Abstract
To fill the gaps in the theoretical research on the internal force and deformation of the DSCG, the development law of the internal force and deformation of DSCG was explored in conjunction with the theory of elastic analysis. In addition, a finite element model was established to validate the calculation results. The results showed that using different pre-stressing increment calculation methods affected the calculation results of the composite interface deformation, with the equivalent section method accounting for 0.74% and the principle of the virtual work method for 0.03%. On the other hand, the development of internal forces and deformations in the DSCG was closely related to the magnitude of the load forms and axle weights. At the same time, material non-linearity had less influence on these factors. Finally, the development patterns of the internal forces and deformations of the DSCG with different spans were similar. The specific values were closely related to the span of the guideway, and the interfacial slip, axial force, and deflection of the DSCG with span L = 25 m were 0.60, 0.41, and 0.23 times those of the DSCG with span L = 35 m, respectively. The conclusions of this paper fill the gaps in the theoretical study of multi-system guideways.
1. Introduction
In recent years, with the development of urban rail transit systems, many achievements have been made in studying the spatial integration of transit structures [1]. The more typical cases include railway–highway composite bridges [2], the railway–highway rail corridor systems [3], and multi-system monorail transit [4]. Multi-system monorail transit is based on the three monorail transit systems (straddle, suspended, and maglev), which can operate multiple monorail vehicles on the guideway. The system was proposed by Professor Zhu, E., of Beijing Jiaotong University, in 2018 [5]. Subsequently, Song, P. [6] and Hu, T. [7] investigated the local stress performance and template standardisation of the double-system guideway, which pioneered the research of multi-system monorail transit. Since 2020, the “multi-system monorail transit design specification” and “multi-system monorail construction and acceptance code” have been approved by the China Association of Metros and the Standardisation Committee of the China International Association for Promotion of Science and Technology. In 2022, “design calculation theory and experimental research on multi-system traffic multipurpose rail beam” was approved by the National Natural Science Foundation of China. The spatial integration of urban rail transit is an urgent task, and the research concept of the double-system composite guideway (DSCG), based on the existing straddle pre-stressed concrete (PC) guideway and suspended steel guideway, has emerged.
In the early development of modular structures, it was often assumed that there was no slip at the location of the modular interface, which was named the complete interaction. Bolted connectors mainly connect the composite structure. The shear studs deform when the shear forces at the interface transmit between the steel beam and the concrete slab, which causes interface slip and, thus, affects the stiffness of the composite structure. In the 1950s, Newmark, M. et al. [8] proposed the theory of “the incomplete interaction” for composite structures, which considered the effect of the relative slip at the interface on the performance of composite structures. Subsequently, Johnson, R.P. [9] proposed the corresponding differential equation for calculating the slip at the composite interface based on the theory of the non-linear elastic–plastic constitutive modelling of steel beams. Davies, C. et al. [10] proposed the non-linear iterative method, which can be applied to partially shear-connected composite beams. Based on this method, Slutter, RG [11] established the ultimate strength theory of partial shear connections. Ashakul, A [12] analysed the shear strengths of different veneer shear connections and gave suggested values for the number of connections targeted. Ding, Y [13], in an analysis of the evolution of the fatigue life of steel materials, pointed out that the design of steel structures should take complete account of the coupled corrosion–fatigue effect. It should be noted that the combined structural bolsters are located between the combined interfaces. However, the cross-section deformation during vehicle operation makes the shear studs highly susceptible to airborne corrosive media. In addition, the impact of trains’ operations on underground structures and the health inspection of the superstructure needs to be assessed [14,15].
In the study of the elastic analysis method, Wang, G. [16], in his study of the theoretical model of composite interfaces, pointed out that the presence of supports will limit the effect of the interface slip to some extent. Therefore, the vertical lifting effect of the section was neglected when researchers assumed equal curvature of the composite beams in the Goodman non-linear elastic sandwich method. There are two main theoretical models in the study of the pre-stress increment of composite structures: the equivalent section method [17] and the principle of the virtual work method [18]. Due to their different expressions, these theoretical models have specific errors in the subsequent structural solution of the axial force and deformation. At the same time, the DSCG is entirely different from the existing composite bridge structure in terms of force pattern due to the need to run a suspended vehicle at the bottom. In addition, the location of the pre-stressing force is also different from the existing composite structure [19], and it is necessary further verify whether the bridge structure’s traditional deformation and axial force equations based on elastic theory can be applied.
The study of the internal force and deformation of the structure of the DSCG is one of the critical directions of theoretical research on the subject. Based on hydrostatic research, the analysis of the development law of the DSCG under vehicle loads fills the gap in the theoretical study of the DSCG in double-transit monorail systems. The aim of this paper is to combine the principle of elastic analysis to study the development law of the DSCG under vehicle loading and further analyse the development law of the internal force and deformation of the guideway structure under different spans, load forms, and interface slip stiffness conditions. The elastic analysis method assumes the longitudinal deformation of the interface of the composite structure to be elastic deformation, considers the factors that limit the vertical displacement of the composite structure by the support, and ignores the vertical lifting effect of the composite interface. It is further simplified as the method in which only the composite interface is subjected to longitudinal elastic deformation [20,21]. The DSCG and traditional composite structures differ in load mode, force analysis, and other aspects. We focused on validating the traditional elastic analysis theory in the axial force and deformation and on establishing a set of elastic analysis theories that can be applied to the DSCG. In this paper, based on the elastic analysis method, the effect of the pre-stressing impact on the axial force and deformation of the DSCG was analysed by combining the equivalent section method and the principle of the virtual work method. Subsequently, the differential equations of deflection and axial force were established and solved, and the interface slip, axial force, and deflection deformation laws of the DSCG with span L = 30 m were further investigated.
So far, scholars have conducted little research on multi-system monorail transit. Although the relevant specifications have been established, systematic research results have not yet been achieved. In addition, the DSCG guideway is a system that integrates the straddle guideway and the suspended guideway. The elastic analysis method is also a standard method in structural analysis, and research on the law of the axial force and deformation of the DSCG is critical. Therefore, to study the development law of the axial force and deformation of the DSCG, a theoretical system of axial force and deformation based on the elastic analysis method was established for the DSCG. Subsequently, the theoretical formulas were compared and analysed based on straddle and suspended monorail test data and finite element model data. Finally, the axial force and deformation laws of the DSCG with different spans were investigated. The proposal of the DSCG is conducive to the development of urban rail transit in the direction of spatial integration, and it is also of great significance in promoting the development of a multi-system monorail transit system.
2. Design of the DSCG
The DSCG combined straddle and suspended monorail guideways connected by spigot connectors, as shown in Figure 1.
Figure 1.
Illustration of the DSCG. Note: The position pointed to by the red arrow indicates the loading position of the vehicle load and the blue arrow points to the location of the guideway.
2.1. Cross-Section Design
The structural design of the DSCG was based on using spigot connectors. Straddle vehicles operate on the concrete guideway at the top of the DSCG, and suspended cars operate on the steel track rafters at the bottom. The two guideways’ composite forms a new guideway structure superior to the single-guideway structure in section stiffness. Therefore, the theoretical deformation of the DSCG was lower than that of a single form of straddle or suspended guideway. In this study, we selected the cross-section form of the 25 m PC guideway for the straddle guideway, and pre-stressing reinforcement was set at the bottom of the concrete girder. The cross-section of the steel guideway adopts the cross-section dimensions of the suspended monorail guideway in Wuhan, China. In addition, in this study, we focused on the internal force and deformation of the composite interface and the overall structure of the girder, so no further optimisation of the cross-section was performed. The parameters of the DSCG are shown in Figure 2.
Figure 2.
(a) Straddle PC guideway; (b) Suspended steel guideway. Illustration of cross-sectional parameters of the DSCG (unit: mm).
2.2. Load Illustration
Li X. [22] used the four-point loading method in the PC guideway test to simulate the actual vehicle’s four-axle position loads. Next, the test loads were calculated using the car’s axle weights when fully loaded, and the impact coefficients were factored in. The combination of loads used in the calculation process is as follows: phase II constant load + live load (total walking) + impact load + transverse load. The transverse inclined jacks and ball hinges were used to realise the transverse horizontal test loads during the test. To further fit the test condition of the guideway, in this study, we applied the load in the form of a symmetrical arrangement of two vehicles. The distance between the cars is mainly taken according to the specification and existing research. For the analysis of the DSCG axial force and deformation, the centre of action of suspended and straddled vehicle loads is in the most unfavourable state when the structure is in the mid-span position of the guideway. The main reason for considering the most unfavourable condition is that the German suspended H-Bahn prototype is in a two-car configuration. In contrast, the straddle guideway can accommodate a maximum of two carriages.
2.2.1. Load Acting Mode
This paper’s study load model for the DSCG structure is a loading mode with a double formation full of passengers. The diagram of the DSCG’s live load action after the superposition of suspended and straddle trains is shown in Figure 3. The straddle monorail train’s axle weight and load pattern selection are shown in the literature [23]. The bogie centre spacing between two trains is 9600 mm. The data selection is derived from the definition of the straddle train design specification for the A-type car, in which the bogie centre spacing is 9600 mm. The choice of parameters and load patterns for suspended monorail trains is given in the literature [24]. The bogie centre spacing between the two trains is 3310 mm. The data source is mainly based on data from the German H-Bahn prototype vehicle. It should be noted that in this paper, in addition to studying the guideway with a span of 30 m, the guideways of 25 m, 27.5 m, 32.5 m, and 35 m are also analysed. The mode of load action for the other spans of the guideway is the same as 30 m, which is the centre-of-action position mid-span.
Figure 3.
Schematic diagram of the location of DSCG live load action.
2.2.2. Load Values
- (1)
- Static load
For the load action of DSCG, there is a self-weight load in addition to vehicle load. The calculation of the self-weight of the guideway adopts the combination of a straddle monorail concrete beam and a suspended monorail steel beam, and the specific calculation is shown in Equation (1). Specifically, the self-weight load of the guideway has a direct relationship with the span of the guideway:
where M0 is the self-weight of a single-span reusable guideway; ρ1 is the density of Q345 steel, 7.85 g/cm3; Aj is the cross-sectional area of the beam body containing stiffening ribs; Aw is the cross-sectional area of the beam without stiffening ribs; N2 is the number of stiffening ribs; m is the longitudinal length of the stiffening rib; and ρ2 is the density of concrete.
- (2)
- Vertical load
The vertical load of DSCG is a concentrated load distributed symmetrically along the span centre of the guideway, and its size needs to be calculated with full consideration of the impact load. Generally, the load at total train capacity is taken as the live load in the static analysis. If the effect of fatigue is considered, the load when the train is fully occupied is taken as the live load. According to the literature [24], the live load is taken as the axle weight 32.81 kN when the suspended monorail train is fully occupied, and the live load is taken as the axle weight 110 kN when the straddle monorail train is fully occupied. For the use of the combined structural form of viaducts, the value of the power coefficient μ in the static calculation is shown in Equation (2):
Equation (2) can be used to evaluate the vehicle impact effect of the train impact load expression, as shown in Equation (3):
where FI is the train impact load, unit kN, and P is the vehicle axle weight. According to Equation (3), it can be seen that the values of self-weight and impact load of different span guideways are different. The specific load data for guideways with different spans are summarised in Table 1. In particular, the mass of ordinary steel, according to the concrete volume of 0.38 times, is superimposed to obtain the self-weight load of the guideway.
Table 1.
Summary of guideway loading values.
2.3. Setting of Shear Studs
The author of [25] summarised the formula for calculating the shear stiffness of spigot joints based on 146 spigot joints, as shown in Equation (4):
where kss is the slip stiffness of the spigot connectors; dss is the diameter of the spigot connector; fck is the standard value of concrete compressive strength; and Ec is the modulus of elasticity of concrete.
For the DSCG, the spigot connectors are prerequisites for the synergistic stressing of the steel girder and the concrete structure [26,27]. The spigot connectors are continuously distributed along the length of the beam, and the relationship between the shear force and slip of each spigot connector is shown in Equation (5).
where s is the longitudinal relative slip of the interface; kL is horizontal longitudinal slip stiffness per unit length; u is the spacing of connectors; and Q is the shear force on pins.
Longitudinal slip deformation was mainly considered during this study, so the stiffness of transverse and vertical shear connectors was considered infinite. Based on the cross-sectional dimension drawings of the DSCG, the formula used for calculating the bolster shear capacity is shown in Equation (7):
where Nu is the pins’ ultimate tensile capacity; fcu is the standard cubic strength of concrete; H is the height of the shear stud; ds is the diameter of the shear stud. Vu can be obtained as a calculated value based on the formulae in the literature [28], as shown in Equation (8):
where As is the cross-section area of the shear stud and fus is the design value of the tensile strength of shear studs.
For this study’s shear connection stiffness calculation model, C60 was selected for concrete. The bolster material was Q235 steel. The design value of the tensile strength of the shear studs is fus = 400 MPa. The material model is taken from [29]. A summary of the parameter calculations for the shear studs is shown in Table 2.
Table 2.
Summary of the parameters of the shear studs.
Based on the data in Table 2, the transverse slip stiffness of the shear studs kss = 3.63 × 108 N/m is obtained by combining Equations (2) and (4). The interfacial slip stiffness is kL = 1.42 × 109 N/m2. Considering the left side of Equation (5), the ultimate tensile capacity is 1.79 × 105 N, and the right side of the equation is 9.52 × 104 N, which is defined as the ultimate tensile capacity of Vu = 9.52 × 104 N. In addition, combining the method documented by Nie, J. [18] in calculating the bearing capacity of shear connectors and based on the equilibrium condition of the DSCG section, it is known that C = 3.30 × 107 N. The arrangement parameters of the shear studs are shown in Table 3. The transverse three-row spacing of 360 mm, 65 mm from the edge of the concrete guideway was used. The longitudinal spacing was 360 mm, 152 mm from the top edge of the concrete guideway. In total, 348 shear studs were used at the interface location of the DSCG with a span L = 30 m. The distribution of shear studs is illustrated in Figure 4.
Table 3.
Summary of shear stud arrangement parameters (unit: mm).
Figure 4.
Illustration of shear studs distribution (unit: mm).
3. Theoretical Derivation of the Elastic Analysis Method
3.1. Micro-Element Body Analysis of Composite Structures
There are three basic assumptions in the elastic analysis method projection process. Firstly, the horizontal directional shear force at the interlayer interface is proportional to the horizontal relative slip deformation of the neighbouring layers. Second, the deformation of the composite interface conforms to the flat section assumption. Third, the deformation of the composite beam has equal curvature in the upper and lower structures. The microelement body was extracted from the DSCG and analysed in terms of force, as shown in Figure 5.
Figure 5.
(a) Force modelling of a micrometric body; (b) Section slip due to axial force. Graphical representation of the force analysis of the microelement of the DSCG.
It should be noted that the pre-stressing reinforcement of the DSCG was arranged in the superstructure of the concrete. Therefore, the pre-stressing reinforcement of the micro-element body differed from that of the conventional composite structure model. Firstly, the internal force balance equations of the micro-element body were analysed. From the force model of the micro-element body in Figure 5, the equilibrium equations can be obtained by taking the moments of the upper PC guideway and the steel beam from the centre position, respectively, as in Equations (9) and (10):
where Mc and Ms are bending moments applied to the superstructure and substructure; Vc and Vs are shear forces applied to the superstructure and substructure; e is the distance from the pre-stressing tendons to the neutral axis of the concrete; and v is horizontal slip displacement.
The axial force relationship in the horizontal gauge’s vertical direction is shown in Equations (11) and (12):
Equations (13) and (14) can be obtained from the equilibrium equations of the force in the direction of axial force through the microelement body, as follows:
Next, the geometrical and physical equations of the microelement body were analysed. The relationship between the cross-section bending moment and curvature of the PC guideway and the steel beam microelements is shown in Equation (15). According to the third basic assumption, the vertical relative deformation between the layers was negligible, :
Equation (16) can be derived from the first basic assumption, as follows:
where q is the horizontal slip force and kL is the horizontal slip stiffness per unit.
The expressions for the concrete floor vehicles and steel beam top vehicles in the micrometric body are shown in Equations (17) and (18):
where k is the combined structural curvature; Nc and Ns are axial forces applied to the superstructure and substructure; is the strain in the concrete bottom slab in the micrometric unit; and is the strain in the top plate on the steel beam.
In establishing the interface slip differential equation, the difference between the vehicle of the concrete bottom plate and the vehicle of the top plate on the steel beam was usually defined as the value of the interface slip. Through Equations (17) and (18), the expression for the displacement of the micrometric body is shown in Equation (19):
3.2. Theoretical Derivation and Verification of Interfacial Slip Differential Equation
3.2.1. Interfacial Slip Differential Equation Based on the Equivalent Section Method
For the expression of the pre-stressing increment ∆T, the location of the pre-stressing reinforcement can be characterised within the PC guideway, according to Figure 2 [13]. The equivalent section method can be used to convert the pre-stressing reinforcement to a concrete section, as shown in Figure 6. The red line in the figure indicates the beam edge section, and the blue colour indicates the pre-stressing strand. The positive sign indicates that the stress to which the beam section is subjected is tensile, and the negative sign indicates that the stress to which the beam section is subjected is compressive. Furthermore, to illustrate the principle of the action of the pre-stressing strands more clearly, we indicate the action of pre-stressing separately. The beam section under the action of pre-stressing axial compressive stresses is illustrated, and the beam section under the action of the eccentric bending moment of the pre-stressing strand is presented. The combination of the two parts is the change in the internal force of the beam section caused by the action of the pre-stressing strand position in the diagram.
Figure 6.
Stress distribution in PC guideway.
The total vehicle of the pre-stressing reinforcement location in the PC guideway is shown in Equation (20):
where is the total stress of the concrete structure at the location of the pre-stressing reinforcement; is the elastic moment of the resistance of the concrete structure at the location of the pre-stressing reinforcement, as ; and Mx is the structural section bending moment from external loads.
According to the flat section assumption, it is known that the total vehicles of the pre-stressing steel and concrete were equal at the location of the pre-stressing steel bars. Therefore, the expression for the tensile increment ΔT of the pre-stressing reinforcement under external load is shown in Equation (21):
We substituted the differentiation of Equation (21) into the equation after differentiating Equation (19). Subsequently, the interface slip differential equation could be obtained by simplification, as shown in Equation (22), if the pre-stress effect was not considered, ∆T = 0, which led to the differential equation for the cross-section slip without pre-stress, as shown in Equation (23):
where , , , , .
Based on the relevant knowledge of structural mechanics, it was not difficult to obtain the expressions for the structure’s bending moment and shear force under the action of concentrated and uniform loads. In addition, the most unfavourable load case for the DSCG structure was considered to be the symmetrical load of two vehicles. The relative slip differential equations of the guideway under the most unfavourable load were obtained in Equations (24) and (26). If pre-stressing is not considered, Equations (25) and (27) will receive the relative slip differential equation. A differential equation for the relative slip under self-weight was obtained in Equation (27). If pre-stressing is not considered, the differential equation for the relative slip is obtained in Equation (28).
- (1)
- The differential equations of interfacial slip at bending–shear sections under vehicle load are as follows:where , i = 1, 2,..., 8.
- (2)
- The differential equation for the interface slip of the pure curved section under vehicle load is as follows:where , i = 1, 2, ..., 8.
- 3)
- (3) The differential equation for the interfacial slip under self-weight load is as follows:where .
The differential equations for the interface slip of the purely curved section under vehicular load show that the equations based on the equivalent section method do not contain the effect of the pre-stressing increment. The main reason for this is that under a concentrated load, the bending moment and shear force of the bending–shear section of the composite structure are constant, and its first-order derivative is zero. The interface slip of the pure bending section of the DSCG in the actual project will be affected to some extent by vehicle load. Therefore, whether the differential equation for the interface slip based on the equivalent section method can be used with the DSCG structure is yet to be proven.
3.2.2. Interfacial Slip Differential Equation Based on the Principle of Virtual Work Method
An interface slip differential equation solution based on the virtual work method was proposed, as shown in Figure 7 [30]. Assuming that the structure was in the elastic phase, based on the principle of the virtual work method and the deformation coordination condition, the internal force increment of the pre-stressing reinforcement can be derived, as shown in Equation (29):
where Ic0 is the moment of inertia of the section after conversion to concrete and Ac0 is converted to the area of the section after the concrete.
Figure 7.
Pre-stressing model of the DSCG.
The simplification of Equation (29) leads to the formula for the incremental internal force in the pre-stressing tendon, as shown in Equation (30)
The interfacial slip equations under different loads can be obtained by substituting Equation (30) into the differentiated equation of Equation (19). The differential equation for the relative slip of the DSCG under vehicle load was obtained from Equations (31) and (32). The differential equation for the relative slip of the DSCG under the action of self-weight was obtained in Equation (33).
- (1)
- The differential equation for the interfacial slip of the bending–shear section under vehicle load is as follows:where , i = 1, 2,..., 8.
- (2)
- (The differential equation for the interfacial slip at the pure bending section under vehicle load is as follows:where , i = 1, 2,..., 8.
- (3)
- The differential equation for the interfacial slip under self-weight load is as follows:where .
Based on the pre-stress increment expression of the principle of the virtual work method, the effects of various loads can be fully considered when solving the composite interfacial slip equation. However, the impact of the pre-stress increment expressions on the cross-section slip under different methods needs to be further analysed.
3.2.3. Verification Analysis of the Interface Slip Differential Equation under Different Pre-Stress Increment Calculation Methods
Setting boundary conditions is the key to solving the above differential equations. The boundary conditions are set under concentrated and uniform loads in two cases. The boundary condition under concentrated load is as follows: ① ; ② ; ③ ; ④ . The boundary condition under uniformly distributed load is as follows: ① ; ② . The interface slip distribution under different theoretical methods is shown in Figure 8. The relative value of the interfacial slip was the difference between the interfacial slip under different methods and the interfacial slip without the pre-stressing effect.
Figure 8.
(a) Interfacial slip; (b) Relative value of interfacial slip. Interface slip distribution under different theoretical methods.
As shown in Figure 8a, the calculation results of the effects of the different pre-stress increment methods on the interface slip of the DSCG do not differ significantly, and the effect of the pre-stress on the interface slip is limited. It can be seen from Figure 8b that the pre-stressing increments calculated by the equivalent section method and the principle of the virtual work method do not have the same effect on the interfacial slip of the DSCG. The total amount of interfacial slip is lower than that obtained with the principle of the virtual work method because the equivalent section method cannot accurately calculate the slip of purely curved sections under concentrated load. In addition, the results of the principle of the virtual work method are similar to those of the interface slip without the pre-stressing effect. The main reason for this is that the point of action of pre-stressing tendons is close to the centre of the composite section, and the impact of the pre-stressing effect on the interfacial slip is minor.
The maximum difference of the interface slip displacement under the converted section method is 3.44 × 10−6 m. The maximum value of the interfacial slip obtained according to the equivalent section method is 4.62 × 10−4 m, and the difference proportion is 0.74%. Under the elastic analysis method, the maximum interfacial slip displacement difference value is 1.63 × 10−7 m. The maximum value of the interfacial slip obtained under the equivalent section method is 4.66 × 10−4 m, and the percentage difference is 0.03%. From the literature [31], where the effect of the interfacial slip with a composite structure is less than 5%, it is clear that the pre-stressing impact on the interfacial slip of the DSCG is lower than that of the conventional composite structure. Therefore, the pre-stressing increment calculated by the equivalent section method and the principle of the virtual work method has little effect on the calculation results of the interface slip of the DSCG. However, the calculation accuracy of the principle of the virtual work method is higher than that of the equivalent section method. In this paper, we studied the results of the pre-stress increment calculation using the principle of the virtual work method to calculate the axial force and deflection.
3.3. Solution of Deflection and Axial Force Equations
3.3.1. Flexural Differential Equation
Firstly, Equation (15) leads to Equations (34) and (35), as follows:
The v can be obtained via Equation (16), as shown in Equation (36). With Equation (35) being differentiated, the fourth-order differential equation of deflection can be obtained, as shown in Equation (37):
If the deflection deformation equation is solved, the axial force N in Equation (36) must be eliminated. According to the equilibrium equation for the cross-section of the micrometric body, Equation (38) was obtained, as follows:
Subsequently, Equation (37) was simplified by the expression of the incremental internal force of the pre-stressing reinforcement, and Equations (38) and (39) were obtained further through the load form and interface force characteristics of the DSCG and Equation (39), as follows:
where , , , , .
We obtained the cross-sectional deflection equation for the DSCG composite structure under the action of the concentrated load and uniform load. The deflection equations of the guideway under vehicle load were Equations (40) and (41), and the deflection equation for the guideway under self-weight was Equation (42).
- (1)
- The deflection equation for the bending-and-shear section under vehicle load is as follows:where , i = 1, 2,..., 8.
- (2)
- The deflection equation for the pure bending section under vehicle load is as follows:where , i = 1, 2,..., 8.
According to the characteristics of the boundary conditions of the DSCG, the boundary conditions can be obtained, as follows: ① ; ② ; ③ ; ④ ; ⑤ ; ⑥ ; ⑦ ; ⑧ .
- (3)
- The deflection equation under the action of the self-weight load is as follows:where .
According to the characteristics of the boundary conditions of the DSCG, the boundary conditions can be obtained, as follows: ① ; ② ; ③ ; ④ .
3.3.2. Axial Force Differential Equation
Based on the small effect of the pre-stressing internal force increment on the axial force of the concrete and steel guideways, the impact of pre-stressing was neglected when establishing the axial force differential equation [25]. The axial force differential equation was obtained through the curvature expression, as shown in Equation (43):
Through Equation (43), the axial force differential equation can be obtained by simplifying it as Equation (44):
where , .
Furthermore, through the DSCG load form, the interface force characteristics, and Equation (44), we obtained the cross-section axial force equation for the DSCG under concentrated load and uniform load. The equations for the axial force of the guideway under the action of vehicle load were Equations (45) and (46). The equation for the axial force of the guideway under the action of self-weight was Equation (47).
- (1)
- The axial force equation for the bending-and-shear section under centralised load is as follows:where , i = 1, 2,..., 8.
- (2)
- The axial force equation for the pure bending section under centralised load is as follows:where , i = 1, 2,..., 8.
According to the characteristics of the boundary conditions of the DSCG, the boundary conditions can be obtained as follows: ① ; ② ; ③ ; ④ .
- (3)
- The axial force equation under uniform loads is as follows:where .
According to the characteristics of the boundary conditions of the DSCG, the boundary conditions can be obtained as follows: ① ; ② .
4. Development of Internal Force and Deformation of the DSCG with Span L = 30 m
The slip stiffness of the composite interface and the type of external load are the main influences on developing internal forces and deformations in the DSCG [32,33]. We combined the differential equations of internal forces and deformations obtained by the elastic analysis method. Subsequently, the variation rule of the internal force and deformation distribution along the length was investigated.
4.1. Interface Slip Analysis
The interface slip of the DSCG guideway is a critical factor affecting the structure’s bending capacity. In addition, the combined interface adopts the peg connection, and the peg belongs to the flexible connectors. Therefore, interface slip in the DSCG guideway is unavoidable. A summary of the interface slip in the duplex combination guideway with span L = 30 m under different loads is shown in Figure 9. From Figure 9a,b, it can be seen that the interface slip in the dual-use guideway has the same distribution trend. It is shown that the mid-span slip is zero, and that the support position slip is the maximum value. However, the main factor influencing the interface slip is the guideway’s self-weight load. The maximum value of the slip under total load is 0.466 mm. Specifically, the maximum value of the interface slip under self-weight load only reaches 0.249 mm, which accounts for 53.43% of the total slip under all loads. The interface slip values under straddle and suspended train loads are relatively small, with maximum values of 0.166 mm and 0.051 mm, respectively. In particular, the maximum value of interfacial slip due to a straddle train load is 2.69 times the maximum slip value due to a suspended train load.
Figure 9.
(a) Distribution of interface slip along the longitudinal guideway; (b) Relative value of interfacial slip; (c) Influence of stiffness of connectors on interfacial slip; (d) Distribution of the maximum value of interfacial slip under different loads. Summary of interfacial slip for the DSCG with span L = 30 m.
Based on Figure 9c and the data in Table 4, it can be seen that the interfacial slip is most significant at a slip stiffness of 0.5 kL, with a maximum value of 0.88 mm. As the cross-section slip stiffness increases, the cross-section slip gradually decreases. The interfacial slip is the smallest at a slip stiffness of 1.5 kL, and the maximum value reaches 0.318 mm, which is 0.36 times the interfacial slip at a slip stiffness of 0.5 kL. Based on Figure 9d and Table 3, it can be seen that the interfacial slip is at its maximum at a load of 1.5 P, with a maximum value of 0.574 mm. The minimum interfacial slip was observed at the load of 0.5 P, with a maximum value of 0.357 mm, which was 0.62 times the load of 1.5 P. Therefore, increased interfacial slip stiffness under the same load decreases the interfacial slip. The load increases with the same interfacial slip stiffness, which increases the interfacial slip. According to the overall distribution of the curve, the interfacial slip does not decrease infinitely with the increase in the interfacial slip stiffness, and there is a critical value. This trend illustrates why the overall distribution of the curve changes from sparse to dense with the increase in slip stiffness. When the slip stiffness reaches the critical value, the cross-section slip no longer increases. At the same time, the structure is in a state of complete interaction.
Table 4.
Statistics for the maximum value of composite interface slip under different connection stiffnesses and loads.
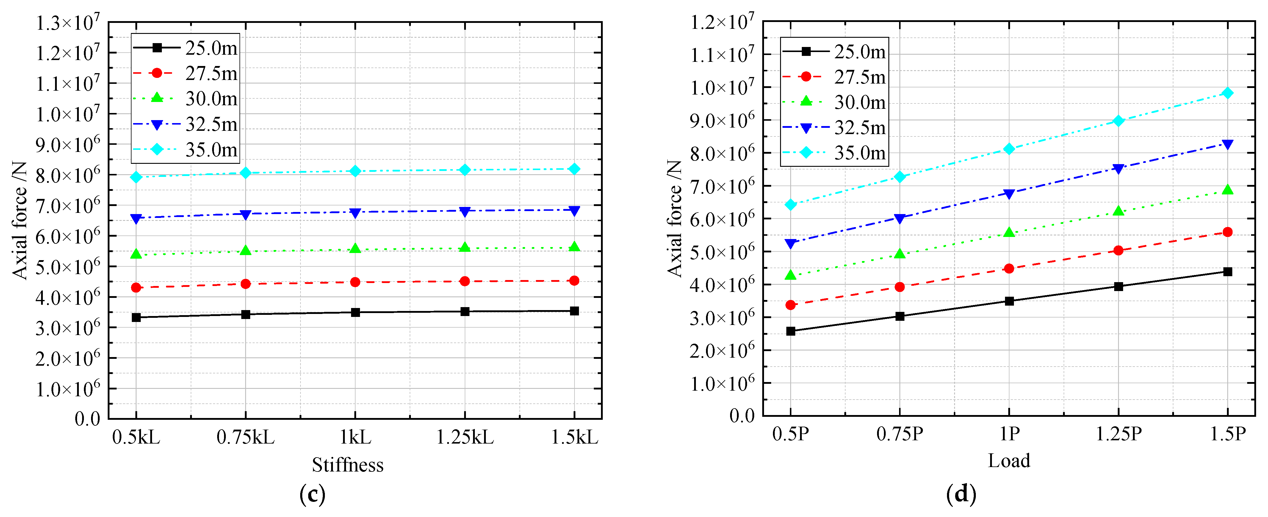
4.2. Axial Force Analysis
Due to the presence of a pre-stressing effect inside the PC guideway, the axial force of the DSCG is generally taken as the axial force of the lower steel guideway or the axial force of the upper PC guideway minus the pre-stressing increment. The summary of the axial force of the DSCG with the span of L = 30 m under different influencing factors is shown in Figure 10. From Figure 10a,b, it can be seen that the distribution of the axial forces of the DSCG has the same trend. That is to say, the maximum value is taken at the mid-span position, and the axial force is zero at the support position. The maximum value of the axial force under total load is 5.55 × 106 N. Specifically, the maximum value of the axial force under self-weight load only reaches 2.95 × 106 N, accounting for 53.15% of the total axial force under all loads. The proportion of axial force under the straddle and suspended vehicle loads is minor, with maximum values of 1.88 × 106 N and 7.26 × 105 N, respectively. In particular, the maximum value of axial force caused by the straddle vehicle load is 2.59 times the maximum value of the slip of the suspended vehicle load.
Figure 10.
(a) Distribution of axial force along the longitudinal guideway; (b) Maximum distribution of axial force under different loads; (c) Influence of stiffness of connectors on axial force; (d) Effect of load on axial force. Summary of axial forces for the DSCG with span L = 30 m.
Based on Figure 10c and Table 5, it can be seen that the axial force is at its maximum with the slip stiffness of 1.5 kL, with a maximum value of 5.61 × 106 N. The axial force decreases as the section slip stiffness decreases. The maximum value of the axial force is the smallest at the slip stiffness of 0.5 kL, with a maximum value of 5.37 × 106 N, which is 0.96 times the axial force with the slip stiffness of 1.5 kL. Based on Figure 10d and Table 4, it is clear that the axial force is at its maximum at the load of 1.5 P, with a maximum value of 6.92 × 106 N. The axial force is lowest under the load of 0.5 P, with a maximum value of 4.25 × 106 N, which is 0.61 times the value under the load of 1.5 P. The axial force at the load of 1.5 P is the minimum.
Table 5.
Maximum axial force statistics for different connection stiffnesses and loads.
Therefore, an increase in the interface slip stiffness under the same load will increase the maximum value of the axial force. In addition, the rise in load also leads to an increase in the axial force for the same interfacial slip stiffness. According to the overall distribution of the curves, it can be seen that the connection stiffness does not have a significant influence on the axial force, and the distribution of the five curves is relatively dense. When the slip stiffness reaches the critical value, the cross-section slip will no longer increase, and at this time, the structure is in a fully interactive state. The effect of the increase in the unit connector stiffness on the axial force is within the range of 0–4%.
4.3. Deflection Analysis
The deformation of the deflection of the DSCG has a significant impact on the operation of the upper and lower vehicles. The influence of the interface slip on the interface stiffness of the composite guideway will eventually be reflected in the deflection change. Different influencing factors under the span of L = 30 m of the DSCG vertical deformation summary are shown in Figure 11. Based on Figure 11a,b, it can be seen that the vertical deflection distribution of the DSCG shows the same trend. The maximum value is measured at the span’s centre position, and the vertical deformation is zero at the support position. Under the total load, the maximum value of the vertical deformation is 22.61 mm. Specifically, the maximum value of the vertical deformation under self-weight load only reaches 11.91 mm, accounting for 52.68% of the total deformation under all loads. The proportion of vertical deformation under straddle and suspended vehicle loads is relatively minor, with maximum values of 7.841 mm and 2.857 mm, respectively. Specifically, the maximum slip deformation value caused by straddle vehicle load is 2.74 times the maximum suspension value.
Figure 11.
(a) Distribution of vertical deformation along the longitudinal guideway; (b) Distribution of vertical deformation under different loads with maximum values; (c) Influence of stiffness of connectors on vertical deformation; (d) Effect of load on vertical deformation. Summary of vertical deformation of the DSCG with span L = 30 m.
Based on Figure 11c and Table 6, it can be seen that the vertical deformation is most significant with a slip stiffness of 0.5 kL, with a maximum value of 24.233 mm. The vertical deformation gradually decreases with the increase in the section slip stiffness. The maximum value of the vertical deformation with the slip stiffness of 1.5 kL is the smallest, and the maximum value is 22.045 mm, which is 0.91 times the axial force with a slip stiffness of 0.5 kL. Based on Figure 11d and Table 5, it can be seen that the vertical deformation is at its maximum under the load of 1.5 P, with a maximum value of 27.96 mm. The vertical deformation is the smallest under the load of 0.5 P, with a maximum value of 17.262 mm, which is 0.61 times that under the load of 1.5 P. Therefore, increasing the interface slip stiffness under the same load can reduce vertical deformation. In addition, the increase in load under the same interface slip stiffness also leads to increased vertical deformation. According to the overall distribution of the curves, it can be seen that the connection stiffness does not significantly influence the deflection, and that the distribution of the five curves is relatively dense. When the slip stiffness has reached the critical value, the cross-section slip will no longer increase, and at this time, the structure is in a state of complete interaction. The effect of the increase in the unit connector stiffness on the deflection is within the range of 0–10%.
Table 6.
Statistics for deflection maximum under different connection stiffnesses and loads.
In summary, the composite interface of the DSCG is connected by shear studs, which are flexible connectors. The composite interface will produce a certain amount of cross-section slip under load, thus affecting the flexural stiffness and load-carrying capacity of the guideway structure. The factors influencing the interface slip, axial force, and vertical deformation mainly include self-weight, vehicle load, interface slip stiffness, and load size. The self-weight load significantly influences the structural interfacial slip, axial force, and vertical deformation, accounting for about 53% of the total load, specifically 53.43%, 53.15%, and 52.68%. The maximum values of interface slip, axial force, and vertical deformation caused by straddle vehicle load are around 2.69 times, and the maximum values of the suspended load are precisely 2.69, 2.59, and 2.74 times. The ratio of the axle weights of the two vehicle types is 2.67 times or so. Therefore, the effect of the vehicle axle weight on the axial force and deformation of the DSCG increases linearly with the load increase. The variation of the load and interfacial slip stiffness significantly affects the interfacial slip, but the slip does not decrease infinitely with the rise in interfacial slip stiffness. The increase in interface slip stiffness does not substantially influence the axial force and deflection of the DSCG, and the influence changes are within 4% and 10%, respectively. In addition, under the same load, the maximum value of the interfacial slip for the interfacial slip stiffness of 1.5 kL is 0.36 times that of the interfacial slip for the slip stiffness of 0.5 kL. At this point, the multiplier relationship between the axial force and the maximum value of the vertical deflection is 0.96 and 0.91 times. The multiplicative relationships between the maximum values of the interfacial slip, axial force, and vertical deformation induced under the load of 0.5 P and the load of 1.5 P are 0.62, 0.61, and 0.61 times, respectively. The scaling relationship is twice the ratio of the guideway loads (around 0.33).
5. Additional Deformation Theory and Finite Element Model Validation
The internal force and deformation equations based on the elastic analysis method achieved good results in analysing the DSCG with a span of L = 30 m. However, the results still needed to be further verified, and this was undertaken by using the additional deformation method and finite element analysis (FEA).
5.1. Additional Deformation Theory
The additional deformation theory [34,35] is a method that adopts the final calculation formula of the deformation of a combined structure obtained by calculating the deformation of the composite guideway under complete interaction and the additional deformation caused by the slip effect, respectively, followed by the principle of superposition. The deformation obtained according to the additional deformation method mainly includes deformation under complete interaction, the additional deformation caused by the slip effect, and the initial deformation. In particular, the initial deformation primarily refers to the pre-arch caused by the pre-stressing effect. Under complete interaction, the composite guideway can be calculated using the converted section method, which converts the material of the combined structural section into the same material. Next, the deformation formula for the composite guideway can be obtained using the material mechanics calculation formula. The deformation formula for the composite guideway under concentrated load is shown in Equation (48). The deformation formula for the composite guideway under uniform load is shown in Equation (49):
where b is the distance from the point of the load application to the beam end; l0 is the distance between symmetrical concentrated loads; and I0c is the moment of inertia of the combined section after conversion to the concrete section.
According to the assumption of the additional deformation method, the slip of the interface of the composite guideway will increase the deformation, and the additional deformation due to the slip effect can be calculated using the slip strain. It should be noted that the solution of the slip strain equation in the calculation of the additional deformation method in this paper is based on the principle of elastic analysis. Moreover, the differential expression for the cross-section slip calculated based on the principle of virtual work is chosen. The specific equation expressions are Equations (30)–(32), and the corresponding slip strain equation can be obtained by their derivation, as shown in Equation (50). The additional deformation equation obtained according to the principle of virtual work is shown in Equation (51).
where is the slip strain; the deformation of the bending-and-shear section under concentrated load is recorded as ; and the deformation of the pure bending section is .
The calculation of the initial deflection, mainly before the external load, is due to the existence of the pre-stressing effect of the combined structure, which produces a reverse arch, causing the initial deflection, as shown in Equation (52):
where T0 is the initial tension value of the pre-stressing steel. The formulas for calculating the mid-span deformation of the composite guideway under concentrated and uniform loads are shown in Equations (53) and (53):
where f1 and f2 are the values of the vertical deflection in the span of the composite guideway under concentrated and uniform loads. The summary of the mid-span deflection deformation data for the DSCG calculated by the elastic analysis method and the additional variational method is shown in Table 7.
Table 7.
Summary of data calculated by the elastic analysis method and the additional deformation method (unit: mm).
According to Table 7, it can be seen that the mid-span deflection data for the DSCG calculated by the additional deformation method are closer to the data for the elastic analysis method studied in this paper, and the error is controlled within the range of 0–11.19%. The data for the additional deformation method verify the guideway deflection data obtained based on the elastic analysis method. On this basis, we will further examine the finite element model.
5.2. Establishment of the FEA
5.2.1. Finite Element Model Parameterisation
The software’s finite element calculation uses the large-scale FEA software ABAQUS 2022. To further verify the validity of the structural deformation and axial force distribution laws of the DSCG based on the elastic analysis method, a finite element model was developed in conjunction with the shear stud arrangement scheme in Section 2.3. The upper PC guideway of the FEA was modelled using 3D solid unit tensile modelling, and the hoop reinforcement, longitudinal reinforcement, and pre-stressing reinforcement were modelled using a 3D line unit. All the above models were built into the software’s editor. We set the rigid pads at the position of concentrated load application to avoid the calculation abnormality caused by stress concentration in model checking. At the same time, since the DSCG was a symmetric structure, the model was built by symmetric modelling. The summary of the property settings of each material is shown in Table 8.
Table 8.
Summary of parameters for each type of material.
The configuration of the pre-stressing reinforcement adopted a 30 m straddle linear guideway arrangement form, six bundles of 1 × 7 strands on each side, with 12 bundles arranged symmetrically. The nominal diameter of the strand was 15.2 mm, and the tensioning control stress was set as 1141.7 MPa. The strand used an 1860 steel strand, and the temperature linear expansion coefficient was about 1.15 × 10−5/°C. The principle of temperature reduction was used to apply the pre-stressing force. The pre-stressing force was applied using the principle of cooling [36]. The pre-stressing reinforcement was cooled down to make it shrink to achieve the pre-stressing force application.
In the design of the finite element model, the end of the boundary condition was mainly connected to the guideway through the elastomer, and the elastomer position was the position of the two ends of the DSCG. In this case, the boundary condition adopted the supported beam boundary, i.e., the constraint form of the supported boundary was adopted for the support, in which one of the constraint block boundary constraints, U1, U2, and UR3, was applied. The symmetric section was selected as ZSYMM (U3 = UR1 = UR2 = 0). UR1, UR2, and UR3 denote the rotational degrees of freedom along the coordinate axes x-axis, y-axis, and z-axis, respectively. The external loads were applied by centralised force, and the gravity loads were used for the entire model by the gravity module of the software.
The mesh attributes of the concrete structure were C3D8R. The truss cell, T3D,2 was used for the steel structure. The FEA simulation of the shear studs adopted the section connector, considering that the composite interface has only three degrees of freedom in the x, y, and z directions. At the same time, Basic’s most fundamental connection properties were used, and the section connection types were the Cartesian and the Rotation [37,38]. We added the elastic property in Behavior Options by ticking F1, F2, and F3 in Force/Moment and defined the corresponding spring stiffnesses D11, D22, and D33 to complete the definition of the shear stud simulation. In establishing the FEA, it is necessary to solve the stiffness matrix of the shear stud at the composite interface position, as shown in Equation (55). Because of the structural characteristics, the finite element mesh of the concrete and steel guideways adopts a hexahedral mesh, and the mesh size is 100 mm. The pre-stressed steel bars and ordinary steel bars adopt truss elements. The mesh attributes of the concrete structure were C3D8R. The truss cell T3D2 was used for the steel structure.
where D11 and D33 are the shear stiffness of the shear stud connectors and D22 is the shear stud bar line stiffness.
To ensure the accuracy of the finite element model and the theoretical calculation, the arrangement of the shear stud connectors in the theoretical calculation model and the finite element model adopted a unified arrangement scheme. The shear stud structure in the finite element model adopted the data in Table 1, and the shear stud arrangement scheme adopted the data in Table 2. Based on the arrangement scheme of the shear stud connectors in the finite element model, it could be seen that the slip stiffness of the shear studs in three directions was D33 = 3.63 × 108 N/m, and that D11 and D22 were infinite.
5.2.2. Material Constitutive Model
The differential equations for the interface slip equation and the axial force and deflection of the DSCG were established using the elastic analysis method. In the actual engineering application, the problem of material non-linearity had a more significant influence on the axial force and deflection of the structure. Therefore, we established the FEA by considering material non-linearity and not considering material non-linearity. The plasticity parameters of the concrete constitutive model were selected with damage plasticity as the selection criterion [39], and the data model of the plasticity parameters is shown in Figure 12. The plasticity model parameters for the steel reinforcement were a Young stress of 210 MPa and a Poisson strain of 0.
Figure 12.
(a) Stress-vehicle curve of concrete in plastic compression; (b) Plastic stress-vehicle curve of concrete in tension. Principle of selection of plasticity parameters for the C60 concrete’s constitutive model.
5.2.3. Data Analysis of the FEA
The deflection deformation cloud of the FEA considering material non-linearity is shown in Figure 13. Since the bottom of the steel guideway deflects more under the vehicle load, the suspended load is directly applied to the top end of the PC guideway. The deflection and interface slip values of the DSCG were obtained at the bottom of the PC guideway and the top of the steel guideway at the midline position as the data collection area, which was also the focus of the data study of this paper. In addition, the deflection of the dummy position of the guideway was significant, which affected the effect of the cloud map display. Therefore, the deflection cloud map of the PC guideway was extracted.

Figure 13.
(a) Overall deflection deformation considers material non-linearity; (b) Partial deflection deformation, which considers material non-linearity; (c) Overall deflection deformation without considering material non-linearity (d) Partial deflection deformation without considering material non-linearity. Cloud view of the FEA of the DSCG.
- (1)
- Interface slip data analysis
In the calculation of the interface slip, the difference between the longitudinal displacement of the bottom plate of the PC guideway and the longitudinal displacement of the top plate of the steel guideway was measured as the object of study of the interface slip. The specific deflection and interface slip data are shown in Figure 14. Based on Figure 13 and Figure 14, it can be seen that the deformation of the DSCG U2 will be larger than that of the FEA, considering only the linear elastic material if the non-linearity of the material is considered. The interfacial slip relationship, with the linear elasticity of the material being considered, is close to the curve distribution of the theoretical model of the DSCG built based on the elastic analysis method. In addition, the data for the interface slip in Figure 14a,b show that the deflection maxima are unequal. The maximum value of the deflection when considering material non-linearity is 0.43 mm. The maximum value of the deflection without considering material non-linearity is 0.46 mm. The linear elastic finite element model deflection data are numerically closer to the theoretical model data. The theoretical model interface slip maximum value is 0.47 mm.
Figure 14.
(a) Consideration of interfacial slip for material non-linearity; (b) Interface slip considering material linear elastic. The FEA of the DSCG interface slip data.
- (2)
- Analysis of guideway axial force and deflection data
As shown in Figure 15, the finite element model of the reused guideway is 5.34 × 106 N in terms of the axial force data, considering the mid-span axial force of the trackway beams of non-linear materials. Furthermore, the mid-span axial force of the guideway, considering only the linear elastic material, is 5.35 × 106 N. This is numerically lower than the theoretical model data, which are 5.55 × 106 N.
Figure 15.
Axial force data for the FEA of the DSCG.
As shown in Figure 16, the deflection at the mid-span position of the guideway of the non-linear material is considered in the deflection deformation, which is 23.22 mm. Meanwhile, only the deflection at the mid-span position of the linear elastic material guideway, which is 22.56 mm, is considered. Numerically, the deflection data is close to the theoretical model value, which is 22.61 mm. In addition, since the vertical stiffness of the pegs was taken as infinity, the deflection deformation of the bottom of the concrete beam was the same as that of the top of the steel beam, and the vertical lifting was not considered during the study.
Figure 16.
The FEA of the DSCG deflection data.
In summary, the finite element model considering material linear elasticity is closer to the theoretical analysis model based on the energy method in terms of axial force and deformation. Considering the data in Figure 14, Figure 15 and Figure 16, it can be seen that the material non-linearity has a more significant influence on the interface slip and deflection of the DSCG data, and the primary impact is only limited to the mid-span position. However, relative to the axial force, the material non-linearity is a factor that has to be considered. In particular, the interfacial slip and deflection of the finite element model considering the material linear elasticity are numerically closer to the theoretical data. From the overall point of view, both the theoretical data and the finite element model data can describe the axial force and deflection behaviour of the reusable guideway well. Therefore, the correctness of this paper’s theoretical modelling and method derivation is further confirmed.
5.3. Discussion of the FEA Data
The most significant advantage of the additional deformation method in Section 5.1 is that it combines the interface slip equation derived from the elastic analysis method in this paper with more mature theories, such as the pre-stress effect analysis and the converted cross-section method, to complete the calculation of the vertical deformation of the DSCG. Therefore, the data for the additional deformation method are relatively reliable. According to the analysis results, it can be seen that the maximum value of the calculation error for the vertical deflection under straddle, suspended, and self-weight loads, as well as the total load, is within 11%. Specifically, the suspended load is 11.19%, and the difference is only 0.32 mm. Therefore, it can be said that the results of the additional deflection method and the elastic analysis method in this paper are consistent and within the reasonable tolerable error.
Furthermore, in establishing the theoretical model of the elastic analysis method, we assumed that the combined cross-section conforms to the flat cross-section assumption, i.e., all the material deformations are linearly elastic. This assumption was made for ease of calculation, whereas in actual tests, the deformation of the sections is much more complex than the flat section assumption. In particular, the non-linearity of the concrete material has a significant influence on the data. Therefore, we compared the data by considering the material non-linearity and linear elasticity based on the original data. This ensured the reliability of the finite element model and experimental test data. According to the analysis of the finite element data, it can be seen that the finite element results considering the material linear elasticity are closer to the theoretical data because the material linear elasticity is also the basic assumption of the elasticity analysis method. However, it should be noted that the problem is usually complex in our actual testing process, and the concrete materials are primarily non-linear. Therefore, there is a specific error between the theoretical and actual models. To solve this problem, we add and consider the material non-linear model in the finite element simulation. This is primarily intended to make the finite element results more closely match the experimental data.
6. The Development Law of Internal Force and Deformation of the DSCG with Different Spans
In monorail traffic engineering, the commonly used guideway spans are generally 22 m, 25 m, 30 m, 32.5 m, and 35 m. For suspended monorail guideways, the span is usually 30 m. The straddle guideway spans over 30 m and must be used as a combination of structures. In this paper, an analysis is carried out for five different spans. Next, the internal force and deformation law of the DSCG under different spans and the force or deformation of the DSCG under different slip stiffness and loads are further studied.
6.1. Analysis of Interface Slip Distribution of the DSCG with Different Spans
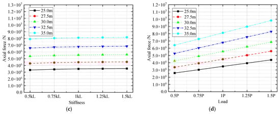
The summary of the distribution of the interfacial slip for the DSCG with different spans is shown in Figure 17. Based on Figure 17a,b, it can be seen that the distribution curves of the interfacial slip under different spans have similar trends. The distribution curve of the cross-section slip is a central symmetric curve with the centre of the interface of the DSCG as the origin. As the span increases, the maximum value of the interfacial slip at both ends of the guideway increases. The value of the interfacial slip is at its maximum at a span of L = 35 m, and the maximum value is 0.569 mm. The maximum value of the interfacial slip is smaller than 25 m, and the maximum value is 0.365 mm, which is 0.64 times the maximum value of the interfacial slip for the span of 35 m.
Figure 17.
(a) The overall distribution of interfacial slip; (b) Maximum distribution of interfacial slip; (c) Distribution of the maximum value of slip under different interfacial slip stiffnesses; (d) Distribution of the maximum value of slip under various loads. Distribution pattern of the interfacial slip of the DSCG with different spans.
Based on Figure 17c,d, it can be seen that the distribution patterns of the slip maxima are similar for different spans of guideways with different interface stiffnesses. With the increase in the interfacial slip stiffness, the interfacial slip decreases and shows a monotonically reducing form. When the interfacial slip stiffness reaches a particular value, the interfacial slips of different span guideways tend to converge to zero. In addition, with the load increase, the interfacial slip increases in the form of linear growth. The specific values of the maximum value of the interfacial slip of the DSCG under different influencing factors are shown in Table 9. Therefore, if the interfacial slip is too large in the guideway’s design scheme, increasing the interfacial slip stiffness and reducing the load or the span of the guideway can be adopted.
Table 9.
Summary of the maximum value of interfacial slip of the DSCG under different influencing factors (unit: mm).
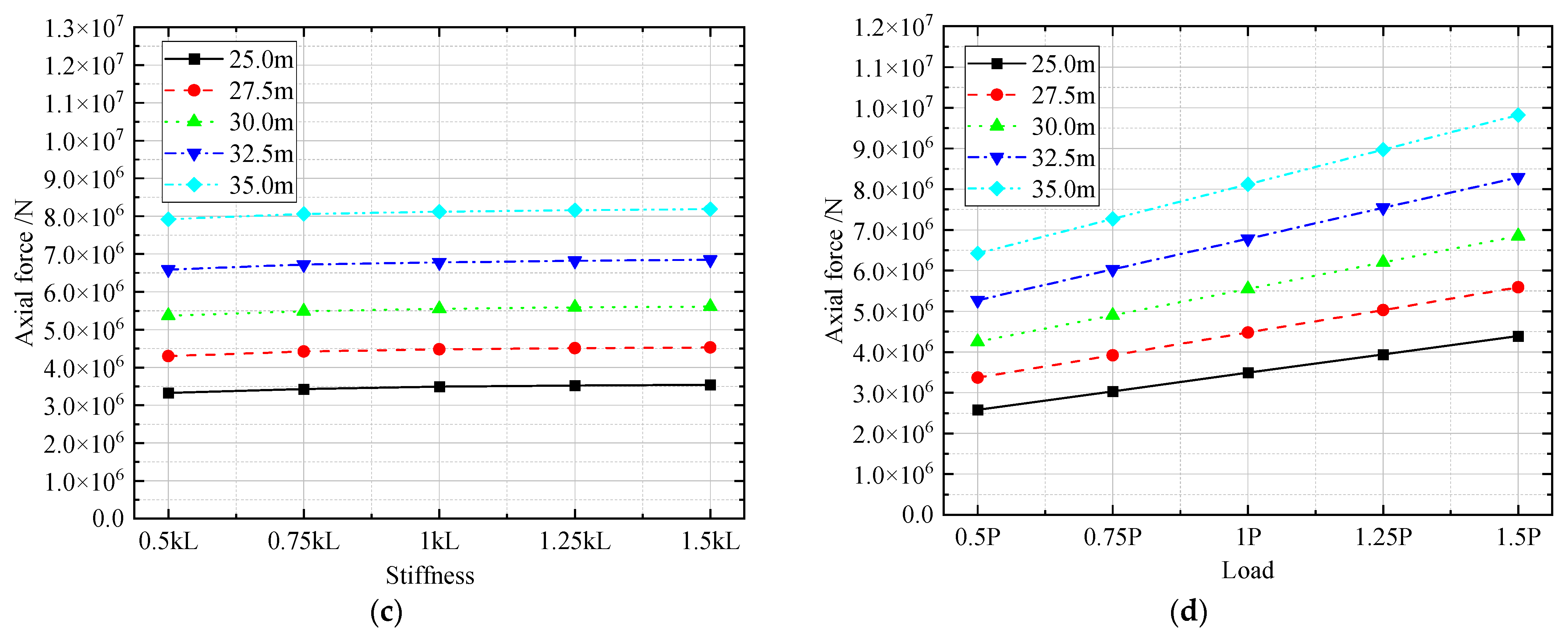
6.2. Distribution Analysis of Axial Force in the DSCG with Different Spans
The summary of the distribution of the axial forces for the DSCG with different spans is shown in Figure 18. Based on Figure 18a,b, it can be seen that the patterns of axial force distribution curves at different spans are similar. The overall performance is symmetrical, with the mid-span section also being symmetrical. In addition, the maximum value of the guideway’s axial force increases with the span’s increase. The maximum value of the axial force is more significant than 35 m, and the maximum value is 8.12 × 106 N. The maximum value of the interface slip is smaller than 25 m, and the maximum value is 3.49 × 106 N, which is 0.43 times the maximum value of the axial force for the 35 m span. The specific data are shown in Table 10.

Figure 18.
(a) Overall distribution of axial forces; (b) Maximum distribution of axial force; (c) Maximum distribution of axial force under different interface stiffnesses; (d) Maximum axial force distribution under various loads. Distribution pattern of axial force of the DSCG with different spans.
Table 10.
Summary of the maximum values of axial force of the DSCG with different influencing factors.
Based on Figure 18c,d, it can be seen that the distribution patterns of the axial force maxima are similar for different spans of guideways with different interface stiffnesses. With the increase in the interface slip stiffness, the interface slip will increase. However, the change will not be huge, and the overall performance is smooth, especially under the cross-section axial force for the span L = 35 m guideway, where there is almost no change. Therefore, according to the distribution law of the axial force curves of the different span guideways, the interface slip stiffness has little influence on the maximum axial force of different spans. In addition, with the increase in load, the maximum value of the axial force of the guideway increases, and it shows the form of a linear increase. Moreover, the change rule of the curve indicates that the span is proportional to the slope of the straight line. Therefore, if the axial force is too large in the design scheme of the guideway, the scheme for reducing the load or reducing the span of the guideway can be adopted, and the effect of increasing the interface stiffness on the axial force value can be ignored.
6.3. Vertical Deflection Distribution Analysis of the DSCG with Different Spans
The distribution of the vertical deformation of the DSCG with different spans is summarised in Figure 19. Figure 19a,b shows that the distribution curve law of the vertical deformation at different spans is similar to the axial force distribution law. The overall performance is symmetrical, with the mid-span section also being symmetrical. In addition, the maximum value of the vertical deformation of the guideway increases with the increase in the span. The maximum value of the vertical deformation is more significant than 35 m, at 43.5 mm. The maximum value of the vertical deformation of the DSCG for a span of 25 m is lower than for the other spans. The maximum value is 10.4 mm, which is 0.24 times the maximum value of the vertical deformation of the DSCG for a span of 35 m. The specific data are shown in Table 11.
Figure 19.
(a) Overall distribution of vertical deformation; (b) Maximum distribution of vertical deformation; (c) Overall distribution of vertical deformation under different interface stiffnesses; (d) Distribution of maximum value of vertical deformation under various loads. Distribution law of vertical deflection of the DSCG with different spans.
Table 11.
Summary of the maximum values of deflection of the DSCG with different influencing factors (unit: mm).
Based on Figure 19c,d, it can be seen that the distribution patterns of the vertical deformation maxima are similar for different spans of guideways with different interface stiffnesses. The vertical deformation decreases with the increase in the interface slip stiffness, but the change is insignificant, and the overall performance is smooth. Therefore, according to the distribution law of the vertical deformation curves of the guideway with different spans, it can be seen that the interface slip stiffness does not have a significant influence on the maximum vertical deformation of the guideway. In addition, with the increase in load, the maximum value of the vertical deformation of the guideway increases, in the form of linear growth, and the larger the span, the greater the slope of the straight line. Therefore, if the vertical deformation needs to be reduced in the guideway design scheme, the load reduction scheme can be taken, and the effect of increasing the interface stiffness on the vertical deformation value can be ignored.
In summary, the change in the interface slip stiffness of the guideway with different spans significantly influences the interface slip amount. It has a minor influence on the axial force and the maximum value of the vertical deformation. The interfacial slip, axial force, and deflection of the DSCG when the span is 25 m are 0.64, 0.43, and 0.24 times those of the 35 m guideway, respectively. Since the vertical deformation of the guideway will affect the safety and comfort of travelling in engineering design, it is necessary to combine the specific vertical deformation limit value to formulate a corresponding shear stud arrangement scheme.
7. Conclusions and Discussion
7.1. Conclusions
In this paper, the axial force and deformation behaviours of the DSCG were analysed on the theoretical basis of elastic analysis, and the conclusions drawn are mainly applicable to the combination structure of PC concrete on top and steel beams on the bottom. The findings of the study are as follows:
- In the elastic analysis of the DSCG, the pre-stress increment formulas based on the equivalent section method and the principle of the virtual work method have little effect on the slip of the combined interface. The specific figures are 0.74% for the virtual work principle method and 0.03% for the equivalent section method. Both methods of pre-stress increment calculation are suitable for the elastic analysis of DSCGs.
- In this study, we found that the self-weight load has the most significant impact on the structural axial force and deformation, accounting for about 53%. The maximum values of the interface slip, axial force, and vertical deformation when the interface slip stiffness is 1.5 kL are 0.36, 0.96, and 0.91 times the multiples of the slip stiffness, respectively when the slip stiffness is 0.5 kL. This is caused by the load of 0.5 P, which is 0.62, 0.61, and 0.61 times the multiples of the load of 1.5 P.
- The additional deformation theory was used to approximate the deflection deformation data of the DSCG based on the elastic analysis method, and the error was controlled within the range of 0–11.19%. The finite element model of material linear elasticity is closer to the theoretical model in terms of the interface slip and deformation, and the material non-linear factors have little effect on the axial force of the DSCG.
- Through the analysis of the axial force and deformation behaviour of the DSCG with different spans, the span and interface slip stiffness were found to significantly impact the interface slip amount and have a minor effect on the maximum value of the axial force and vertical deformation. The interface slip amount, axial force, and deflection of the span L = 25 m are 0.64, 0.43, and 0.24 times the span L = 35 m guideway, respectively.
7.2. Discussion
The DSCG is superior in deformation to single-format transit systems, such as straddle and suspended monorails. The data on straddle and suspended tests are statistically calculated by comparing the structural deflection deformation data of the guideway after load with the vehicle loads and before load [22,40,41]. In addition, the guideway in this study was symmetrically loaded with two vehicles, and the load on the guideway was twice the test load. The corresponding deflection data are summarised in Table 12. The load data in the theoretical model were set as 200 kN and 300 kN.
Table 12.
Comparison of deflection span ratio between experimental and theoretical data sets.
As can be seen from Table 12, the deflection-to-span ratio of the DSCG under straddle or suspended vehicle loads is less than that of the 25 m straight PC guideway and the 30 m suspended guideway. Especially under the suspended monorail vehicle load, the mid-span deflection of the DSCG is only 0.18 times that of the measured data for the 30 m linear guideway. However, under the most unfavourable load, the deflection ratio of the DSCG is higher than the measured data for a 25 m PC guideway. Therefore, the combination of the double system is more favourable for reducing the deformation of the suspended guideway, especially the transverse deformation. In contrast, the influence on the deformation of the straddle guideway is lower than that of the suspended guideway, albeit not that significantly.
In addition, the study of the DSCG based on the elastic analysis method mainly focused on analysing a single guideway’s axial force and deformation. The multi-system monorail transit exists in the form of double lines, and the influence of its transverse connecting beams on the structure as a whole and the study of the form of support involved are yet to be further developed. In addition, this paper’s cross-section form of the DCSG structure is relatively simple. The optimisation of the cross-section of the structure and the distortion of the curved structure will be the main research directions in the future.
Author Contributions
Conceptualisation, Z.B. and E.Z.; methodology, Z.B.; software, Z.B.; validation, E.Z., W.C. and H.J.; formal analysis, J.L.; investigation, Z.B.; resources, W.C.; data curation, H.J.; writing—original draft preparation, Z.B.; writing—review and editing, Z.B.; visualisation, W.C.; supervision, E.Z.; project administration, E.Z.; funding acquisition, E.Z. All authors have read and agreed to the published version of the manuscript.
Funding
This research was funded by the National Natural Science Foundation of China, grant number 52172335.
Data Availability Statement
All data are available within the manuscript.
Conflicts of Interest
The authors declare no conflicts of interest.
References
- Yuan, H.; Zeng, Q.; Li, Y.; Deng, X.; Cui, X. A three-dimensional development of local transition space of Japanese rail stations. Tunn. Constr. 2023, 43, 1379–1386. [Google Scholar]
- Zhao, H.; Ding, Y.; Li, A. Representation of in-service performance for cable-stayed railway-highway combined bridges based on train-induced response’s sensing data and knowledge. Sensors 2022, 22, 3247. [Google Scholar] [CrossRef]
- A Double-Frame Space Transit Structure Based on Monorail Traffic; CN201821435988.4; Beijing Jiaotong University: Beijing, China, 4 May 2021.
- Monorail Transportation-Based Spatial Transit System; WOCN2019/104237; Beijing Jiaotong University: Beijing, China, 2020.
- A Three-Level Columnar Space Transit System Based on Monorail Traffic; CN109137650A; Beijing Jiaotong University: Beijing, China, 4 January 2018.
- Song, P. Analysis of Factors Influencing the Local Force Performance of the Double-Standard Monorail Guideway; Beijing Jiaotong University: Beijing, China, 2019. [Google Scholar]
- Hu, T. Research and Software Development on Standardisation of Formwork and PC Guideway for Multi-Standard Monorail Transit; Beijing Jiaotong University: Beijing, China, 2019. [Google Scholar]
- Newmark, M.; Sies, P.C.; Viest, I.M. Test and analysis of composite beams within complete interaction. Exp. Stress Anal. 1951, 9, 896–901. [Google Scholar]
- Johnson, R.P.; May, I.M. Partial-interaction design of composite beams. Struct. Eng. 1975, 53, 361–383. [Google Scholar]
- Davies, C. Steel concrete composite beams with flexible connectors: A survey of research. Concrete 1967, 12, 425–430. [Google Scholar]
- Slutter, R.G.; Driscoll, C.G. Flexural strength of steel-concrete composite beams. Proc. ASCE J. Struct. Div. 1965, 91, 71–99. [Google Scholar] [CrossRef]
- Ashakul, A.; Khampa, K. Effect of plate properties on shear strength of bolt group in single plate connection. Steel Compos. Struct. 2014, 16, 611–637. [Google Scholar] [CrossRef]
- Ding, Y.; Ye, X.; Zhang, H.; Zhang, X. Fatigue life evolution of steel wire considering corrosion-fatigue coupling effect: Analytical model and application. Steel Compos. Struct. 2024, 50, 363–374. [Google Scholar] [CrossRef]
- Ding, Y.; Wei, Y.; Xi, P.; Ang, P.; Han, Z. A long-term tunnel settlement prediction model based on BO-GPBE with SHM data. Smart Struct. Syst. 2024, 33, 17–26. [Google Scholar] [CrossRef]
- Ding, Y.; Ye, X.; Guo, Y. Copula-based JPDF of wind speed, wind direction, wind angle, and temperature with SHM data. Probabilistic Eng. Mech. 2023, 73, 103475. [Google Scholar] [CrossRef]
- Wang, G.; Wang, F.; Qiu, P.; Zeng, J. Theoretical analysis of double composite beam deformation in the elastic state by Goodman elastic sandwich method. China Railw. Sci. 2006, 05, 66–70. [Google Scholar]
- Wang, L.; Liu, Z.; Cao, Y. Analysis of the shear connector and interface slip on steel-pumice concrete composite beam. Ind. Constr. 1995, 03, 18–23+33. [Google Scholar]
- Nie, J.; Gao, C.; Zhou, T. Calculation of bearing capacity of pre-stressed steel-concrete combination beams. Build. Struct. 2002, 32, 56–57+59. [Google Scholar]
- Wang, L.; Ha, N.; Yu, J. Deformation analysis of composite concrete girders with cold formed u-bar based on energy theory. J. Northeast. Univ. (Nat. Sci.) 2009, 30, 438–440+444. [Google Scholar]
- Steinberg, E.; Selle, R.; Faust, T. Connectors for timber-lightweight concrete composite structures. J. Struct. Eng. 2003, 129, 1538–1545. [Google Scholar] [CrossRef]
- Khorsandnia, N.; Valipour, H.R.; Crews, R. Experimental and analytical investigation of short-term behavior of LVL-concrete composite connections and beams. Constr. Build. Mater. 2012, 37, 229–238. [Google Scholar] [CrossRef]
- Li, X.; Zhu, E.; Liu, L. Static bending test of 25 m linear pc guideway for straddle monorail traffic. Railw. Eng. 2008, 08, 19–21. [Google Scholar]
- Zhu, E.; Bai, Z.; Li, J.; Xu, G.; Duan, H.; Su, G. Optimised Design, Intelligent Software Development, and Experimental Verification of PC Guide Way for Cross-seat Monorail Transportation. Railw. Stand. Des. 2006, 69, 1–12. [Google Scholar] [CrossRef]
- Xie, Q. Research on Suspended Monorail Design of the System Guideway Structure; Southwest Jiaotong University: Chengdu, China, 2016. [Google Scholar]
- JTG/T D64-01—2015; Specifications for Design and Construction of Highway Steel-Concrete Composite Bridge. China Communication Press: Beijing, China, 2015.
- An, R.; Wang, Y. Experimental and numerical studies on shear stud connectors under combined shear and tension force. Adv. Struct. Eng. 2023, 26, 2657–2671. [Google Scholar] [CrossRef]
- Xu, H.; Zhang, S.; Rong, B. Investigation on shear behavior of studs and PBL shear connectors in steel-concrete hybrid bridge girder. Structures 2022, 43, 1422–1435. [Google Scholar] [CrossRef]
- GB 50017-2017; Code for Design of Steel Structures. China Plan Publishing House: Beijing, China, 2017.
- JTG D64-2015; Specifications for Design of Highway Steel Bridge. China Communication Press: Beijing China, 2015.
- Wang, L.; Liu, Z. Theoretical Analysis and Experimental Research on Steel Plate-pumice Concrete Composite Beam. Ind. Constr. 1994, 05, 26–32. [Google Scholar]
- Wang, L. Pre-stressed cold-formed U-shaped steel and concrete combination beams. In Pre-Stressed Composite Structures of Steel and Concrete, 1st ed.; Science Publishing House: Beijing, China, 2009; Volume 01, pp. 111–120. [Google Scholar]
- Li, Y.; Xiong, F.; Xie, L.; Sun, L. State-space method for dynamic responses of double beams with general viscoelastic interlayer. Compos. Struct. 2021, 268, 113979. [Google Scholar] [CrossRef]
- Yin, W. Study on the calculation of bearing capacity of arbitrary steel-concrete composited section based on the optimization of Python. J. Railw. Sci. Eng. 2021, 18, 3311–3319. [Google Scholar] [CrossRef]
- Wang, D.; Wang, L.; Lv, Y.; Zhang, X. Calculate the deformation of pre-stressed FRP fabric steel and concrete combination beams under uniform loading. J. Shenyang Jianzhu Univ. (Nat. Sci.) 2007, 23, 926–929. [Google Scholar]
- Wang, D.; Wang, L.; Zhang, X.; Liu, Y. Calculation of deformation of pre-stressed FRP fabric steel-concrete combination beam under concentrated loading. J. Northeast. Univ. (Nat. Sci.) 2008, 29, 585–588. [Google Scholar]
- He, L.; Wang, J. Method of equivalent load and temperature reduction on pre-stressing tendon for effective pre-stress simulation. J. Highw. Transp. Res. Dev. 2015, 32, 75–80. [Google Scholar]
- Yousefi, M.; Ghalehnovi, M. FEA for interlayer behavior of double skin steel-concrete-steel sandwich structure with corrugated-strip shear connectors. Steel Compos. Struct. 2018, 27, 123–133. [Google Scholar]
- Dubina, D.; Ungureanu, V. Shear connector for composite beam. International Conference on Metal Structures, Proceedings and Monographs in Engineering Water and Earth Sciences. Poiana Brasov 2006, 09, 20–22. [Google Scholar]
- Guo, Z.; Wang, C. Investigation of strength and failure criterion of concrete under muti-axial stresses. China Civ. Eng. J. 1991, 03, 1–14. [Google Scholar]
- He, Q. Theoretical Analysis and Experimental Study on Vehicle-Bridge Coupling Vibration of Suspended Monorail Traffic; Southwest Jiaotong University: Chengdu, China, 2020. [Google Scholar]
- He, Q.; Cai, C.; Zhai, W.; Zhu, S.; Wang, M. Experimental research on the dynamic performance of suspended monorail train-bridge coupled system. J. China Railw. Soc. 2018, 40, 57–63. [Google Scholar]
Disclaimer/Publisher’s Note: The statements, opinions and data contained in all publications are solely those of the individual author(s) and contributor(s) and not of MDPI and/or the editor(s). MDPI and/or the editor(s) disclaim responsibility for any injury to people or property resulting from any ideas, methods, instructions or products referred to in the content. |
© 2024 by the authors. Licensee MDPI, Basel, Switzerland. This article is an open access article distributed under the terms and conditions of the Creative Commons Attribution (CC BY) license (https://creativecommons.org/licenses/by/4.0/).