You are currently viewing a new version of our website. To view the old version click .
Buildings
  • Article
  • Open Access

15 August 2024

Leader and Employee Behavioral Decision-Making in Construction and Demolition Waste Recycling Projects under Psychological Contract Theory

,
,
,
,
,
and
College of Architecture and Urban-Rural Planning, Sichuan Agricultural University, Chengdu 611830, China
*
Author to whom correspondence should be addressed.
This article belongs to the Section Construction Management, and Computers & Digitization

Abstract

Although the beneficial role of enterprises in the management of construction and demolition waste (CDW) should not be overlooked, existing relevant studies have neglected to address the specific effects of the behavioral decisions of leaders and employees within enterprises in CDW recycling projects. This study creatively introduces psychological contract theory into the field of CDW management and aims to reveal the mechanism of recycling participation behaviors between leaders and employees in CDW recycling projects. Using the Stackelberg game method, a model consisting of leaders and employees in the construction enterprise was constructed to analyze the optimal decision-making of the enterprise under two cases of whether or not the employees contributed additional effort. The conclusions of this study are as follows: (1) The profits of construction enterprise leaders are always positively correlated with the degree of employee additional effort. Unlike the case of leaders, the effect of additional effort on employee profits hinges on the coefficient of employee additional effort. When the coefficient of employee additional effort is below the threshold, excessive additional effort can negatively impact their own profits. When the additional effort coefficient exceeds the threshold, the employee profits are positively related to the degree of additional effort. (2) Similar to the change in employee profits, the change in the total profit of the construction enterprise with the degree of additional effort is influenced by the additional effort coefficient. However, as the additional effort coefficient increases, the total profit of the enterprise shows a significant increase before employee profits. This study enriches the theoretical study of psychological contracts and provides guidance for decision-making between leaders and employees in the management of CDW recycling projects.

1. Introduction

In mitigating the gradual degradation of the natural environment caused by human overexploitation, the United Nations has called for the coordination of social, economic, and environmental development through the Sustainable Development Goals (SDGs) [1]. Fortunately, more and more enterprises around the world are integrating sustainability goals into their operational management decisions, including construction enterprises [2]. In order to improve the ecological environment, the EU has identified construction enterprises as one of the key areas for moving from a traditional to a sustainable economy [3]. However, the realization of SDGs in construction enterprises has been seriously hampered by CDW [4]. In the EU, 36% of the solid waste generated annually is CDW [5], and Germany produces around 192 million tons of CDW annually [6]. At the same time, the resource value and recycling potential of CDW cannot be ignored [5]. For example, waste lime from the construction process can be used in earthworks [7]. The use of recycled aggregates to partially or completely replace natural aggregates is economically and environmentally beneficial [8]. In particular, the remanufacturing of CDW not only reduces production costs [9,10] but also responds to the call for “responsible consumption and production” in the SDGs [11].
Despite its many benefits, CDW recycling has some flaws. One of these flaws is the lack of awareness among stakeholders about the implementation of CDW recycling projects [12]. CDW recycling projects involve a complex management system that requires leaders to not only focus on quality and funding issues but also on the organization and management of their employees during project implementation. In fact, the greatest competitive advantage of an enterprise has changed from cost savings and improved product quality to the leaders’ management and organization of employees [13]. For example, the China State Construction Engineering Corporation emphasizes that human resources are one of its core competitive factors and that the enterprise should realize positive interaction and common development with its employees through career planning, education and training, and performance appraisal [14]. Leaders ensure that employees are effectively guided, trained, and motivated by developing management strategies [15]. In addition, the long-term and irreversible characteristics of engineering projects determine the complexity of the project management of construction enterprises [16], which presents higher requirements for the internal management of construction enterprises. Obviously, improving the management level of the enterprise from the perspective of leader–employee relationships within construction enterprises is of great significance in optimizing this management system for CDW recycling projects. Fortunately, research has found that the concept of the psychological contract can help explain leader–employee relationships within enterprises and analyze the behavioral decisions of leaders and employees [17].
Since 2012, the Chinese construction industry has been growing rapidly, with more than 4 billion square meters of new floor space being built each year [18]. While this has contributed to China’s economic growth, it has also generated a large amount of CDW, leading to serious environmental degradation [4]. The total amount of CDW is increasing annually, and construction enterprises are still facing the problem of inefficiency in CDW recycling [19]. One of the main reasons is the negative attitude of construction enterprise leaders toward the implementation of CDW recycling projects. Enterprise leaders are reluctant to invest additional time and human resources in CDW recycling [20]. At the same time, employees in construction enterprises are more concerned about wages than environmental benefits. However, it is unclear which factors in CDW recycling projects affect the profits of leaders and employees and the relationship between these factors. Therefore, this study constructs a Stackelberg game decision-making model consisting of leaders and employees in the construction enterprise and aims to reveal the mechanism of recycling participation behaviors between leaders and employees in CDW recycling projects. This study answers the following questions: How do construction enterprise leaders and employees achieve optimal decision-making in CDW recycling projects? How can construction enterprises maximize profits? According to the above questions, first, a mathematical model was constructed and solved to reveal the effect of the degree of additional effort on leader and employee profits. Second, MATLAB R2021b was used to simulate the change in profits at different degrees of additional effort and the additional effort coefficient. Finally, management implications for construction enterprises were proposed based on the research conclusions.
The innovations of this study are as follows. First, the research conducted in this study introduces the novel use of psychological contract theory in CDW recycling management and constructs a Stackelberg game model between leaders and employees within a construction enterprise. Second, this study creatively incorporates the degree of employee additional effort as a variable in the study of behavioral decision-making for CDW recycling.

2. Literature Review

2.1. CDW Recycling Projects

The CDW recycling projects are engineering projects that classify, recycle, and remanufacture CDW generated during the construction or demolition of buildings and return it to the building materials market for sale [20]. The implementation of CDW recycling projects can not only reduce the exploitation of natural resources but also reduce the construction costs of construction enterprises [21]. Countries such as Germany and the UK have issued a series of policies and regulations to promote the implementation of CDW recycling projects [22]. For example, defining recycling rate targets of CDW within a certain period and rewarding enterprises that meet the targets [23]. Although the Chinese government has also introduced policies related to CDW management, most of them are in the form of penalties and discounts, which are not significant incentives for enterprises [23].
In order to improve the management of CDW, scholars have suggested that cross-regional cooperation between different governments can promote the implementation of CDW recycling projects and enhance the environmental benefits and regional green development from the perspective of ecological compensation [24]. Some scholars have also developed a compensation mechanism to coordinate public–private partnerships in CDW recycling projects [4]. In addition, the use of BIM and other advanced technologies to assist in CDW management is also one of the research hotspots. The BIM system can not only achieve automated and accurate estimation of the amount of waste [25] but also achieve the intelligent management of CDW during the construction process [7]. Although the implementation of CDW recycling projects can help construction enterprises achieve the SDGs [20], in practice, the lack of awareness of the benefits and feasibility of implementing CDW recycling projects by construction enterprises has led to increased difficulties in project implementation [12]. Fortunately, some studies have found that improving leader–employee relationships can be effective in improving CDW recycling efficiency [26].
However, the existing research does not provide a normative explanation for the behavioral decisions of leaders and employees in CDW recycling projects, which is not conducive to the reasonable allocation and management of project-related personnel in enterprises.

2.2. Leader–Employee Relationships

The impact of leader–employee relationships on enterprises has attracted the attention of some scholars. Existing research has focused on two main areas. On the one hand, there is the effect of leaders’ incentives on employee performance. Research has shown that leaders who provide tangible benefits such as resources and wealth to their employees can increase employee job satisfaction, which, in turn, improves employee job performance [27]. Intangible benefits such as emotional support, development opportunities, etc., can motivate employees to contribute additional effort beyond their contractual requirements [28]. On the other hand, the leader’s leadership style influences employee work performance greatly. For example, transformational leadership is believed to reduce employee burnout, stimulate employee self-efficacy and motivation, and improve job performance [29]. Laissez-faire leadership manifests itself as a double-edged sword in an organization [30]. Firstly, laissez-faire management may lead to negative effects, including role ambiguity [31]. However, secondly, laissez-faire management is beneficial to employees who demonstrate a high degree of goal orientation in performance [30]. Transactional leaders are profit-oriented and promote employee performance through incentive and penalty systems [32]. In addition, the impact of leadership styles on the construction industry has also received attention. It has been suggested that two pessimistic leadership styles, laissez-faire and management-by-exception, will have a negative impact on safety on construction sites, in turn leading to an increase in accidents on construction sites [33,34].
Unfortunately, the remanufacturing systems considered in existing studies focus on competition and cooperation at the cross-firm level. In fact, the relationship between leaders and employees within an enterprise also has a direct impact on the CDW recycling process [26], and the lack of an internal perspective within the enterprise limits the full understanding of the operational mechanism of CDW recycling projects.

2.3. Psychological Contract Theory

The psychological contract is an implicit reciprocal obligation between employees and organizations that reflects their implicit expectations of each other [35]. Although the psychological contract has both employee and organizational perspectives, finding someone who can articulate the contract on behalf of the organization from an organizational perspective is almost impossible [36]. Therefore, based on existing research, the psychological contract should focus on the responsibilities and expectations of employees toward the organization [37]. The psychological contract contains two main aspects: the transaction contract and the relationship contract. The transaction contract is economic in nature, mainly in the sense that the employee expects to receive bonuses and development opportunities by working hard or putting in additional effort beyond what is required by the employment contract [38]. The relationship contract focuses on emotional exchange. For example, organizations provide employees with adequate job security in exchange for their loyalty to the organization [36]. In CDW recycling projects, the main goal of the enterprise is often to improve recycling efficiency and reduce costs [20]. Therefore, this study focuses on the transaction contract within the psychological contract.
The psychological contract arises at the formation of the employment relationship and changes dynamically with the information acquired by the employees during their employment [39]. This dynamic characteristic corresponds to the process of employees as followers in the Stackelberg game, dynamically adjusting their strategies according to the leader’s decisions. Although the power dynamics theory also emphasizes the dynamic characteristic, it mainly focuses on the impact of changes in power structure on organizational behavior [40], whereas this study focuses on the impact of leader–employee relationship on employees’ recycling participation behavior. Therefore, the integration of psychological contract theory into the Stackelberg game model contributes to a comprehensive understanding of how leaders’ decisions affect employees’ participation behavior in CDW recycling projects.
Table 1 shows that existing studies have ignored the influence of the leader–employee relationship within the enterprise on the process of CDW recycling. Scholars currently tend to focus on the economic and environmental benefits of enterprises such as remanufacturers and recyclers in the CDW recycling supply chain. Furthermore, despite the fact that the dynamic characteristic of the psychological contract corresponds to the basic features of the Stackelberg game, existing studies have not specifically analyzed the mechanism of the psychological contract’s role in the game.
Table 1. A comparison of relevant studies.
Therefore, in order to fill the research gap as shown in Table 1, this study constructs a Stackelberg game model consisting of leaders and employees of a construction enterprise, aiming to reveal the decision-making mechanisms of leader and employee behaviors in CDW recycling projects through the framework of psychological contract theory.

3. Methodology

3.1. Research Method

This study applies the Stackelberg game methodology. The Stackelberg game was first proposed by the German economist Heinrich von Stackelberg, and it reflects asymmetric competition between the subjects of the game. The Stackelberg game is divided into two stages: the first stage involves the leader making optimal decisions based on market information and the principle of profit maximization, and the second stage involves the followers making optimal responses based on the leader’s decisions in order to maximize their own profits [41].
The Stackelberg game is widely used in decision optimization problems between multiple decision-making agents [42] as opposed to other game theories, such as evolutionary games that focus on the dynamics of participants’ behavioral strategies over time [43,44]. The leader–follower structure emphasized in the Stackelberg game is more appropriate for studying the asymmetric relationship between leaders and employees. In addition, the application of the Stackelberg game method in the field of CDW recycling has also received attention, and scholars have proposed that there is a Stackelberg game relationship among remanufacturers, recyclers and consumers [45,46]. Therefore, it is reasonable to use the Stackelberg game to solve the decision-making problem between leaders and employees in CDW recycling projects.
In this study, first, a Stackelberg game model consisting of leaders and employees in construction enterprises was constructed by analyzing the influencing factors of CDW recycling participation behaviors. The decision variables in this study include the compensation w to employees for recycling a unit of CDW, the level of environmental responsibility η of the construction enterprise and the basic personal costs r of employees. Among them, w is the direct means by which construction enterprises require their employees to carry out CDW recycling, which has a significant impact on the amount of CDW recycled and the profit of the enterprise. η directly affects the recycling rate of CDW. A higher level of environmental responsibility usually means that the enterprise is more environmentally conscious and may invest more resources in CDW recycling. r is the basis for assessing employee labor input. Secondly, based on the psychological contract theory, this study introduced the degree of employee additional effort θ into the model. This variable further captures the leader–employee relationship and the dynamic game process between them. Once established, the model was analyzed using propositional calculations, and the effect of additional effort on leaders, employees, and enterprise profits was simulated. The model was then validated by conducting a sensitivity analysis. The technology roadmap for this model is shown in Figure 1.
Figure 1. The research system framework.

3.2. Model Descriptions

For construction enterprises, there are two means of dealing with CDW: recycling and landfill. For example, China’s Lantai Environmental Technology Corporation produces recycled building materials from CDW [47]. Veolia Environment manages CDW through a waste disposal center that combines safe landfill and resource utilization [48]. Selecting an appropriate management method is critical to the effectiveness of CDW disposal and the economic and environmental benefits of construction enterprises [49]. Based on the CDW management methods of recycling and landfills, this study constructs a Stackelberg game system consisting of construction enterprise leaders and employees and introduces the variable of the degree of employee additional effort into the process of CDW recycling under the theoretical framework of the psychological contract (Figure 2). In this case, as the Stackelberg game leader, the leaders of construction enterprises can make decisions to dispose of CDW through landfill or recycling. The cost of landfilling a unit of CDW is e m . The leaders of construction enterprises pay employees based on the amount of CDW recycled, the compensation paid to employees by recycling a unit of CDW is w , the unit profit that can be obtained is p , and the CDW recycling rate is affected by the level of environmental responsibility η of the construction enterprise. Simultaneously, the employees of the construction enterprise, as followers of the Stackelberg game, pay basic personal costs r based on the unit compensation w . In addition, employees who have concluded a psychological contract with the enterprise may put a degree of additional effort θ toward the recycling of CDW due to the binding effect of the psychological contract.
Figure 2. A diagram of the relationships between leaders and employees in construction enterprises.
Table 2 shows the parameters contained in this study.
Table 2. Definition of parameters.
Table 2. Definition of parameters.
ParameterDefinitionAuthorsNote
e m Unit of CDW landfill costs, e m > 0 Su et al. (2021) [50] 
a Original quantity of CDW generated by the construction enterprise, a 0 Wu et al. (2019) [51] 
p Profit for the construction enterprise from recycling a unit of CDWSu et al. (2021) [50] 
β Basic effort coefficient of employees to recycle CDW, β > 0 Jian et al. (2021) [52] 
τ Additional effort coefficient of employees to recycle CDW, τ > 0 Jian et al. (2021) [52] 
k Environmental protection sensitivity coefficient, k > 0 Zheng et al. (2022) [45] 
θ Degree of employee additional effort in the process of CDW recycling, θ 0 Ngobeni et al. (2022) [53] 
μ Recycling rate of CDW, 0 μ 1 Moschen et al. (2023) [5] 
c 1 The cost coefficient of environmental responsibility investment, c 1 > 0 Feng & Tan (2019) [54] 
c 2 The additional effort cost coefficient of the employees, c 2 > 0 Jian et al. (2021) [52] 
π j i Subject j’s profit in model i ( i ( N A , Y A ) , j ( 1 , 2 ) ), π 1 i is the benefit to leaders in the process of CDW recycling, π 2 i is the benefit to employees in the process of CDW recyclingGong et al. (2019) [55] 
π 3 i Total profit of the construction enterprise in two models ( i ( N A , Y A ) )Gong et al. (2019) [55] 
w Compensation to employees for recycling a unit of CDWFeng et al. (2022) [56]Decision variable
r Basic personal costs of employeesNgobeni et al. (2022) [53]Decision variable
η Level of environmental responsibility of the construction enterpriseFeng & Tan (2019) [54]Decision variable

3.3. Assumptions

Assumption 1. 
The connection between construction enterprise leaders and employees can be described as a Stackelberg game, where construction enterprise leaders are the leaders and employees are the followers in the game.
Assumption 2. 
The leaders of the construction enterprise are the owners of the enterprise, who have the right to decide how CDW is disposed of and are directly entitled to the benefits of the enterprise. The employees of the construction enterprise are workers who are involved in the sorting, recycling, and remanufacturing of CDW and are paid a wage or salary.
Assumption 3. 
In order to complete the recycling process, construction enterprises pay additional costs upfront for the construction of recycling stations and the purchase of recycling equipment [52]. The cost of environmental responsibility invested by the construction enterprise leaders is related to the cost coefficient of the environmental responsibility investment  c 1  and the level of environmental responsibility  η , that is,  c 1 η 2 2  [54].
Assumption 4. 
Employees who have a psychological contract with the leaders of a construction enterprise may pay additional personal costs, such as time and effort, over and above what is agreed in the written contract due to the binding effect of the psychological contract [53]. Referring to Ma’s study [57], the additional personal cost is defined as  c 2 θ 2 2 , where  c 2  is the additional effort cost coefficient of the employee and  θ  is the degree of additional effort, which is the additional effort paid by the employee in addition to the contractual agreement.
Assumption 5. 
There are two means of treating CDW: recycling and landfill [20]. The original amount of CDW generated by the construction enterprise is  a , and the initial amount recycled is set to  μ a , where  μ  is the recycling rate of CDW,  0 μ 1 .
Assumption 6. 
Based on the relevant literature [45,52,58], the amount of CDW recycled is defined as a function linearly related to the basic personal cost  r  of employees recycling a unit of CDW, the degree of employee additional effort  θ , and the level of environmental responsibility  η  of the construction enterprise. When employees put in additional effort, the amount of CDW recycled is  q 1 Y A = μ a + β r + τ θ + k η , and the amount of CDW landfilled is  q 2 Y A = 1 μ a β r τ θ k η . If employees do not put in additional effort, the amount of CDW recycled is  q 1 N A = μ a + β r + k η , and the amount of CDW landfilled is  q 2 N A = 1 μ a β r k η .

3.4. Mathematical Models

In this section, the construction of two separate models is described, considering whether or not employees put in additional effort. The leaders of the construction enterprise, as the Stackelberg game leaders, prioritize determining the compensation w to be paid to the employees to recycle a unit of CDW as well as the level of the environmental responsibility η of the enterprise. On this basis, the employees then decide to pay the basic personal cost r .

3.4.1. Employees Do Not Put in Additional Effort (NA)

If the employees pay only the basic personal cost based on the compensation provided by the leaders of the construction enterprise without additional effort, the profit functions of construction enterprise leaders and employees are as follows:
Profit function of construction enterprise leaders:
π 1 N A = p w μ a + β r + k η c 1 η 2 2 e m 1 μ a β r k η
Profit function of construction enterprise employees:
π 2 N A = w r μ a + β r + k η
To demonstrate the existence of an optimal solution for r , finding the second-order partial derivative of π 2 N A with respect to r , that is, 2 π 2 N A r 2 = 2 β < 0 ; so, there is an optimal solution to r . To demonstrate the existence of optimal solutions for w and η , deriving the Hessian matrix of π 1 N A with respect to w and η , as H ( w , η ) = β k 2 k 2 c 1 . When β < 0 and β c 1 k 2 4 > 0 , that is, c 1 > k 2 4 β , the Hessian matrix exhibits negative definiteness, and there exist optimal solutions for r , w , and η in this model.
The model can be solved with inverse induction, and the results are as follows:
w N A = k 2 p + e m 2 c 1 p β a μ + β e m k 2 4 β c 1
r N A = k 2 p + e m c 1 p β 3 a μ + β e m k 2 4 β c 1
η N A = k p β + a μ + β e m k 2 4 β c 1
Substituting Equations (3)–(5) into Equations (1) and (2), the expected profits of the leaders and employees of the construction enterprise are found to be:
π 1 N A = 2 a k 2 e m + c 1 p β + a μ 2 + β e m 2 p β + 2 a 4 + μ + β e m 2 k 2 4 β c 1
π 2 N A = β c 1 2 p β + a μ + β e m 2 k 2 4 β c 1 2
The total profit of the construction enterprise under the NA model is:
π 3 N A = 2 a k 4 e m + k 2 c 1 p β + a μ 2 β e m 2 p β + 2 a 8 + μ + β e m + 2 β c 1 2 3 p β + a μ 2 + β e m 16 a + 6 p β + 6 a μ + 3 β e m 2 k 2 4 β c 1 2

3.4.2. Employees Put in Additional Effort (YA)

Employees who have a psychological contract with the enterprise due to the psychological contract’s constraints in the process of recycling CDW may pay the cost of the additional effort in addition to paying the basic personal costs. In this case, the profit functions of construction enterprise leaders and employees are as follows:
Profit function of construction enterprise leaders:
π 1 Y A = p w μ a + β r + τ θ + k η c 1 η 2 2 e m 1 μ a β r τ θ k η
Profit function of construction enterprise employees:
π 2 Y A = w r μ a + β r + τ θ + k η c 2 θ 2 2
When c 1 > k 2 4 β , there exist optimal solutions for r , w , and η in this model. The proof procedure is the same as for the NA model.
The model can be solved with inverse induction, and the results are as follows:
w Y A = k 2 p + e m + 2 c 1 p β + a μ + θ τ β e m k 2 4 β c 1
r Y A = k 2 p + e m c 1 p β 3 a μ 3 θ τ + β e m k 2 4 β c 1
η Y A = k p β + a μ + θ τ + β e m k 2 4 β c 1
Substituting Equations (11)–(13) into Equations (9) and (10), the expected profits of the leaders and employees of the construction enterprise are found to be
π 1 Y A = 2 a k 2 e m + c 1 p β + a μ + θ τ 2 + β e m 2 p β + a 4 + μ + θ τ + β e m 2 k 2 4 β c 1
π 2 Y A = k 4 θ 2 c 2 + 8 k 2 β θ 2 c 1 c 2 + 2 β c 1 2 8 β θ 2 c 2 + p β + a μ + θ τ + β e m 2 2 k 2 4 β c 1 2
The total profit of the construction enterprise under the YA model is
π 3 Y A = k 4 θ 2 c 2 + 2 a e m + k 2 c 1 p β + a μ + θ τ 2 8 β θ 2 c 2 + β e m 2 p β + a 8 + μ + θ τ + β e m 2 β c 1 2 3 p β + a μ + θ τ 2 8 β θ 2 c 2 + β e m 16 a + 6 p β + 6 a μ + 6 θ τ + 3 β e m 2 k 2 4 β c 1 2

4. Results and Discussion

4.1. Model Analysis

In accordance with Section 3, this section analyzes the model using propositional calculations. The proof procedure of the propositions is provided in Appendix A.
Proposition 1. 
Under the YA model, the relationship between the construction enterprise leader profit  π 1 Y A , the construction enterprise employee profit  π 2 Y A , and the degree of employee additional effort  θ  is as follows:
(1) 
When  c 1 > k 2 4 β ,  π 1 Y A  is positively correlated with the degree of employee additional effort  θ .
(2) 
When  c 1 > k 2 4 β , if  0 < τ < k 2 + 4 β c 1 c 2 2 β c 1  when  0 < θ < 2 β τ c 1 2 p β + a μ + β e m 2 β τ 2 c 1 2 + k 2 4 β c 1 2 c 2 ,  π 2 Y A  is positively correlated with respect to the degree of employee additional effort  θ , and when  2 β τ c 1 2 p β + a μ + β e m 2 β τ 2 c 1 2 + k 2 4 β c 1 2 c 2 θ ,  π 2 Y A  is negatively correlated with respect to the degree of employee additional effort  θ . If  τ > k 2 + 4 β c 1 c 2 2 β c 1 ,  π 2 Y A  is positively correlated with the degree of employee additional effort  θ .
Proposition 1 shows that the degree of employee additional effort leads to a growth in the construction enterprise leaders’ profits in the case where the employees put in additional effort, as shown in case (1). However, the impact of the degree of employee additional effort on their own profits is more complex, as shown in case (2). If the additional effort coefficient is small, the degree of employee additional effort will lead to an increase in their own profits within a certain threshold. However, when the degree of additional effort exceeds a certain threshold, it will reduce their profits. If the additional effort coefficient is large, the additional effort of employees always promotes their own profits.
Proposition 2. 
Under the YA model, for the total profit of the construction enterprise  π 3 Y A , when  c 1 > k 2 4 β , if  0 < τ < k 2 + 4 β c 1 c 2 c 1 ( k 2 + 6 β c 1 )  when  0 < θ < τ c 1 k 2 6 β c 1 p β + a μ + β e m τ 2 c 1 k 2 + 6 β c 1 k 2 4 β c 1 2 c 2 ,  π 3 Y A  is positively correlated with the degree of employee additional effort  θ , and when  τ c 1 k 2 6 β c 1 p β + a μ + β e m τ 2 c 1 k 2 + 6 β c 1 k 2 4 β c 1 2 c 2 θ ,  π 3 Y A  is negatively correlated with the degree of employee additional effort  θ . If  τ > k 2 + 4 β c 1 c 2 c 1 ( k 2 + 6 β c 1 ) ,  π 3 Y A  is positively correlated with the degree of employee additional effort  θ .
Proposition 2 shows that, in the case of employee additional effort, when the additional effort coefficient is small and the degree of employee additional effort is large, the degree of employee additional effort exerts a detrimental impact on the total profit of the construction enterprise. In all other cases, the construction enterprise experiences a gain in the total profit as a result of the additional effort of employees.
Corollary 1. 
Under the YA model, the relationship between the additional effort coefficient  τ  with respect to the threshold  τ 1 = k 2 + 4 β c 1 c 2 2 β c 1  of employee profit  π 2 Y A  and the threshold  τ 2 = k 2 + 4 β c 1 c 2 c 1 ( k 2 + 6 β c 1 )  of the profit  π 3 Y A  of the construction enterprise is as follows:  τ 1 > τ 2 . When  τ 2 < τ < τ 1 , as the degree of employee additional effort  θ  increases, the employee profit  π 2 Y A  grows and then declines, and the profit  π 3 Y A  of the construction enterprise gradually increases.
Corollary 1 shows that in the case of additional effort by employees, the total profit of the construction enterprise will reach the threshold value before the employee profit as the additional effort coefficient increases. At this point, the degree of employee additional effort may have a negative effect on their own profits; however, there is always a positive effect on the total profit of the construction enterprise.
Proposition 3. 
The relationship between leader profit  π 1 Y A  and employee profit  π 2 Y A  under the YA model and leader profit  π 1 N A  and employee profit  π 2 N A  under the NA model is as follows:
(1) 
When  c 1 > k 2 4 β ,  π 1 Y A > π 1 N A .
(2) 
When  c 1 > k 2 4 β , if  0 < τ < k 2 + 4 β c 1 c 2 2 β c 1  when  0 < θ < 4 β τ c 1 2 p β + a μ + β e m 2 β τ 2 c 1 2 + k 2 4 β c 1 2 c 2 , then  π 2 Y A > π 2 N A , and when  4 β τ c 1 2 p β + a μ + β e m 2 β τ 2 c 1 2 + k 2 4 β c 1 2 c 2 θ , then  π 2 Y A π 2 N A . If  τ > k 2 + 4 β c 1 c 2 2 β c 1 , it follows that  π 2 Y A > π 2 N A .
Proposition 3 shows that construction enterprise leaders achieve a greater profit when employees put in additional effort compared with when they do not, as shown in case (1). In case (2), employee profit is influenced by both the additional effort coefficient and the degree of additional effort. When the additional effort coefficient and the degree of additional effort are small, the profits of the employees with additional effort are greater than in the case of no additional effort; however, the opposite conclusion is obtained when the degree of additional effort exceeds a certain threshold. When the additional effort coefficient is large, the profits are always greater when employees put in additional effort compared with when they do not.
Proposition 4. 
The relationship between the total profit  π 3 Y A  of the construction enterprise under the YA model and the total profit  π 3 N A  of the construction enterprise under the NA model is as follows. When  c 1 > k 2 4 β , if  0 < τ < k 2 + 4 β c 1 c 2 c 1 k 2 + 6 β c 1  when  0 < θ < 2 τ c 1 k 2 6 β c 1 p β + a μ + β e m τ 2 c 1 k 2 + 6 β c 1 k 2 4 β c 1 2 c 2 , then  π 3 Y A > π 3 N A , and when  2 τ c 1 k 2 6 β c 1 p β + a μ + β e m τ 2 c 1 k 2 + 6 β c 1 k 2 4 β c 1 2 c 2 θ , then  π 3 Y A π 3 N A . If  τ > k 2 + 4 β c 1 c 2 c 1 k 2 + 6 β c 1 , it follows that  π 3 Y A > π 3 N A .
Proposition 4 shows that the additional effort coefficient and the degree of additional effort are small, the construction enterprise’s total profit is greater when employees put in additional effort compared with when they do not. However, the opposite conclusion was obtained when the degree of employee additional effort exceeded a certain threshold. When the additional effort coefficient is large, the construction enterprise’s total profit is always greater when employees put in additional effort compared with when they do not.

4.2. Numerical Simulation and Sensitivity Analysis

This section describes the use of MATLAB 2021b to examine the impact of the key parameters on leader profit, employee profit, and the total profit of the construction enterprise. Furthermore, in this study, the original values of the parameters were determined through a literature review. Table 3 provides the original values of the relevant parameters.
Table 3. The parameter values.
Table 3. The parameter values.
ParameterValueAuthors
a 120Feng & Tan (2019) [54]
p 20Su et al. (2021) [50]
β 1.5Khosroshahi et al. (2021) [59]
k 1.5Xu & Zhan (2021) [60]
μ 0.7Moschen et al. (2023) [5]
c 1 2Khosroshahi et al. (2021) [59]
c 2 2Khosroshahi et al. (2021) [59]
e m 5Su et al. (2021) [50]

4.2.1. The Effect of Additional Effort on Leader and Employee Profits

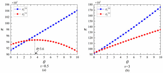
Figure 3a shows that in the case where employees put in additional effort, when the coefficient of employee additional effort is within a certain threshold ( τ = 0.5), and when θ is in the range of (0, 3.6), the profits of employees increase as the employee additional effort increases; however, when θ is greater than 3.6, the profits of employees decrease as the employee additional effort increases. This is because the additional effort of employees is less efficient and has a limited impact on the amount of CDW recycled. When θ reaches 3.6, the benefits of the additional effort do not compensate for the additional personal costs; thus, the employee profit decreases. Simultaneously, the profits of leaders continue to increase with employees’ additional effort, as the leaders do not pay additional costs. Therefore, when employees who have a psychological contract with the leaders contribute additional effort to maintain the contractual relationship, the leaders of the enterprise can provide economic or other incentives to maintain the level of employee additional effort. This approach avoids the additional effort of employees exceeding a certain threshold that leads to a decline in their own profits, which, in turn, generates a violation of the psychological contract. In addition, construction enterprise leaders can enhance the professional skills of their employees through targeted training to avoid the negative impact of additional effort on the process of CDW recycling.
Figure 3. The effect of additional effort on leader and employee profits. In particular, subfigures (a,b) represent the change in profits when the additional effort coefficient is below and above the threshold, respectively.
Figure 3b shows that when the coefficient of employee additional effort to recycle CDW exceeds a certain threshold ( τ = 3), both the construction enterprise leaders’ and employees’ profits are positively correlated with the degree of employee additional effort. This is because the additional effort of employees can substantially increase the amount of CDW recycled, making up for the additional costs, even if the construction enterprise leaders do not provide appropriate incentives. At this point, construction enterprises may consider increasing resource investment in the recycling process, including technological improvements and equipment upgrades, which in turn further improve CDW recycling efficiency.
The above results differ from the view of Yang et al. [61], who argue that, as the coefficient of sales effort increases, the leader of the game significantly increases its sales effort to expand market demand, resulting in a simultaneous increase in profits for both the leader and the follower. However, this study argues that the additional effort coefficient presents a situation where employee profit increases and then decreases with the increase in the degree of additional effort when it is within a certain threshold value. Beyond a certain threshold range, employee profits are positively correlated with the degree of additional effort, while leader profits are consistently positively correlated with the degree of additional effort. The difference between the two is due to the fact that this study focuses on the game between leaders and employees within the construction enterprise, whereas Yang et al. studied the game between multiple enterprises in the supply chain.

4.2.2. The Effect of Additional Effort on the Profit of a Construction Enterprise

Figure 4a shows that when the coefficient of employee additional effort is within a certain threshold ( τ = 0.3) when θ is in the range of (0, 6), the profit of the construction enterprise increases as the employee effort increases; however, when θ is greater than 6, the profit of the construction enterprise decreases as the employee effort increases. This is because the additional effort coefficient is small, and when θ increases, the cost of additional effort increases; at the same time, the incremental benefit from the additional effort is small. When θ reaches 6, the benefits from additional effort do not compensate for the additional cost, and thus, the profit of the enterprise decreases. At this point, the efficiency of employee additional effort is low, and construction enterprises should dynamically adjust incentives and conduct regular performance evaluations. When the degree of employee additional effort increases significantly but does not generate revenue for the enterprise, it indicates that the implementation process of CDW recycling projects may be flawed. The construction enterprise should review and optimize existing work processes and provide employees with the necessary technical support to ensure that their additional efforts are effectively translated into tangible results.
Figure 4. The effect of additional effort on the profit of a construction enterprise. In particular, subfigures (a,b) represent the change in profits when the additional effort coefficient is below and above the threshold, respectively.
Figure 4b shows that when the coefficient of additional effort of employees to recycle CDW exceeds a certain threshold ( τ = 2.5), the greater the additional effort of employees, the greater the total profit of the construction enterprise. At this point, even if the employee profit decreases due to a high level of additional effort, if the enterprise leaders can formulate a reasonable revenue-sharing strategy and use part of their own revenue to incentivize their employees, they will be able to promote the joint growth of their profits and maintain the psychological contract between the two. However, the above findings differ from those of Fan et al. [62], who argued that the optimal effort was not affected by the total benefit distribution ratio. This study argues that adjusting the total revenue-sharing ratio when the additional effort coefficient exceeds a certain threshold can lead to a more optimal level of effort by increasing the profits of both employees and the construction enterprise. The difference between the two is due to the fact that Fan et al. treated basic and additional effort as a whole and did not examine the effect of additional effort on profits separately.

4.2.3. Sensitivity Analysis

Model validity is usually verified in Stackelberg games by sensitivity analysis [11]. In the numerical simulation analysis, this study investigated the impact of the degree of employee additional effort on the profits of the construction enterprise under the scenario of employee additional effort. To verify the validity of the model and further analyze the impacts of the recycling rate μ of CDW, the basic effort coefficient β of employees to recycle CDW, the additional effort coefficient τ of employees to recycle CDW, and the environmental protection sensitivity coefficient k on the profit of the construction enterprise, this study referred to the relevant literature for the sensitivity analysis [63,64].
Figure 5a provides the effect of the recycling rate μ of CDW on the profits of construction enterprise leaders and employees. Figure 5a shows that, as μ increases, the profits of the construction enterprise leaders and employees increase regardless of whether or not the employees put in additional effort. However, in both models, the sensitivity of the construction enterprise leader’s profit to μ is greater than that of employee profit, and the trend in leader profit is greater as μ increases. Unsurprisingly, at larger recycling rates, the additional investment made by construction enterprises to implement recycling is fully utilized, and thus, a larger percentage of CDW is remanufactured to generate revenue for the enterprise, and landfill costs are reduced, which has a positive impact on the enterprise.
Figure 5. The effect of key parameters μ , β , τ , k on the profits of leaders and employees. In particular, subfigures (ad) represent the effect of the recycling rate, the basic effort coefficient, the additional effort coefficient, and the environmental protection sensitivity coefficient on profits, respectively.
Figure 5b provides the effect of the basic effort coefficient β of employees to recycle CDW on the profits of construction enterprise leaders and employees. Figure 5b shows that when β is in the range of (0.2, 0.4), the profits of leaders and employees increase rapidly with the increase in β and then decrease rapidly, and the sensitivity of employee profit to β is much larger than leader profit. Therefore, the validity of the model was verified. Beyond that range, β has no significant effect on the profits of leaders and employees.
Figure 5c provides the effect of the additional effort coefficient τ of employees to recycle CDW on the profits of construction enterprise leaders and employees. Figure 5c shows that when employees put in additional effort, as τ increases, the profits of both the construction enterprise leaders and employees increase. Specifically, leader profit is more sensitive to τ than employee profit. When τ is larger, the degree of employee additional effort can increase the amount of CDW recycled more substantially, contributing to an increase in both profits. This result is consistent with the effect of τ on the profits of leaders and employees in the proposition.
Figure 5d provides the effect of the environmental protection sensitivity coefficient k on the profits of construction enterprise leaders and employees. Figure 5d shows that when k is in the range of (0, 2.1), it has no significant effect on the profits of leaders and employees; however, when k is greater than 2.1, the profits of leaders and employees increase rapidly. It is noteworthy that employee profit is more sensitive to changes in k . This means that employee profit is more affected by the level of environmental responsibility. Employee profit is likely to increase faster when the enterprise starts to take environmental protection measures, motivating employees and prompting them to be more proactive in the recycling of CDW.

5. Conclusions and Implications

5.1. Conclusions

In order to reveal the decision-making mechanism of leader and employee behaviors in CDW recycling projects, this study constructed a Stackelberg game model consisting of leaders and employees of construction enterprises under the theoretical framework of the psychological contract. The consequent conclusions are as follows:
(1)
In the case of additional effort by employees, the profits of construction enterprise leaders are always greater than in the case of no additional effort, and the difference in profits gradually increases as the degree of employee additional effort increases. Therefore, the leaders of construction enterprises should encourage their employees to put in more additional effort to improve their earnings by setting up incentives and other means. At the same time, the employees should adjust their strategies according to the additional effort coefficient. When the additional effort coefficient is below the threshold, employees should keep the additional effort within a reasonable range to avoid overpaying and negatively affecting their own profits. When the additional effort coefficient exceeds the threshold, employees should increase the additional effort as much as possible in order to maximize their own profit and the total profit of the construction enterprise.
(2)
Similar to the change in employee profits, the change in the total profit of the construction enterprise with the additional effort is influenced by the additional effort coefficient. When the additional effort coefficient is below the threshold, too much additional effort leads to a decrease in the profit of the enterprise. When the additional effort coefficient exceeds the threshold, the profit of the enterprise is positively related to the employees’ additional effort. However, as the additional effort coefficient increases, the profit of the enterprise shows a significant increase before employee profits. Therefore, construction enterprises should adjust incentives according to changes in the employees’ additional effort and the additional effort coefficient.

5.2. Theoretical Contribution

This study creatively combines the dynamic adjustment process of the psychological contract with the Stackelberg game by introducing the psychological contract theory into CDW recycling projects. This not only enriches the application scenarios of psychological contract theory but also provides a new perspective on game theory. In addition, by applying psychological contract theory to CDW recycling, this study expands the scope of this theory is not limited to traditional human resource management but can also play a role in the fields of environmental management and resource remanufacturing.

5.3. Management Implications

This study compared profits under two models of employees contributing and not contributing additional effort in a Stackelberg game system. The system addresses the management of CDW recycling projects and consists of leaders and employees of a construction enterprise and analyzes the effect of employee additional effort on profits. The management implications obtained are as follows:
(1)
It is recommended that the construction enterprise leaders establish a monitoring and feedback mechanism and a performance evaluation system to strengthen the systematic management of CDW recycling projects. On the one hand, it is recommended that construction enterprise leaders assess the level of additional effort of employees by monitoring the additional working time of employees or other forms of additional employee contributions beyond contractual requirements. On the other hand, leaders of construction enterprises are advised to conduct regular performance evaluations through indicators such as the recycling rate of CDW and the profit of the enterprise to analyze the impact of the additional effort of employees on project operation. Moreover, leaders are advised to adjust their management strategy according to the evaluation results. For example, leaders can offer training to strengthen employee awareness of CDW resourcing and encourage employees to take the initiative to participate in CDW recycling.
(2)
Construction enterprises should analyze the efficiency of employee additional effort based on the results of performance evaluations. If employee additional effort has a significant positive impact on enterprise performance, it is recommended that enterprise leaders create incentives based on the level of employee additional effort. For example, rewarding employees with commensurate bonuses or promotion opportunities ensures that they are fairly rewarded for their additional work. If the additional working time of employees or other forms of additional contribution does not have a significant impact on the performance of the enterprise or even has a negative impact on the implementation of CDW recycling, it is recommended that construction enterprises optimize the process of implementing CDW recycling projects to reduce unnecessary workloads and improve the efficiency of resource utilization.

5.4. Limitations

This study introduced the variable of employee additional effort under the theoretical framework of the psychological contract to reveal the behavioral decision-making mechanism between leaders and employees in CDW recycling projects. However, there are still some limitations to this work. (1) This study does not define the cultural or economic context in which a construction enterprise operates. In fact, the level of recycling of CDW varies greatly from region to region, and developed countries encourage construction enterprises to carry out resource recycling by means of subsidies and loan concessions [20]. (2) This study draws conclusions in the context of CDW recycling projects, and further empirical evidence is required as to whether these conclusions are applicable to other industries. Therefore, future research could consider the behavioral decision-making mechanisms of leaders and employees in other waste management projects in different cultures and economic systems.

Author Contributions

Methodology, validation, formal analysis, investigation, resources, data curation, writing—original draft, writing—review and editing, and visualization, P.G.; conceptualization, methodology, writing—original draft, supervision, and project administration, X.L.; data curation, writing—review and editing, S.L., L.Z., J.P., Y.W. and H.Z. All authors have read and agreed to the published version of the manuscript.

Funding

This work was supported by the National Natural Science Foundation of China (grant number 72204178); the Sichuan Science and Technology Program; the Natural Science Foundation of Sichuan, China (grant number 2023NSFSC1053); and the National College Students Innovation and Entrepreneurship Training Plan (grant number 202410626004).

Institutional Review Board Statement

Not applicable.

Data Availability Statement

Data are contained within the article.

Conflicts of Interest

The authors declare no conflicts of interest.

Appendix A

From modeling and solving, it is clear that there exists an optimal solution to the model when c 1 > k 2 4 β . Therefore, the following proofs proceed on this premise.
Proof of Proposition 1 
(1)
In the model of employees putting in additional effort, the construction enterprise leader profit is: π 1 Y A = 2 a k 2 e m + c 1 p β + a μ + θ τ 2 + β e m 2 p β + a 4 + μ + θ τ + β e m 2 k 2 4 β c 1 Finding the partial derivative of π 1 Y A with respect to θ gives π 1 Y A θ = c 1 2 τ p β + a μ + θ τ + 2 β τ e m 2 k 2 4 β c 1 . When π 1 Y A θ > 0 , solve for 4 β c 1 > k 2 , that is, c 1 > k 2 4 β .
In summary, when c 1 > k 2 4 β , π 1 Y A is positively correlated with the degree of employee additional effort θ .
(2)
In the model of employees putting in additional effort, the construction enterprise employee profit is π 2 Y A = k 4 θ 2 c 2 + 8 k 2 β θ 2 c 1 c 2 + 2 β c 1 2 8 β θ 2 c 2 + p β + a μ + θ τ + β e m 2 2 k 2 4 β c 1 2 . Finding the partial derivative of π 2 Y A with respect to θ gives π 2 Y A θ = k 4 θ c 2 + 8 k 2 β θ c 1 c 2 + 2 β c 1 2 8 β θ c 2 + τ p β + a μ + θ τ + β e m k 2 4 β c 1 2 . Let k 4 θ c 2 + 8 k 2 β θ c 1 c 2 + 2 β c 1 2 8 β θ c 2 + τ p β + a μ + θ τ + β e m = 0 , and solve for θ = 2 β τ c 1 2 p β + a μ + β e m 2 β τ 2 c 1 2 + k 2 4 β c 1 2 c 2 . Then let 2 β τ 2 c 1 2 + k 2 4 β c 1 2 c 2 = 0 , and solve for τ = k 2 + 4 β c 1 c 2 2 β c 1 .
In summary, when c 1 > k 2 4 β , if 0 < τ < k 2 + 4 β c 1 c 2 2 β c 1 , when 0 < θ < 2 β τ c 1 2 p β + a μ + β e m 2 β τ 2 c 1 2 + k 2 4 β c 1 2 c 2 , π 2 Y A is positively correlated with the degree of employee additional effort θ ; when 2 β τ c 1 2 p β + a μ + β e m 2 β τ 2 c 1 2 + k 2 4 β c 1 2 c 2 θ , π 2 Y A is negatively correlated with the degree of employee additional effort θ . If τ > k 2 + 4 β c 1 c 2 2 β c 1 , π 2 Y A is positively correlated with the degree of employee additional effort θ . □
Proof of Proposition 2 
 
In the model of employees putting in additional effort, the total profit of the construction enterprise is: π 3 Y A = k 4 θ 2 c 2 + 2 a e m + k 2 c 1 p β + a μ + θ τ 2 8 β θ 2 c 2 + β e m 2 p β + a 8 + μ + θ τ + β e m 2 β c 1 2 3 p β + a μ + θ τ 2 8 β θ 2 c 2 + β e m 16 a + 6 p β + 6 a μ + 6 θ τ + 3 β e m 2 k 2 4 β c 1 2 . Let k 4 θ c 2 + k 2 c 1 8 β θ c 2 + τ p β + a μ + θ τ + β e m 2 β c 1 2 8 β θ c 2 + 3 τ p β + a μ + θ τ + β e m = 0 , and solve for θ = τ c 1 k 2 6 β c 1 p β + a μ + β e m τ 2 c 1 k 2 + 6 β c 1 k 2 4 β c 1 2 c 2 . Then let τ 2 c 1 k 2 + 6 β c 1 k 2 4 β c 1 2 c 2 = 0 , and solve for τ = k 2 + 4 β c 1 c 2 c 1 ( k 2 + 6 β c 1 ) .
In summary, when c 1 > k 2 4 β , if 0 < τ < k 2 + 4 β c 1 c 2 c 1 ( k 2 + 6 β c 1 ) , when 0 < θ < τ c 1 k 2 6 β c 1 p β + a μ + β e m τ 2 c 1 k 2 + 6 β c 1 k 2 4 β c 1 2 c 2 , π 3 Y A is positively correlated with the degree of employee additional effort θ ; when τ c 1 k 2 6 β c 1 p β + a μ + β e m τ 2 c 1 k 2 + 6 β c 1 k 2 4 β c 1 2 c 2 θ , π 3 Y A is negatively correlated with the degree of employee additional effort θ . If τ > k 2 + 4 β c 1 c 2 c 1 ( k 2 + 6 β c 1 ) , π 3 Y A is positively correlated with the degree of employee additional effort θ . □
Proof of Corollary 1 
 
In the model where employees put in additional effort, the difference between the threshold τ 1 of the employee profit on the coefficient of additional effort and the threshold τ 2 of the total profit of the enterprise on the coefficient of additional effort can be obtained: τ 1 τ 2 = 1 2 k 2 + 4 β c 1 2 β c 1 2 c 1 k 2 + 6 β c 1 c 2 .When c 1 > k 2 4 β , that is, k 2 + 4 β c 1 > 0 . Obviously, k 2 + 6 β c 1 > 0 , which gives 2 β c 1 2 4 c 1 ( k 2 + 6 β c 1 ) = 2 ( k 2 + 4 β c 1 ) c 1 2 β ( k 2 + 6 β c 1 ) > 0 . Therefore, 2 β c 1 2 c 1 k 2 + 6 β c 1 > 0 , which gives τ 1 > τ 2 . □
Proof of Proposition 3 
(1)
The difference between the profits of the leaders of the construction enterprise in the YA model and the profits of the leaders of the construction enterprise in the NA model is: π 1 Y A π 1 N A = θ τ c 1 2 p β + 2 a μ + θ τ + 2 β e m 2 k 2 4 β c 1 .When c 1 > k 2 4 β , which gives π 1 Y A > π 1 N A .
(2)
The difference between the profits of the employees of the construction enterprise in the YA model and the profits of the employees of the construction enterprise in the NA model is: π 2 Y A π 2 N A = θ k 4 θ c 2 + 8 k 2 β θ c 1 c 2 + 2 β c 1 2 8 β θ c 2 + τ 2 p β + 2 a μ + θ τ + 2 β e m 2 k 2 4 β c 1 2 . Let m = k 4 θ c 2 + 8 k 2 β θ c 1 c 2 + 2 β c 1 2 8 β θ c 2 + τ 2 p β + 2 a μ + θ τ + 2 β e m = 0 , and solve for θ = 4 β τ c 1 2 p β + a μ + β e m 2 β τ 2 c 1 2 + k 2 4 β c 1 2 c 2 . Finding the partial derivative of m with respect to θ , that is, m θ = 2 β τ 2 c 1 2 k 2 4 β c 1 2 c 2 . Then let 2 β τ 2 c 1 2 + k 2 4 β c 1 2 c 2 = 0 , and solve for τ = k 2 + 4 β c 1 c 2 2 β c 1 .
In summary, When c 1 > k 2 4 β , if 0 < τ < k 2 + 4 β c 1 c 2 2 β c 1 , when 0 < θ < 4 β τ c 1 2 p β + a μ + β e m 2 β τ 2 c 1 2 + k 2 4 β c 1 2 c 2 , then π 2 Y A > π 2 N A ; when 4 β τ c 1 2 p β + a μ + β e m 2 β τ 2 c 1 2 + k 2 4 β c 1 2 c 2 θ , then π 2 Y A π 2 N A . If τ > k 2 + 4 β c 1 c 2 2 β c 1 , it follows that π 2 Y A > π 2 N A . □
Proof of Proposition 4 
 
The difference between the total profit of the construction enterprise in the YA model and the total profit of the construction enterprise in the NA model is: π Y A π N A = θ k 4 θ c 2 + k 2 c 1 8 β θ c 2 + τ 2 p β + 2 a μ + θ τ + 2 β e m 2 β c 1 2 8 β θ c 2 + 3 τ 2 p β + 2 a μ + θ τ + 2 β e m 2 k 2 4 β c 1 2 . Let n = k 4 θ c 2 + k 2 c 1 8 β θ c 2 + τ 2 p β + 2 a μ + θ τ + 2 β e m 2 β c 1 2 8 β θ c 2 + 3 τ 2 p β + 2 a μ + θ τ + 2 β e m = 0 , and solve for θ = 2 τ c 1 k 2 6 β c 1 p β + a μ + β e m τ 2 c 1 k 2 + 6 β c 1 k 2 4 β c 1 2 c 2 . Finding the partial derivative of n with respect to θ , that is, n θ = τ 2 c 1 k 2 + 6 β c 1 k 2 4 β c 1 2 c 2 Then let τ 2 c 1 k 2 + 6 β c 1 k 2 4 β c 1 2 c 2 = 0 , and solve for τ = k 2 + 4 β c 1 c 2 c 1 k 2 + 6 β c 1 .
In summary, When c 1 > k 2 4 β , if 0 < τ < k 2 + 4 β c 1 c 2 c 1 k 2 + 6 β c 1 , when 0 < θ < 2 τ c 1 k 2 6 β c 1 p β + a μ + β e m τ 2 c 1 k 2 + 6 β c 1 k 2 4 β c 1 2 c 2 , then π 3 Y A > π 3 N A ; when 2 τ c 1 k 2 6 β c 1 p β + a μ + β e m τ 2 c 1 k 2 + 6 β c 1 k 2 4 β c 1 2 c 2 θ , then π 3 Y A π 3 N A . If τ > k 2 + 4 β c 1 c 2 c 1 k 2 + 6 β c 1 , it follows that π 3 Y A > π 3 N A . □

References

  1. Patuelli, A.; Carungu, J.; Lattanzi, N. Drivers and nuances of sustainable development goals: Transcending corporate social responsibility in family firms. J. Clean. Prod. 2022, 373, 133723. [Google Scholar] [CrossRef]
  2. Kim, J.; Kim, J. Corporate sustainability management and its market benefits. Sustainability 2018, 10, 1455. [Google Scholar] [CrossRef]
  3. European Commission. A New Circular Economy Action Plan. For a Cleaner and More Competitive Europe. 2020. Available online: https://eur-lex.europa.eu/resource.html?uri=cellar:9903b325-6388-11ea-b735-01aa75ed71a1.0017.02/DOC_1&format=PDF (accessed on 7 September 2023).
  4. Liu, Y.; Hao, J.; Li, C.; Li, Y.; Zhou, C.; Zheng, H.; Xu, S.; Chen, W.; Li, X. How Can Construction and Demolition Waste Recycling Public–Private Partnership Projects Performance Compensate during the Operation Period? A Two-Stage Perspective of Recycling and Remanufacturing. Systems 2023, 11, 170. [Google Scholar] [CrossRef]
  5. Moschen-Schimek, J.; Kasper, T.; Huber-Humer, M. Critical review of the recovery rates of construction and demolition waste in the European Union–An analysis of influencing factors in selected EU countries. Waste Manag. 2023, 167, 150–164. [Google Scholar] [CrossRef] [PubMed]
  6. Tan, R.; Jin, H.; Yu, M.; Yang, J.; Zhang, J. Research on Construction Waste Recycling Subsidy Model Considering Contractor’s Environmental Awareness. Sustainability 2023, 15, 2333. [Google Scholar] [CrossRef]
  7. Lee, S.; Bae, J.Y.; Sharafat, A.; Seo, J. Waste Lime Earthwork Management Using Drone and BIM Technology for Construction Projects: The Case Study of Urban Development Project. KSCE J. Civ. Eng. 2024, 28, 517–531. [Google Scholar] [CrossRef]
  8. Pacheco, J.; de Brito, J. Recycled Aggregates Produced from Construction and Demolition Waste for Structural Concrete: Constituents, Properties and Production. Materials 2021, 14, 5748. [Google Scholar] [CrossRef]
  9. Papamichael, I.; Voukkali, I.; Loizia, P.; Zorpas, A.A. Construction and demolition waste framework of circular economy: A mini review. Waste Manag. Res. 2023, 41, 1728–1740. [Google Scholar] [CrossRef]
  10. Xu, S.; Yin, W.; Li, X.; Chen, W.; Yi, B.; Wang, Y. Evolutionary mechanism of green technology innovation behavior in the operation period of construction and demolition waste recycling public–private partnership projects. Manag. Decis. Econ. 2023, 44, 4637–4650. [Google Scholar] [CrossRef]
  11. Li, X.; Ding, Z. Decision-making mechanisms of greenwashing behaviors of building materials manufacturers: A media disclosure and consumer skepticism perspective. Environ. Technol. Innov. 2024, 35, 103705. [Google Scholar] [CrossRef]
  12. Hamada, H.M.; Al-Attar, A.; Abed, F.; Beddu, S.; Humada, A.M.; Majdi, A.; Yousif, S.T.; Thomas, B.S. Enhancing sustainability in concrete construction: A comprehensive review of plastic waste as an aggregate material. Sustain. Mater. Technol. 2024, 40, e00877. [Google Scholar] [CrossRef]
  13. Li, T.; Liang, W.; Yu, Z.; Dang, X. Analysis of the influence of entrepreneur’s psychological capital on employee’s innovation behavior under leader-member exchange relationship. Front. Psychol. 2020, 11, 1853. [Google Scholar] [CrossRef] [PubMed]
  14. China State Construction Engineering Corporation. HR Strategy. Available online: https://en.cscec.com/Career_en/Talentstrategy_en/ (accessed on 20 November 2023).
  15. Zhang, Y.; Dare, P.S.; Saleem, A.; Chinedu, C.C. A sensation of COVID-19: How organizational culture is coordinated by human resource management to achieve organizational innovative performance in healthcare institutions. Front. Psychol. 2022, 13, 943250. [Google Scholar] [CrossRef]
  16. Chen, Z.; Wang, F. Research on Life-Cycle Project Cost Management Based on Random Matrix Weight Algorithm. Math. Probl. Eng. 2022, 2022, 5211409. [Google Scholar] [CrossRef]
  17. Laulié, L.; Briceño-Jiménez, G.; Henríquez-Gómez, G. Exploring self-regulation theory as a mechanism of the effects of psychological contract fulfillment: The role of emotional intelligence. Front. Psychol. 2023, 14, 1090094. [Google Scholar] [CrossRef]
  18. Guo, F.; Wang, J.; Song, Y. How to promote sustainable development of construction and demolition waste recycling systems: Production subsidies or consumption subsidies? Sustain. Prod. Consum. 2022, 32, 407–423. [Google Scholar] [CrossRef]
  19. Marques, R.C.; da Cruz, N.F.; Carvalho, P. Assessing and exploring (in) efficiency in Portuguese recycling systems using non-parametric methods. Resour. Conserv. Recycl. 2012, 67, 34–43. [Google Scholar] [CrossRef]
  20. Liu, J.; Li, Y.; Wang, Z. The potential for carbon reduction in construction waste sorting: A dynamic simulation. Energy 2023, 275, 127477. [Google Scholar] [CrossRef]
  21. Liu, J.; Wu, P.; Jiang, Y.; Wang, X. Explore potential barriers of applying circular economy in construction and demolition waste recycling. J. Clean. Prod. 2021, 326, 129400. [Google Scholar] [CrossRef]
  22. Ajayi, S.O.; Oyedele, L.O. Policy imperatives for diverting construction waste from landfill: Experts’ recommendations for UK policy expansion. J. Clean. Prod. 2017, 147, 57–65. [Google Scholar] [CrossRef]
  23. Liu, J.; Gong, E.; Wang, X. Economic benefits of construction waste recycling enterprises under tax incentive policies. Environ. Sci. Pollut. Res. 2022, 29, 12574–12588. [Google Scholar] [CrossRef] [PubMed]
  24. Chen, W.; Yin, W.; Yi, B.; Xu, S.; Zhang, H.; Li, X. Evolutionary mechanism of government green development behavior in construction and demolition waste recycling projects: A perspective of ecological compensation. Buildings 2023, 13, 1762. [Google Scholar] [CrossRef]
  25. Cheng, J.C.; Ma, L.Y. A BIM-based system for demolition and renovation waste estimation and planning. Waste Manag. 2013, 33, 1539–1551. [Google Scholar] [CrossRef]
  26. Dräger, P.; Letmathe, P. Who Drives Circularity?—The Role of Construction Company Employees in Achieving High Circular Economy Efficiency. Sustainability 2023, 15, 7110. [Google Scholar] [CrossRef]
  27. Kuvaas, B.; Buch, R. Leader-member exchange relationships and follower outcomes: The mediating role of perceiving goals as invariable. Hum. Resour. Manag. 2018, 57, 235–248. [Google Scholar] [CrossRef]
  28. Chen, S.T.; Haga, K.Y.A. The influence of differential leadership and proactive personality on employee in-role performance: An integrated model. Front. Psychol. 2022, 13, 978495. [Google Scholar] [CrossRef] [PubMed]
  29. Jiatong, W.; Wang, Z.; Alam, M.; Murad, M.; Gul, F.; Gill, S.A. The impact of transformational leadership on affective organizational commitment and job performance: The mediating role of employee engagement. Front. Psychol. 2022, 13, 831060. [Google Scholar] [CrossRef]
  30. Zhang, J.; Wang, Y.; Gao, F. The dark and bright side of laissez-faire leadership: Does subordinates’ goal orientation make a difference? Front. Psychol. 2023, 14, 1077357. [Google Scholar] [CrossRef] [PubMed]
  31. Ali, M.; Ullah, M.S. Role of laissez-faire leadership in talent management: Evidence from the pharmaceutical industry of Bangladesh. Heliyon 2023, 9, e17234. [Google Scholar] [CrossRef]
  32. Lee, C.C.; Yeh, W.C.; Yu, Z.; Lin, X.C. The relationships between leader emotional intelligence, transformational leadership, and transactional leadership and job performance: A mediator model of trust. Heliyon 2023, 9, e18007. [Google Scholar] [CrossRef]
  33. Sankar, S.S.; Anandh, K.S.; Rajendran, S.; Ibrahim, C.K.I.C.; Szóstak, M. Examining the Relative Importance and Association between Safety Leadership Styles and Factors Affecting Organizational Safety Climate. Buildings 2023, 13, 2062. [Google Scholar] [CrossRef]
  34. Sankar, S.S.; Anandh, K.S.; Rajendran, S.; Sen, K.N. The impact of various safety leadership styles on construction safety climate: A case of South India. In IOP Conference Series: Earth and Environmental Science; IOP Publishing: Bristol, UK, 2022; Volume 1101, p. 042005. [Google Scholar] [CrossRef]
  35. Soundarya Priya, M.G.; Anandh, K.S.; Rajendran, S.; Sen, K.N. The role of psychological contract in enhancing safety climate and safety behavior in the construction industry. J. Eng. Des. Technol. 2024; ahead-of-print. [Google Scholar] [CrossRef]
  36. Li, H.; Chen, Y.; Zheng, J.; Fang, Y.; Yang, Y.; Skitmore, M.; Rusch, R.; Jiang, T. The influence of the psychological contract on the safety of performance of construction workers in China. Eng. Constr. Archit. Manag. 2024, 31, 1879–1895. [Google Scholar] [CrossRef]
  37. Su, L.; Laczniak, R.N.; Walker, D.; Raju, S. Is strong more vulnerable? An empirical investigation of psychological contract formation, violation, and customer reactions. J. Bus. Res. 2023, 168, 114223. [Google Scholar] [CrossRef]
  38. Daouk, A.; Farmanesh, P.; Zargar, P. The Relationship Between Transactional Leadership and OCB: A Conditional Analysis of Organizational Justice Perception and Psychological Contract Fulfillment. SAGE Open 2021, 11, 21582440211061563. [Google Scholar] [CrossRef]
  39. Garcia, P.R.J.M.; Amarnani, R.K.; Bordia, P.; Restubog, S.L.D. When support is unwanted: The role of psychological contract type and perceived organizational support in predicting bridge employment intentions. J. Vocat. Behav. 2021, 125, 103525. [Google Scholar] [CrossRef]
  40. Pratto, F.; Stewart, A.L. Power dynamics in intergroup relations. Curr. Opin. Psychol. 2020, 33, 250–255. [Google Scholar] [CrossRef] [PubMed]
  41. Meng, Q.; Li, M.; Liu, W.; Li, Z.; Zhang, J. Pricing policies of dual-channel green supply chain: Considering government subsidies and consumers’ dual preferences. Sustain. Prod. Consum. 2021, 26, 1021–1030. [Google Scholar] [CrossRef]
  42. Huang, W.; Li, H. Game theory applications in the electricity market and renewable energy trading: A critical survey. Front. Energy Res. 2022, 10, 1009217. [Google Scholar] [CrossRef]
  43. Zhuo, S.; Liang, B.; Wang, C.; Zhang, T. Analysis of Social Capital and the Whole-Process Engineering Consulting Company’s Behavior Choices and Government Incentive Mechanisms—Based on Replication Dynamic Evolutionary Game Theory. Buildings 2023, 13, 1604. [Google Scholar] [CrossRef]
  44. Gui, Y.; Du, C.; Gao, L. A Matrix Approach to the Modeling and Analysis of Network Evolutionary Games with Mixed Strategy Updating Rules. Mathematics 2022, 10, 3612. [Google Scholar] [CrossRef]
  45. Zheng, H.; Li, X.; Zhu, X.; Huang, Y.; Liu, Z.; Liu, Y.; Liu, J.; Li, X.; Li, Y.; Li, C. Impact of recycler information sharing on supply chain performance of construction and demolition waste resource utilization. Int. J. Environ. Res. Public Health 2022, 19, 3878. [Google Scholar] [CrossRef]
  46. Zhang, H.; Chen, W.; Peng, J.; Wang, Y.; Zeng, L.; Gao, P.; Zhu, X.; Li, X. Pricing Decisions in Construction and Demolition Waste Recycling Supply Chains under Carbon Tax Scenarios. Systems 2024, 12, 35. [Google Scholar] [CrossRef]
  47. Transforming Construction Waste into Treasure. Economic Daily. Available online: http://paper.ce.cn/pc/content/202204/05/content_251651.html (accessed on 24 October 2023).
  48. Wang, C.N.; Hoang, Q.N.; Nguyen, T.K.L.; Hsu, H.P.; Dang, T.T. Measuring Profitable Efficiency, Technical Efficiency, Technological Innovation of Waste Management Companies Using Negative Super-SBM–Malmquist Model. Axioms 2022, 11, 315. [Google Scholar] [CrossRef]
  49. Yi, B.; Zou, Y.; Chen, W.; Li, Z.; He, Y.; Jin, Z.; Zhang, H.; Li, X. Coevolution Mechanism of Remanufacturer–Construction Enterprise–Public in Construction and Demolition Waste Resource Utilization Projects under Green Value Co-Creation. Buildings 2024, 14, 2214. [Google Scholar] [CrossRef]
  50. Su, Y.; Chen, J.; Si, H.; Wu, G.; Zhang, R.; Lei, W. Decision-making interaction among stakeholders regarding construction and demolition waste recycling under different power structures. Waste Manag. 2021, 131, 491–502. [Google Scholar] [CrossRef]
  51. Wu, D.; Chen, J.; Yan, R.; Zhang, R. Pricing strategies in dual-channel reverse supply chains considering fairness concern. Int. J. Environ. Res. Public Health 2019, 16, 1657. [Google Scholar] [CrossRef] [PubMed]
  52. Jian, J.; Li, B.; Zhang, N.; Su, J. Decision-making and coordination of green closed-loop supply chain with fairness concern. J. Clean. Prod. 2021, 298, 126779. [Google Scholar] [CrossRef]
  53. Ngobeni, D.A.; Saurombe, M.D.; Joseph, R.M. The influence of the psychological contract on employee engagement in a South African bank. Front. Psychol. 2022, 13, 958127. [Google Scholar] [CrossRef]
  54. Feng, Z.; Tan, C. Pricing, green degree and coordination decisions in a green supply chain with loss aversion. Mathematics 2019, 7, 239. [Google Scholar] [CrossRef]
  55. Gong, Y.; Chen, M.; Zhuang, Y. Decision-making and performance analysis of closed-loop supply chain under different recycling modes and channel power structures. Sustainability 2019, 11, 6413. [Google Scholar] [CrossRef]
  56. Feng, Y.; Xia, X.; Yin, X.; Wang, L.; Zhang, Z. Pricing and coordination of remanufacturing supply chain with government participation considering consumers’ preferences and quality of recycled products. Complexity 2022, 2022, 8378639. [Google Scholar] [CrossRef]
  57. Ma, P.; Li, K.W.; Wang, Z.J. Pricing decisions in closed-loop supply chains with marketing effort and fairness concerns. Int. J. Prod. Res. 2017, 55, 6710–6731. [Google Scholar] [CrossRef]
  58. Jena, S.K.; Ghadge, A. Product bundling and advertising strategy for a duopoly supply chain: A power-balance perspective. Ann. Oper. Res. 2022, 315, 1729–1753. [Google Scholar] [CrossRef]
  59. Khosroshahi, H.; Dimitrov, S.; Hejazi, S.R. Pricing, greening, and transparency decisions considering the impact of government subsidies and CSR behavior in supply chain decisions. J. Retail. Consum. Serv. 2021, 60, 102485. [Google Scholar] [CrossRef]
  60. Xu, T.; Zhan, J. Green product design and pricing decisions in a risk-averse supply chain under alternative power structures. Math. Probl. Eng. 2021, 2021, 1946215. [Google Scholar] [CrossRef]
  61. Yang, X.; Jing, F.; Ma, N.; Nie, F. Supply chain pricing and effort decisions with the participants’ belief under the uncertain demand. Soft Comput. 2020, 24, 6483–6497. [Google Scholar] [CrossRef]
  62. Fan, Z.; Tao, Y.; Zhang, W.; Fan, K.; Cheng, J. Research on open and shared data from government-enterprise cooperation based on a stochastic differential game. AIMS Math. 2023, 8, 4726–4752. [Google Scholar] [CrossRef]
  63. Zhang, M.; Yang, J.; Yu, P.; Tinajero, G.D.A.; Guan, Y.; Yan, Q.; Zhang, X.; Guo, H. Dual-Stackelberg game-based trading in community integrated energy system considering uncertain demand response and carbon trading. Sustain. Cities Soc. 2024, 101, 105088. [Google Scholar] [CrossRef]
  64. Li, X.; He, J. Mechanism of the green supply chain profit of building materials considering the duopoly competition model and consumer green preference. Int. J. Syst. Sci. Oper. Logist. 2024, 11, 2311283. [Google Scholar] [CrossRef]
Disclaimer/Publisher’s Note: The statements, opinions and data contained in all publications are solely those of the individual author(s) and contributor(s) and not of MDPI and/or the editor(s). MDPI and/or the editor(s) disclaim responsibility for any injury to people or property resulting from any ideas, methods, instructions or products referred to in the content.

Article Metrics

Citations

Article Access Statistics

Multiple requests from the same IP address are counted as one view.