Investigating Farm Fragmentation as a Risk Factor for Bovine Tuberculosis in Cattle Herds: A Matched Case-Control Study from Northern Ireland
Abstract
1. Introduction
2. Results
2.1. Descriptive Results
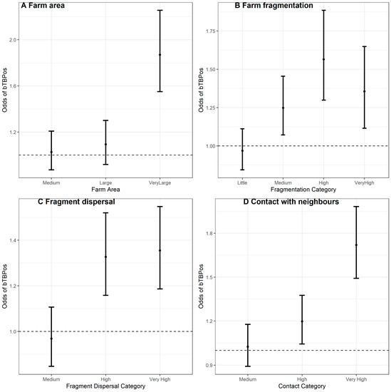
2.2. Univariable Models
2.3. Confounding
3. Discussion
3.1. Limitations
3.2. Future Work
4. Materials and Methods
4.1. Study Region and Study Population
4.2. Exposure Variables
4.2.1. Herd Variables
4.2.2. Spatial Variables
4.3. Participating Herds
4.4. Analysis
5. Conclusions
Supplementary Materials
Author Contributions
Funding
Institutional Review Board Statement
Informed Consent Statement
Data Availability Statement
Acknowledgments
Conflicts of Interest
References
- Humblet, M.-F.; Boschiroli, M.L.; Saegerman, C. Classification of worldwide bovine tuberculosis risk factors in cattle: A stratified approach. Vet. Res. 2009, 40, 50. [Google Scholar] [CrossRef] [PubMed]
- More, S.J. Can bovine TB be eradicated from the Republic of Ireland? Could this be achieved by 2030? Ir. Vet. J. 2019, 72, 3. [Google Scholar] [CrossRef] [PubMed]
- Robinson, P.A. A history of bovine tuberculosis eradication policy in Northern Ireland. Epidemiol. Infect. 2015, 143, 3182–3195. [Google Scholar] [CrossRef] [PubMed]
- Woods, A. A historical synopsis of farm animal disease and public policy in twentieth century Britain. Philos. Trans. R. Soc. B Biol. Sci. 2011, 366, 1943–1954. [Google Scholar] [CrossRef]
- EFSA Panel on Animal Health and Welfare (AHAW). Scientific Opinion on the use of a gamma interferon test for the diagnosis of bovine tuberculosis: Bovine TB Test. EFSA J. 2012, 10, 2975. [Google Scholar]
- Lahuerta-Marin, A.; Milne, M.G.; McNair, J.; Skuce, R.A.; McBride, S.H.; Menzies, F.D.; McDowell, S.; Byrne, A.; Handel, I.; Bronsvoort, B.D.C. Bayesian latent class estimation of sensitivity and specificity parameters of diagnostic tests for bovine tuberculosis in chronically infected herds in Northern Ireland. Vet. J. 2018, 238, 15–21. [Google Scholar] [CrossRef] [PubMed]
- Clegg, T.A.; Doyle, M.; Ryan, E.; More, S.J.; Gormley, E. Characteristics of Mycobacterium bovis infected herds tested with the interferon-gamma assay. Prev. Vet. Med. 2019, 168, 52–59. [Google Scholar] [CrossRef] [PubMed]
- Pascual-Linaza, A.V.; Gordon, A.W.; Stringer, L.A.; Menzies, F.D. Efficiency of slaughterhouse surveillance for the detection of bovine tuberculosis in cattle in Northern Ireland. Epidemiol. Infect. 2017, 145, 995–1005. [Google Scholar] [CrossRef] [PubMed]
- McKinley, T.J.; Lipschutz-Powell, D.; Mitchell, A.P.; Wood, J.L.N.; Conlan, A.J.K. Risk factors and variations in detection of new bovine tuberculosis breakdowns via slaughterhouse surveillance in Great Britain. PLoS ONE 2018, 13, e0198760. [Google Scholar] [CrossRef] [PubMed]
- Allen, A.R.; Skuce, R.A.; Byrne, A.W. Bovine Tuberculosis in Britain and Ireland—A Perfect Storm? the Confluence of Potential Ecological and Epidemiological Impediments to Controlling a Chronic Infectious Disease. Front. Vet. Sci. 2018, 5, 109. [Google Scholar] [CrossRef]
- Ramírez-Villaescusa, A.M.; Medley, G.F.; Mason, S.; Green, L.E. Risk factors for herd breakdown with bovine tuberculosis in 148 cattle herds in the south west of England. Prev. Vet. Med. 2010, 95, 224–230. [Google Scholar] [CrossRef]
- O’Hagan, M.J.H.; Matthews, D.I.; Laird, C.; McDowell, S.W.J. Herd-level risk factors for bovine tuberculosis and adoption of related biosecurity measures in Northern Ireland: A case-control study. Vet. J. 2016, 213, 26–32. [Google Scholar] [CrossRef]
- Gopal, R.; Goodchild, A.; Hewinson, G.; Domenech, R.D.L.R.; Clifton-Hadley, R. Introduction of bovine tuberculosis to north-east England by bought-in cattle. Vet. Rec. 2006, 159, 265–271. [Google Scholar] [CrossRef]
- Green, D.M.; Kiss, I.Z.; Mitchell, A.P.; Kao, R.R. Estimates for local and movement-based transmission of bovine tuberculosis in British cattle. Proc. R. Soc. Lond. B Biol. Sci. 2008, 275, 1001–1005. [Google Scholar] [CrossRef]
- Vial, F.; Johnston, W.T.; Donnelly, C.A. Local Cattle and Badger Populations Affect the Risk of Confirmed Tuberculosis in British Cattle Herds. PLoS ONE 2011, 6, e18058. [Google Scholar] [CrossRef][Green Version]
- Johnston, W.T.; Vial, F.; Gettinby, G.; Bourne, F.J.; Clifton-Hadley, R.S.; Cox, D.R.; Crea, P.; Donnelly, C.; McInerney, J.; Mitchell, A.; et al. Herd-level risk factors of bovine tuberculosis in England and Wales after the 2001 foot-and-mouth disease epidemic. Int. J. Infect. Dis. 2011, 15, e833–e840. [Google Scholar] [CrossRef]
- Milne, G.; Allen, A.; Graham, J.; Lahuerta-Marin, A.; McCormick, C.; Presho, E.; Reid, N.; Skuce, R.; Byrne, A.W. Bovine tuberculosis breakdown duration in cattle herds: An investigation of herd, host, pathogen and wildlife risk factors. Peer J. 2020, 8, e8319. [Google Scholar] [CrossRef]
- Byrne, A.W.; Kenny, K.; Fogarty, U.; O’Keeffe, J.J.; More, S.J.; McGrath, G.; Teeling, M.; Martin, S.W.; Dohoo, I.R. Spatial and temporal analyses of metrics of tuberculosis infection in badgers (Meles meles) from the Republic of Ireland: Trends in apparent prevalence. Prev. Vet. Med. 2015, 122, 345–354. [Google Scholar] [CrossRef]
- Wright, D.M.; Reid, N.; Ian Montgomery, W.; Allen, A.R.; Skuce, R.A.; Kao, R.R. Herd-level bovine tuberculosis risk factors: Assessing the role of low-level badger population disturbance. Sci. Rep. 2015, 5, 13062. [Google Scholar] [CrossRef]
- Campbell, E.L.; Byrne, A.W.; Menzies, F.D.; McBride, K.R.; McCormick, C.M.; Scantlebury, M.; Reid, N. Interspecific visitation of cattle and badgers to fomites: A transmission risk for bovine tuberculosis? Ecol. Evol. 2019, 9, 8479–8489. [Google Scholar] [CrossRef]
- Woodroffe, R.; Donnelly, C.A.; Cox, D.R.; Gilks, P.; Jenkins, H.E.; Johnston, W.T.; Le Fevre, A.M.; Bourne, F.J.; Cheeseman, C.L.; Clifton-Hadley, R.S.; et al. Bovine tuberculosis in cattle and badgers in localized culling areas. J. Wildl. Dis. 2009, 45, 128–143. [Google Scholar] [CrossRef] [PubMed]
- White, P.W.; Martin, S.W.; De Jong, M.C.M.; O’Keeffe, J.J.; More, S.J.; Frankena, K. The importance of ‘neighbourhood’ in the persistence of bovine tuberculosis in Irish cattle herds. Prev. Vet. Med. 2013, 110, 346–355. [Google Scholar] [CrossRef] [PubMed]
- Griffin, J.M.; Martin, S.W.; Thorburn, M.A.; Eves, J.A.; Hammond, R.F. A case-control study on the association of selected risk factors with the occurrence of bovine tuberculosis in the Republic of Ireland. Prev. Vet. Med. 1996, 27, 75–87. [Google Scholar] [CrossRef]
- Young, J.S.; Gormley, E.; Wellington, E.M.H. Molecular Detection of Mycobacterium bovis and Mycobacterium bovis BCG (Pasteur) in Soil. Appl. Environ. Microbiol. 2005, 71, 1946–1952. [Google Scholar] [CrossRef]
- Northern Ireland Audit Office. The Control of Bovine Tuberculosis in Northern Ireland; Northern Ireland Audit Office: Belfast, Ireland, 2018.
- Commission Européenne. Eradication Programme for Bovine Tuberculosis—United Kingdom; Commission Européenne: Bruxelles, Belgium, 2013.
- Milne, G.; Byrne, A.; Campbell, E.; Graham, J.; McGrath, J.; Kirke, R.; McMaster, W.; Zimmermann, J.; Adenuga, A.H. Quantifying Land Fragmentation Metrics for Cattle Enterprises in Northern Ireland. Preprints 2021, 2021100149. [Google Scholar] [CrossRef]
- Byrne, A.W.; Barrett, D.; Breslin, P.; Madden, J.M.; Keeffe, J.; Ryan, E. Bovine Tuberculosis (Mycobacterium bovis) outbreak duration in cattle herds in Ireland: A retrospective observational study. Pathogens 2020, 9, 815. [Google Scholar] [CrossRef]
- Broughan, J.M.; Maye, D.; Carmody, P.; Brunton, L.A.; Ashton, A.; Wint, W.; Alexander, N.; Naylor, R.; Ward, K.; Goodchild, A.; et al. Farm characteristics and farmer perceptions associated with bovine tuberculosis incidents in areas of emerging endemic spread. Prev. Vet. Med. 2016, 129, 88–98. [Google Scholar] [CrossRef]
- Bourne, J.; Independent Scientific Group on Cattle TB. Bovine TB: The Scientific Evidence, a Science Base for a Sustainable Policy to Control TB in Cat-tle, an Epidemiological Investigation into Bovine Tuberculosis; final report of the Independent Scientific Group on Cattle TB; DEFRA: London, UK, 2007.
- Brennan, M.L.; Kemp, R.; Christley, R.M. Direct and indirect contacts between cattle farms in north-west England. Prev. Vet. Med. 2008, 84, 242–260. [Google Scholar] [CrossRef]
- Denny, G.O.; Wilesmith, J.W. Bovine tuberculosis in Northern Ireland: Case-control study of herd risk factors. Vet. Rec. 1999, 144, 310. [Google Scholar] [CrossRef]
- Campbell, E.L.; Menzies, F.D.; Byrne, A.W.; Porter, S.; McCormick, C.M.; McBride, K.R.; Porter, S.; McCormick, C.M.; McBride, K.R.; Scantlebury, D.M.; et al. Grazing cattle exposure to neighbouring herds and badgers in relation to bovine tuberculosis risk. Res. Vet. Sci. 2020, 133, 297–303. [Google Scholar] [CrossRef]
- Milne, M.G.; Graham, J.; Allen, A.; McCormick, C.; Presho, E.; Skuce, R.; Byrne, A. Variation in Mycobacterium bovis genetic richness suggests that inwards cattle movements are a more important source of infection in beef herds than in dairy herds. BMC Microbiol. 2019, 19, 154. [Google Scholar] [CrossRef] [PubMed]
- Skuce, R.A.; Mallon, T.R.; McCormick, C.M.; McBride, S.H.; Clarke, G.; Thompson, A.; Couzens, C.; Gordon, A.W.; McDowell, S.W.J. Mycobacterium bovis genotypes in Northern Ireland: Herd-level surveillance (2003 to 2008). Vet. Rec. 2010, 167, 684–689. [Google Scholar] [CrossRef]
- Biek, R.; O’Hare, A.; Wright, D.; Mallon, T.; McCormick, C.; Orton, R.J.; McDowell, S.; Trewby, H.; Skuce, R.A.; Kao, R.R. Whole Genome Sequencing Reveals Local Transmission Patterns of Mycobacterium bovis in Sympatric Cattle and Badger Populations. PLoS Pathog. 2012, 8, e1003008. [Google Scholar] [CrossRef]
- Milne, G.; Allen, A.; Graham, J.; Kirke, R.; McCormick, C.; Presho, E.; Skuce, R.; Byrne, A.W. Mycobacterium bovis population structure in cattle and local badgers: Co-localisation and variation by farm type. Pathogens 2020, 9, 592. [Google Scholar] [CrossRef]
- Trewby, H. The genetic and spatial epidemiology of bovine tuberculosis in the UK: From molecular typing to bacterial whole genome sequencing. Ph.D. Dissertation, University of Glasgow, Glasgow, UK, 2016. [Google Scholar]
- Johnston, W.T.; Gettinby, G.; Cox, D.R.; Donnelly, C.A.; Bourne, J.; Clifton-Hadley, R.; Le Fevre, A.M.; McInerney, J.P.; Mitchell, A.; Morrison, W.I.; et al. Herd-level risk factors associated with tuberculosis breakdowns among cattle herds in England before the 2001 foot-and-mouth disease epidemic. Biol. Lett. 2005, 1, 53–56. [Google Scholar] [CrossRef]
- Mill, A.C.; Rushton, S.P.; Shirley, M.D.F.; Murray, A.W.A.; Smith, G.C.; Delahay, R.J.; McDonald, R.A. Farm-scale risk factors for bovine tuberculosis incidence in cattle herds during the Randomized Badger Culling Trial. Epidemiol. Infect. 2012, 140, 219–230. [Google Scholar] [CrossRef]
- Enright, J.; Kao, R.R. A descriptive analysis of the growth of unrecorded interactions amongst cattle-raising premises in Scotland and their implications for disease spread. BMC Vet. Res. 2016, 12, 37. [Google Scholar] [CrossRef]
- Orton, R.J.; Bessell, P.R.; Birch, C.P.D.; O’Hare, A.; Kao, R.R. Risk of Foot-and-Mouth Disease Spread Due to Sole Occupancy Authorities and Linked Cattle Holdings. PLoS ONE 2012, 7, e35089. [Google Scholar] [CrossRef][Green Version]
- Doyle, L.P.; Courcier, E.A.; Gordon, A.W.; O’Hagan, M.J.H.; Johnston, P.; McAleese, E.; Buchanan, J.R.; Stegeman, J.A.; Menzies, F.D. Northern Ireland farm-level management factors for prolonged bovine tuberculosis herd breakdowns. Epidemiol. Infect. 2020, 148, e234. [Google Scholar] [CrossRef]
- Brown, E.; Marshall, A.H.; Mitchell, H.J.; Byrne, A.W. Cattle movements in Northern Ireland form a robust network: Implications for disease management. Prev. Vet. Med. 2019, 170, 104740. [Google Scholar] [CrossRef]
- Adenuga, A.H.; Jack, C.; McCarry, R. The Case for Long-Term Land Leasing: A Review of the Empirical Literature. Land 2021, 10, 238. [Google Scholar] [CrossRef]
- Cathal, G.; Anne, K.; Cathal, O.D. The effect of farmer attitudes on openness to land transactions: Evidence for Ireland. Bio-Based Appl. Econ. 2021, 10, 153–168. [Google Scholar]
- Campbell, E.L.; Byrne, A.W.; Menzies, F.D.; Milne, G.; McBride, K.R.; McCormick, C.M.; Scantlebury, D.M.; Reid, N. Quantifying intraherd cattle movement metrics: Implications for disease transmission risk. Prev. Vet. Med. 2020, 185, 105203. [Google Scholar] [CrossRef]
- Bradfield, T.; Butler, R.; Dillon, E.; Hennessy, T.; Kilgarriff, P. The Effect of Land Fragmentation on the Technical Inefficiency of Dairy Farms. J. Agric. Econ. 2021, 72, 486–499. [Google Scholar] [CrossRef]
- White, P.C.L.; Brown, J.A.; Harris, S. Badgers Meles meles, cattle and bovine tuberculosis Mycobacterium bovis: A hypothesis to explain the influence of habitat on the risk of disease transmission in southwest England. Proc. R. Soc. Lond. Ser. B Biol. Sci. 1993, 253, 277–284. [Google Scholar]
- Department of Agriculture, Environment and Rural Affairs. Final Results of the June Agricultural Census 2019. Available online: https://www.daera-ni.gov.uk/sites/default/files/publications/daera/Final%20Results%20of%20the%20June%202019%20Agricultural%20Census.pdf (accessed on 6 December 2021).
- Department of Agriculture, Environment and Rural Affairs. Bovine Tuberculosis (TB) Testing. 2017. Available online: https://www.daera-ni.gov.uk/articles/bovine-tuberculosis-tb-testing (accessed on 6 December 2021).
- Houston, R. A computerised database system for bovine traceability. Rev. Sci. Tech.-Off. Int. Epizoot. 2001, 20, 652. [Google Scholar] [CrossRef]
- Rowland, C.S.; Morton, R.D.; Carrasco, L.; McShane, G.; O’Neil, A.W.; Wood, C.M. Land Cover Map 2015 (Vector, N. Ireland); NERC Environmental Information Data Centre: Lancaster, UK, 2017. [Google Scholar]
- Winkler, B.; Mathews, F. Environmental risk factors associated with bovine tuberculosis among cattle in high-risk areas. Biol. Lett. 2015, 11, 20150536. [Google Scholar] [CrossRef]
- Therneau, T.M. A Package for Survival Analysis in R, Version 3.2-13. 2021. Available online: https://cran.r-project.org/web/packages/survival/vignettes/survival.pdf (accessed on 6 December 2021).
- Dohoo, I.; Martin, W.; Stryhn, H. Veterinary Epidemiologic Research, 2nd ed.; VER Inc.: Charlottetown, CA, USA, 2009; p. 865. [Google Scholar]
- Wickham, H. Ggplot2: Elegant Graphics for Data Analysis; Springer: New York, NY, USA, 2009. [Google Scholar]




| bTB Status | |||
|---|---|---|---|
| Negative, N = 4637 | Positive, N = 4637 | Population, N = 570,241 | |
| Year | |||
| 2015 | 1774 (38%) | 1774 (38%) | 19,008 (33%) |
| 2016 | 1389 (30%) | 1389 (30%) | 19,008 (33%) |
| 2017 | 1474 (32%) | 1474 (32%) | 19,008 (33%) |
| DVO | |||
| Armagh | 428 (9.2%) | 428 (9.2%) | 5487 (9.6%) |
| Ballymena | 269 (5.8%) | 269 (5.8%) | 3465 (6.1%) |
| Coleraine | 590 (13%) | 590 (13%) | 6450 (11%) |
| Dungannon | 590 (13%) | 590 (13%) | 6954 (12%) |
| Enniskillen | 566 (12%) | 566 (12%) | 7848 (14%) |
| Larne | 226 (4.9%) | 226 (4.9%) | 3882 (6.8%) |
| Londonderry | 119 (2.6%) | 119 (2.6%) | 2061 (3.6%) |
| Newry | 688 (15%) | 688 (15%) | 8934 (16%) |
| Newtownards | 515 (11%) | 515 (11%) | 4458 (7.8%) |
| Omagh | 646 (14%) | 646 (14%) | 7470 (13%) |
| NA | - | - | 15 (<0.1%) |
| Herd Type | |||
| Breeder | 1251 (27%) | 1251 (27%) | 28,415 (50%) |
| Dairy | 1267 (27%) | 1267 (27%) | 8128 (14%) |
| Finisher | 690 (15%) | 690 (15%) | 5976 (10%) |
| Other | 1429 (31%) | 1429 (31%) | 14,505 (25%) |
| Median herd size | 81 (41, 156) | 83 (40, 173) | 40 (19, 89) |
| Total farm area (ha) | 42 (26, 72) | 50 (27, 84) | 31 (16, 59) |
| Farm area category 1 | |||
| Small (1.2 ha–16.4 ha) | 583 (13%) | 538 (12%) | 14,164 (25%) |
| Medium (16.41 ha–31.2 ha) | 938 (20%) | 852 (18%) | 14,353 (25%) |
| Large (31.21 ha–59.1 ha) | 1570 (34%) | 1343 (29%) | 14,255 (25%) |
| Very Large (>59.1 ha) | 1546 (33%) | 1904 (41%) | 14,252 (25%) |
| N fields | 28 (17, 44) | 33 (20, 51) | 24 (14, 39) |
| N fragments | 4 (2, 6) | 4 (3, 7) | 3 (2, 6) |
| Fragmentation category 2 | |||
| Not_fragmented (1 fragment) | 526 (11%) | 488 (11%) | 4691 (8.2%) |
| Little fragmentation (2–4 fragments) | 2226 (48%) | 1974 (43%) | 27,164 (48%) |
| Medium_fragmentation (5–7 fragments) | 1062 (23%) | 1165 (25%) | 12,353 (22%) |
| High_fragmentation (8–10 fragments) | 415 (8.9%) | 551 (12%) | 9476 (17%) |
| Very_high_fragmentation (11+ fragments) | 408 (8.8%) | 459 (9.9%) | 3340 (5.9%) |
| Median distance fragments (km) | 1.52 (0.72, 3.23) | 1.83 (0.86, 3.57) | 1.38 (0.52, 3.05) |
| Fragment distance category 3 | |||
| Low | 798 (17%) | 697 (15%) | 14,255 (25%) |
| Medium | 1338 (29%) | 1116 (24%) | 14,256 (25%) |
| High | 1282 (28%) | 1425 (31%) | 14,256 (25%) |
| Very High | 1219 (26%) | 1399 (30%) | 14,255 (25%) |
| Total shared boundary (km) | 3.4 (2.0, 5.7) | 4.1 (2.2, 6.7) | |
| Neighbour contact category 4 | |||
| Low (0 km–0.52 km) | 763 (16%) | 644 (14%) | 14,256 (25%) |
| Medium (0.53 km–1.38 km) | 1086 (23%) | 918 (20%) | 14,256 (25%) |
| High (1.39 km–3.05 km) | 1255 (27%) | 1181 (25%) | 14,256 (25%) |
| Very High (>3.06 km) | 1533 (33%) | 1894 (41%) | 14,256 (25%) |
| Count neighbours bTB | 1 (0, 1) | 1 (0, 3) | 0 (0, 1) |
| Any neighbour bTB 5 | 2463 (53%) | 3284 (71%) | 27,074 (48%) |
| Categorical | Continuous | ||||
| Variable | OR | 95% CI | OR | 95% CI | |
| Farm area category | Total farm area (per ha) | 1.00 | 1.00, 1.00 | ||
| Small (1.2 ha–16.4 ha) | — | — | |||
| Medium (16.41 ha–31.2 ha) | 1.03 | 0.87, 1.21 | |||
| Large (31.21 ha–59.1 ha) | 1.09 | 0.92, 1.30 | |||
| Very Large (>59.1 ha) | 1.87 | 1.55, 2.25 | |||
| Fragment category | N fragments (per fragment) | 1.03 | 1.02, 1.05 | ||
| Not_fragmented (1 fragment) | — | — | |||
| Little fragmentation (2–4 fragments) | 0.97 | 0.84, 1.11 | |||
| Medium_fragmentation (5–7 fragments) | 1.25 | 1.07, 1.46 | |||
| High_fragmentation (8–10 fragments) | 1.56 | 1.30, 1.88 | |||
| Very_high_fragmentation (11+ fragments) | 1.36 | 1.12, 1.65 | |||
| Fragment distance category | Median distance fragments (per 10 km) 1 | 1.00 | 1.00, 1.00 | ||
| Low (0 km–0.52 km) | — | — | |||
| Medium (0.53 km–1.38 km) | 0.97 | 0.85, 1.11 | |||
| High (1.39 km–3.05 km) | 1.33 | 1.16, 1.52 | |||
| Very High (>3.06 km) | 1.35 | 1.19, 1.55 | |||
| Neighbour contact category | Total shared boundary (per km) | 1.07 | 1.06, 1.09 | ||
| Low (0 km–1.48 km) | — | — | |||
| Medium (1.49 km–2.84 km) | 1.02 | 0.89, 1.18 | |||
| High (2.85 km–4.95 km) | 1.20 | 1.04, 1.38 | |||
| Very High (>4.96 km) | 1.72 | 1.49, 1.98 | |||
| Any neighbour bTB | 2.20 | 2.01, 2.41 | Count neighbours bTB | 1.45 | 1.40, 1.50 |
| Model | Variable | Unadjusted Analysis | Adjusted Analysis | ||
|---|---|---|---|---|---|
| OR | 95% CI | aOR | 95% CI | ||
| Farm area | Farm area category 1 | ||||
| Small/Medium/Large (≤59.1 ha) | — | — | — | — | |
| Very Large (>59.1 ha) † | 1.74 | 1.56, 1.95 | 1.35 | 1.20, 1.52 | |
| Count neighbours bTB (per neighbour) | 1.45 | 1.40, 1.50 | 1.43 | 1.38, 1.48 | |
| Fragmentation | Fragment category | ||||
| Not_fragmented (1 fragment) | — | — | — | — | |
| Little fragmentation (2–4 fragments) † | 0.97 | 0.84, 1.11 | 0.83 | 0.72, 0.96 | |
| Medium fragmentation (5–7 fragments) | 1.25 | 1.07, 1.46 | 0.96 | 0.81, 1.12 | |
| High fragmentation (8–10 fragments) | 1.56 | 1.30, 1.88 | 1.06 | 0.87, 1.30 | |
| Very high fragmentation (11+ fragments) † | 1.36 | 1.12, 1.65 | 0.73 | 0.59, 0.91 | |
| Count neighbours bTB (per neighbour) | 1.45 | 1.40, 1.50 | 1.45 | 1.40, 1.51 | |
| Fragment dispersal | Fragment distance category | ||||
| Low (0 km–0.52 km) | — | — | — | — | |
| Medium (0.53 km–1.38 km) † | 0.97 | 0.85, 1.11 | 0.84 | 0.73, 0.97 | |
| High (1.39 km–3.05 km) | 1.33 | 1.16, 1.52 | 1.01 | 0.87, 1.17 | |
| Very High (>3.06 km) | 1.35 | 1.19, 1.55 | 1.01 | 0.88, 1.16 | |
| Count neighbours bTB (per neighbour) | 1.45 | 1.40, 1.50 | 1.44 | 1.39, 1.49 | |
| Neighbour contact | Neighbour contact category | ||||
| Low (0 km–1.48 km) | — | — | — | — | |
| Medium (1.49 km–2.84 km) | 1.02 | 0.89, 1.18 | 0.91 | 0.79, 1.05 | |
| High (2.85 km–4.95 km) | 1.20 | 1.04, 1.38 | 0.95 | 0.82, 1.10 | |
| Very High (>4.96 km) | 1.72 | 1.49, 1.98 | 1.02 | 0.87, 1.19 | |
| Count neighbours bTB (per neighbour) | 1.45 | 1.40, 1.50 | 1.44 | 1.39, 1.49 | |
Publisher’s Note: MDPI stays neutral with regard to jurisdictional claims in published maps and institutional affiliations. |
© 2022 by the authors. Licensee MDPI, Basel, Switzerland. This article is an open access article distributed under the terms and conditions of the Creative Commons Attribution (CC BY) license (https://creativecommons.org/licenses/by/4.0/).
Share and Cite
Milne, G.; Graham, J.; McGrath, J.; Kirke, R.; McMaster, W.; Byrne, A.W. Investigating Farm Fragmentation as a Risk Factor for Bovine Tuberculosis in Cattle Herds: A Matched Case-Control Study from Northern Ireland. Pathogens 2022, 11, 299. https://doi.org/10.3390/pathogens11030299
Milne G, Graham J, McGrath J, Kirke R, McMaster W, Byrne AW. Investigating Farm Fragmentation as a Risk Factor for Bovine Tuberculosis in Cattle Herds: A Matched Case-Control Study from Northern Ireland. Pathogens. 2022; 11(3):299. https://doi.org/10.3390/pathogens11030299
Chicago/Turabian StyleMilne, Georgina, Jordon Graham, John McGrath, Raymond Kirke, Wilma McMaster, and Andrew William Byrne. 2022. "Investigating Farm Fragmentation as a Risk Factor for Bovine Tuberculosis in Cattle Herds: A Matched Case-Control Study from Northern Ireland" Pathogens 11, no. 3: 299. https://doi.org/10.3390/pathogens11030299
APA StyleMilne, G., Graham, J., McGrath, J., Kirke, R., McMaster, W., & Byrne, A. W. (2022). Investigating Farm Fragmentation as a Risk Factor for Bovine Tuberculosis in Cattle Herds: A Matched Case-Control Study from Northern Ireland. Pathogens, 11(3), 299. https://doi.org/10.3390/pathogens11030299

