Next Article in Journal
Research on Concrete Crack Damage Assessment Method Based on Pseudo-Label Semi-Supervised Learning
Next Article in Special Issue
Computational Design and Optimization of Discrete Shell Structures Made of Equivalent Members
Previous Article in Journal
Numerical and Experimental Evaluation of Axial Load Transfer in Deep Foundations Within Stratified Cohesive Soils
Previous Article in Special Issue
Research on the Mechanical Behavior of External Composite Steel Bar Under Cyclic Tension-Compression Loading
 
 
Font Type:
Arial Georgia Verdana
Font Size:
Aa Aa Aa
Line Spacing:
Column Width:
Background:
Article

Numerical Study of Chemo–Mechanical Coupling Behavior of Concrete

1
Foshan Shunde District Agent Construction Project Center, Foshan 528300, China
2
State Key Laboratory of Geomechanics and Geotechnical Engineering Safety, Institute of Rock and Soil Mechanics, Chinese Academy of Sciences, Wuhan 430071, China
*
Author to whom correspondence should be addressed.
Buildings 2025, 15(15), 2725; https://doi.org/10.3390/buildings15152725
Submission received: 2 July 2025 / Revised: 24 July 2025 / Accepted: 29 July 2025 / Published: 1 August 2025

Abstract

Subsurface mass concrete infrastructure—including immersed tunnels, dams, and nuclear waste containment systems—frequently faces calcium-leaching risks from prolonged groundwater exposure. An anisotropic stress-leaching damage model incorporating microcrack propagation is developed for underground concrete’s chemo–mechanical coupling. This model investigates stress-induced anisotropy in concrete through the evolution of oriented microcrack networks. The model incorporates nonlinear anisotropic plastic strain from coupled chemical–mechanical damage. Unlike conventional concrete rheology, this model characterizes chemical creep through stress-chemical coupled damage mechanics. The numerical model is incorporated within COMSOL Multiphysics to perform coupled multiphysics simulations. A close match is observed between the numerical predictions and experimental findings. Under high stress loads, calcium leaching and mechanical stress exhibit significant coupling effects. Regarding concrete durability, chemical degradation has a more pronounced effect on concrete’s stiffness and strength reduction compared with stress-generated microcracking.

1. Introduction

Large underground concrete structures, such as immersed tunnels, dams, and radioactive waste disposal repositories, are subject to not only to mechanical loading but also to chemical degradation when they are in contact with aggressive water, which will cause damage to the structure and seriously affect the durability of the concrete structure [1]. Exposure to aggressive water causes calcium ions to leach from concrete, resulting in cement paste dissolution and consequent deterioration of mechanical performance. This kind of chemical degradation is called calcium leaching and is often accompanied by mechanical damage in underground concrete structures [2,3]. For example, the Lungui Road immersed tube tunnel in Foshan, China which crosses the city’s inland river is an ultra-wide structure with a section width of up to 40.5 m. Due to uneven settlement and external loads, local microcracks often occur in this ultra-wide structural section tunnel. These mechanically generated fractures not only introduce directional property variations and diminish structural performance but also enhance fluid transport and promote calcium dissolution [1,2,3]. Therefore, based on the above practical engineering problems, we present an anisotropic damage model coupling stress and leaching effects through microcrack propagation for underground concrete performance evaluation.
Extensive studies have been carried out in recent decades regarding calcium dissolution phenomena in cementitious composites [1,2,3]. Early investigations primarily examined cement paste and mortar samples. The change of mineral composition of cement after leaching was studied by Faucon [4]. Experimental data revealed significant calcium leaching out along with minor silicon dissolution, while iron and magnesium accumulated at the specimen’s surface. Adenot’s [5] experiments analyzed mineral transformations during calcium ion leaching. Mass changes in the cement matrix and pH variations in the solution indicated that only calcium and hydroxyl ions diffused outward. Mineralogical analysis revealed three concentric zones in the leached region, delimited by dissolution fronts of portlandite (CH), monosulfoaluminate, and ettringite. Additionally, the calcium/silica (C/S) ratio was observed to progressively decrease in leached zones with calcium depletion. Based on experimental observations [6,7], Adenot [5] established a piecewise linear relationship between the calcium-to-silica (C/S) ratio and calcium ion concentration in solutions. Gerard [8] attributed C/S ratio variations to solid-phase calcium dissolution into solution. This calcium leaching increases porosity, subsequently weakening mechanical properties. Consequently, Gerard identified calcium dissolution equilibrium as the critical factor for modeling leaching processes. Building on Adenot’s findings, Gerard [8,9] developed an analytical chemical equilibrium equation governing solid and dissolved calcium phases. Bellégo [10] investigated the chemo–mechanical response of mortar beams undergoing calcium leaching, observing increased structural brittleness and reduced fracture energy as a result. Zhou, Babaahmadi, and Carde [11,12,13] studied the accelerating methods for calcium leaching, such as the electrochemical method and leaching with ammonium nitrate. Gérard [9] established a nonlinear diffusion model based on the law of thermodynamic equilibrium to simulate the diffusion process of calcium ions in cement-based materials. Cement paste and mortar studies provide only qualitative insights into leached cementitious material behavior. Quantitative analysis of concrete calcium leaching was achieved by Nguyen [14] through controlled uniaxial compression experiments. Experimental findings demonstrate that aggregates influence both calcium dissolution behavior and enhance concrete’s plastic strain capacity. An’s research [15] revealed that aggregates substantially influence calcium leaching behavior in cementitious systems, improving leaching resistance. Jiang [16] studied the resistances of different kinds of cement (Low-Heat Cement, Moderate-Heat Cement, and Ordinary Portland Cement) to calcium Leaching. Through three-point bending tests, Kargari [17] investigated the fracture behavior of leached concrete, observing a significant reduction in fracture toughness. Scholars then shifted their attention to the stress-leaching coupling study of concrete. These studies include uniaxial creep tests by Torrenti [18] and three-point bending tests on concrete by Schneider and Choi [19,20]. These chemical–mechanical coupling studies show that calcium leaching and stress-induced damage promote each other and accelerate the deterioration of concrete. Numerous computational models have been developed to simulate calcium leaching and its chemical degradation effects on concrete. Based on continuum damage mechanics, Bellégo and Gérard [21] developed a chemo–mechanical coupling framework for analyzing damage in cementitious beams. This model exhibits high sensitivity to the intact material’s tensile strength and fracture energy parameters. In reference [22], Kurl developed a coupled chemical–mechanical coupling model using displacement vectors and calcium concentrations as key parameters. Jia’s numerical framework [23] incorporated chemo–mechanical coupling in cement paste, accounting for plastic shear deformation and pore collapse mechanisms. Current research extends to investigating the combined deterioration effects of calcium leaching and other deleterious ions on concrete performance [2]. However, most of these numerical models are based on isotropic elastoplastic models derived from macroscopic phenomenological theories. These models are more suitable for plastic flow materials such as cement paste or cement mortar, but are not applicable to elastic–brittle concrete materials. Due to the heterogeneity of concrete materials, cracks are generated inside the brittle materials under stress [24,25]. Mechanically generated fractures induce nonlinear stress–strain behavior and directional property variations in concrete [26,27,28,29]. However, there are relatively few studies considering the anisotropic chemical–mechanical coupling effects. This study develops an anisotropic damage coupling framework accounting for concrete’s inherent brittleness and internal crack propagation characteristics.
In this model, stress-induced cracks in concrete are regarded as mechanical damage variables, and the relationship between mechanical damage and concrete properties (elastic constant, plastic strain, and chemical damage) is established using mesomechanics. The concrete mechanical damage evolution equation is established using fracture mechanics methods. The model not only considers the anisotropy of concrete deformation, but also includes the anisotropy of calcium leaching. The damage mechanics foundation enables explicit consideration of concrete’s post-peak softening behavior. This model includes the damage-induced irreversible plastic strain, so the model can also be applied to concrete unloading conditions. Different from the traditional rheological mechanism of concrete, this model uses the chemical–mechanical coupling principle to describe the chemical creep characteristics of concrete. Section 1 presents a comprehensive description of the anisotropic chemo–mechanical model. Section 2 details the numerical implementation of the model in COMSOL Multiphysics, followed by validation through multiphysics coupling simulations. Finally, Section 3 provides relevant discussions and conclusions.

2. Chemical–Mechanical Coupling Model

Under coupled calcium leaching and mechanical loading, underground concrete structures undergo accelerated degradation, compromising their long-term durability. This study develops a chemo–mechanical coupled damage model to characterize concrete behavior under coupled effects of chemical leaching and stress loading. The model comprises two modules: the anisotropic damage mechanical model and the calcium-leaching model. These modules characterize concrete’s nonlinear anisotropic mechanical behavior and calcium ion diffusion–reaction processes, respectively. To characterize stress-chemical coupling, this study defines two damage variables: a mechanical damage variable driven by internal crack propagation, and a chemical damage variable determined by porosity increase from calcium leaching. The two model modules are interconnected through dual damage variables, forming a coupled framework that comprehensively describes concrete’s chemo–mechanical coupling characteristics.

2.1. Anisotropic Damage Mechanical Model

As an elastic–plastic material, concrete will produce a certain amount of plastic deformation under stress. To facilitate characterization of concrete’s mechanical behavior, we employ separate formulations for elastic and plastic strain parts. Elastic strains are governed by an anisotropic elastic damage constitutive relation, while plastic strains follow an anisotropic damage plasticity model. Both constitutive formulations incorporate mechanical and chemical damage variables.
The strain ε of concrete includes elastic and plastic parts,
ε = ε e + ε p D , d c , ε e = K D , d c : σ
where ε e represents elastic strain; ε p D , d c represents plastic strain, which is functionally dependent on both mechanical ( D ) and chemical ( d c ) damage variables; σ represents the stress tensor; and the elastic compliance tensor K D , d c is mathematically expressed as a function of both mechanical ( D ) and chemical ( d c ) damage variables. Experimental evidence reveals that microcracks propagate preferentially along maximum compressive stress trajectories, inducing directional dependence in concrete’s material characteristics. Due to the orientation of stress-induced cracks, stress-induced anisotropy for most concrete can be simplified to orthogonal anisotropy [30]. Building upon Lubarda’s mesomechanical framework [30], we derive the following crack-based damage tensor:
D = k = 1 3 r 3 r 0 3 n n k
The vector n denotes the crack plane’s normal orientation; r is the relative crack length, which is a macro variable and quantifies localized damage severity along the n -direction; and r 0 is the initial value of the relative crack length. Many scholars’ [31,32] research on brittle materials has revealed that fracture propagation preferentially aligns with maximum compressive stress directions. These stress-induced fractures, fundamentally tensile in nature, demonstrate growth primarily governed by the mode I stress intensity factor K I . K I is determined by both local tensile stress fields and external confinement pressures. Generally speaking, the expression of local tensile stress is relatively complex and is related to various factors (such as pore shape, elastic mismatch, dislocation, and cracks) [33,34]. In concrete systems, localized tensile stresses primarily originate from the elastic property mismatch between mortar matrix and aggregate inclusions. Costin and Shao’s model [26,28] postulates a proportional relationship between microcrack-scale tensile stresses and macroscopic deviatoric stress. Given the impracticality of tracking individual microcrack development, this study employs a macroscopic equivalent fracture evolution model [26]
F n σ , n , r = 2 π π r σ k k / 3 + g r n S n K I c d c
where σ k k / 3 represents the hydrostatic pressure. For the compressive stress state, σ k k / 3 is always a negative value, indicating that the hydrostatic pressure is an inhibitory factor for crack propagation. S = σ σ i i / 3 I is the deviatoric stress tensor. F n σ , n , r represents the crack evolution equation with the microcrack’s normal direction n . Since the crack is equivalent to three groups of orthogonal cracks, there are three F n σ , n , r in total, which control the propagation of the three groups of orthogonal cracks, respectively. These three orthogonal crack sets exhibit normal vectors aligned with the principal stress axes. The first term in Equation (3) characterizes the crack’s stress intensity factor K I , primarily driven by both hydrostatic pressure ( σ kk / 3 ) and deviatoric stress ( S ). Term K I c d c in Equation (3) quantifies the material’s fracture toughness during microcrack evolution. In calcium-leached concrete, the parameter K I c ( d c ) exhibits dependence on the chemical damage variable d c . Thus, Equation (3) establishes the following fracture criterion: crack propagation initiates when the stress intensity factor reaches the material’s fracture toughness, while sub-critical conditions maintain stable crack lengths and constant mechanical damage. At the same time, Equation (3) also represents the anisotropic damage surface of concrete, because Equation (3) links the damage variable r with the stress state. g ( r ) serves as a dimensionless scaling factor relating internal local tensile stresses to external deviatoric stresses. g ( r ) needs to fulfill particular conditions. During initial crack propagation, parameter g ( r ) exhibits an inverse relationship with fracture length, indicating stress relaxation through crack development. Beyond a critical crack size ( r p = 1 ), reduced spacing between adjacent fractures leads to interacting stress fields at crack tips, elevating local tensile stresses [27]. Therefore, g ( r ) decreases first when the crack is small, and when the crack reaches the limit value ( r p = 1 ), g ( r ) demonstrates monotonic growth as crack extension progresses. The cracks subsequently enter unstable growth phases, ultimately leading to material failure. In this study, the exponential function is used to represent g ( r ) [26]:
g r = b 1 b 2 r exp 1 r
The coefficients b 1 and b 2 characterize the proportion of deviatoric stress converted to local tensile stress when r = 1 .
Due to chemical leaching, the fracture toughness K I c ( d c ) of microcracks will decrease [17]. Due to the complexity in establishing K I c ( d c ) ’s exact mathematical relationship, a simplified linear formulation is employed:
K I c d c = K I c 0 d c K I d
where K I c 0 corresponds to the baseline value, while K I d serves as the linear scaling factor. Given the chemical damage variable d c , the damage tensor for arbitrary stress states can be computed using Equations (2)–(5). Following Hayakawa’s theoretical framework [35], the anisotropic elastic potential for fractured concrete takes the following form:
Q σ , D , d c = 1 + v d c 2 E d c t r σ σ v d c 2 E d c t r σ 2 + n 2 t r σ σ D + n 3 t r σ t r σ D + n 4 t r D t r σ σ
The symbol t r represents the trace of the tensor; n 2 , n 3 , and n 4 are the material constants to be determined; and E ( d c ) and v ( d c ) are the elastic modulus and Poisson’s ratio, which are functions of the chemical damage variables. Calcium leaching in concrete primarily increases porosity through calcium ion dissolution, resulting in mechanical property degradation. Therefore, the increment of porosity is used to represent chemical damage d c . Based on mesomechanical calculations [31], the following relationship is used to determine the elastic modulus and Poisson’s ratio of calcium-leaching concrete:
E d c = 9 G d c K d c 3 K d c + G d c   ,   v d c = 3 K d c 2 G d c 2 3 K d c + G d c
K d c = K 0 1 + α 1 d c , G d c = G 0 1 + α 2 d c
K 0 and G 0 , respectively, represent concrete’s undamaged initial bulk modulus and shear modulus. Parameters α 1 and α 2 characterize the progressive deterioration of elastic properties induced by calcium dissolution. Parameters α 1 and α 2 are determined by comparing the concrete’s pristine bulk and shear moduli with their fully leached counterparts. The anisotropic elastic strain can be obtained from the thermodynamic potential function:
ε e = Q σ = K D , d c : σ
Since the crack always extends along the direction of the principal stress, the compliance tensor K D , d c is orthogonal. Its orthogonal axes align with both the principal stress orientations and the damage tensor’s eigenvectors. When the coordinate system aligns with the principal axes of compliance tensor K D , d c , Voigt notation permits its representation in standard matrix form.
K D , d c = K 11 K 12 K 13 0 0 0 K 21 K 22 K 23 0 0 0 K 31 K 32 K 22 0 0 0 0 0 0 1 / G 12 0 0 0 0 0 0 1 / G 23 0 0 0 0 0 0 1 / G 31
where
K 11 = 1 E ( d c ) + 2 n 2 + 2 n 3 D 11 + 2 n 4 t r D , K 22 = 1 E ( d c ) + 2 n 2 + 2 n 3 D 22 + 2 n 4 t r D , K 33 = 1 E ( d c ) + 2 n 2 + 2 n 3 D 33 + 2 a 4 t r D , K 12 = K 21 = v ( d c ) E ( d c ) + n 3 D 11 + D 22 , K 13 = K 31 = v ( d c ) E ( d c ) + n 3 D 11 + D 33 , K 23 = K 32 = v ( d c ) E ( d c ) + n 3 D 22 + D 33 , 1 2 G 12 = 1 + v ( d c ) E ( d c ) + n 2 D 11 + D 22 + 2 n 4 t r D , 1 2 G 23 = 1 + v ( d c ) E ( d c ) + n 2 D 22 + D 33 + 2 n 4 t r D , 1 2 G 31 = 1 + v ( d c ) E ( d c ) + n 2 D 33 + D 11 + 2 n 4 t r D .
Laboratory testing demonstrates plastic deformation initiation in concrete at relatively low confining pressures. These plastic strains are mainly due to the irreversible crack propagation inside the concrete, which is induced by the misfit of crack surfaces or from crack tip process zones that may develop [36]. Since no crack is activated under purely hydrostatic pressure, it is reasonable to assume that only the deviatoric stress tensor S is associated with plastic strains, which is also consistent with the principle of Equation (3). This study extends Yazdani’s anisotropic plastic damage formulation to incorporate chemical corrosion effects on concrete’s directional plastic strain [37].
ε p D = ω 0 + d c ω E 0 t r D 1.9 β S + + S
where S + and S are the positive and negative projections of the deviatoric stress tensor S [37]. To consider a typical dilatancy strain for concrete in compression, deviatoric stress tensor S is divided into S + and S . Parameter β is greater than one and associated with concrete volumetric strain. When β = 1 , this plastic constitutive equation is analogous to von Mises plasticity and no plastic volume strain occurs. β < 1 represents a compressive plastic volumetric strain, a phenomenon rarely observed in concrete under compressive loading. E 0 represents the concrete’s initial elastic modulus. The plastic constitutive model of Yazdani [37] was originally used to describe the irreversible plastic deformation of rocks. Therefore, the model is a linear plastic model; that is, the plastic strain and damage variable are linearly related. However, experimental results [14] have shown that stress-induced cracks in concrete (especially leached concrete) can produce large plastic strains. Therefore, this paper adopts an exponential nonlinear damage plasticity constitutive equation. After numerical simulation and experimental verification, the index of damage variable was selected as 1.9. ω 0 reflects the proportionality between plastic strain and the mechanical damage. Secondly, experiments found that the chemical damage caused by calcium leaching will greatly increase the plastic deformation of concrete, so the chemical damage influencing factor ( d c ω ) was added to the model, which represents the contribution of calcium leaching to plastic strain. Parameters ω 0 and ω can be obtained based on the residual strains of unleached and completely leached concrete specimens during loading and unloading tests [37]. The parameter β is determined from residual volumetric strain measurements during cyclic load–unload tests [37]. Equation (12) reveals the isotropic nature of chemical damage’s influence on plastic deformation, aligning with experimental observations. However, stress-induced plastic strain is anisotropic, with its anisotropy axis coinciding with the principal axes of the stress tensor σ . Since the principal axes of the elastic compliance tensor and the stress tensor σ are consistent, the principal axes of the elastic strains ε e and σ are also consistent (see Equation (9)). Consequently, elastic and plastic strain tensors share identical principal orientations. Therefore, this model is an orthotropic constitutive model.

2.2. Calcium-Leaching Model

In natural environments, a dissolution equilibrium exists between calcium ions in concrete’s pore solution and solid-phase calcium compounds. Exposure to aggressive water at concrete surfaces disrupts this dissolution equilibrium. Initially, calcium ions migrate from the pore solution to external water, reducing the internal concentration. Subsequently, solid-phase calcium dissolves to compensate for the depleted pore solution concentration. Progressive calcium leaching increases concrete porosity, inducing chemical degradation and strength deterioration. This study employs a nonlinear calcium ion diffusion–reaction equation to characterize the aforementioned chemical processes. The equation incorporates both chemical and mechanical damage variables while modeling calcium transport from solid to solution phases. Solving this equation reveals the evolution of concrete’s solid constituents and determines the spatial distribution of chemical damage.
The calcium ion dissolution and diffusion equation are expressed as [9]
C a solid C a 2 + C a 2 + t = C C a 2 +
represents divergence; represents gradient; the tensor C represents the diffusion coefficient of calcium ions in the pore solution; and C a solid represents the concentration of solid calcium ions. Due to the coupling effect of stress and chemistry, C is not a constant, and its value is related to the calcium ion concentration C a 2 + of the pore solution, chemical damage, and mechanical damage. Native concrete maintains thermodynamic equilibrium between its solid calcium compounds and aqueous calcium ions. Exposure to aggressive water at concrete surfaces disrupts this equilibrium, initiating the dissolution of solid-phase calcium. This thermodynamic chemical equilibrium is simplified by the equilibrium curve between C a s o l i d and C a 2 + (Figure 1) proposed by Adenot [28] and Gerard [29]. The term C a solid / C a 2 + in Equation (13) represents calcium ions’ solid/liquid thermodynamic equilibrium. For the equilibrium curve, C a s o l i d is a monotonic curvilinear function of C a 2 + . Many researchers have obtained equilibrium curves by curve fitting of experimental data. Gerard [9] uses analytic functions to fit equilibrium curves, and Adenot [38] uses piecewise linear functions to fit the equilibrium curve. The equilibrium curve obtained by analytic functions is smooth. However, in practice, the piecewise linear function is relatively simple and easy to apply, and it can also get relatively accurate results. The piecewise linear function offers enhanced adaptability for diverse concrete material behaviors. The piecewise linear function proposed by Adenot [38] was used to fit the equilibrium curves of solid/liquid calcium ions in this paper (Figure 1).
Based on the experimental results [6,7,39,40], Adenot [38] divides the calcium dissolution process into four processes corresponding to the four segmented lines in Figure 1.
1. From 22 mol/m3 to 20 mol/m3 (A–B) in C a 2 + : this domain corresponds to the dissolution process of portlandite (denoted CH). The CaO/SiO2 ratio of C-S-H is 1.65 and represents the value corresponding to the zone of undegraded C-S-H;
2. From 20 mol/m3 to 2.5 mol/m3 (B–C): this range corresponds to the progressive decalcification of C-S-H, Aft (Ettringite), and AFm (calcium aluminate monosulfate hydrate). The CaO/SiO2 ratio changes from a value of 1.65 to a value of 1;
3. From 2.5 mol/m3 to 1.5 mol/m3 (C–D): there is a brutal variation in the Ca/Si ratio which may be due to a relative variation between two C-S-H which coexist; the CaO/SiO2 ratio changes from a value of 1 to a value of 0;
4. From 1.5 mol/m3 to 0 mol/m3 (D–E): in this region the concrete is completely degraded, and only calcium migration within the pore solution is observed.
For concretes, the amounts of anhydrides are determined from the composition of the cement. These values are then used to calculate the amounts of hydrates formed and sensitive to decalcification, i.e., AFm (calcium aluminate monosulfate hydrate), AFt (Ettringite), C-S-H, and portlandite CH. Then, the content of the solid calcium ions C a solid at the equilibrium point (A, B, C, D and E) can be determined by the composition of concrete and the types of cement. The term C a solid / C a 2 + can be easily determined from Figure 1. Sellier and Camps [41,42] have obtained anhydride amounts of CEM I-based concretes which were used in a radioactive waste disposal facility in France. The concentrations of solid calcium at points A, B, C, and D are 5058.64 mol/m3, 3402.3 mol/m3, 1464.54 mol/m3, and 0 mol/m3, respectively. The evolution of C a solid / C a 2 + according to concentration in liquid calcium is shown in Figure 2. Since the nonlinear term C a solid / C a 2 + will increases the difficulty of solving Equation (13), this paper adopts the piecewise linear chemical equation curve proposed by Adenot [38] to increase numerical calculation efficiency.
Experimental studies [38] demonstrate that calcium leaching increases concrete porosity through dissolution processes. Consequently, this study quantifies chemical damage using porosity increase as the defining metric. Since solid calcium dissolution drives porosity growth, the chemical damage variable necessarily depends on calcium content [23].
d c = M ρ C a s o l i d 0 C a s o l i d
C a s o l i d 0 represents the content of initial solid calcium; parameters M and ρ , respectively, denote the mean molecular weight and bulk density of key calcium-bearing phases including C-S-H, portlandite, AFt, and AFm; and M / ρ is the average molar volume of the solid calcium phase. Based on the data in reference [22], this paper takes M / ρ = 3.5 × 10 5   m 3 / m o l . This study treats concrete as an initially homogeneous porous medium, with diffusion coefficients determined through physicochemical analysis. Considering the coupling effect of mechanical damage and chemical damage, the calcium ion diffusion coefficient is
C = ϕ 0 C 0 I + C c + C m , C c = d c C 0 I ,   C m = C 0 γ D ¯ D I
Parameter C 0 represents calcium ion diffusivity in the aqueous phase, while ϕ 0 denotes the intrinsic porosity; C c represents the increment of the diffusion coefficient caused by chemical damage; C m quantifies the enhancement of diffusivity resulting from mechanical degradation; D ¯ D characterizes the mechanical degradation effect on diffusivity modification; the material constant γ represents the diffusion rate multiplier caused by mechanical degradation; and the anisotropic nature of microcrack networks induces directionally dependent mechanical damage effects on diffusivity. Typically, C 0 exhibits a square-root dependence on pore solution calcium ion concentration [22].
C 0 = C 00 C 0 c C a 2 +
Parameter C 00 represents the calcium ion diffusivity at infinite dilution conditions. C 0 c is a model constant. According to the electrochemical analysis, we can obtain: C 00 = 7.91.8 × 10−12 m2/s, C 0 c = 96.85 × 10−12  m 2 s m 3 mol [22]. Mechanical damage effects on diffusivity are quantified by
D ¯ D = k = 1 3 D 1 + D 2 + D 3 D k n n k
Parameter D i ( i = 1 , 2 , 3 ) corresponds to the eigenvalue of the damage tensor. To expedite testing, 6 mol/L ammonium nitrate solution was employed as an accelerated leaching agent, overcoming the impractical time requirements of deionized water tests [12,13,14]. The ammonium nitrate acceleration effect is modeled by scaling the calcium diffusion coefficient C with amplification factor λ [42]. This means that Equation (13) can be rewritten as:
C a solid C a 2 + C a 2 + t = λ C C a 2 +
where λ can be determined by comparison with leaching depth for deionized water and ammonium nitrate solution.

2.3. Determination of Model Parameters

Firstly, the damage evolution equation parameters ( K I c 0 , b 1 , b 2 , and r 0 ) are determined by triaxial compression tests without chemical damage ( d c = 0 ). The initial damage surface ( r = r 0 ) and failure surface ( r = r p = 1 ) without chemical damage are
σ k k / 3 + g r 0 n S n = π K I c 0 / 2 r 0
σ k k / 3 + g r p n S n = π K I c 0 / 2 r p
Experimental results enable curve fitting to derive the stress-space representations of Equations (19) and (20), as illustrated in Figure 3. Then, parameters K I c 0 , b 1 , b 2 , and r 0 [26] can be obtained based on the slope and intercept of the curve (see Figure 3).
The maximum chemical damage variable ( d c = d c max ) can be obtained by measuring the porosity of completely leached concrete. Therefore, the failure surface of completely leached concrete (Equation (3)) becomes:
σ k k / 3 + g r p n S n = π K I c 0 d c max K I d 2 r p
The failure surface intercept K I c 0 d c max K I d π / 2 r p was determined through calibration with triaxial compression data from fully leached concrete (Figure 4). Then, the parameter K I d is determined based on the values of K I c 0 and d c max .
Elastic parameters K 0 , G 0 , and E 0 are determined by uniaxial compression tests on undamaged concrete. Parameters α 1 and α 2 are determined from the modulus ratio analysis between pristine and fully leached concrete specimens. Parameters n 2 , n 3 , and n 4 can be determined by triaxial loading and unloading tests ( 0 > σ 2 = σ 3 > σ 1 ) (see Figure 5) [26].
n 4 = 1 4 D 2 1 E 1 1 E 0
n 3 = 1 D 2 v 0 E 0 v 12 E 1
where E 1 and v 12 represent concrete’s current anisotropic elastic modulus and Poisson’s ratio, determinable through unloading tests. Keep the axial pressure σ 1 constant, then increase the confining pressure by Δ σ 3 and measure the radial strain increment Δ ε 3 . Parameter n 2 is then calculable through the following relationship:
Δ ε 3 Δ σ 3 = 1 E 0 + 2 n 2 + 2 n 3 D 2 + 2 n 4 t r D
The mechanical damage amplification factor γ for calcium diffusion is determined by contrasting diffusivity between intact and variably degraded concrete specimens. Uniaxial compression cyclic tests enable determination of plastic strain parameters ω 0 , ω , and β in concrete. Firstly, a uniaxial loading and unloading test is carried out when the concrete is not leached ( d c = 0 ). The axial plastic strain of the concrete can be obtained from Equation (12):
ε 11 p = ω 0 E 0 t r D 1.9 2 3 σ 1
Using ε 11 p and σ 1 obtained from the loading and unloading test, parameter ω 0 is obtained by curve fitting using Equation (25). From Equation (12), the plastic volume strain of concrete can be obtained as:
ε v p = ω 0 E 0 t r D 1.9 1 β 2 3 σ 1
Using the ε v p and σ 1 obtained in the experiment, parameter β can be obtained by curve fitting from Equation (26). Parameter ω , quantifying chemical damage, is derived from load–unload tests performed on fully leached concrete specimens. The process is similar to that of ω 0 , except that the test data is derived from the plastic strain of completely leached concrete.
The mechanical and chemical modules are implemented in the COMSOL Multiphysics platform, where the software automatically converts each model into corresponding differential equations. These equations are interlinked through mechanical and chemical damage variables. The solver computes the coupled differential equations under specified initial and boundary conditions, yielding concrete deformation fields, damage evolution patterns, and spatiotemporal calcium ion distributions.

3. Numerical Simulation Results and Discussion

Nguyen and Torrenti [14,18] conducted experimental studies on calcium leaching in concrete (CEM I). To accelerate calcium leaching, concrete samples were submerged in a 6 mol/L NH4NO3 solution. The test consists of three parts: a single calcium-leaching test, uniaxial compression test after leaching, and uniaxial compression–calcium-leaching multi-field coupling creep test. The concrete composition is shown in Table 1. This paper uses COMSOL Multiphysics 5.0 software as a simulation platform. The model established above is implemented into the software to simulate the non-coupled test and the fully coupled test. The accuracy of the model is verified by simulating the results.

3.1. Numerical Simulation of Calcium Ion Diffusion

Firstly, the single calcium-leaching test was simulated, and the corresponding parameters are provided in Table 2. The specimen’s geometric configuration and boundary constraints are illustrated in Figure 6. The dimensions of the concrete cylindrical specimen used in the test are Φ 110   mm × 220   mm . The top and bottom protection areas of the specimens are coated with resin to isolate the external corrosive liquid. Therefore, in the numerical simulation, the boundary conditions of the top and bottom protection areas should be set to zero flux. Prior to ammonium nitrate leaching (6 mol/L), test specimens underwent 5-month water curing in controlled conditions. The test temperature is kept at room temperature, 25 degrees Celsius. To sustain optimal leaching performance, periodic renewal of the ammonium nitrate solution is required. Leaching efficiency is maintained by replacing the NH4NO3 solution when pH surpasses 8.2. To measure the leaching depth, the specimens are sliced at regular intervals. The leaching depth of 16 points on the cross-section of each specimen is tested, and then the average of these 16 sets of data is calculated to represent the leaching depth of a single specimen.
The 197-day calcium ion concentration profile in concrete pore solution appears in Figure 7. The numerical results indicated a leaching depth of approximately 30 mm following 197 days of exposure, aligning well with the experimental measurements [14]. Figure 8 shows the variation of the leaching depth over time. The simulation results show that there is a quasilinear relationship between the leaching depth and the square root of time, which is consistent with the experimental results (see Figure 6). Figure 8 reveals minor discrepancies between simulated and experimental outcomes, primarily attributable to model selection limitations. The acceleration of leaching by NH4NO3 is modeled through diffusion coefficient amplification via parameter λ . The experimental results demonstrate that NH4NO3 solution elevates calcium ion solubility, creating steeper concentration gradients that enhance diffusion kinetics. In fact, the calcium ions diffusion coefficient is not changed. Adding an amplification factor is only an equivalent method to simulate the acceleration of leaching. Therefore, the model deviates from experimental reality in this specific aspect. However, through numerical simulation, it is found that the equivalent method of amplifying the diffusion coefficient can precisely capture calcium ion-leaching dynamics, and the numerical results demonstrate strong consistency with experimental data.

3.2. Uniaxial Compression After Leaching

Nguyen [14] experimentally studied the uniaxial stress–strain curves of the unleached specimen and completely leached specimen. Since only the unleached specimen and the completely leached specimen (leached for 679 days) can be regarded as homogeneous materials, only these two specimens’ stress–strain responses accurately represent the material’s constitutive behavior. Therefore, this model simulates uniaxial stress–strain responses for both specimen types. During the simulation process, the chemical leaching model is executed first, and then the anisotropic damage model is executed after the sample is completely leached. Table 3 presents the complete set of model parameters used in the simulations. The dimensions of the specimens for the uniaxial compression tests are the same as the specimens used in Section 2.1. Experimental testing employed an MFL-5000 hydraulic press (5000 KN capacity). Axial specimen deformation is measured using an extensometer and three LVDTs. All experiments employed displacement control to reliably obtain softening curve characteristics. The specimens leached for 679 days were used as the totally leached concrete specimen.
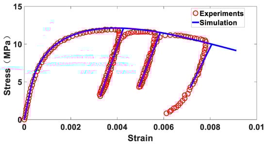
The mechanical responses of completely leached and pristine concrete specimens are presented in Figure 9 and Figure 10. Numerical predictions show excellent correlation with experimental observations. Unleached concrete exhibits obvious brittle characteristics. Beyond peak strength, concrete experiences rapid load-bearing capacity loss and material instability (Figure 9). After the concrete is leached, a large number of pores are generated inside. These pores exhibit dual effects of strength reduction coupled with enhanced ductility, as evidenced by the flattened curve in Figure 10. Chemical corrosion causes the plastic strain to increase sharply with the increase of stress. Since the model has added a plastic module, the loading and unloading curves can also be simulated. The plastic unilateral effect is not considered in this model, so the plastic hysteresis curve cannot be simulated (see Figure 10).

3.3. Fully Coupled Numerical Simulation

Torrenti’s experimental study [18] investigated simultaneous uniaxial creep and calcium-leaching behavior in cylindrical concrete samples ( Φ 11   cm × 33   cm ). An ammonium nitrate solution was employed to accelerate the calcium-leaching process. In the creep test, resin was applied to the protection areas at both ends of the specimen to prevent ammonium nitrate and other liquids from corroding the specimen. The leaching zone was exclusively perfused with 6 mol/L ammonium nitrate solution during testing. In the creep tests, the axial load was 25% of the compressive strength of the specimen (10.5 MPa) (Figure 11). During the tests, a nitrogen–oil pneumatic accumulator was used to keep the force on the upper part of the specimen constant. Solution replacement occurred at pH > 8.2 to ensure consistent test conditions. The room temperature was kept at 25 degrees Celsius during the experiments. The tests used LVDT for creep displacement measurement.
The parameters used in the coupled creep simulation are shown in Table 2 and Table 3. Comparative analysis of concrete creep behavior appears in Figure 12, demonstrating a strong correlation between the simulated and experimental outcomes. The coupled chemo–mechanical framework accurately captures concrete’s creep characteristics. The experiment found that the creep of unleached concrete is very small and almost negligible [14]. However, NH4NO3-leached concrete exhibited accelerated creep deformation under short-term loading. As calcium dissolution progresses inward, the mechanical properties exhibit continuous reduction from exterior to interior regions, resulting in the continuous increase of the strain of the concrete under the same load conditions. When the leached area reaches a certain extent, the concrete is crushed because it can no longer bear the load [42] (Figure 12). Unlike conventional concrete creep mechanisms, leached concrete’s time-dependent behavior stems primarily from chemical degradation-induced property loss rather than cement paste rheology. Therefore, it is not suitable to simulate the creep behavior of leached concrete using conventional creep models. The chemical–mechanical coupled damage model is more capable of reflecting the creep mechanism of leached concrete. Compared with the intact concrete, the concrete leached by ammonium nitrate produced huge creep deformation in a short time. Chemical degradation thus has a more pronounced impact on concrete’s stiffness and strength reduction compared with stress-induced microcracking.
To study the chemical–mechanical coupling mechanism, this paper conducted a uniaxial compression–calcium-leaching coupling simulation on a cylindrical specimen. The size of the concrete cylindrical specimen was Φ 110 mm × 220 mm (Figure 13), and the outer surface of the specimen in this simulation was completely exposed to an ammonium nitrate solution. In this simulation, due to the axisymmetry of the structure, we selected a two-dimensional axisymmetric geometry model in COMSOL software (see Figure 14). Specimens were subjected to uniaxial pressures of 0 MPa (control) and 35 MPa, with corresponding simulation results presented in Figure 14 and Figure 15.
Figure 15 illustrates the 85-day calcium ion distribution in A-A and B-B cross-sections, revealing leaching anisotropy. Figure 15 reveals comparable leaching depths in both directions under stress-free conditions, which demonstrates that calcium ion transport maintains initial isotropy in the absence of mechanical stress. Under 35 MPa axial compression, leaching penetration becomes directionally dependent, with B-B axial depths substantially exceeding A-A radial measurements, demonstrating stress-induced leaching anisotropy. Axial stress-induced fractures predominantly align with the loading direction, dramatically enhancing axial diffusivity. While these cracks also elevate radial transport, the effect remains substantially smaller (see Equations (15) and (17)). Pore water seepage significantly impacts calcium ion transport in subsurface environments. Unlike diffusivity, permeability shows pronounced crack-dependence, where oriented fractures create anisotropic flow characteristics. The proposed chemo–mechanical model can be readily extended to incorporate convective transport effects.

4. Conclusions

This study develops an anisotropic damage framework accounting for coupled microcrack propagation and calcium leaching, implementing both uncoupled and coupled simulations of concrete behavior. The key findings of this study are summarized as follows:
  • The model demonstrates precise predictive capability for both calcium-leaching penetration depths and concrete’s mechanical response. The incorporation of plastic strain enables the model to replicate concrete’s load–unload behavior. Since the model does not consider the unilateral effect, it cannot simulate the hysteresis curve of the stress–strain curve.
  • Unlike conventional concrete creep dominated by cement paste rheology, leached concrete’s creep primarily results from chemical degradation-induced mechanical deterioration. The stress-chemical coupled damage model can better reflect the chemical creep mechanism of leached concrete. Therefore, this model can accurately obtain the creep characteristics of leached concrete.
  • The framework successfully captures directional dependencies in concrete’s chemo–mechanical coupling behavior. The anisotropic crack network simultaneously governs mechanical property variation and preferential ion migration routes. Consequently, structural design must account for both anisotropic behavior and chemo–mechanical interactions.
  • Numerical results demonstrate that under chemo–mechanical coupling, chemical degradation dominates over stress-induced microcracking in reducing concrete’s stiffness and strength. Therefore, measures to prevent calcium ion dissolution, such as reducing the permeability of concrete and reducing the porosity of concrete, are crucial to the durability of the structure.

Author Contributions

Conceptualization, H.H.; methodology, H.H.; software, W.H. and L.T.; validation, F.G. and W.H.; investigation, F.G.; resources, F.G.; data curation, F.G.; writing—original draft preparation, F.G.; writing—review and editing, H.H.; visualization, W.H. and L.T.; supervision, H.H.; funding acquisition, H.H. All authors have read and agreed to the published version of the manuscript.

Funding

Thanks to the support of Foshan Shunde District Construction Centre (Contract No. 202403004).

Data Availability Statement

The original contributions presented in the study are included in the article, further inquiries can be directed to the corresponding author.

Conflicts of Interest

The authors declare no conflict of interest.

References

  1. Tong, Y.; Ye, F.; Tian, C.; Zhang, J.; Jiang, Y.; Han, X.; Li, Y. Optimizing the development and field application of calcium stabilizing agents for preventing calcium leaching in tunnels. J. Clean. Prod. 2024, 449, 141757. [Google Scholar] [CrossRef]
  2. Chen, J.; Liu, Q.; Jin, W.; Xia, J. Experiment and simulation on the coupled effects of calcium leaching and chloride transport in concrete under hydraulic pressure. Cem. Concr. Compos. 2025, 155, 105834. [Google Scholar] [CrossRef]
  3. Huang, D.; Wang, X.; Tian, J.; Liu, Y. Effect of leaching on mechanical properties and durability of concrete: A review. J. Build. Eng. 2025, 100, 111682. [Google Scholar] [CrossRef]
  4. Faucon, P.; Le Bescop, P.; Adenot, F.; Bonville, P.; Jacquinot, J.; Pineau, F.; Felix, B. Leaching of cement: Study of the surface layer. Cem. Concr. Res. 1996, 26, 1707–1715. [Google Scholar] [CrossRef]
  5. Adenot, F.; Buil, M. Modelling of the corrosion of the cement paste by deionized water. Cem. Concr. Res. 1992, 22, 489–496. [Google Scholar] [CrossRef]
  6. Berner, U. Modelling the incongruent dissolution of hydrated cement minerals. Radiochim. Acta 1988, 44, 387–394. [Google Scholar] [CrossRef]
  7. Berner, U. Evolution of pore water chemistry during degradation of cement in a radioactive waste repository environment. Waste Manag. 1992, 12, 201–219. [Google Scholar] [CrossRef]
  8. Gerard, B.; Pijaudiier-Cabot, G.; Laborderie, C. Coupled diffusion-damage modelling and the implications on failure due to strain localisation. Int. J. Solids Struct. 1998, 35, 4107–4120. [Google Scholar] [CrossRef]
  9. Gérard, B.; Le Bellego, C.; Bernard, O. Simplified modelling of calcium leaching of concrete in various environments. Mater. Struct. 2002, 35, 632–640. [Google Scholar] [CrossRef]
  10. Bellégo, C.; Gérard, B.; Pijaudier-Cabot, G. Chemo-Mechanical Effects in Mortar Beams Subjected to Water Hydrolysis. J. Eng. Mech. 2000, 126, 266–272. [Google Scholar] [CrossRef]
  11. Zhou, L.; Ma, C.; Zhang, Z.; Sun, S.; Liu, X.; Liao, J. Electrochemical Accelerating Leaching Behavior of Plastic Concrete for Cut-Off Walls. Buildings 2023, 13, 937. [Google Scholar] [CrossRef]
  12. Babaahmadi, A.; Tang, L.; Abbas, Z.; Zack, T.; Mårtensson, P. Development of an electro-chemical accelerated ageing method for leaching of calcium from cementitious materials. Mater. Struct. 2016, 49, 705–718. [Google Scholar] [CrossRef]
  13. Carde, C.; Francois, R. Effect of the leaching of calcium hydroxide from cement paste on mechanical and physical properties. Cem. Concr. Res. 1997, 27, 539–550. [Google Scholar] [CrossRef]
  14. Nguyen, V.H.; Nedjar, B.; Torrenti, J.M. Chemo-mechanical coupling behaviour of leached concrete. Nucl. Eng. Des. 2007, 237, 2083–2089. [Google Scholar] [CrossRef]
  15. An, S.; Jiang, C.; Li, S.; Shi, C. Experimental study on the effect of ion transmission mode on the calcium leaching rate of cementitious materials. Case Stud. Constr. Mater. 2025, 22, 04215. [Google Scholar] [CrossRef]
  16. Jiang, C.; An, S.; Li, S.; Chen, Y.; Liu, J. Comparative Study on the Calcium Leaching Resistance of Low-Heat Cement, Moderate-Heat Cement, and Ordinary Portland Cement Pastes. Materials 2025, 18, 212. [Google Scholar] [CrossRef]
  17. Kargari, A.; Akhaveissy, A.; Pietruszczak, S. An experimental assessment of fracture parameters and microstructure of concrete exposed to calcium leaching. Constr. Build. Mater. 2024, 451, 138856. [Google Scholar] [CrossRef]
  18. Torrenti, J.; Nguyen, V.; Colina, H.; Le Maou, F.; Benboudjema, F.; Deleruyelle, F. Coupling between leaching and creep of concrete. Cem. Concr. Res. 2008, 38, 816–821. [Google Scholar] [CrossRef]
  19. Schneider, U.; Chen, S. Deterioration of high-performance concrete subjected to attack by the combination of ammonium nitrate solution and flexure stress. Cem. Concr. Res. 2005, 35, 1705–1713. [Google Scholar] [CrossRef]
  20. Choi, Y.S.; Choi, S.Y.; Kim, I.S.; Yang, E.I. Experimental study on structural behaviour of calcium leaching damaged concrete members. Mag. Concr. Res. 2019, 70, 1102–1117. [Google Scholar] [CrossRef]
  21. Bellégo, C.; Pijaudier-Cabot, G.; Gérard, B.; Dubé, J.; Molez, L. Coupled mechanical and chemical damage in calcium leached cementitious structures. J. Eng. Mech. 2003, 129, 333–341. [Google Scholar] [CrossRef]
  22. Kuhl, D.; Bangert, F.; Meschke, G. Coupled chemo-mechanical deterioration of cementitious materials: Part I—Modeling. Int. J. Solids Struct. 2004, 41, 15–40. [Google Scholar] [CrossRef]
  23. Jia, Y.; Bian, H.; Xie, S.; Burlion, N.; Shao, J.F. A numerical study of mechanical behavior of a cement paste under mechanical loading and chemical leaching. Int. J. Numer. Anal. Methods Geomech. 2017, 41, 1848–1869. [Google Scholar] [CrossRef]
  24. Yu, J.; Zhang, B.; Zhao, J. An improved model for discrete element method simulation of spatial gradient distributions of freeze-thaw-induced damage to sandstone. Comput. Geotech. 2024, 171, 106412. [Google Scholar] [CrossRef]
  25. Yu, S.; Ren, X.; Zhang, J. Modeling the rock frost cracking processes using an improved ice—Stress-Damage coupling method. Theor. Appl. Fract. Mech. 2024, 131, 104421. [Google Scholar] [CrossRef]
  26. Shao, J.; Rudnicki, J. A microcrack-based continuous damage model for brittle geomaterials. Mech. Mater. 2000, 32, 607–619. [Google Scholar] [CrossRef]
  27. Costin, L. Damage mechanics in the post-failure regime. Mech. Mater. 1985, 4, 149–160. [Google Scholar] [CrossRef]
  28. Costin, L. A microcrack model for the deformation and failure of brittle rock. J. Geophys. Res. Solid Earth 1983, 88, 9485–9492. [Google Scholar] [CrossRef]
  29. Nilenius, F.; Larsson, F.; Lundgren, K.; Runesson, K. Mesoscale modelling of crack-induced diffusivity in concrete. Comput. Mech. 2015, 55, 359–370. [Google Scholar] [CrossRef]
  30. Lubarda, V.; Krajcinovic, D. Damage tensors and the crack density distribution. Int. J. Solids Struct. 1993, 30, 2859–2877. [Google Scholar] [CrossRef]
  31. Kemeny, J.; Cook, N. Micromechanics of deformation in rocks. In Toughening Mechanisms in Quasi-Brittle Materials; Springer: Dordrecht, The Netherlands, 1991; pp. 155–188. [Google Scholar]
  32. Yu, J.; Zhang, Q.; Jia, C. Experimental and DEM simulations of the mechanical properties of rock under freeze–thaw cycles. Cold Reg. Sci. Technol. 2023, 211, 103866. [Google Scholar] [CrossRef]
  33. Zhao, C.; Lei, M.; Jia, C. Mechanical Characteristics of Red Sandstone Subjected to Freeze–Thaw Cycles and Increasing Amplitude Cyclic Load. Rock Mech. Rock Eng. 2024, 57, 3237–3256. [Google Scholar] [CrossRef]
  34. Zheng, Y.; Jia, C.; Lei, M. Investigation of the Constitutive Damage Model of Rock Under the Coupled Effect of Freeze–Thaw Cycles and Loading. Rock Mech. Rock Eng. 2024, 57, 1861–1879. [Google Scholar] [CrossRef]
  35. Hayakawa, K.; Murakami, S. Thermodynamical Modeling of Elastic-Plastic Damage and Experimental Validation of Damage Potential. Int. J. Damage Mech. 1997, 6, 333–363. [Google Scholar] [CrossRef]
  36. Krajcinovic, D. Mechanics of solids with a progressively deteriorating structure. In Application of Fracture Mechanics to Cementitious Composites; Springer: Dordrecht, The Netherlands, 1984; pp. 453–479. [Google Scholar]
  37. Yazsani, S.; Schreyer, H. An anisotropic damage model with dilatation for concrete. Mech. Mater. 1988, 7, 231–244. [Google Scholar] [CrossRef]
  38. Adenot, F. Durabilité du Béton: Caractérisation et Modélisation des Processus Physiques et Chimiques de Dégradation du Ciment. Ph.D. Thesis, University of Orléans, Orléans, France, 1992. (In French). [Google Scholar]
  39. Tognazzi, C. Couplage Fissuration-Dégradation Chimique dans les Matériaux Cimentaires: Caractérisation et Modélisation. Ph.D. Thesis, INSA Toulouse, Toulouse, France, 1998. [Google Scholar]
  40. Camps, GEtude des Interactions Chemo-Mécaniques pour la Simulation du Cycle de vie d’un Élément de Stockage en Béton. Ph.D. Thesis, Paul Sabatier University, Toulouse, France, 2008. (In French).
  41. Sellier, A. Modélisation Numérique pour la Durabilité des Ouvrages de Génie Civil; Mémoire d’Habilitation à Diriger des Recherches; Université Paul Sabatier: Toulouse, France, 2006; 156p. (In French) [Google Scholar]
  42. De Larrard, T.; Benboudjema, F.; Colliat, J.-B.; Torrenti, J.M.; Deleruyelle, F. Concrete calcium leaching at variable temperature: Experimental data and numerical model inverse identification. Comput. Mater. Sci. 2010, 49, 35–45. [Google Scholar] [CrossRef]
Figure 1. Evolution of solid calcium concentration as a function of C a 2 + concentration (after Adenot 1992).
Figure 1. Evolution of solid calcium concentration as a function of C a 2 + concentration (after Adenot 1992).
Buildings 15 02725 g001
Figure 2. Evolution of C a solid / C a 2 + according to concentration in liquid calcium.
Figure 2. Evolution of C a solid / C a 2 + according to concentration in liquid calcium.
Buildings 15 02725 g002
Figure 3. Stress-space representation of initial damage and failure surfaces.
Figure 3. Stress-space representation of initial damage and failure surfaces.
Buildings 15 02725 g003
Figure 4. Complete leaching concrete failure surface in the stress space.
Figure 4. Complete leaching concrete failure surface in the stress space.
Buildings 15 02725 g004
Figure 5. Triaxial stress loading and unloading test.
Figure 5. Triaxial stress loading and unloading test.
Buildings 15 02725 g005
Figure 6. Geometric configuration and applied boundary conditions for cylindrical specimens.
Figure 6. Geometric configuration and applied boundary conditions for cylindrical specimens.
Buildings 15 02725 g006
Figure 7. 197-day calcium concentration profile: (a) Simulation results; (b) Test data (mol/m3).
Figure 7. 197-day calcium concentration profile: (a) Simulation results; (b) Test data (mol/m3).
Buildings 15 02725 g007
Figure 8. Comparison of simulated and experimental results of leaching depth.
Figure 8. Comparison of simulated and experimental results of leaching depth.
Buildings 15 02725 g008
Figure 9. Stress–strain curve without chemical damage.
Figure 9. Stress–strain curve without chemical damage.
Buildings 15 02725 g009
Figure 10. Stress–strain relationship of completely leached concrete.
Figure 10. Stress–strain relationship of completely leached concrete.
Buildings 15 02725 g010
Figure 11. Diagram of creep sample.
Figure 11. Diagram of creep sample.
Buildings 15 02725 g011
Figure 12. Simulated versus experimental uniaxial compressive creep behavior.
Figure 12. Simulated versus experimental uniaxial compressive creep behavior.
Buildings 15 02725 g012
Figure 13. Geometry of cylindrical specimen for coupling simulation.
Figure 13. Geometry of cylindrical specimen for coupling simulation.
Buildings 15 02725 g013
Figure 14. Axial symmetry model for COMSOL.
Figure 14. Axial symmetry model for COMSOL.
Buildings 15 02725 g014
Figure 15. One-dimensional distribution of calcium ion concentration 85 days after dissolution.
Figure 15. One-dimensional distribution of calcium ion concentration 85 days after dissolution.
Buildings 15 02725 g015
Table 1. Composition of concrete per cubic meter [14,18].
Table 1. Composition of concrete per cubic meter [14,18].
Sand/
(kg/m3)
Coarse Aggregate/
(kg/m3)
Cement/
(kg/m3)
Water/
(kg/m3)
858945400178
Table 2. Initial parameter value of calcium ion diffusion numerical simulation.
Table 2. Initial parameter value of calcium ion diffusion numerical simulation.
ϕ 0 γ λ
0.1935125
Table 3. Anisotropic damage model parameters.
Table 3. Anisotropic damage model parameters.
K I c 0 / M P a 16.25 α 2 9.62
n 2 / M P a 1 3 × 10 5 b 1 25.87
n 3 / MPa 1 8 × 10 6 b 2 23.87
n 4 / M P a 1 1 × 10 6 r 0 0.25
K I d / M P a 89.38 ω 0 0.14
E 0 / ( G P a ) 45 β 2.5
ν 0 0.202 ω 18.15
α 1 9.62
Disclaimer/Publisher’s Note: The statements, opinions and data contained in all publications are solely those of the individual author(s) and contributor(s) and not of MDPI and/or the editor(s). MDPI and/or the editor(s) disclaim responsibility for any injury to people or property resulting from any ideas, methods, instructions or products referred to in the content.

Share and Cite

MDPI and ACS Style

Guo, F.; He, W.; Tu, L.; Hou, H. Numerical Study of Chemo–Mechanical Coupling Behavior of Concrete. Buildings 2025, 15, 2725. https://doi.org/10.3390/buildings15152725

AMA Style

Guo F, He W, Tu L, Hou H. Numerical Study of Chemo–Mechanical Coupling Behavior of Concrete. Buildings. 2025; 15(15):2725. https://doi.org/10.3390/buildings15152725

Chicago/Turabian Style

Guo, Feng, Weijie He, Longlong Tu, and Huiming Hou. 2025. "Numerical Study of Chemo–Mechanical Coupling Behavior of Concrete" Buildings 15, no. 15: 2725. https://doi.org/10.3390/buildings15152725

APA Style

Guo, F., He, W., Tu, L., & Hou, H. (2025). Numerical Study of Chemo–Mechanical Coupling Behavior of Concrete. Buildings, 15(15), 2725. https://doi.org/10.3390/buildings15152725

Note that from the first issue of 2016, this journal uses article numbers instead of page numbers. See further details here.

Article Metrics

Back to TopTop