Abstract
Exposure to elevated temperatures leads to the deterioration of the mechanical properties of cementitious materials. However, the inclusion of fibers can mitigate, to some extent, the negative effects of high temperatures on these materials. Specifically, polypropylene (PP) fibers, a synthetic fiber type, have been demonstrated to improve the performance of cement-based composites. Therefore, it is essential to investigate the impact of temperature on the behavior of fiber-reinforced mortar for its broader application in construction. This study explores the effects of varying PP fiber contents (0%, 0.2%, 0.4%, 0.6%, 0.8%, and 1%) and different temperature exposures (25 °C, 200 °C, 400 °C, 600 °C, 800 °C, and 1000 °C) on the performance of cement mortar. The experimental results show that elevated temperatures significantly degrade both the mechanical and thermal properties of fiber-reinforced mortar. As the temperature and fiber content increase, both the quality and thermal conductivity of the mortar decrease. Between 25 °C and 200 °C, the incorporation of PP fibers (ranging from 0% to 0.2%) significantly enhances the compressive and flexural strengths of the mortar. However, this improvement becomes less pronounced as the fiber content exceeds 0.2%. At temperatures above 200 °C, further increases in temperature, coupled with higher fiber contents, consistently lead to a reduction in the compressive and flexural strengths. Based on the principles of continuous damage mechanics (which describes the degradation and fracture of materials under loading) and the dual-parameter Weibull distribution theory, a constitutive model is proposed to describe the damage behavior of high-temperature PP-fiber-reinforced mortar under uniaxial compressive stress.
1. Introduction
With the burgeoning development of urban architecture, there has been a commensurate increase in the incidence of fires, leading to adverse effects on the performance of concrete when subjected to high temperatures [1,2]. Such circumstances can inflict substantial economic losses. Simultaneously, many structures housing high-temperature industries remain exposed to elevated temperatures over extended periods. Thus, the ability of the concrete that is utilized in these buildings to withstand high temperatures becomes of paramount importance [3]. In terms of cement-based materials, high temperatures can engender transformative changes in the internal structure of the concrete, such as an increase in porosity within the mortar or concrete, diminishing the adhesive energy between the binding materials and aggregates. These alterations can precipitate a considerable degradation in the strength of the concrete [4,5,6,7]. The damage that is inflicted on concrete by high temperatures can be attributed to two main factors: the destructive accumulation of steam pressure [8] and the decomposition of C-S-H (calcium silicate hydrate) binding materials [9]. The dense internal structure of concrete hampers the evaporation and escape of free water and interlayer water that is caused by high temperatures. The ensuing accumulation of steam leads to internal stresses, which manifest as cracks, culminating in a loss of concrete strength.
Polymer fibers, constituting a category of macromolecular materials, are extensively harnessed in concrete. Customarily, such fibers are deployed to forestall the contraction and fracturing of concrete, thereby augmenting its resistance to impacts and enhancing its toughness. Research has demonstrated that polymer fibers can further ameliorate the degradation of concrete that is caused by elevated temperatures [10,11]. Owing to their propensity to melt and form minute channels at temperatures between 160 and 170 °C, the escape of water vapor that is induced by high temperatures is facilitated, leading to a reduction in the internal steam pressure within the concrete [12,13]. Through the study of incorporating polyacrylonitrile fiber into concrete and the ensuing variations in mechanical properties under diverse high-temperature conditions, Wang Zhiwang et al. [14] discerned that this fiber can bolster the compressive strength of concrete while restraining the internal deformations that are instigated by temperature fluctuations. Amancio et al. [15] ascertained that the addition of polypropylene (PP) fiber mitigates the spalling phenomenon in concrete following high-temperature exposure, and the content of the fiber has a significant influence on the compressive strength. Ezziane et al. [16] identified that under the high temperature of 500 °C, polypropylene fiber can elevate the bending strength and elastic modulus of mortar, although the enhancement in strength that is rendered by the fiber diminishes progressively with an increase in temperature. By employing recycled tire polymer fiber (RTPF), Chen Meng et al. [17] successfully attenuated the impact of high-temperature damage on concrete, uncovering that RTPF, after experiencing soft failure at high temperatures, enhances the concrete’s permeability, thereby minimizing the accumulation of steam pressure and resultant damage, with the optimal dosage being ascertained to be 1.2 kg/m3.
Based on the observations derived from previous studies, it becomes apparent that the existing research has primarily focused on the effects of high temperatures on the mechanical attributes of fiber-reinforced concrete, while investigations into the diverse impacts on fiber mortar’s various properties have been relatively scarce. By way of further exploration, the application of fiber mortar in an extended range of architectural implementations can be investigated. Consequently, this study examines the alterations in both the mechanical and thermal characteristics of mortar, infused with differing quantities of PP fibers, following exposure to various high-temperature settings and subsequently establishes a damage constitutive model for PP fiber mortar in the aftermath of elevated thermal conditions.
2. Experimental Investigation
2.1. Materials and Experimental Parameters
Cement: Ordinary Portland cement (OPC) of grade 42.5 was employed (the compressive strength at 28 days should not be less than 42.5 MPa). Sand: Continuously graded river sand was utilized, with a fineness modulus of 2.64, determined according to the “Building Sand” standard (GB/T14684-2022) [18]. Fiber: PP fiber with a length of 12 mm was used in this test, and the specific parameters are shown in Table 1. Water: Urban tap water was employed. Specimens: The PP fiber content was varied to create six groups (0%, 0.2%, 0.4%, 0.6%, 0.8%, and 1.0%), with temperature conditions of ambient temperature, 200 °C, 400 °C, 600 °C, 800 °C, and 1000 °C. A total of 108 mortar specimens measuring 40 × 40 × 160 mm were prepared for flexural strength testing, and 108 mortar specimens measuring 70.7 × 70.7 × 70.7 mm were prepared for compressive strength testing. The specific mix proportions are provided in Table 2.
Table 1.
Performance parameters of PP fiber raw materials.
Table 2.
Mix ratios of PP fiber mortar.
2.2. Experimental Program
2.2.1. Sample Preparation
Adhering to the experimental proportions described above, cementitious materials and sand were introduced into the mortar mixer for a dry mix duration of 5 min, ensuring homogeneous blending. Concurrently, fibers were incorporated based on the weight percentage of the solid materials. Upon achieving thorough mixing, water was added to facilitate a complete amalgamation of the mortar, with the mixing process being sustained for an additional 5 min. Subsequently to molding, the mortar specimens underwent an initial 24 h curing phase under standardized conditions, with a temperature of 20 ± 2 °C and a relative humidity exceeding 95%. Following demolding, the specimens were continuously cured under these stipulated conditions until reaching the 28-day mark.
2.2.2. Mortar Heat Treatment
The experiment was divided into six groups based on varying calcination temperatures, specifically ambient temperature, 200 °C, 400 °C, 600 °C, 800 °C, and 1000 °C. The calcination was conducted using a box-type resistance furnace for heating, as illustrated in Figure 1, with a heating rate of 10 °C/min [19,20,21]. Upon reaching the predetermined temperature, the furnace was held at a constant temperature for 4 h. Figure 2 depicts the method of heating the specimens. Subsequently, the high-temperature furnace was turned off, allowing the specimens to cool naturally within the furnace. Once the specimens had cooled to ambient temperature, the furnace was opened, and the specimens were extracted for measurement and analysis of their various properties. Figure 3 shows the surface of PP mortar samples after different high temperatures.
Figure 1.
High-temperature calciner.
Figure 2.
Heating mode.
Figure 3.
Mortar specimens after high-temperature exposure.
2.2.3. Testing Methods
The thermal conductivity experiment utilized the transient line heat method by employing the TC3000E thermal conductivity meter that was independently developed by Xi’an Xiaxi Electronics Technology Co., Ltd. (Xi’an, China), as shown in Figure 4. The testing of the mortar samples’ thermal conductivity was conducted in accordance with the operation standards stipulated in “Measurement of Thermal Conductivity and Thermal Diffusivity of Building Materials: Transient Plane Heat Source Method” (GB/T32064-2015) [22]. Utilizing the SHT4305 Universal Testing Machine, compressive and flexural strength tests were performed on the mortar specimens following the guidelines delineated in “Cement Mortar Strength Test Methods (ISO Method)” (GB/T17671-2021) [23]. The stress–strain relationship of cement mortar is derived from cylindrical specimen loading, conducted at a rate of 0.1 mm/min. Data from load and displacement sensors are automatically collected and subsequently processed to yield the stress–strain curve. Figure 5 shows the universal testing machine.
Figure 4.
Thermal conductivity instrument.
Figure 5.
Universal testing machine.
3. Results and Discussion
3.1. Thermal Conductivity
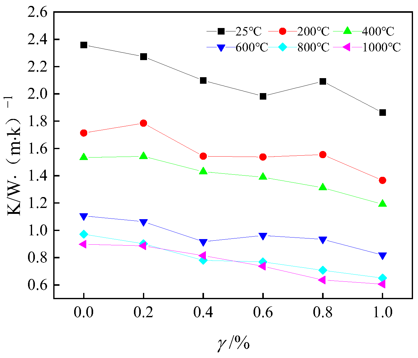
Figure 6 illustrates the effect of fiber content on the thermal conductivity of the PP fiber mortar. It is evident that the inclusion of fibers and elevated temperatures both influence the thermal conductivity of the mortar, with the latter being the primary factor. Following exposure to the same high temperature, the thermal conductivity of the mortar gradually diminishes with the increase in fiber content. When the fiber content is at 1% compared to non-fiber-reinforced mortar, the thermal conductivity reductions at various temperatures are 22%, 20%, 22%, 26%, 33%, and 33%. This indicates that rising temperatures enhance the ability of the fibers to decrease the mortar’s thermal conductivity. This is primarily due to the inherently low thermal conductivity of PP fibers; their inclusion inevitably leads to a decline in the mortar’s thermal performance [24]. After exposure to high temperatures, the PP fibers melt, leaving numerous pores and cracks within the mortar. These pores and cracks impede heat transfer, thus reducing the thermal conductivity. Figure 7 depicts the relationship between the thermal conductivity of PP fiber mortar and temperature. It distinctly demonstrates that the effect of a high temperature on thermal conductivity gradually levels off as the temperature increases, with reductions of 25%, 11%, 30%, 17%, and 4% for each subsequent temperature change. The thermal conductivity decreases significantly between 25 and 200 °C, as the evaporation of free water creates internal stress fractures that disrupt the mortar’s integrity, producing numerous cracks and holes. From 200 to 400 °C, the decrease slows down as the loss of absorbed water and interlayer water forms new pores without adding excessive cracks. Therefore, between 200 and 400 °C, the thermal conductivity decreases but at a reduced rate. From 400 to 600 °C, the thermal performance sharply declines as the dehydration decomposition of calcium hydroxide causes further deterioration in the mortar’s internal structure, forming an abundance of fine pores and cracks, leading to a substantial reduction in the mortar’s thermal conductivity [25].
Figure 6.
Trend chart of thermal conductivity of mortar with different fiber contents.
Figure 7.
Trend chart of thermal conductivity of high-temperature-exposed mortar.
According to the experimental data, the thermal performance of the PP fiber cement mortar as a function of the temperature is represented by the following mathematical equation:
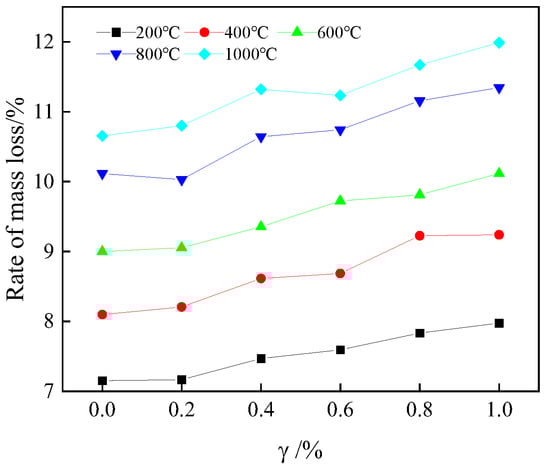
3.2. Mass Loss
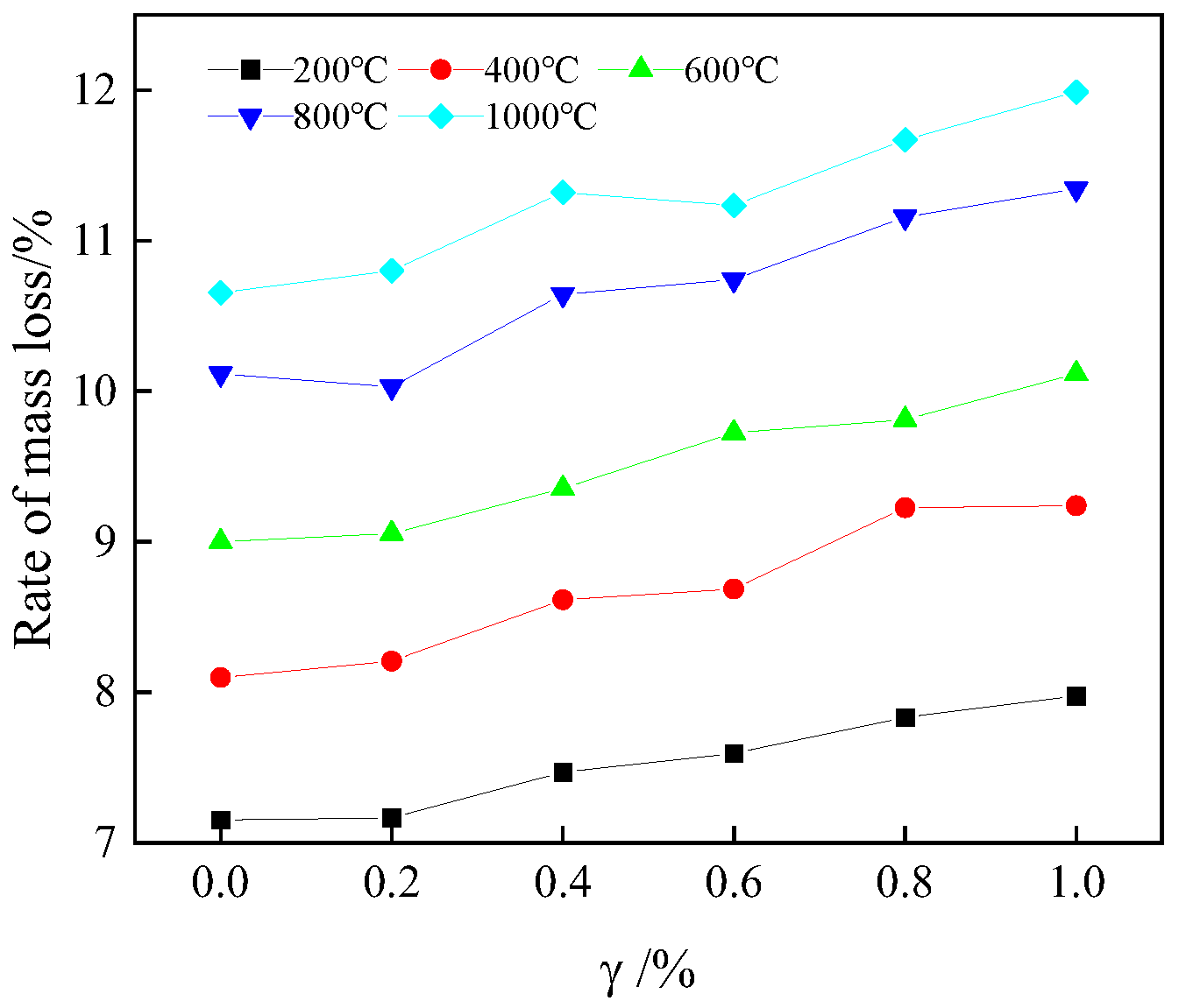
Figure 8 presents the curve of the mass loss rates for the PP fiber mortar following exposure to five different elevated temperatures. It reveals that the mass loss rates of the mortar samples with various fiber contents escalate linearly with increasing temperatures. After being exposed to 200 °C, the mass loss rates for all PP fiber contents range between 7.2% and 8.0%, attributed mainly to the evaporation of free water within the mortar. Following 400 °C exposure, the mass loss rates lie between 8.1% and 9.2%. At this temperature, in addition to free water, the physically adsorbed water and interlayer water als evaporate. Following 600 °C, the mass loss rates range from 9.0% to 10.1%, principally due to the decomposition of calcium hydroxide and dehydration of cementitious substances, thereby augmenting the mass loss. During the 800 °C–1000 °C stages, the mass loss rates are between 10.1–11.3% and 10.7–12.0%; the continual decomposition of C-S-H and calcium carbonate under the influence of high temperatures leads to an ongoing increase in mass loss. Furthermore, as can be discerned from Figure 9, after similar high-temperature exposure, the mass loss of the PP fiber mortar is slightly greater compared to the non-fiber-reinforced mortar, and this increment gradually increases. This phenomenon is caused by the polypropylene fibers’ melting point of 167 °C; once the temperature within the mortar exceeds this threshold, the fibers melt, and some of the melted fibers escape with water vapor, resulting in the formation and gradual connection of pores and fine cracks. The higher the fiber content is, the more melting and loss occurs, further amplifying the internal defects. Consequently, the mortar’s mass loss rate grows incrementally with increased fiber contents [26]. Nevertheless, when the PP fiber content is 0.2%, the mass loss rate due to high temperatures is relatively minimal compared to other fiber contents, and almost no mass loss occurs in comparison to in the non-fibered mortar.
Figure 8.
Trend chart of high-temperature mass loss rate.
Figure 9.
Trend diagram of fiber content–mass loss rate.
The mass loss rate of the PP fiber cement mortar as a function of temperature is represented by the following mathematical equation, according to the experimental data:
3.3. Compressive Strength
Figure 10 delineates the variation in the compressive strengths of specimens with differing fiber contents under elevated temperatures. As the temperatures increase, the compressive strengths of the specimens across all fiber concentrations consistently diminish. Between 200 °C and 800 °C, this decline in strength generally adheres to a linear trend. The specimens that were subjected to 200 °C exhibit a reduction in strength, albeit with a modest magnitude when contrasted to the decline between 200 °C and 800 °C. Conversely, between 800 °C and 1000 °C, the compressive strength remains essentially static. Exploring the causation, the elevated temperature at 200 °C triggers the vaporization of moisture, prompting unreacted cement within the mortar to undergo secondary hydration and leading to an increased formation of C-H-S. This compensates for the strength losses induced by the emergence of substantial pores and minor cracks due to the evaporation of free water. As the temperature oscillates between 200 °C and 800 °C, internal materials in the mortar dehydrate and decompose under the thermal influence, culminating in the generation of significant voids, thus markedly reducing the strength. However, during the 800 °C to 1000 °C phase, the cementitious substances within the mortar are largely dissipated by 800 °C, resulting in negligible strength variations between 800 °C and 1000 °C [27]. The compressive strength of the PP fiber mortar when subjected to high temperatures (200 °C, 400 °C, 600 °C, 800 °C, and 1000 °C) exhibits a gradient decrease, which can primarily be attributed to the evaporation of free water in the cement at 200 °C, leading to a reduction in strength. Between 400 °C and 800 °C, the cement matrix within the mortar undergoes both expansion and contraction, resulting in the formation of microcracks and macroscopic cracks. These induced cracks further degrade the compressive strength of the mortar. Additionally, as the temperature increases, the mineral components of the cement may undergo partial phase transformations, including the structural degradation of C-S-H (calcium silicate hydrate) gel, which further weakens the material. This progressive deterioration of the cement matrix leads to a continuous, gradient-like decline in compressive strength.
Figure 10.
Temperature–compressive strength trend chart.
Figure 11 delineates the variation curve of the mortar’s compressive strength in relation to the quantity of PP fiber. It is evident that at an ambient temperature or 200 °C, the mortar strength is optimized at a PP fiber content of 0.2%, exhibiting a respective increase of 8.2% and 1.6% over the non-fiber-reinforced specimens. This phenomenon is primarily attributed to the bridging effect of the fibers. When the mortar is subjected to loading and cracks initiate, the PP fibers can bridge across the crack faces, thereby restraining further crack propagation. The fibers contribute to carrying a portion of the stress across the crack, which suppresses crack growth and delays the onset of brittle fracture, leading to a significant improvement in the material’s mechanical strength. Any further increase in fiber leads to a reduction in the mortar’s strength, although a slight resurgence in strength is noted at a fiber content of 0.6%; this value, however, remains inferior to the strength of mortar without PP fiber inclusion. Between 400 °C and 1000 °C, the mortar’s compressive strength exhibits a progressively declining trend with the augmentation of the fiber content. This phenomenon primarily stems from the melting and escape of PP fibers under elevated temperatures, leaving voids and fissures in situ. Furthermore, as the fiber content increases, the increased melting and escapement of the fiber exacerbate the internal deterioration of the mortar, consequently diminishing its compressive strength.
Figure 11.
Fiber content—compressive strength trend chart.
3.4. Flexural Strength
Figure 12 illustrates the impact of temperature on the flexural strength of the PP fiber mortar. As depicted, the flexural strength of the mortar with varying PP fiber contents manifests as a declining trend, with the specimen strength diminishing progressively with the rising temperature. Within the ambient to 200 °C range, the decrease in flexural strength is gradual, with a reduction ranging from 1.47% to 11.15% following exposure to 200 °C, relative to ambient temperature specimens. Beyond 200 °C, the deleterious effect of an elevated temperature on the PP fiber mortar’s flexural strength intensifies, leading to a precipitous decline in flexural strength from 200 °C to 600 °C, with reductions ranging from 33.3% to 40.6% at 400 °C and from 80.7% to 85.8% at 600 °C. Above 600 °C, the decline in strength decelerates, with both the 800 °C and 1000 °C specimens displaying strength losses between 81% and 95% compared to the ambient-temperature specimens, a slight decline at 800 °C relative to 600 °C, and virtually no change in strength from 800 °C to 1000 °C. Figure 13 portrays the curve of the flexural strength in relation to the fiber content, revealing that at an ambient temperature and 200 °C, the mortar’s strength peaks with a PP fiber content of 0.2%. Hence, within the ambient to 200 °C temperature range, the optimal inclusion rate of PP fiber in mortar is 0.2%. When the content exceeds 0.2%, the mortar’s strength declines in correlation with the increase in fiber content, exhibiting a linear decrease in strength with the augmentation of PP fiber from 400 °C to 1000 °C. At 200 °C, the channels that are formed by the melting of polypropylene (PP) fibers facilitate the complete evaporation of moisture within the cement matrix, without compromising the structural integrity of the cementitious material. However, when the temperature exceeds 200 °C, the cement matrix begins to degrade, leading to the gradual development of internal cracks. These microcracks and macrocracks within the mortar are more susceptible to propagation under bending stresses, with cracks rapidly advancing due to localized stress concentrations, resulting in a significant reduction in flexural strength. Consequently, between 200 °C and 600 °C, the flexural strength of the mortar decreases substantially. At 600 °C, large through-cracks have already formed within the mortar, leading to failure under bending loads. As a result, the variation in flexural strength beyond 600 °C becomes minimal.
Figure 12.
Effect of temperature on flexural strength of PP fiber mortar.
Figure 13.
Effect of fiber content on flexural strength of PP fiber mortar.
3.5. Stress–Strain Curve of Polypropylene Fiber After High Temperature
Figure 14 delineates the relationship between the stress–strain curve of the PP fiber mortar after exposure to elevated temperatures. It can be discerned that below 200 °C, the stress–strain curve of the mortar without added fiber reaches peak stress and descends swiftly, culminating in brittle failure. Conversely, in the 400 °C to 1000 °C range, the mortar’s stress–strain curve—whether in its ascending or descending segments—becomes markedly gradual. Overall, as the temperature increases, the slope of the stress–strain curve of the PP fiber mortar progressively decreases, with the peak point shifting to the right and becoming more gradual. Additionally, the downward trajectory of the curve exhibits a continuous reduction in its steepness. At a constant temperature, the stress–strain curves of mortars with varying PP fiber contents display distinct variations. With an increase in fiber content, the slope of the stress–strain curve progressively decreases, and the curve becomes smoother at the peak point. During the post-peak descending phase, the curve for the mortar without PP fibers exhibits a sharp reduction in stress, whereas the stress–strain curves of the fiber-reinforced mortars show a gradual attenuation in the rate of decline, with the decrease becoming less pronounced as the fiber content increases.
Figure 14.
Stress–strain curve of PP mortar after high temperatures: (a) ; (b) ; (c) ; (d) ; (e) ; (f) .
Under ambient conditions, the integration of PP fibers substantially augments the ductile characteristics of the mortar’s stress–strain curve, with the fiber mortar’s stress–strain trajectory manifesting a more subdued decline compared to that without fiber addition. This phenomenon is principally attributed to the effect of PP fiber of inhibiting crack propagation and dissipating energy [28]. Fibers serve to impede further crack propagation and enhance the material’s deformability. During the crack propagation process, they effectively absorb and dissipate energy, thereby decelerating the failure progression. This increased energy dissipation contributes to the mortar’s enhanced toughness under higher loading conditions. PP fibers not only elevate the peak stress of the mortar but also render the descending segment of the stress–strain curve gentler and more robust. Furthermore, PP fibers optimize the internal pore structure of the mortar, thereby diminishing the generation of deleterious pores [29,30]. However, above 200 °C, the descending segment of the stress–strain curve of mortar with different PP fiber contents exhibits analogous changes, demonstrating that under high-temperature conditions, PP fibers cannot effectively ameliorate the mortar’s inherent brittle characteristics.
With the increase in temperature, the forms of the stress–strain curves of each mortar group progressively flatten; the peak points of the curves shift rightwards and downwards; and the stiffness rapidly degenerates. The peak strain of the mortar variably enlarges, with the cement mortar exposed to 1000 °C exhibiting a 1.2–2.1-fold increment in peak strain compared to the fiber cement mortar at an ambient temperature. The peak strain of the PP fiber mortar exhibits a gradual decrease as the temperature increases. Under high-temperature conditions, the tangent modulus of the mortar gradually diminishes, with the cement mortar demonstrating a decline of approximately 90% in tangent modulus compared to the fiber cement mortar at an ambient temperature after exposure to 1000 °C. This occurs as the internal binding substances within the fiber mortar are altered and the PP fibers melt, resulting in a gradual increase in the mortar’s porosity and a corresponding reduction in density [16]. This is primarily characterized by an increase in internal porosity and a decrease in density as the temperature increases. The material’s structure progressively becomes more porous, resulting in a reduction in stiffness and a decline in the tangent modulus. The mortar’s tangent modulus is generally influenced by the specimen’s porosity and density. In general, the tangent modulus of PP-fiber-reinforced mortar decreases progressively as the temperature increases. Figure 15 and Figure 16 depict the influence of temperature on the peak strain and tangent modulus of the PP fiber mortar.
Figure 15.
Effect of high temperatures on peak strain of PP mortar.
Figure 16.
Effect of high temperature on tangent modulus of PP mortar.
4. Statistical Damage Model
4.1. Model Building
Based on continuum damage mechanics, the high temperature can be obtained after the action of damage-constitutive relations in the fiber mortar [31]:
where is stress, is strain, is the mortar tangent modulus, and is the damage variable of the mortar.
Considering the heterogeneity and randomness of the initial defects in the sample of geomeric mortar, a two-parameter Weibull distribution can be used to describe the distribution law of the micro-element strength of the geomeric mortar, and its probability density function is as follows:
where , are shape parameters and scale parameters, respectively.
And the ratio of the number of destroyed elements to the total number of elements is used to define the damage variable D as follows:
where is the total damage variable of the mortar, is the number of damaged units under load, and is the total number of units.
Simultaneously, (4) and (5) can obtain a damage evolution equation for mortar:
Substituting Equation (6) into Equation (3) obtains the damage-constitutive relationship of the fiber mortar under load after experiencing T at a high temperature:
Parameters m and a in Equation (7) can be determined arbitrarily from the peak point on the stress–strain curve of the mortar, obtained under uniaxial compression. At the peak point, there are boundary conditions , , and , where and are the peak stress and peak strain, respectively. Therefore, it can be obtained that
Further derivation can be obtained:
By sorting out Equation (9), it can be obtained that
Substituting Equation (10) into Equation (7), the following can be obtained:
Parameters m and a reflect the distribution characteristics of the defects inside the material, while different high-temperature effects and fiber contents will make the distributions of defects inside the materials different, so parameters m and a are also different. From Type (10) and Type (11), the parameters m, a, mortar peak stress, peak strain, and modulus of elasticity can be identified. Therefore, through the establishment of the temperature and fiber content and the peak stress, peak strain, and change in the elastic modulus relation, an estimation of the statistical constitutive model of the damage to the fiber mortar after high temperatures can be obtained based on the normal temperature without adding a fiber mortar stress–strain relationship that is driven by a high temperature after the action of a fiber mortar stress–strain curve.
where is the damage variable considering the interaction between the high temperature and fiber, and is the tangent modulus of any interaction between the high temperature and fiber. , , and are the tangent modulus, peak stress, and peak strain of undoped fiber mortar at room temperature, respectively. and are the mortar material parameters after an arbitrary high temperature and fiber action, respectively; is the relationship between the mortar tangent modulus, high temperature , and fiber content . is the relationship between the peak stress of the mortar, high temperature , and fiber content . is the relationship between the peak strain of the mortar, high temperature , and fiber content .
According to Equation (12), by determining the parameters , , and and the relationships , , and with the temperature and fiber content, the statistical constitutive model of the damage to the fiber mortar considering the effect of high temperatures can be obtained.
4.2. Model Validation
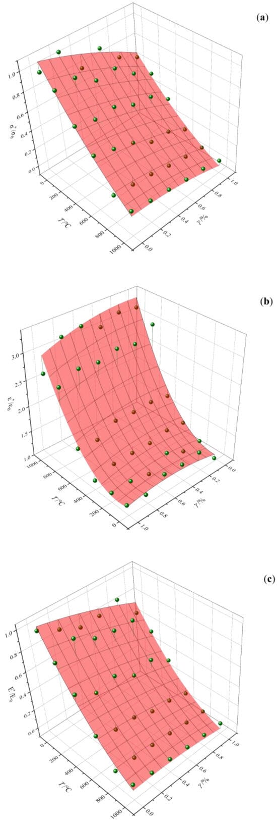
By analyzing the data obtained from the experiment, the relationships between various temperatures and fiber contents with respect to the mortar’s peak stress, peak strain, and tangent modulus can be delineated, as illustrated in Figure 17. The fitted surface in the figure aligns well with the experimental values. As the temperature rises, both the ratio of the mortar’s peak stress and the ratio of the elastic modulus gradually decrease, demonstrating a linear trend of reduction; conversely, the peak strain gradually increases with the temperature’s elevation. Between 25 and 400 °C, the ratio of E/E0 experiences a relatively gentle growth, whereas the rate of increase in the tangent modulus ratio accelerates when the temperature exceeds 400 °C. In contrast to the temperature, the influence of the fiber content on the mortar is more negligible. An increase in fiber content will gradually diminish the ratio of the peak stress and tangent modulus of the mortar at different temperatures, but its impact on the proportion of the peak strain is minimal.
Figure 17.
The relationship between mortar parameters and temperature and fiber content (a) with respect to and ; (b) with respect to and ; (c) with respect to and .
The relationships between the temperature and fiber content and the mortar’s peak stress, peak strain, and tangent modulus can be summarized, as shown in Table 3.
Table 3.
Parametric equation.
The relationship between different parameters and the temperature and fiber content can be obtained as follows:
By substituting Equation (13) into Equation (12), one can derive the mortar’s statistical damage-constitutive model, considering the effects of both temperature and fiber. This enables the determination of the complete stress–strain curve for the mortar under arbitrary high temperatures and fiber actions, based on the stress–strain curve that was obtained at room temperature without fiber inclusion. Figure 11 contrasts the results of the full uniaxial compression curve of the mortar following various high-temperature treatments with different fiber contents, as calculated by the model, with the predicted full curve. It can be discerned from Figure 18 that the stress–strain curves that were derived from the constitutive model are in commendable alignment with the experimental curves, and they aptly predict the trends in the stress–strain relationship changes under different high temperatures and varying fiber contents.
Figure 18.
The theoretical curve results of the model were compared with the experimental curve results: (a) ; (b) ; (c) ; (d) ; (e) ; (f) .
5. Conclusions
This paper investigated the effects of high-temperature treatment and different fiber contents on the thermal conductivity and mechanical properties of cement mortar, summarizes the laws governing the strength damage of the fiber-reinforced cement mortar under high temperatures, and analyzes the mechanisms by which various high-temperature treatments and PP fiber contents influence the cement mortar. The following conclusions were reached:
- (1)
- At room temperature, PP fiber enhances the microstructure of the cement mortar by optimizing the pore interaction and fracture energy dissipation, significantly increasing the mortar’s compressive and flexural strength, while mitigating its brittle characteristics and enhancing its ductility. The mortar’s thermal conductivity progressively diminishes as the content of PP fiber increases, with the rate of mass loss exhibiting a linear increment trend.
- (2)
- Following exposure to high temperatures, the fiber-reinforced mortar undergoes varying degrees of deterioration and destruction, primarily manifesting as a reduction in mortar mass and decline in mechanical properties. When the temperature is below 800 °C, the mortar’s compressive strength gradually decreases as the temperature rises. The compressive strength of the fiber-reinforced mortar shows no significant change between 800 °C and 1000 °C. The mortar’s flexural strength decreases moderately between 25 °C and 200 °C and then drops sharply from 200 °C to 600 °C, where the mortar’s internal deterioration due to temperature is pronounced. When the temperature exceeds 600 °C, its impact on the mortar’s flexural strength is minimal. Generally, the mortar’s mechanical performance is optimized at a PP fiber content of 0.2% following treatment at 25 °C and 200 °C, whereas above 400 °C, the addition of PP fiber tends to reduce the mortar’s strength.
- (3)
- Based on Lemaitre’s hypothesis of strain equivalence and the dual-parameter Weibull statistical distribution theory, a statistical constitutive model of mortar damage considering high temperatures and fiber content factors has been proposed. This model can be applied to future research and practical applications.
Author Contributions
Conceptualization, H.C. and D.L.; methodology, H.C.; software, H.C.; validation, H.C. and D.L.; formal analysis, D.L.; investigation, H.C.; resources, D.L.; data curation, D.L.; writing—original draft preparation, H.C.; writing—review and editing, H.C.; visualization, D.L.; supervision, D.L.; project administration, D.L. All authors have read and agreed to the published version of the manuscript.
Funding
The National Natural Science Foundation of China, Grant/Award Numbers: 42061011, 41977236; Natural Science Foundation of Jiangxi Province, China, Grant/Award Number: 20192ACBL20002; and Science and Technology Project of Xinjiang Corps of China, Grant/Award Number: 2020AB003.
Data Availability Statement
Data will be made available on request.
Conflicts of Interest
The authors declare no conflicts of interest.
References
- Ogrodnik, P.; Szulej, J. The impact of aeration of concrete based on ceramic aggregate, exposed to high temperatures, on its strength parameters. Constr. Build. Mater. 2017, 157, 909–916. [Google Scholar] [CrossRef]
- Düğenci, O.; Haktanir, T.; Altun, F. Experimental research for the effect of high temperature on the mechanical properties of steel fiber-reinforced concrete. Constr. Build. Mater. 2015, 75, 82–88. [Google Scholar] [CrossRef]
- Moghadam, M.A.; Izadifard, R.A. Effects of zeolite and silica fume substitution on the microstructure and mechanical properties of mortar at high temperatures. Constr. Build. Mater. 2020, 253, 119206. [Google Scholar] [CrossRef]
- Siddique, R.; Kaur, D. Properties of concrete containing ground granulated blast furnace slag (GGBFS) at elevated temperatures. J. Adv. Res. 2012, 3, 45–51. [Google Scholar] [CrossRef]
- Awal, A.A.; Shehu, I.; Ismail, M. Effect of cooling regime on the residual performance of high-volume palm oil fuel ash concrete exposed to high temperatures. Constr. Build. Mater. 2015, 98, 875–883. [Google Scholar] [CrossRef]
- Guo, Z.; Zhuang, C.; Li, Z.; Chen, Y. Mechanical properties of carbon fiber reinforced concrete (CFRC) after exposure to high temperatures. Compos. Struct. 2021, 256, 113072. [Google Scholar] [CrossRef]
- Novák, J.; Kohoutková, A. Fire response of Hybrid Fiber Reinforced Concrete to High Temperature. Procedia Eng. 2017, 172, 784–790. [Google Scholar] [CrossRef]
- Çavdar, A. The effects of high temperature on mechanical properties of cementitious composites reinforced with polymeric fibers. Compos. Part B Eng. 2013, 45, 78–88. [Google Scholar] [CrossRef]
- El-Diadamony, H.; Amer, A.A.; Sokkary, T.M.; El-Hoseny, S. Hydration and characteristics of metakaolin pozzolanic cement pastes. Hbrc. J. 2018, 14, 150–158. [Google Scholar] [CrossRef]
- Durgun, M.Y.; Özen, S.; Karakuzu, K.; Kobya, V.; Bayqra, S.H.; Mardani-Aghabaglou, A. Effect of high temperature on polypropylene fiber-reinforced mortars containing colemanite wastes. Constr. Build. Mater. 2022, 316, 125827. [Google Scholar] [CrossRef]
- Han, J.; Zhao, M.; Chen, J.; Lan, X. Effects of steel fiber length and coarse aggregate maximum size on mechanical properties of steel fiber reinforced concrete. Constr. Build. Mater. 2019, 209, 577–591. [Google Scholar] [CrossRef]
- Çavdar, A. A study on the effects of high temperature on mechanical properties of fiber reinforced cementitious composites. Compos. Part B Eng. 2012, 43, 2452–2463. [Google Scholar] [CrossRef]
- Rudnik, E.; Drzymała, T. Thermal behavior of polypropylene fiber-reinforced concrete at elevated temperatures. J. Therm. Anal. Calorim. 2018, 131, 1005–1015. [Google Scholar] [CrossRef]
- Hiremath, P.N.; Yaragal, S.C. Performance evaluation of reactive powder concrete with polypropylene fibers at elevated temperatures. Constr. Build. Mater. 2018, 169, 499–512. [Google Scholar] [CrossRef]
- Amancio, F.A.; de Carvalho Rafael, M.F.; de Oliveira Dias, A.R.; Cabral, A.E.B. Behavior of concrete reinforced with polypropylene fiber exposed to high temperatures. Procedia Struct. Integr. 2018, 11, 91–98. [Google Scholar] [CrossRef]
- Ezziane, M.; Kadri, T.; Molez, L.; Jauberthie, R.; Belhacen, A. High temperature behaviour of polypropylene fibres reinforced mortars. Fire Saf. J. 2015, 71, 324–331. [Google Scholar] [CrossRef]
- Eidan, J.; Rasoolan, I.; Rezaeian, A.; Poorveis, D. Residual mechanical properties of polypropylene fiber-reinforced concrete after heating. Constr. Build. Mater. 2019, 198, 195–206. [Google Scholar] [CrossRef]
- GB/T 14684-2022; Standardization Administration of China. Aggregates for Concrete. China Standards Press: Beijing, China, 2022.
- Zhou, Z.; Zhang, H.; Li, L. Thermal and mechanical properties of concrete subjected to high temperatures at different heating rates. J. Build. Mater. 2023, 30, 213–224. [Google Scholar]
- Wang, S.; Li, Y.; Li, Q. Effect of heating rate on the compressive strength of concrete under high temperatures. Constr. Build. Mater. 2024, 345, 130924. [Google Scholar]
- Kim, J.; Lee, S.; Park, H. Influence of temperature rise rate on the structural performance of concrete exposed to fire conditions. Mater. Sci. Eng. A 2023, 867, 144298. [Google Scholar]
- GB/T 32064-2015; Standardization Administration of China. Test Method for Determining the Environmental Impact of Products. China Standards Press: Beijing, China, 2015.
- GB/T 17671-2021; Standardization Administration of China. Method of Testing Cement: Determination of Compressive Strength. China Standards Press: Beijing, China, 2021.
- Zhang, T.; Zhang, Y.; Zhu, H.; Yan, Z. Characterizing the thermal properties of hybrid polypropylene-steel fiber reinforced concrete under heat exposure: Insights into fiber geometry and orientation distribution. Compos. Struct. 2021, 275, 114457. [Google Scholar] [CrossRef]
- Li, Q.-H.; Sun, C.-J.; Xu, S.-L. Thermal and mechanical properties of ultrahigh toughness cementitious composite with hybrid PVA and steel fibers at elevated temperatures. Compos. Part B Eng. 2019, 176, 107201. [Google Scholar] [CrossRef]
- Mohammadhosseini, H.; Alrshoudi, F.; Tahir, M.M.; Alyousef, R.; Alghamdi, H.; Alharbi, Y.R.; Alsaif, A. Durability and thermal properties of prepacked aggregate concrete reinforced with waste polypropylene fibers. J. Build. Eng. 2020, 32, 101723. [Google Scholar] [CrossRef]
- Yao, Y.; Wang, B.; Zhuge, Y.; Huang, Z. Properties of hybrid basalt-polypropylene fiber reinforced mortar at different temperatures. Constr. Build. Mater. 2022, 346, 128433. [Google Scholar] [CrossRef]
- Cao, M.; Zhang, C.; Li, Y.; Wei, J. Using Calcium Carbonate Whisker in Hybrid Fiber-Reinforced Cementitious Composites. J. Mater. Civ. Eng. 2015, 27, 04014139. [Google Scholar] [CrossRef]
- Li, L.; Cao, M.; Ming, X.; Yin, H.; Sun, Y.N. Microstructure of calcium carbonate whisker reinforced cement paste after elevated temperature exposure. Constr. Build. Mater. 2019, 227, 116609. [Google Scholar] [CrossRef]
- Cao, M.; Xu, L.; Zhang, C. Rheology, fiber distribution and mechanical properties of calcium carbonate (CaCO3) whisker reinforced cement mortar. Compos. Part A Appl. Sci. Manuf. 2016, 90, 662–669. [Google Scholar] [CrossRef]
- Zhu, Z.; Tian, H.; Wang, R.; Jiang, G.; Dou, B.; Mei, G. Statistical thermal damage constitutive model of rocks based on Weibull distribution. Arab. J. Geosci. 2021, 14, 495. [Google Scholar] [CrossRef]
Disclaimer/Publisher’s Note: The statements, opinions and data contained in all publications are solely those of the individual author(s) and contributor(s) and not of MDPI and/or the editor(s). MDPI and/or the editor(s) disclaim responsibility for any injury to people or property resulting from any ideas, methods, instructions or products referred to in the content. |
© 2025 by the authors. Licensee MDPI, Basel, Switzerland. This article is an open access article distributed under the terms and conditions of the Creative Commons Attribution (CC BY) license (https://creativecommons.org/licenses/by/4.0/).

















