Abstract
Effectively evaluating the effectiveness of bridge strengthening is a necessary means to ensure the normal operation of existing strengthened bridges, especially when evaluating the effectiveness of bridge strengthening without interrupting normal traffic. Based on a distributed long-gauge Fiber Bragg Grating (FBG) sensor, this paper derived the macro-strain influence line (MSIL) formula for a simply supported beam bridge under a moving vehicle load, studied the changes in the MSIL at the bottom of the beam under the vehicle load before and after the prestressed CFRP plate strengthening, and proposed a rapid evaluation method for the strengthening effect based on the amplitude of the MSIL as the evaluation index for the strengthening effect. Finally, the prestressed CFRP-strengthened steel beam was tested under the moving vehicle load. The theoretical analysis and the experimental results confirm that under the load of moving vehicles, the macro-strain–time history amplitude of the strengthened steel beams under different prestressed tensioning conditions is different. The amplitude of the macro-strain time history of the strengthened bridge is reduced compared to before strengthening, and the local strengthening effect of the bridge can be monitored by the amplitude change in a single sensor. The change in global stiffness can be evaluated by monitoring the MSIL obtained from multiple long-gauge strain sensors.
1. Introduction
Due to the design load being lower than the load actually subjected, existing bridges in service gradually enter a stage of aging. Simultaneously, factors such as natural wear and tear, vehicle overloading, and structural deterioration have significantly reduced their load-bearing capacity and durability, resulting in significant safety hazards. Consequently, the strengthening of these bridges has become a prominent research focus in the industry [1,2,3,4,5]. To enhance the mechanical properties of these bridge structures and prolong their service life, strengthening measures are necessary [6,7,8,9,10]. Particularly, using externally bonded fiber-reinforced polymer (FRP) to strengthen concrete structures has become a common practice. Over the past three decades, the use of carbon-fiber-reinforced polymer (CFRP) to strengthen existing structures has garnered considerable attention, primarily due to its high strength, light weight, excellent corrosion resistance, and ease of installation [11,12,13,14,15,16,17]. As a result, utilizing CFRP to strengthen a structural component is an economical and environmentally friendly option [18,19,20].
For the commonly used externally bonded CFRP plate strengthening technology, the effectiveness of the CFRP plates depends on the strength of the bonding interface. However, due to the low interfacial bonding interface strength, the role of CFRP plates is often difficult to fully exert. When structures strengthened with CFRP plates fail, the strength of the CFRP plates is only about 1/5 of their ultimate tensile strength [21,22]. To address this issue, an anchorage technique can be utilized. Various types of anchorage systems have been considered by a number of researchers [23,24,25,26,27]. One promising technique is the use of a mechanical anchorage, which has proven to be an effective approach to keeping the CFRP engaged with the concrete beams beyond premature debonding [28,29].
In practical engineering, to overcome the problems of the easy peeling and low strength utilization of CFRP plates caused by direct bonding strengthening, scholars have studied and proposed a prestressed CFRP strengthening method [30,31,32,33,34]. Research has shown that prestressed CFRP strengthening technology can effectively improve the strengthening effect and strength utilization rate of CFRP, avoiding end delamination of the CFRP [25,29,31]. However, prestressed CFRP strengthening of bridges inevitably leads to prestressed loss, which affects the strengthening effect. Many scholars have conducted extensive monitoring experiments and obtained results such as those on the mechanism of prestressed loss and the approximate range of loss [35,36]. In the existing studies on prestressed CFRP-strengthened beams, the main focus was on conducting ultimate load tests on the prestressed CFRP-strengthened beams to assess the effectiveness of strengthening methods. Overall, research on the effectiveness of prestressed CFRP plate strengthening has predominantly centered on laboratory beams, with the evaluations typically involving static load tests. However, conducting ultimate load tests to evaluate the strengthening effectiveness in actual bridges is impractical.
Static load tests on bridges are commonly used to assess bridges’ load-bearing capacity, simulating vehicle loads equivalent to the design specifications. These tests evaluate whether the stress conditions and deformations under test loading meet the regulatory requirements for bridge load capacity. Nevertheless, load tests necessitate traffic disruption and entail significant time and economic costs. Furthermore, to assess the effectiveness of bridge strengthening, comparing the results before and after strengthening through two rounds of load testing would incur even greater expenses. To expedite the assessment of existing bridge conditions, researchers propose employing influence lines to evaluate bridge stiffness under moving vehicle loads [37,38,39,40]. Most of the monitoring methods involve attaching resistance strain gauges to the surface of CFRP plates. Traditional “point” strain gauges are prone to being affected by minor surface cracks on CFRP plates, especially under high-stress conditions, making it difficult to obtain effective monitoring data, which is unsuitable for long-term stress monitoring of CFRP plates in practical engineering.
To evaluate the effect of prestressed CFRP-plate-strengthened bridges without interrupting traffic and to overcome the limitations of the measurement range of resistance strain gauges that cannot achieve distributed monitoring, this paper studied the mechanical relationship for the strain influence line of strengthened beams under moving vehicle loads. Then, a bridge strengthening effect evaluation index was proposed based on the distributed MSIL. In order to verify the feasibility of the proposed evaluation method, a verification test was conducted on a model bridge strengthened with prestressed CFRP plates under moving vehicle loads. In the verification test, a self-developed long-gauge strain sensor was used to monitor the distributed macro-strain, and the test results confirmed the feasibility of the proposed method.
2. Derivation of the MSIL for a Prestressed CFRP-Plate-Strengthened Bridge
Due to the limitations of the measurement range of “point type” measuring sensors, the strain influence line (SIL) has mainly been used for load identification [41], and the principle of a bridge’s SIL is shown in Figure 1. For a simply supported beam AB, the span of the beam is L, the height of the beam is h, the height of the neutral axis in the beam section is y, and the bending stiffness of the beam section is EI. Assuming a moving load P moves from the A end to the B end of the simply supported beam, the equation for the bending moment influence line at any point C on the beam can be obtained. By using the material mechanics calculation formula and Hooke’s law , the bending moment influence line equation can be transformed into the SIL equation:
Figure 1.
SIL of simply supported beam under moving load.
In practical bridge monitoring, bridges often have large spans, making it difficult for traditional point strain gauges to achieve distributed monitoring of an entire bridge. With their distributed measurement capability, long-gauge strain sensors enable monitoring of the entire bridge using only a small number of sensors. FBG sensors can be conveniently self-made into strain sensors with a longer gauge through secondary packaging. A schematic diagram of the long-gauge sensor developed in this paper is shown in Figure 2. The innermost layer of the sensor is an FBG sensor, which is protected by a 3 mm plastic hose for the sensing section to ensure that the bare fiber can move freely in the hose. The two ends of the sensor are anchor sections, generally with a length of 5 cm to ensure that the fiber does not slip, and are dipped in modified epoxy resin using a 5 mm plastic hose. The outermost layer of the sensor is a 5 mm diameter stainless steel tube for protection, and the anchor section is fixed to the structure using stainless steel gasket plates. It is worth noting that if the FBG is pre-strained during the fabrication process, this can ensure that the long-gauge FBG strain sensor has the ability to measure compressive strains. Additionally, by using long-gauge FBG strain sensors with different wavelengths, it is possible to achieve the purpose of full-bridge coverage monitoring by serially connecting multiple sensors.

Figure 2.
Self-developed long-gauge FBG strain sensor: (a) the packaging of a long-gauge FBG strain sensor; (b) a physical picture of a long-gauge FBG strain sensor.
Due to the fact that the strain measured by the long-gauge strain sensor is the average strain within its segment, i.e., the macro-strain, the MSIL is different from the traditional point strain influence line (SIL). When using long-gauge strain sensors to monitor and obtain the MSIL for bridge evaluation, it is necessary to study the calculation formula for the MSIL and clarify the mechanical relationship between macro-strain and the bridge’s longitudinal stiffness. As shown in Figure 3, for a simply supported beam covered by n long-gauge FBG strain sensors, to obtain the MSIL at the cross-section corresponding to the m-th sensor, it is necessary to integrate the area covered by the m-th sensor and take the average value:
in which represents the MSIL equation for the m-th segment; represents the average bending stiffness within the section; and le represents the gauge length of a long-gauge FBG strain sensor. We solve the above integral equation and derive the expression for the MSIL of the long-gauge FBG strain sensor:
Figure 3.
Beam monitored by long-gauge FBG strain sensors.
According to Equations (3), when the moving load P does not move to the range of the m-th section, the shape of the MSIL remains a straight line; but when the load P is within its range, the shape of the MSIL is a quadratic curve. The shape of the MSIL at the m-th section of the final section is composed of a segmented curve consisting of a straight segment, a curved segment, and a straight segment, as shown in Figure 4.
Figure 4.
MSIL of the m-th section in the bridge.
Obviously, for the m-th section, the maximum amplitude of the MSIL occurs in the area covered by the m-th long-gauge sensor. Solving and integrating the expression of the MSIL can obtain the macro-strain amplitude value. For m-th section m, when x takes the value shown in the equation, its MSIL reaches its maximum amplitude:
The expression for the maximum macro-strain amplitude value of the m-th section at this time is as follows:
According to analysis of Equations (5), the height of the neutral axis y, the bending stiffness of the section , the bridge span L, and the gauge length of FBG strain sensor le are constant. The distribution curve of the MSIL measured by long-gauge FBG strain sensors under a single load is a quadratic curve. In practical situations, the vehicle load acting on the bridge is usually multiple loads, with different force sizes and positions. The MSIL under multiple loads can be solved based on the principle of the superposition of influence lines. Assuming that there are n moving loads acting on a simply supported beam AB, each of which is P1, P2, P3… Pn, the distance between each load and P1 can be expressed as d1, d2, d3… dn−1, as shown in Figure 5.
Figure 5.
MSIL of segment m under vehicle loads.
According to the principle of linear superposition, the macro-strain response of the m-th section under multiple loads can be expressed as follows:
The area value A(m) enclosed by the time history curve can be obtained by integrating the macro-strain time history.
From Equation (7), we can see that the MSIL of the m-th section is composed of three parts: the first part is the initial straight section, the second part is the middle-curved section, and the third part is the segmented curve of the end straight section. After the beam is strengthened with prestressed CFRP plates, the beam will experience arching and initial strain. When the load P travels from point A to point B of the beam, the macro-strain–time history curve of the strengthened beam shows a decrease in amplitude compared to the macro-strain–time history curve of the unreinforced beam. This phenomenon can be used for rapid evaluation and monitoring of the effectiveness of prestressed CFRP plate strengthening on bridges. Furthermore, the change in the area enclosed by the strain–time history curve can be used to assess the strengthening effect:
in which represents the integral value of the macro-strain influence line of load P along the time axis in the m-th section and represents the integral value of the macro-strain influence line along the time axis of load P in the m-th section after strengthening the bridge with prestressed CFRP plates.
3. Evaluation of the Effect of Strengthening on Bridges Based on the MSIL
After strengthening the bridge with prestressed CFRP plates, the CFRP plates and the bridge are considered a whole. The bending stiffness of the bridge section is slightly increased, the neutral axis height of the section decreases, and there will be an initial value in the macro-strain–time history curve measured in the m-th section. The magnitude of this initial value is determined by the prestressing force of the CFRP plate, and the macro-strain amplitude of the m-th section after strengthening is as follows:
in which is related to the prestress applied to the CFRP plate. Extract the constant term from the formula, and under the condition that factors such as the beam span L and the sensor gauge length le remain unchanged, for the monitoring segment m, is a constant.
The above equation can be simplified as follows:
From the above equation, it can be seen that the macro-strain amplitude of the monitoring m-th section after it is strengthened is inversely proportional to the bending stiffness of the strengthened beam, directly proportional to the height of the neutral axis, and closely related to the strain generated by the prestressing applied to the CFRP plate. Therefore, the changes in the macro-strain influence lines after strengthening are shown in Figure 6.
Figure 6.
MSIL of prestressed CFRP plates before and after strengthening.
Therefore, it can be concluded that after strengthening the components with prestressed CFRP plates, the strengthening effect is mainly divided into two parts:
Part 1: Under the action of prestressed CFRP plates, the beam is transformed from an initial single-material section into a composite section that works together with CFRP plates. The bending stiffness of the section is improved, which reduces the deformation of the beam under external loads after strengthening the beam bridge with prestressed CFRP plates; Part 2: Due to the presence of prestress, the strengthened beam will experience a reverse arch, reducing the height of the neutral axis of the beam. At the same time, the prestress causes an initial strain in the beam, improving the safety reserve of the bridge. Usually, this part plays a major role. The strengthening effect on the MSIL is manifested as an overall decrease in the value of the macro-strain measured by the long-gauge FBG strain sensor after strengthening compared to the value before strengthening. Therefore, the effect of prestressed CFRP plate strengthening on beam bridges can be quickly evaluated by the amplitude change in the MSIL before and after strengthening using moving vehicles.
4. Evaluation Test of Prestressed CFRP Plate Strengthening Based on the MSIL
To study the evaluation method for the strengthening effect of prestressed CFRP-plate-strengthened beam bridges based on the bridges’ MSIL, verification tests were conducted on prestressed CFRP-plate-strengthened steel beams. Self-developed long-gauge FBG strain sensors were installed at the bottom of the steel beam. In order to identify different tensile stress conditions during the experimental process, a non-bonded strengthening method was adopted by adjusting the magnitude of the tensile force. Different strengthening conditions with various pre-tensioning forces were designed, and after each condition was tensioned, a vehicle load test was performed while simultaneously collecting the dynamic macro-strain of the steel beam. The MSILs were extracted for different pre-tensioning forces to monitor and evaluate the effectiveness of the prestressed CFRP plate strengthening on the steel beam. The mechanical properties of the steel beams and CFRP plates are shown in Table 1.
Table 1.
Mechanical properties.
The beam parameters for this experiment are as follows: the beam height is 200 mm, and the width of the upper and lower flanges is both 200 mm. The flange thickness is 12 mm, and the web thickness is 8 mm. The bottom of the steel beam is strengthened with CFRP plates, and the width and thickness of the CFRP plates used in the experiment are 50 mm and 3 mm, respectively. Three sets of strengthening cases (JG1–JG3) and one initial condition without strengthening (CS-1) were designed, as shown in Table 2. The tension control force is the maximum tensile force applied to the prestressed CFRP plate, and a hydraulic jack with a digital display is used for control in the experiment. To achieve different strengthening effects, the tension levels are divided into 30%, 70%, and 100%, with the maximum tension force controlled at 20% of the ultimate tensile stress of the CFRP plate.
Table 2.
CFRP plate tensioning cases.
The beam ends are simply supported, and the total length of the steel beam is 4000 mm, with a clear span of 3600 mm. There are stiffeners at the bearing, the mid-span, and the mid-point between the bearing and the mid-span, with a thickness of 10 mm. The specific cross-sectional parameters of the specimen are shown in Figure 7 (the shaded area represents the stiffeners), and the overall structure and dimensions can be referred to in Figure 8.
Figure 7.
A cross-section of the main beam.
Figure 8.
Experimental verification of the strengthening effect.
The CFRP plate is positioned at the mid-span of the steel beam, with a distance of 700 mm from each end of the beam. Seven long-gauge FBG strain sensors are arranged at 300 mm intervals along the bottom of the steel beam. The experiment is mainly aimed at conducting traffic tests after strengthening the steel beams with prestressed CFRP plates. The test model vehicle is a two-axle car, with a longitudinal distance of 0.28 m between the two axles and a lateral distance of 0.18 m between the wheelsets. The total mass of the model car is 80 kg. After each strengthening condition is completed, the load is sustained for 10 min, followed by conducting traffic tests and collecting strain data for the long-gauge distance, as shown in Figure 9. Figure 10 shows a schematic diagram of the evaluation test under a moving vehicle load. In order to precisely control the model vehicle’s speed to keep it constant, a numerical control motor is used to pull the model vehicle. The speed of the model vehicle can be adjusted by changing the rotation speed of the numerical control motor.
Figure 9.
Layout of long-gauge FBG sensors at the bottom of the beam.
Figure 10.
Evaluation test under moving vehicle load.
When the vehicle passes over the bridge, the vibration signal generated by the bridge is a complex signal composed of multiple-frequency components. Therefore, it is necessary to filter and denoise the signal to extract the quasi-static macro-strain signals generated by the moving vehicle load. The threshold decomposition method in wavelet analysis is used to denoise the original signal and extract the quasi-static long-gauge distance strain under moving vehicle loads to evaluate the strengthening effects.
After each moving vehicle load test under different strengthening cases was completed, an analysis was conducted on the time history–strain curves of each long-gauge FBG strain sensor at the bottom of the steel beam. Dynamic signal denoising is performed using wavelet denoising, with the selection of the db10 wavelet function and a decomposition level of 6 layers. Taking the initial condition CS-1 of the steel beam without strengthening as an example, a comparison between the original signals measured by the FBG strain sensors at positions 1# to 7# and the static long-gauge strain processed by the improved morphological wavelet threshold decomposition method is shown in Figure 11.

Figure 11.
Comparison of original signal and denoised signals of long-gauge sensor: (a) 1# sensor; (b) 3# sensor; (c) 5# sensor; (d) 7# sensor.
By comparing the original signals with the denoised signals in Figure 11, it can be observed that the noise signals have effectively been removed from the static long-gauge strain–time history curves obtained after wavelet threshold decomposition and appear relatively smooth.
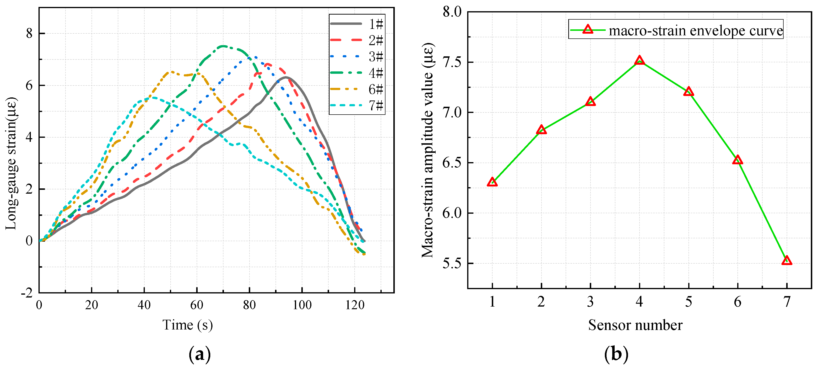
The quasi-static macro-strain–time history curves after the denoising of sensors 1# to 7# under test condition CS-1 are shown in Figure 12. The maximum values of the quasi-static long-gauge strain–time history curves for each sensor are plotted as macro-strain envelope curves. Figure 12a shows the macro-strain envelope curve for the steel beam in its initial state before strengthening. From Figure 12b, it can be observed that the measured maximum macro-strain value is 7.51 με, occurring at the position of sensor 4# at the mid-span of the test steel beam. The macro-strain values measured by the other sensors decrease successively along the mid-span positions towards the ends. The macro-strain envelope curves for each sensor approximately form a parabolic shape, which is consistent with the theoretical distribution law of macro-strain values in simply supported beams. From Figure 12b, it can be seen that there is a 1 με difference in the monitoring data between sensor 1# and sensor 7#. One possible reason for this is that the weight of the model vehicle is too small relative to the load-bearing capacity of the steel beam, resulting in approximately 6 με. The monitoring accuracy of the thermal sensors is ±1 με, which is in the same order of magnitude as the monitoring data, leading to some variance in the results.
Figure 12.
Macro-strain-time history and influence envelope curve: (a) long-gauge strain time history; (b) macro-strain amplitude envelope curve.
The previous analysis focused on the trends in the macro-strain–time history curves measured by the long-gauge strain sensors at the bottom of the test beam before and after prestressed CFRP plate strengthening. The results indicate that the mid-span macro-strain amplitude of the steel beam under moving loads decreases with an increase in the level of prestress of the CFRP plate. The distributed macro-strain distribution under moving vehicle load tests and under different strengthening conditions is shown in Figure 13. From Figure 13a, it can be seen that as the prestress of the CFRP plate increases, the stress monitored by the long-gauge strain sensors decreases, clearly illustrating the strengthening effect of the prestressed CFRP plate. This is because the prestress applied to the model bridge is greater than the strain generated by the self-weight of the model vehicle load. In practical bridge strengthening, since the self-weight of the bridge is significant, the strain generated by the bridge’s self-weight is much larger than the longitudinal strain generated by the tension applied during strengthening, making it difficult to assess the strengthening effect by directly monitoring the internal forces of the bridge. Therefore, an evaluation of the strengthening effect can be carried out using the MSIL composed of the area encompassed by the macro-strain time history, as shown in Figure 13b.
Figure 13.
Macro-strain and MSIL under different strengthening cases: (a) macro-strain of different cases; (b) MSIL of different cases.
Based on the MSIL under moving vehicle loads, we calculate the difference between the macro-strain amplitude within the sections of the long-gauge strain sensors under various strengthening conditions and the initial macro-strain amplitude. We substitute these differences into Equation (7) to determine the strengthening effect of the prestressed CFRP plate on the test beam. The strengthening effects of the steel beam are shown in Figure 14, where the MSIL amplitudes of sensors 3#, 4#, and 5# are selected to evaluate the strengthening effect of the steel beam. It can be observed that there are some differences in the evaluation results of the strengthening effect between sensors at different locations. The evaluation accuracy can be improved by taking multiple measurements and averaging the results. Compared to the pre-strengthening state, the JG-1 condition increased the strengthening effect by about 6%, the JG-2 condition increased the bearing capacity by around 15%, and the JG-3 condition increased the bearing capacity by approximately 30%.
Figure 14.
Evaluation of strengthening effect under different strengthening cases.
5. Conclusions
This study proposes an evaluation method for the strengthening effect of prestressed CFRP plates on bridges under moving vehicle loads using distributed long-gauge FBG strain sensors. The main conclusions drawn are as follows:
(1) From the mechanical relationship between the macro-strain impact envelope curve under moving vehicle loads and the stiffness of the bridge, it is known that an increase in the longitudinal internal forces in the bridge will lead to a decrease in the macro-strain amplitude of the bridge. Consequently, the area enclosed by the macro-strain–time history curve also decreases. By integrating to obtain the area enclosed by the macro-strain–time history curve, the pattern of variation in the longitudinal internal forces in the bridge can be more clearly revealed. This phenomenon can be utilized to evaluate the strengthening effect of the bridge.
(2) The results of the accelerated test on the prestressed CFRP-plate-strengthened beam show that compared to the unstrengthened beam, the peak value of the strain at the mid-span of the beam significantly decreases after the strengthening with the prestressed CFRP plates. The degree of the reduction is closely related to the level of prestress in the CFRP plates. Additionally, the area under the strain curve along the time axis also decreases. By substituting the change in area under the strain curve along the time axis into the evaluation index for the strengthening effect of the bridge based on the distributed sensing technology proposed in this article, the strengthening effect of the steel beam can be determined.
(3) A wavelet threshold decomposition method with a db10 wavelet function was employed, resulting in a good denoising effect. The extracted envelope of the macro-strain amplitude before strengthening roughly follows a parabolic distribution, while the envelope of the macro-strain amplitude after strengthening shows an overall decreasing trend with the increase in the prestress of the CFRP plates. It should be noted that the proposed method evaluates the changes in the distributed macro-strain before and after the strengthening of beams under moving vehicle loads, and it is also suitable for assessing the strengthening effects of concrete bridges during their operational period.
Author Contributions
Conceptualization, B.W. and H.W.; methodology, B.W. and H.W.; investigation, Q.X., Y.G. and S.F.; writing—original draft preparation, B.W.; writing—review and editing, B.W., H.W. and Z.G. All authors have read and agreed to the published version of the manuscript.
Funding
This work was supported by the National Natural Science Foundation of China (Grant No. 52368042, 52108141), the Jiangxi Provincial Cultivation Program for Academic and Technical Leaders of Major Subjects (Grant No. 20225BCJ23025), and the Natural Science Foundation of Jiangxi Province (Grant No. 20242BAB231008; Grant No. 20224BAB214066).At the same time, the authors would like to express our gratitude to the Jiangxi Provincial Institute of Transportation Science for providing the experimental conditions (Grant No. 2022C0007)..
Data Availability Statement
The data presented in this study are available in the article.
Conflicts of Interest
The authors declare no conflicts of interest.
References
- Havez, A.A.; Al-Mayah, A. Flexural strengthening of concrete structures using externally bonded and unbonded prestressed CFRP laminates: A Literature review. J. Compos. Constr. 2023, 27, 03123001. [Google Scholar] [CrossRef]
- Gong, X.; Song, X.; Cai, C.S.; Li, G.Q.; Xiong, W. A temperature-driven approach for quantitative assessment of strengthening effect of continuous bridges using structural health monitoring data. Struct. Health Monit. 2024, 23, 1053–1070. [Google Scholar] [CrossRef]
- Dardar, S.; Eamon, C.D.; Parra-Montesinos, G. Flexural Reliability of CFRP-Strengthened Bridge Girders. J. Perform. Constr. Facil. 2024, 38, 04023065. [Google Scholar] [CrossRef]
- Chen, L.; Qiang, X.; Sun, P.; Zhang, S.; Jiang, X. Experimental and theoretical study on flexural behavior of prestressed concrete beams strengthened by CFRP tendons with external unbonded retrofit system. J. Build. Eng. 2024, 89, 109301. [Google Scholar] [CrossRef]
- Nasera, M.Z.; Hawileh, R.A.; Abdall, J.A. Fiber-reinforced polymer composites in strengthening reinforced concrete structures: A critical review. Eng. Struct. 2019, 198, 109542. [Google Scholar] [CrossRef]
- Tahsiri, H.; Belarbi, A.; Gencturk, B. Thermal effects on transfer length and prestress losses in CFRP prestressed prisms. Constr. Build. Mater. 2024, 416, 135160. [Google Scholar] [CrossRef]
- Wang, H.T.; Wu, Q.; Li, L.; Wei, F.F.; Zhu, D.C.; Yu, X.P. Mechanical behaviors of steel CFRP plate bonded joints after freezing-thawing cycles. Constr. Build. Mater. 2024, 412, 134876. [Google Scholar] [CrossRef]
- Wang, H.T.; Wu, Q.; Zhu, C.Y.; Mao, Y.H.; Guo, C.C. An innovative prestressing system of prestressed carbon fiber sheets for strengthening RC beams under flexure. Constr. Build. Mater. 2024, 411, 134409. [Google Scholar] [CrossRef]
- Shi, J.W.; Wu, Q.Q.; Li, B.; Liu, Y.; Cao, W.H.; Wang, H.T. Fatigue bond behavior of FRP-to-concrete joints with various bonding adhesives. Eng. Struct. 2024, 301, 117311. [Google Scholar] [CrossRef]
- Wang, H.T.; Tang, C.; Chen, M.S.; Shi, J.; Cao, X.Y. Experimental study on the flexural performance of prestressed RC beams with post-tensioned CFRP strands. Eng. Struct. 2024, 309, 118118. [Google Scholar] [CrossRef]
- Azevedo, A.S.; Firmo, J.P.; Correia, J.R.; Chastre, C.; Biscaia, H.; Franco, N. Fire behaviour of CFRP-strengthened RC slabs using different techniques-EBR. Compos. Part B Eng. 2022, 230, 109471. [Google Scholar] [CrossRef]
- Pang, Y.; Wu, G.; Wang, H.; Gao, D.; Zhang, P. Experimental study on the bond behavior of the CFRP-steel interface under rapid loading. Thin. Wall. Struct. 2021, 159, 107233. [Google Scholar] [CrossRef]
- Eslami, A.; Shayegh, H.R.; Moghavem, A.; Ronagh, H.R. Experimental and analytical investigations of a novel end anchorage for CFRP flexural retrofits. Compos. Part B Eng. 2019, 176, 107309. [Google Scholar] [CrossRef]
- Bodzak, P. Prestressing and preloading effect in RC slabs strengthened with normal and pretensioned CFRP EBR strips. Compos. Part B Eng. 2019, 169, 19–28. [Google Scholar] [CrossRef]
- Rezazadeh, M.; Costa, I.; Barros, J. Influence of prestress level on NSM CFRP laminates for the flexural strengthening of RC beams. Compos. Part B Eng. 2014, 116, 489–500. [Google Scholar] [CrossRef]
- Pang, Y.Y.; Wu, G.; Wang, H.T.; Su, Z.L.; He, X.Y. Experimental study on the bond behavior of the CFRP-steel interface under the freeze–thaw cycles. J. Compos. Mater. 2020, 54, 13–29. [Google Scholar] [CrossRef]
- Xian, G.J.; Zhou, P.; Bai, Y.B.; Wang, J.Q.; Li, C.G.; Dong, S.C.; Guo, R.; Li, J.H.; Du, H.Q.; Zhong, J. Design, preparation and mechanical properties of novel glass fiber reinforced polypropylene bending bars. Constr. Build. Mater. 2024, 429, 136455. [Google Scholar] [CrossRef]
- Rasheed, H.A.; Zaki, M.A.; Foerster, A.S. Efficient bidirectional U-wrap system to anchor CFRP sheets bonded to reinforced concrete T-girders. Structures 2022, 38, 226–236. [Google Scholar] [CrossRef]
- Alhoubi, Y.; Mahaini, Z.; Abed, F. The flexural performance of BFRP-reinforced UHPC beams compared to steel and GFRP-reinforced beams. Sustainability 2022, 14, 15139. [Google Scholar] [CrossRef]
- Guo, R.; Xian, G.; Li, C.; Hong, B. Effect of fiber hybrid mode on the tension–tension fatigue performance for the pultruded carbon/glass fiber reinforced polymer composite rod. Eng. Fract. Mech. 2022, 260, 108208. [Google Scholar] [CrossRef]
- ACI Committee 440.2R. Guide for the Design and Construction of Externally Bonded Frp Systems for Strengthening Concrete Structures (ACI 440.2 R-22); American Concrete Institute: Farmington Hills, MI, USA, 2022. [Google Scholar] [CrossRef]
- Aram, M.R.; Czaderski, C.; Motavalli, M. Debonding failure modes of flexural FRPstrengthened RC beams. Compos. Part B Eng. 2008, 39, 826–841. [Google Scholar] [CrossRef]
- Wang, H.T.; Bian, Z.N.; Wu, Q.; Hu, L.; Chen, M.S.; Tang, C. Development of a novel anchorage and tensioning system for strengthening steel beams with unbonded prestressed CFRP plates. Eng. Struct. 2024, 312, 118234. [Google Scholar] [CrossRef]
- Smith, S.T.; Hu, S.; Kim, S.J.; Seracino, R. FRP-strengthened RC slabs anchored with FRP anchors. Eng. Struct. 2011, 33, 1075–1087. [Google Scholar] [CrossRef]
- Wang, H.T.; Bian, Z.N.; Xu, G.W.; Chen, M.S.; Xiong, H.; Liu, S.S. Flexural strengthening of large-scale RC beams with nonprestressed and prestressed CFRP using different anchorages. Polymers 2022, 14, 5498. [Google Scholar] [CrossRef] [PubMed]
- Zaki, M.A.; Rasheed, H.A. Behavior of reinforced concrete beams strengthened using CFRP sheets with innovative anchorage devices. Eng. Struct. 2020, 215, 110689. [Google Scholar] [CrossRef]
- Muciaccia, G.; Khorasani, M.; Mostofinejad, D. Effect of different parameters on the performance of FRP anchors in combination with EBR-FRP strengthening systems: A review. Constr. Build. Mater. 2022, 354, 129181. [Google Scholar] [CrossRef]
- Zaki, M.A.; Rasheed, H.A. Impact of efficiency and practicality of CFRP anchor installation techniques on the performance of RC beams strengthened with CFRP sheets. Can. J. Civ. Eng. 2019, 46, 796–809. [Google Scholar] [CrossRef]
- Wang, H.T.; Liu, S.S.; Zhu, C.Y.; Xiong, H.; Xu, G.W. Experimental study on the flexural behavior of large-scale reinforced concrete beams strengthened with prestressed CFRP plates. J. Compos. Constr. 2022, 26, 04022076. [Google Scholar] [CrossRef]
- Puurula, A.M.; Enochsson, O.; Sas, G.; Blanksvärd, T.; Ohlsson, U.; Bernspång, L.; Täljsten, B.; Carolin, A.; Paulsson, B.; Elfgren, L. Assessment of the strengthening of an RC railway bridge with CFRP utilizing a full-scale failure test and finite-element analysis. J. Struct. Eng. 2015, 141, D4014008. [Google Scholar] [CrossRef]
- Wang, H.T.; Bian, Z.N.; Chen, M.S.; Hu, L.; Wu, Q. Flexural strengthening of damaged steel beams with prestressed CFRP plates using a novel prestressing system. Eng. Struct. 2023, 284, 115953. [Google Scholar] [CrossRef]
- Ghafoori, E.; Hosseini, A.; Al-Mahaidi, R.; Zhao, X.L.; Motavalli, M. Prestressed CFRP-strengthening and long-term wireless monitoring of an old roadway metallic bridge. Eng. Struct. 2018, 176, 585–605. [Google Scholar] [CrossRef]
- Grace, N.; Jensen, E.; Matsagar, V.; Penjendra, P. Performance of an AASHTO beam bridge prestressed with CFRP tendons. J. Bridge Eng. 2013, 18, 110–121. [Google Scholar] [CrossRef]
- Wu, B.; Zhou, Y.; Yin, X.; Lin, Z.; Zhou, Z. The anti-arch inhibition effect of multispan continuous girder bridge strengthened with prestressed CFRP plates. Structures 2022, 35, 845–855. [Google Scholar] [CrossRef]
- Wang, H.T.; Liu, S.S.; Shi, J.W.; Xu, G.W.; Chen, M.S.; Bian, Z.N. Bonded and unbonded strengthening of RC beams with the prestressed CFRP plate system: An experimental study. Constr. Build. Mater. 2024, 438, 137118. [Google Scholar] [CrossRef]
- Kianmofrad, F.; Ghafoori, E.; Elyasi, M.M.; Motavalli, M.; Rahimian, M. Strengthening of metallic beams with different types of pre-stressed un-bonded retrofit systems. Compos. Struct. 2017, 159, 81–95. [Google Scholar] [CrossRef]
- He, W.Y.; Ren, W.X.; Zhu, S.Y. Baseline-free damage localization method for statically determinate beam structures using dual-type response induced by quasi-static moving load. J. Sound Vib. 2017, 400, 58–70. [Google Scholar] [CrossRef]
- Zheng, X.; Yi, T.H.; Yang, D.H.; Li, H.N. Stiffness estimation of girder bridges using influence lines identified from vehicle-induced structural responses. J. Eng. Mech. 2021, 147, 04021042. [Google Scholar] [CrossRef]
- Zhang, G.W.; Cheng, Y.Y.; Xia, Q.; Zhang, J. Curvature envelope area based rapid identification method of bridge distributional element stiffness using microwave interference radar. Mech. Syst. Signal Process. 2023, 197, 110390. [Google Scholar] [CrossRef]
- Hester, D.; Brownjohn, J.; Huseynov, F.; Obrien, E.; Gonzalez, A.; Casero, M. Identifying damage in a bridge by analysing rotation response to a moving load. Struct. Infrastruct. Eng. 2020, 16, 1050–1065. [Google Scholar] [CrossRef]
- Ojio, T.; Yamada, K. Bridge Weigh-In-Motion Systems Using Stringers of Plate Girder Bridges. Iowa State University: Ames, IA, USA, 2002. [Google Scholar]
Disclaimer/Publisher’s Note: The statements, opinions and data contained in all publications are solely those of the individual author(s) and contributor(s) and not of MDPI and/or the editor(s). MDPI and/or the editor(s) disclaim responsibility for any injury to people or property resulting from any ideas, methods, instructions or products referred to in the content. |
© 2024 by the authors. Licensee MDPI, Basel, Switzerland. This article is an open access article distributed under the terms and conditions of the Creative Commons Attribution (CC BY) license (https://creativecommons.org/licenses/by/4.0/).