C.M.; Chan, C.X.; Messer, L.F.; Geers, A.U.; Ying, H.; Baker, A.; Bell, S.C.; Morrow, K.M.; Ragan, M.A.; et al. A genomic view of the reef-building coral Porites lutea and its microbial symbionts. Nat. Microbiol. 2019, 4, 2090–2100. [Google Scholar] [CrossRef]
- Landa, M.; Burns, A.S.; Durham, B.P.; Esson, K.; Nowinski, B.; Sharma, S.; Vorobev, A.; Nielsen, T.; Kiene, R.P.; Moran, M.A. Sulfur metabolites that facilitate oceanic phytoplankton–bacteria carbon flux. ISME J. 2019, 13, 2536–2550. [Google Scholar] [CrossRef] [PubMed]
- Sun, F.; Yang, H.; Wang, G.; Shi, Q. Combination analysis of metatranscriptome and metagenome reveal the composition and functional response of coral symbionts to bleaching during an El Niño Event. Front. Microbiol. 2020, 11, 448. [Google Scholar] [CrossRef]
- Franzosa, E.A.; Morgan, X.C.; Segata, N.; Waldron, L.; Reyes, J.; Earl, A.M.; Giannoukos, G.; Boylan, M.R.; Ciulla, D.; Gevers, D.; et al. Relating the metatranscriptome and metagenome of the human gut. Proc. Natl. Acad. Sci. USA 2014, 111, E2329–E2338. [Google Scholar] [CrossRef]
- Grottoli, A.G.; Martins, P.D.; Wilkins, M.J.; Johnston, M.D.; Warner, M.E.; Cai, W.-J.; Melman, T.F.; Hoadley, K.D.; Pettay, D.T.; Levas, S.; et al. Coral physiology and microbiome dynamics under combined warming and ocean acidification. PLoS ONE 2018, 13, e0191156. [Google Scholar] [CrossRef]
- Miller, J.; Muller, E.; Rogers, C.; Waara, R.; Atkinson, A.; Whelan, K.R.T.; Patterson, M.; Witcher, B. Coral disease following massive bleaching in 2005 causes 60% decline in coral cover on reefs in the US Virgin Islands. Coral Reefs 2009, 28, 925–937. [Google Scholar] [CrossRef]
- Damjanovic, K.; Blackall, L.L.; Webster, N.S.; van Oppen, M.J.H. The contribution of microbial biotechnology to mitigating coral reef degradation. Microb. Biotechnol. 2017, 10, 1236–1243. [Google Scholar] [CrossRef]
- van Oppen, M.J.H.; Blackall, L.L. Coral microbiome dynamics, functions and design in a changing world. Nat. Rev. Microbiol. 2019, 17, 557–567. [Google Scholar] [CrossRef] [PubMed]
- Epstein, H.E.; Smith, H.A.; Torda, G.; van Oppen, M.J. Microbiome engineering: Enhancing climate resilience in corals. Front. Ecol. Environ. 2019, 17, 100–108. [Google Scholar] [CrossRef]
Disclaimer/Publisher’s Note: The statements, opinions and data contained in all publications are solely those of the individual author(s) and contributor(s) and not of MDPI and/or the editor(s). MDPI and/or the editor(s) disclaim responsibility for any injury to people or property resulting from any ideas, methods, instructions or products referred to in the content. |
© 2024 by the authors. Licensee MDPI, Basel, Switzerland. This article is an open access article distributed under the terms and conditions of the Creative Commons Attribution (CC BY) license (https://creativecommons.org/licenses/by/4.0/).





