Prevalence of ESBL-Producing Escherichia coli on Neck Skin in Slaughtered Broilers Raised on Conventional, Antibiotic-Free, and Organic Farms
Abstract
1. Introduction
2. Materials and Methods
2.1. Study Design
- ▪
- To verify whether the resistance levels detected in caecal contents were also observed on carcasses (neck skin);
- ▪
- To assess potential differences between the two slaughterhouses for antibiotic-free (ATB-free) flocks;
- ▪
- To investigate whether slaughtering ATB-free flocks after conventional ones could increase the risk of resistance contamination and, based on a priori hypothesis, to determine whether Group C (ATB-free slaughtered after conventional flocks) would show a higher prevalence of resistant E. coli compared with Group D (ATB-free slaughtered before conventional flocks).
2.2. Sampling
2.3. Microbiological Analyses
2.3.1. Bacterial Enumeration
2.3.2. Antimicrobial Susceptibility Testing
2.4. Molecular Characterization
2.5. Statistical Analysis
3. Results
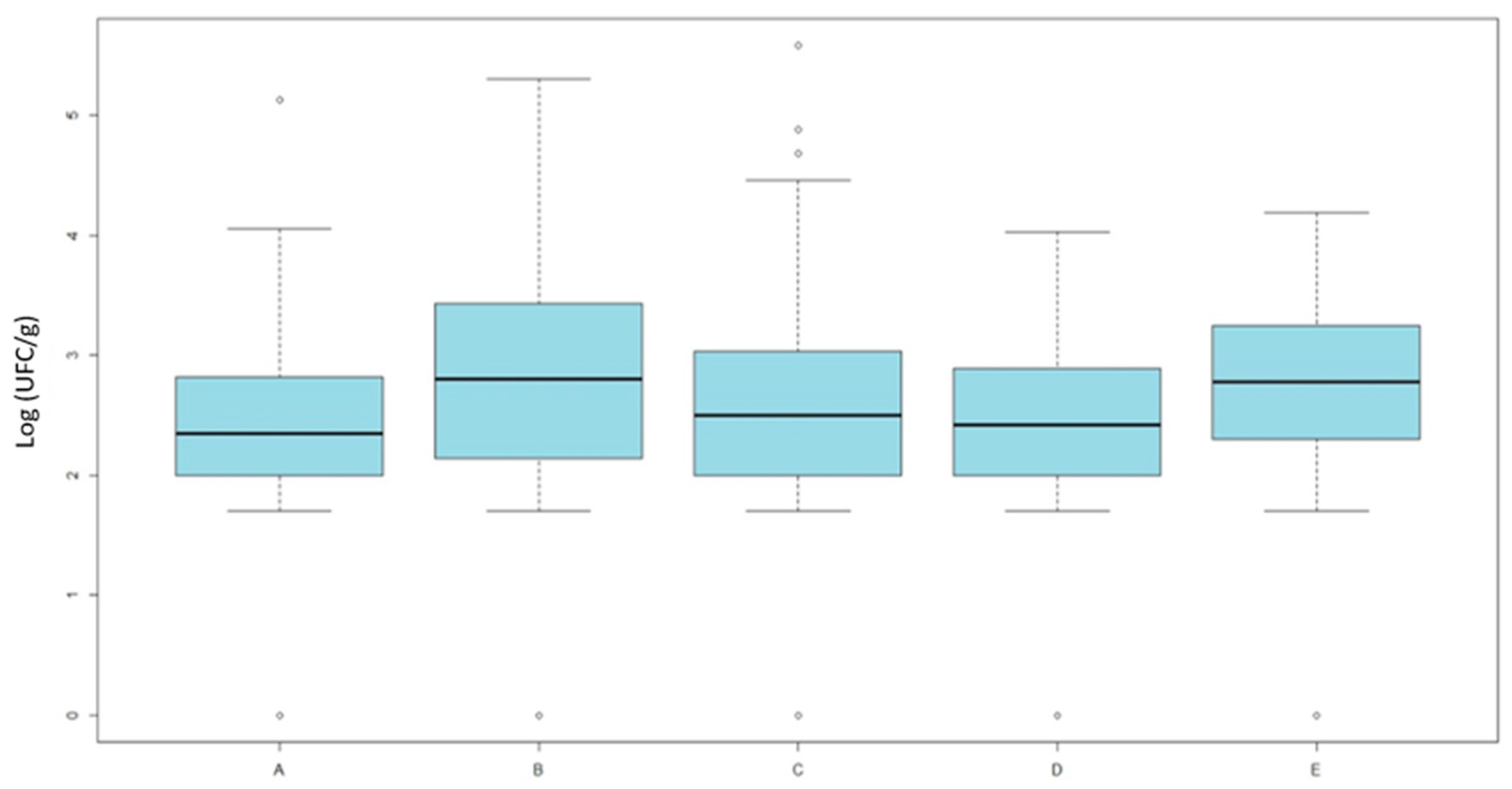
3.1. Enumeration of E. coli: Quantitative Analysis
3.2. Antimicrobial Susceptibility Profiles
3.3. Molecular Characterization
4. Discussion
5. Conclusions
Supplementary Materials
Author Contributions
Funding
Institutional Review Board Statement
Informed Consent Statement
Data Availability Statement
Conflicts of Interest
Abbreviations
| AMR | Antimicrobial Resistance |
| ATB-free | Antibiotic-free |
| CFU | Colony Forming Units |
| CI | Confidence Interval |
| CLSI | Clinical and Laboratory Standards Institute |
| COL | Colistin |
| df | Degrees of Freedom |
| DNA | Deoxyribonucleic Acid |
| E. coli | Escherichia coli |
| ECDC | European Centre for Disease Prevention and Control |
| ECOFF | Epidemiological Cut-Off Value |
| EFSA | European Food Safety Authority |
| EMA | European Medicines Agency |
| ETP | Ertapenem |
| EU | European Union |
| EUCAST | European Committee on Antimicrobial Susceptibility Testing |
| EUVSEC/EUVSEC2/EUVSEC3 | Sensititre EU Surveillance E. coli/Salmonella panels |
| ESBL | Extended-Spectrum β-Lactamase |
| FEP | Cefepime |
| FOT | Cefotaxime |
| F/Cl | Cefotaxime/Clavulanic acid |
| FOX | Cefoxitin |
| GEN | Gentamicin |
| IMI | Imipenem |
| MEM | Meropenem |
| MIC | Minimum Inhibitory Concentration |
| MALDI-TOF MS | Matrix-Assisted Laser Desorption Ionization–Time of Flight Mass Spectrometry |
| NAL | Nalidixic Acid |
| NWT | Non-Wild Type |
| OR | Odds Ratio |
| PCR | Polymerase Chain Reaction |
| R | R statistical software |
| SE | Standard Error |
| SMX | Sulfamethoxazole |
| TBE | Tris–Borate–EDTA buffer |
| TET | Tetracycline |
| TGC | Tigecycline |
| TMP | Trimethoprim |
| TRM | Temocillin |
| TAZ | Ceftazidime |
| T/Cl | Ceftazidime/Clavulanic acid |
| TSA | Tryptic Soy Agar |
| WHO | World Health Organization |
| WT | Wild Type |
| χ2 | Chi-squared statistic test |
Appendix A
| Antibiotic | A | B | C | D | E |
|---|---|---|---|---|---|
| Ampicillin | 37.1% | 41.7% | 43.0% | 68.8% | 73.8% |
| (26.8–48.9) | (30.1–54.3) | (33.7–52.8) | (54.7–80.1) | (63.2–82.1) | |
| Azithromycin | 0% | 0% | 2% | 0% | 7.5% |
| (0.0–5.2) | (0.0–6.0) | (0.6–7.0) | (0.0–7.4) | (3.5–15.4) | |
| Cefotaxime | 8.6% | 0% | 3% | 2.1% | 8.8% |
| (4.0–17.5) | (0.0–6.0) | (1.0–8.5) | (0.4–10.9) | (4.3–17.0) | |
| Ceftazidime | 7.1% | 0% | 2% | 0% | 10% |
| (3.1–15.7) | (0.0–6.0) | (0.6–7.0) | (0.0–7.4) | (5.2–18.5) | |
| Ciprofloxacin | 28.6% | 60% | 50% | 58.3% | 67.5% |
| (19.3–40.1) | (47.4–71.4) | (40.4–59.6) | (44.3–71.2) | (56.6–76.8) | |
| Chloramphenicol | 4.3% | 13.3% | 9% | 16.7% | 26.2% |
| (1.5–11.9) | (6.9–24.2) | (4.8–16.2) | (8.7–29.6) | (17.9–36.8) | |
| Meropenem | 0% | 0% | 0% | 0% | 0% |
| (0.0–5.2) | (0.0–6.0) | (0.0–3.7) | (0.0–7.4) | (0.0–4.6) | |
| Nalidixic acid | 28.6% | 50% | 46% | 56.2% | 62.5% |
| (19.3–40.1) | (37.7–62.3) | (36.6–55.7) | (42.3–69.3) | (51.5–72.3) | |
| Trimethoprim | 21.4% | 30% | 30% | 47.9% | 43.8% |
| (13.4–32.4) | (19.9–42.5) | (21.9–39.6) | (34.5–61.7) | (33.4–54.7) | |
| Tigecycline | 8.6% | 1.7% | 2% | 6.2% | 1.2% |
| (4.0–17.5) | (0.3–8.9) | (0.6–7.0) | (2.1–16.8) | (0.2–6.7) | |
| Tetracycline | 40% | 36.7% | 49% | 54.2% | 47.5% |
| (29.3–51.7) | (25.6–49.3) | (39.4–58.7) | (40.3–67.4) | (36.9–58.3) | |
| Colistin | 0% | 0% | 1% | 0% | 1.2% |
| (0.0–5.2) | (0.0–6.0) | (0.2–5.4) | (0.0–7.4) | (0.2–6.7) | |
| Gentamicin | 0% | 3.3% | 3% | 2.1% | 6.2% |
| (0.0–5.2) | (0.9–11.4) | (1.0–8.5) | (0.4–10.9) | (2.7–13.8) | |
| Sulfamethoxazole | 42.9% | 45% | 54% | 66.7% | 72.5% |
| (31.9–54.5) | (33.1–57.5) | (44.3–63.4) | (52.5–78.3) | (61.9–81.1) |
References
- WHO. EMRO—Global Action Plan on Antimicrobial Resistance. Available online: https://www.emro.who.int/health-topics/drug-resistance/global-action-plan.html (accessed on 22 September 2025).
- Measures to Tackle Antimicrobial Resistance Through the Prudent Use of Antimicrobials in Animals; Overview Report; DG Health and Food Safety Health and Food Safety: Brussel, Belgium, 2019. [CrossRef]
- L Murray, C.J.; Shunji Ikuta, K.; Sharara, F.; Swetschinski, L.; Aguilar, G.R.; Gray, A.; Han, C.; Bisignano, C.; Rao, P.; Wool, E.; et al. Global burden of bacterial antimicrobial resistance in 2019: A systematic analysis. Lancet 2022, 399, 629–655. [Google Scholar] [CrossRef] [PubMed]
- Price, R. O’Neill report on antimicrobial resistance: Funding for antimicrobial specialists should be improved. Eur. J. Hosp. Pharm. 2016, 23, 245. [Google Scholar] [CrossRef]
- Ho, C.S.; Wong, C.T.H.; Aung, T.T.; Lakshminarayanan, R.; Mehta, J.S.; Rauz, S.; McNally, A.; Kintses, B.; Peacock, S.J.; de la Fuente-Nunez, C.; et al. Antimicrobial resistance: A concise update. Lancet Microbe 2025, 6, 100947. [Google Scholar] [CrossRef]
- ECDC. Antimicrobial Resistance in the EU/EEA (EARS-Net) EU Targets on Antimicrobial Resistance. Available online: https://www.ecdc.europa.eu/en/publications-data/antimicrobial-resistance-eueea-ears-net-annual-epidemiological-report-2024 (accessed on 8 December 2025).
- European Food Safety Authority; European Centre for Disease Prevention and Control. The European Union summary report on antimicrobial resistance in zoonotic and indicator bacteria from humans, animals and food in 2022–2023. EFSA J. 2025, 23, e9237. [Google Scholar] [CrossRef]
- Rehman, M.A.; Rempel, H.; Carrillo, C.D.; Ziebell, K.; Ziebell, K.; Manges, A.R.; Topp, E.; Diarra, M.S. Virulence Genotype and Phenotype of Multiple Antimicrobial-Resistant Escherichia coli Isolates from Broilers Assessed from a “One-Health” Perspective. J. Food Prot. 2022, 85, 336–354. [Google Scholar] [CrossRef]
- Landoni, M.F.; Albarellos, G. The use of antimicrobial agents in broiler chickens. Vet. J. 2015, 205, 21–27. [Google Scholar] [CrossRef] [PubMed]
- Nhung, N.T.; Cuong, N.V.; Thwaites, G.; Carrique-Mas, J. Antimicrobial Usage and Antimicrobial Resistance in Animal Production in Southeast Asia: A Review. Antibiotics 2016, 5, 37. [Google Scholar] [CrossRef] [PubMed]
- Poirel, L.; Madec, J.-Y.; Lupo, A.; Schink, A.K.; Kieffer, N.; Nordmann, P.; Schwarz, S. Antimicrobial Resistance in Escherichia coli. Microbiol. Spectr. 2018, 6. [Google Scholar] [CrossRef]
- Woodford, N.; Turton, J.F.; Livermore, D.M. Multiresistant Gram-negative bacteria: The role of high-risk clones in the dissemination of antibiotic resistance. FEMS Microbiol. Rev. 2011, 35, 736–755. [Google Scholar] [CrossRef]
- Falgenhauer, L.; Ghosh, H.; Doijad, S.; Yao, Y.; Bunk, B.; Spröer, C.; Kaase, M.; Hilker, R.; Overmann, J.; Imirzalioglu, C.; et al. Genome Analysis of the Carbapenem- and Colistin-Resistant Escherichia coli Isolate NRZ14408 Reveals Horizontal Gene Transfer Pathways towards Panresistance and Enhanced Virulence. Antimicrob. Agents Chemother. 2017, 61. [Google Scholar] [CrossRef]
- Ewers, C.; Bethe, A.; Semmler, T.; Guenther, S.; Wieler, L.H. Extended-spectrum β-lactamase-producing and AmpC-producing Escherichia coli from livestock and companion animals, and their putative impact on public health: A global perspective. Clin. Microbiol. Infect. 2012, 18, 646–655. [Google Scholar] [CrossRef]
- Madec, J.Y.; Haenni, M.; Nordmann, P.; Poirel, L. Extended-spectrum β-lactamase/AmpC- and carbapenemase-producing Enterobacteriaceae in animals: A threat for humans? Clin. Microbiol. Infect. 2017, 23, 826–833. [Google Scholar] [CrossRef]
- Rawat, N.; Anjali; Shreyata; Sabu, B.; Bandyopadhyay, A.; Rajagopal, R. Assessment of antibiotic resistance in chicken meat labelled as antibiotic-free: A focus on Escherichia coli and horizontally transmissible antibiotic resistance genes. LWT 2024, 194, 115751. [Google Scholar] [CrossRef]
- Kaspersen, H.P.; Brouwer, M.S.M.; Nunez-Garcia, J.; Cárdenas-Rey, I.; AbuOun, M.; Duggett, N.; Ellaby, N.; Delgado-Blas, J.; Hammerl, J.A.; Getino, M.; et al. Escherichia coli from six European countries reveals differences in profile and distribution of critical antimicrobial resistance determinants within One Health compartments, 2013 to 2020. Eurosurveillance 2024, 29, 2400295. [Google Scholar] [CrossRef] [PubMed]
- European Environment Agency. Veterinary Antimicrobials in Europe’s Environment: A One Health Perspective. 2024. Available online: https://www.eea.europa.eu/en/analysis/publications/veterinary-antimicrobials-in-europes-environment-a-one-health-perspective (accessed on 8 December 2025).
- Van Boeckel, T.P.; Glennon, E.E.; Chen, D.; Gilbert, M.; Robinson, T.P.; Grenfell, B.T.; Levin, S.A.; Bonhoeffer, S.; Laxminarayan, R. Reducing antimicrobial use in food animals. Science 2017, 357, 1350–1352. [Google Scholar] [CrossRef] [PubMed]
- Pesciaroli, M.; Magistrali, C.F.; Filippini, G.; Epifanio, E.M.; Lovito, C.; Marchi, L.; Maresca, C.; Massacci, F.R.; Orsini, S.; Scoccia, E.; et al. Antibiotic-resistant commensal Escherichia coli are less frequently isolated from poultry raised using non-conventional management systems than from conventional broiler. Int. J. Food Microbiol. 2020, 314, 108391. [Google Scholar] [CrossRef]
- Tofani, S.; Albini, E.; Blasi, F.; Cucco, L.; Lovito, C.; Maresca, C.; Pesciaroli, M.; Orsini, S.; Scoccia, E.; Pezzotti, G.; et al. Assessing the Load, Virulence and Antibiotic-Resistant Traits of ESBL/Ampc E. coli from Broilers Raised on Conventional, Antibiotic-Free, and Organic Farms. Antibiotics 2022, 11, 1484. [Google Scholar] [CrossRef]
- Ferri, G.; Buonavoglia, A.; Farooq, M.; Festino, A.R.; Ruffini, F.; Paludi, D.; Francesco, C.E.D.; Vergara, A.; Smoglica, C. Antibiotic resistance in Italian poultry meat production chain: A one-health perspective comparing antibiotic free and conventional systems from the farming to the slaughterhouse. Front. Food Sci. Technol. 2023, 3, 1168896. [Google Scholar] [CrossRef]
- Ager, E.O.; Carvalho, T.; Silva, E.M.; Ricke, S.C.; Hite, J.L. Global trends in antimicrobial resistance on organic and conventional farms. Sci. Rep. 2023, 13, 22608. [Google Scholar] [CrossRef]
- EFSA Panels on Biological Hazards (BIOHAZ); on Contaminants in the Food Chain (CONTAM); on Animal Health and Welfare (AHAW). Scientific Opinion on the public health hazards to be covered by inspection of meat (poultry). EFSA J. 2012, 10, 2741. [Google Scholar] [CrossRef]
- Nhung, N.T.; Yen, N.T.P.; Dung, N.T.T.; Nhan, N.T.M.; Phu, D.H.; Kiet, B.T.; Thwaites, G.; Geskus, R.B.; Baker, S.; Carrique-Mas, J.; et al. Antimicrobial resistance in commensal Escherichia coli from humans and chickens in the Mekong Delta of Vietnam is driven by antimicrobial usage and potential cross-species transmission. JAC Antimicrob. Resist. 2022, 4, dlac054. [Google Scholar] [CrossRef]
- EFSA BIOHAZ Panel (EFSA Panel on Biological Hazards); Koutsoumanis, K.; Allende, A.; Álvarez-Ordóñez, A.; Bolton, D.; Bover-Cid, S.; Chemaly, M.; Davies, R.; De Cesare, A.; Herman, L.; et al. Role played by the environment in the emergence and spread of antimicrobial resistance (AMR) through the food chain. EFSA J. 2021, 19, e06651. [Google Scholar] [CrossRef]
- Di Marcantonio, L.; Chiatamone Ranieri, S.; Toro, M.; Marchegiano, A.; Cito, F.; Sulli, N.; Del Matto, I.; Di Lollo, V.; Alessiani, A.; Foschi, G.; et al. Comprehensive regional study of ESBL Escherichia coli: Genomic insights into antimicrobial resistance and inter-source dissemination of ESBL genes. Front. Microbiol. 2025, 16, 1595652. [Google Scholar] [CrossRef] [PubMed]
- European Food Safety Authority; European Centre for Disease Prevention and Control. Antimicrobial consumption and resistance in bacteria from humans and food-producing animals. EFSA J. 2024, 22, e9237. [Google Scholar] [CrossRef]
- Langkabel, N.; Burgard, J.; Freter, S.; Fries, R.; Meemken, D.; Ellerbroek, L. Detection of Extended-Spectrum β-Lactamase (ESBL) E. coli at Different Processing Stages in Three Broiler Abattoirs. Microorganisms 2023, 11, 2541. [Google Scholar] [CrossRef]
- Roth, N.; Käsbohrer, A.; Mayrhofer, S.; Zitz, U.; Hofacre, C.; Domig, K.J. The application of antibiotics in broiler production and the resulting antibiotic resistance in Escherichia coli: A global overview. Poult. Sci. 2019, 98, 1791–1804. [Google Scholar] [CrossRef] [PubMed]
- Oguttu, J.W.; Veary, C.M.; Picard, J.A. Antimicrobial drug resistance of Escherichia coli isolated from poultry abattoir workers at risk and broilers on antimicrobials. J. S. Afr. Vet. Assoc. 2008, 79, 161–166. [Google Scholar] [CrossRef]
- Rus, A.; Bucur, I.M.; Imre, K.; Tirziu, A.T.; Ivan, A.A.; Gros, R.V.; Moza, A.C.; Popa, S.A.; Ban-Cucerzan, A.; Tirziu, E. Phenotypic and Genotypic Characterization of ESBL and AmpC β-Lactamase-Producing E. coli Isolates from Poultry in Northwestern Romania. Antibiotics 2025, 14, 578. [Google Scholar] [CrossRef]
- Lemlem, M.; Aklilu, E.; Mohamed, M.; Kamaruzzaman, N.F.; Devan, S.S.; Lawal, H.; Kanamma, A.A. Prevalence and molecular characterization of ESBL-producing Escherichia coli isolated from broiler chicken and their respective farms environment in Malaysia. BMC Microbiol. 2024, 24, 499. [Google Scholar] [CrossRef]
- Ewers, C.; de Jong, A.; Prenger-Berninghoff, E.; Garch, F.E.; Leidner, U.; Tiwari, S.K.; Semmler, T. Genomic Diversity and Virulence Potential of ESBL- and AmpC-β-Lactamase-Producing Escherichia coli Strains from Healthy Food Animals Across Europe. Front. Microbiol. 2021, 12, 626774. [Google Scholar] [CrossRef]
- Mandujano-Hernández, A.; Martínez-Vázquez, A.V.; Paz-González, A.D.; Herrera-Mayorga, V.; Sánchez-Sánchez, M.; Lara-Ramírez, E.E.; Vázquez, K.; de Jesús de Luna-Santillana, E.; Bocanegra-García, V.; Rivera, G. The Global Rise of ESBL-Producing Escherichia coli in the Livestock Sector: A Five-Year Overview. Animals 2024, 14, 2490. [Google Scholar] [CrossRef]
- Bortolaia, V.; Bisgaard, M.; Bojesen, A.M. Distribution and possible transmission of ampicillin- and nalidixic acid-resistant Escherichia coli within the broiler industry. Vet. Microbiol. 2010, 142, 379–386. [Google Scholar] [CrossRef]
- Laconi, A.; Tolosi, R.; Chirollo, C.; Penon, C.; Berto, G.; Galuppo, F.; Piccirillo, A. From Farm to Slaughter: Tracing Antimicrobial Resistance in a Poultry Short Food Chain. Antibiotics 2025, 14, 604. [Google Scholar] [CrossRef]
- Farooq, M.; Smoglica, C.; Ruffini, F.; Soldati, L.; Marsilio, F.; Di Francesco, C.E. Antibiotic Resistance Genes Occurrence in Conventional and Antibiotic-Free Poultry Farming, Italy. Animals 2022, 12, 2310. [Google Scholar] [CrossRef]
- Beloeil, P.; Guerra, B.; Stoicescu, A. Manual for reporting on antimicrobial resistance within the framework of Directive 2003/99/EC and Decision 2013/652/EU for information derived from the year 2019. EFSA Support. Publ. 2020, 17, 1794E. [Google Scholar] [CrossRef]
- EFSA (European Food Safety Authority); Amore, G.; Beloeil, P.-A.; Garcia Fierro, R.; Guerra, B.; Rizzi, V.; Stoicescu, A.-V. Manual for reporting 2024 antimicrobial resistance data under Directive 2003/99/EC and Commission Implementing Decision (EU) 2020/1729. EFSA Support. Publ. 2025, 22, 9238E. [Google Scholar] [CrossRef]
- Dallenne, C.; da Costa, A.; Decré, D.; Favier, C.; Arlet, G. Development of a set of multiplex PCR assays for the detection of genes encoding important β-lactamases in Enterobacteriaceae. J. Antimicrob. Chemother. 2010, 65, 490–495. [Google Scholar] [CrossRef] [PubMed]
- Mosavian, S.; Rezvani-Rad, A. Determining frequency of genes of CTX-M and CTX-M-15 of producing Enterobacteriaceae of isolated extended-spectrum beta-lactamases from clinical samples of patients referred to training hospitals of Medical Sciences University, Khorramabad, Iran. Int. J. Pharm. Investig. 2017, 7, 60. [Google Scholar] [CrossRef] [PubMed]
- Pérez-Pérez, F.J.; Hanson, N.D. Detection of Plasmid-Mediated AmpC β-Lactamase Genes in Clinical Isolates by Using Multiplex PCR. J. Clin. Microbiol. 2002, 40, 2153–2162. [Google Scholar] [CrossRef] [PubMed]
- Hasman, H.; Mevius, D.; Veldman, K.; Olesen, I.; Aarestrup, F.M. β-Lactamases among extended-spectrum β-lactamase (ESBL)-resistant Salmonella from poultry, poultry products and human patients in The Netherlands. J. Antimicrob. Chemother. 2005, 56, 115–121. [Google Scholar] [CrossRef]
- Antimicrobial Resistance Remains Commonly Detected in Bacteria in Humans, Animals and Food: EFSA -ECDC Report|EFSA. Available online: https://www.efsa.europa.eu/en/press/news/140325?utm_source=chatgpt.com (accessed on 27 October 2025).
- De Cesare, A.; Oliveri, C.; Lucchi, A.; Savini, F.; Manfreda, G.; Sala, C. Pilot Study on Poultry Meat from Antibiotic Free and Conventional Farms: Can Metagenomics Detect Any Difference? Foods 2022, 11, 249. [Google Scholar] [CrossRef]
- Musa, L.; Proietti, P.C.; Branciari, R.; Menchetti, L.; Bellucci, S.; Ranucci, D.; Marenzoni, M.L.; Franciosini, M.P. Antimicrobial Susceptibility of Escherichia coli and ESBL-Producing Escherichia coli Diffusion in Conventional, Organic and Antibiotic-Free Meat Chickens at Slaughter. Animals 2020, 10, 1215. [Google Scholar] [CrossRef] [PubMed]
- Projahn, M.; von Tippelskirch, P.; Semmler, T.; Guenther, S.; Alter, T.; Roesler, U. Contamination of chicken meat with extended-spectrum beta-lactamase producing- Klebsiella pneumoniae and Escherichia coli during scalding and defeathering of broiler carcasses. Food Microbiol. 2019, 77, 185–191. [Google Scholar] [CrossRef] [PubMed]
- De Jong, A.; Garch FEl Hocquet, D.; Prenger-Berninghoff, E.; Dewulf, J.; Migura-Garcia, L.; Perrin-Guyomard, A.; Veldman, K.T.; Janosi, S.; Skarzynska, M.; Simjee, S. European-wide antimicrobial resistance monitoring in commensal Escherichia coli isolated from healthy food animals between 2004 and 2018. J. Antimicrob. Chemother. 2022, 77, 3301–3311. [Google Scholar] [CrossRef] [PubMed]
- Silbergeld, E.K.; Graham, J.; Price, L.B. Industrial food animal production, antimicrobial resistance, and human health. Annu. Rev. Public Health 2008, 29, 151–169. [Google Scholar] [CrossRef]
- Van Den Bogaard, A.E.; Stobberingh, E.E. Epidemiology of resistance to antibiotics: Links between animals and humans. Int. J. Antimicrob. Agents 2000, 14, 327–335. [Google Scholar] [CrossRef]
- Zou, M.; Ma, P.-P.; Liu, W.-S.; Liang, X.; Li, X.-Y.; Li, Y.-Z.; Liu, B.-T. Prevalence and Antibiotic Resistance Characteristics of Extraintestinal Pathogenic Escherichia coli among Healthy Chickens from Farms and Live Poultry Markets in China. Animals 2021, 11, 1112. [Google Scholar] [CrossRef]
- Hughes, D.; Andersson, D.I. Environmental and genetic modulation of the phenotypic expression of antibiotic resistance. FEMS Microbiol. Rev. 2017, 41, 374–391. [Google Scholar] [CrossRef]
- Davis, M.A.; Besser, T.E.; Orfe, L.H.; Baker, K.N.K.; Lanier, A.S.; Broschat, S.L.; New, D.; Call, D.R. Genotypic-phenotypic discrepancies between antibiotic resistance characteristics of Escherichia coli isolates from calves in management settings with high and low antibiotic use. Appl. Environ. Microbiol. 2011, 77, 3293–3299. [Google Scholar] [CrossRef]
- Eladawy, M.; Heslop, N.; Negus, D.; Thomas, J.C.; Hoyles, L. Phenotype–genotype discordance in antimicrobial resistance profiles of Gram-negative uropathogens recovered from catheter-associated urinary tract infections in Egypt. J. Antimicrob. Chemother. 2025, 80, 3123–3132. [Google Scholar] [CrossRef]
- Viveiros, M.; Dupont, M.; Rodrigues, L.; Couto, I.; Davin-Regli, A.; Martins, M.; Pagès, J.M.; Amaral, L. Antibiotic stress, genetic response and altered permeability of E. coli. PLoS ONE 2007, 2, e365. [Google Scholar] [CrossRef] [PubMed]
- Wyink, B.; von Haacke, H.; Reich, F.; Beterams, A.; Bandick, N.; Albert, T.; Südbeck, M.; Alter, T.; Kreienbrock, L.; Kirse, A. Microbiological contamination in broiler– a narrative overview on recent data and documentation in routine slaughter. Food Saf. Risk 2025, 12, 3. [Google Scholar] [CrossRef]
- von Tippelskirch, P.; Gölz, G.; Projahn, M.; Daehre, K.; Friese, A.; Roesler, U.; Alter, T.; Orquera, S. Prevalence and quantitative analysis of ESBL and AmpC beta-lactamase producing Enterobacteriaceae in broiler chicken during slaughter in Germany. Int. J. Food Microbiol. 2018, 281, 82–89. [Google Scholar] [CrossRef] [PubMed]



| Categories | Slaughterhouse | Production System | Number of Samples |
|---|---|---|---|
| A | 1 | Organic | 75 |
| B | 1 | ATB-free | 65 |
| C | 2 | ATB-free (AFTER conventional) | 105 |
| D | 2 | ATB-free (BEFORE conventional) | 50 |
| E | 2 | Conventional | 80 |
| Total of samples | 375 |
| Category | A | B | C | D | E |
|---|---|---|---|---|---|
| A | - | 0.049 * | 1 | 1 | 0.006 ** |
| B | 0.049 * | - | 0.511 | 0.197 | 1 |
| C | 1 | 0.511 | - | 1 | 0.137 |
| D | 1 | 0.197 | 1 | - | 0.048 * |
| E | 0.006 ** | 1 | 0.137 | 0.048 * | - |
| Category | ESBL-AmpC-Negative | ESBL-AmpC-Positive | CI 95% | Total |
|---|---|---|---|---|
| A | 50 (66.7%) | 25 (33.3%) | (23.7–44.6) | 75 |
| B | 48 (73.8%) | 17 (26.2%) | (17.0–38.0) | 65 |
| C | 60 (57.1%) | 45 (42.9%) | (33.8–52.4) | 105 |
| D | 35 (70%) | 15 (30%) | (19.1–43.8) | 50 |
| E | 40 (50%) | 40 (50%) | (39.3–60.7) | 80 |
| Total | 233 (62.1%) | 142 (37.9%) | (33.1–43.0) | 375 |
| Category | ESBL-AmpC/Total | OR (CI 95%) | p-Value |
|---|---|---|---|
| A | 25/75 (33.3%) | 0.50 (0.24, 1.00) | 0.049 |
| B | 17/65 (26.2%) | 0.36 (0.16, 0.76) | 0.004 |
| C | 45/105 (42.9%) | 0.75 (0.40, 1.40) | 0.373 |
| D | 15/50 (30.0%) | 0.43 (0.19, 0.96) | 0.029 |
| E | 40/80 (50.0%) | 1.00 | - |
| Category | Detected Genes and Combinations | No. of Positive (%) | Total (%) |
|---|---|---|---|
| ESBL genes | blaCTX-M-1 * blaCTX-M-1 * + blaTEM blaCTX-M-9 blaCTX-M-9 + blaTEM blaTEM blaTEM + blaSHV blaCTX-M-1 * + blaTEM + blaSHV blaSHV blaOXA blaCTX-M-2 | 35 (24.6) 23 (16.3) 3 (2.1) 9 (6.3) 2 (1.4) 20 (14.2) 1 (0.7) 35 (24.6) 0 (0.0) 0 (0.0) | 128 (90.2) |
| AmpC genes | blaCIT § blaMOX blaDHA blaACC blaEBC blaFOX | 11 (7.7) 0 (0.0) 0 (0.0) 0 (0.0) 0 (0.0) 0 (0.0) | 11 (7.7) |
| Negative | Not detected | 0 (0.00) | 3 (2.1) |
| 142 (100.00) |
Disclaimer/Publisher’s Note: The statements, opinions and data contained in all publications are solely those of the individual author(s) and contributor(s) and not of MDPI and/or the editor(s). MDPI and/or the editor(s) disclaim responsibility for any injury to people or property resulting from any ideas, methods, instructions or products referred to in the content. |
© 2025 by the authors. Licensee MDPI, Basel, Switzerland. This article is an open access article distributed under the terms and conditions of the Creative Commons Attribution (CC BY) license (https://creativecommons.org/licenses/by/4.0/).
Share and Cite
Dilio, G.; Blasi, F.; Tofani, S.; Albini, E.; Orsini, S.; Ciullo, M.; Massacci, F.R.; Pesciaroli, M.; Pezzotti, G.; Magistrali, C.F. Prevalence of ESBL-Producing Escherichia coli on Neck Skin in Slaughtered Broilers Raised on Conventional, Antibiotic-Free, and Organic Farms. Pathogens 2025, 14, 1265. https://doi.org/10.3390/pathogens14121265
Dilio G, Blasi F, Tofani S, Albini E, Orsini S, Ciullo M, Massacci FR, Pesciaroli M, Pezzotti G, Magistrali CF. Prevalence of ESBL-Producing Escherichia coli on Neck Skin in Slaughtered Broilers Raised on Conventional, Antibiotic-Free, and Organic Farms. Pathogens. 2025; 14(12):1265. https://doi.org/10.3390/pathogens14121265
Chicago/Turabian StyleDilio, Giulia, Francesca Blasi, Silvia Tofani, Elisa Albini, Serenella Orsini, Marcella Ciullo, Francesca Romana Massacci, Michele Pesciaroli, Giovanni Pezzotti, and Chiara Francesca Magistrali. 2025. "Prevalence of ESBL-Producing Escherichia coli on Neck Skin in Slaughtered Broilers Raised on Conventional, Antibiotic-Free, and Organic Farms" Pathogens 14, no. 12: 1265. https://doi.org/10.3390/pathogens14121265
APA StyleDilio, G., Blasi, F., Tofani, S., Albini, E., Orsini, S., Ciullo, M., Massacci, F. R., Pesciaroli, M., Pezzotti, G., & Magistrali, C. F. (2025). Prevalence of ESBL-Producing Escherichia coli on Neck Skin in Slaughtered Broilers Raised on Conventional, Antibiotic-Free, and Organic Farms. Pathogens, 14(12), 1265. https://doi.org/10.3390/pathogens14121265

