Measurements and Evaluation of Road Traffic-Induced Micro-Vibration in a Workshop Equipped with Precision Instruments
Abstract
1. Introduction
2. Field Test Site and Experiment Scheme
2.1. Field Test Site
2.2. Measurement Scheme
3. Vibration on the Transmission Route
3.1. Time History Analysis of Ground Vibration
3.2. Fourier Spectrum Analysis of Ground Vibration
3.3. 1/3 Octave Spectrum of Ground Vibration
3.4. Vibration Level of Ground Vibration
4. Vibration in the Workshop
4.1. Time History Analysis of Workshop Vibration
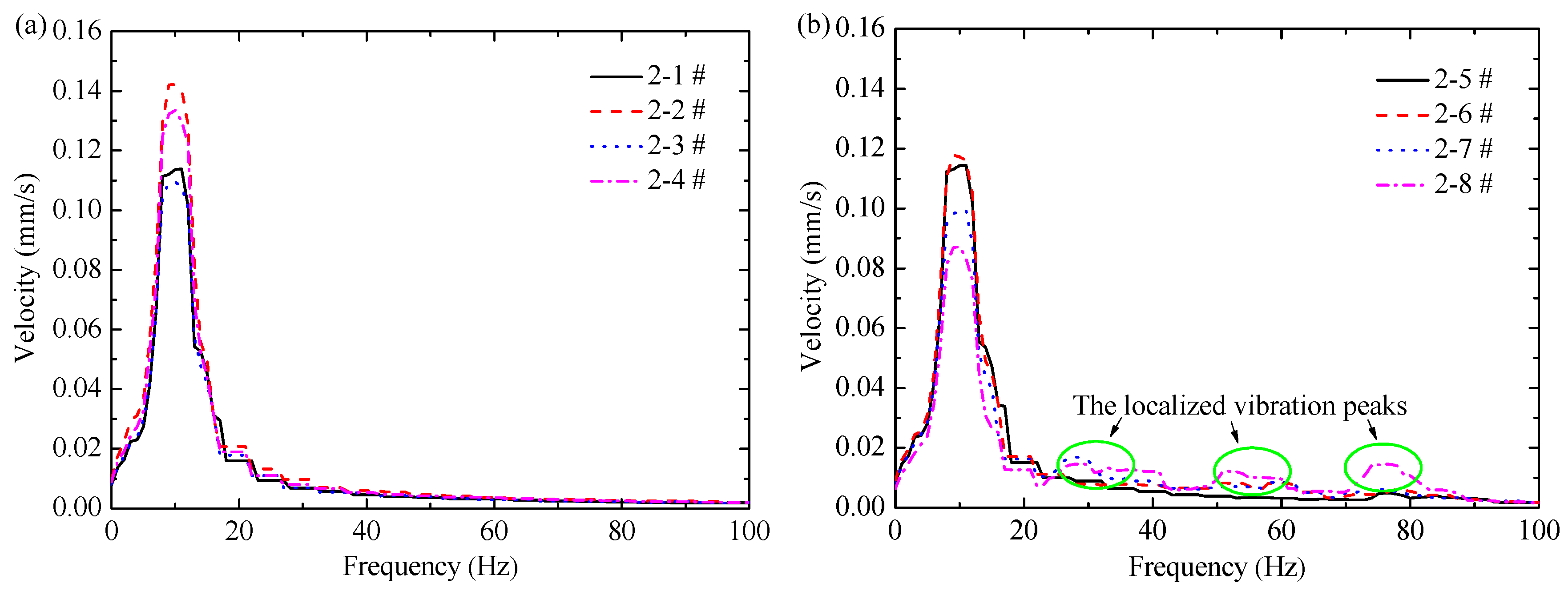
4.2. Fourier Spectrum Analysis of Workshop Vibration
4.3. 1/3 Octave Spectrum of Workshop Vibration
4.4. Vibration Level of Workshop Vibration
5. Conclusions
Author Contributions
Funding
Data Availability Statement
Acknowledgments
Conflicts of Interest
References
- Khajehdezfuly, A.; Shiraz, A.A.; Sadeghi, J. Assessment of vibrations caused by simultaneous passage of road and railway vehicles. Appl. Acoust. 2023, 211, 109510. [Google Scholar] [CrossRef]
- Li, Z.; Cao, Y.; Ma, M.; Xiang, Q. Prediction of ground-borne vibration from random traffic flow and road roughness: Theoretical model and experimental validation. Eng. Struct. 2023, 285, 116060. [Google Scholar] [CrossRef]
- Czech, K.R. The impact of the type and technical condition of road surface on the level of traffic-generated vibrations propagated to the environment. Procedia Eng. 2016, 143, 1358–1367. [Google Scholar] [CrossRef][Green Version]
- Hao, H.; Ang, T.C.; Shen, J. Building vibration to traffic-induced ground motion. Build. Environ. 2001, 36, 321–336. [Google Scholar] [CrossRef]
- Guo, M.; Ni, M.Y.; Shyu, R.; Ji, J.S.; Huang, J. Automated simulation for household road traffic noise exposure: Application and field evaluation in a high-density city. Comput. Environ. Urban Syst. 2023, 104, 102000. [Google Scholar] [CrossRef]
- Zhang, Z.; Li, X.; Zhang, X.; Fan, J.; Xu, G. Semi-analytical simulation for ground-borne vibration caused by rail traffic on viaducts: Vibration-isolating effects of multi-layered elastic supports. J. Sound Vib. 2022, 516, 116540. [Google Scholar] [CrossRef]
- He, C.; Zhou, S.; Guo, P. An efficient three-dimensional method for the prediction of building vibrations from underground railway networks. Soil Dyn. Earthq. Eng. 2020, 139, 106269. [Google Scholar] [CrossRef]
- Ertugrul, O.L.; Ozkan, M.Y.; Ulgen, D. Attenuation of Traffic Induced Ground Borne Vibrations Due to Heavy Vehicles. In Proceedings of the Fifth International Conference on Recent Advances in Geotechnical Earthquake Engineering and Soil Dynamics and Symposium in Honor of Professor I. M. Idriss, San Diego, CA, USA, 24–29 May 2010. [Google Scholar]
- Hajek, J.J.; Blaney, C.T.; Hein, D.K. Mitigation of Highway Traffic-Induced Vibration. In Proceedings of the 2006 Annual Conference of the Transportation Association of Canada, Charlottetown, PEI, Canada, 17–20 September 2006. [Google Scholar]
- Hu, Z.; Tian, L.; Zou, C.; Wu, J. Train-induced vibration attenuation measurements and prediction from ground soil to building column. Environ. Sci. Pollut. Res. 2023, 30, 39076–39092. [Google Scholar] [CrossRef] [PubMed]
- Qiu, Y.; Zou, C.; Hu, J.; Chen, J. Prediction and mitigation of building vibrations caused by train operations on concrete floors. Appl. Acoust. 2024, 219, 109941. [Google Scholar] [CrossRef]
- Li, X.; Chen, Y.; Zou, C.; Wang, H.; Zheng, B.; Chen, J. Building structure-borne noise measurements and estimation due to train operations in tunnel. Sci. Total Environ. 2024, 926, 172080. [Google Scholar] [CrossRef]
- Watts, G.R. Traffic-Induced Ground-Borne Vibrations in Dwellings; Transport and Road Research Laboratory: Crowthorne, UK, 1987. [Google Scholar]
- Watts, G.R. The generation and propagation of vibration in various soils produced by the dynamic loading of road pavements. J. Sound Vib. 1992, 156, 191–206. [Google Scholar] [CrossRef]
- Hunt, H. Modelling of road vehicles for calculation of traffic-induced ground vibration as a random process. J. Sound Vib. 1991, 144, 41–51. [Google Scholar] [CrossRef]
- Hunt, H. Stochastic modelling of traffic-induced ground vibration. J. Sound Vib. 1991, 144, 53–70. [Google Scholar] [CrossRef]
- Lombaert, G.; DeGrande, G. The experimental validation of a numerical model for the prediction of the vibrations in the free field produced by road traffic. J. Sound Vib. 2003, 262, 309–331. [Google Scholar] [CrossRef]
- Hao, H.; Ang, T.C. Analytical Modeling of Traffic-Induced Ground Vibrations. J. Eng. Mech. 1998, 124, 921–928. [Google Scholar] [CrossRef]
- Agostinacchio, M.; Ciampa, D.; Olita, S. The vibrations induced by surface irregularities in road pavements—A Matlab® approach. Eur. Transp. Res. Rev. 2014, 6, 267–275. [Google Scholar] [CrossRef]
- Lak, M.A.; Degrande, G.; Lombaert, G. The effect of road unevenness on the dynamic vehicle response and ground-borne vibrations due to road traffic. Soil Dyn. Earthq. Eng. 2011, 31, 1357–1377. [Google Scholar] [CrossRef]
- Watts, G.R.; Krylov, V.V. Ground-borne vibration generated by vehicles crossing road humps and speed control cushions. Appl. Acoust. 2000, 59, 221–236. [Google Scholar] [CrossRef]
- Ducarne, L.; Ainalis, D.; Kouroussis, G. Assessing the ground vibrations produced by a heavy vehicle traversing a traffic obstacle. Sci. Total Environ. 2018, 612, 1568–1576. [Google Scholar] [CrossRef]
- Mhanna, M.; Sadek, M.; Shahrour, I. Numerical modeling of traffic-induced ground vibration. Comput. Geotech. 2012, 39, 116–123. [Google Scholar] [CrossRef]
- Taniguchi, E.; Sawada, K. Attenuation with distance of traffic-induced vibrations. J. Jpn. Soc. Soil Mech. Found. Eng. 1979, 19, 15–28. [Google Scholar] [CrossRef] [PubMed]
- Al-Hunaidi, M.O.; Rainer, J.H. Remedial measures for traffic-induced vibrations at a residential site. Part 1: Field tests. Can. Acoust. 1991, 19, 3–13. [Google Scholar]
- Al-Hunaidi, M.O.; Rainer, J.H.; Tremblay, M. Control of traffic-induced vibration in buildings using vehicle suspension systems. Soil Dyn. Earthq. Eng. 1996, 15, 245–254. [Google Scholar] [CrossRef]
- Qu, S.; Yang, J.; Zhu, S.; Zhai, W.; Kouroussis, G.; Zhang, Q. Experimental study on ground vibration induced by double-line subway trains and road traffic. Transp. Geotech. 2021, 29, 100564. [Google Scholar] [CrossRef]
- Crispino, M.; D’Apuzzo, M. Measurement and prediction of traffic-induced vibrations in a heritage building. J. Sound Vib. 2001, 246, 319–335. [Google Scholar] [CrossRef]
- Astrauskas, T.; Janueviius, T.; Grubliauskas, R. Vehicle speed influence on ground-borne vibrations caused by road transport when passing vertical traffic calming measures. Promet-Traffic Transp. 2020, 32, 247–253. [Google Scholar] [CrossRef]
- Ding, D.Y.; Liu, W.N.; Gupta, S.; Lombaert, G.; Degrande, G. Prediction of vibrations from underground trains on Beijing metro line 15. J. Cent. South Univ. Technol. 2010, 17, 1109–1118. [Google Scholar] [CrossRef]
- Ding, D.Y.; Gupta, S.; Liu, W.N.; Lombaert, G.; Degrande, G. Prediction of vibrations induced by trains on line 8 of Beijing metro. J. Zhejiang Univ. Sci. A 2010, 11, 280–293. [Google Scholar] [CrossRef]
- Qu, S.; Yang, J.; Zhu, S.; Zhai, W.; Kouroussis, G. A hybrid methodology for predicting train-induced vibration on sensitive equipment in far-field buildings. Transp. Geotech. 2021, 31, 100682. [Google Scholar] [CrossRef]
- He, C.; Zhou, S.; Di, H.; Guo, P.; Xiao, J. Analytical method for calculation of ground vibration from a tunnel embedded in a multi-layered half-space. Comput. Geotech. 2018, 99, 149–164. [Google Scholar] [CrossRef]
- Wang, Y.; Zhang, H.; Ji, Y.; Xiong, M.; Shen, Z. Micro-vibration prediction and evaluation analysis of the structural foundation of a precision instrument plant across the reservoir. In Proceedings of the 8th International Conference on Hydraulic and Civil Engineering: Deep Space Intelligent Development and Utilization Forum (ICHCE), Xi’an, China, 25–27 November 2022; pp. 1287–1291. [Google Scholar]
- Chen, X.; Jiang, J.; Hu, Y.; Sheng, T.; Tang, K. Experimental study on the influence of precision instruments caused by heavy vehicles vibration. J. Phys. Conf. Ser. 2021, 2044, 12113. [Google Scholar] [CrossRef]
- Zhang, Y.; Wang, X.; Lu, C.; Liu, K.; Song, B. Influence of road traffic vibration on micro-dynamic response of precision instrument vibration isolation platforms. Eng. Proc. 2023, 36, 48. [Google Scholar] [CrossRef]
- Ulgen, D.; Ertugrul, O.L.; Ozkan, M.Y. Measurement of ground borne vibrations for foundation design and vibration isolation of a high-precision instrument. Measurement 2016, 93, 385–396. [Google Scholar] [CrossRef]
- HJ918-2017; Technical Specifications for Environmental Vibration Monitoring. Ministry of Environmental Protection of the People’s Republic of China: Beijing, China, 2017.
- Hanson, C.E.; Towers, D.A.; Meister, L.D. Transit Noise and Vibration Impact Assessment (FTA-VA-90-1003-06); Department of Transportation Federal Transit Administration (FTA): Washington, DC, USA, 2006. [Google Scholar]
- Li, H.; He, C.; Gong, Q.; Zhou, S.; Li, X.; Zou, C. TLM-CFSPML for 3D dynamic responses of a layered transversely isotropic half-space. Comput. Geotech. 2024, 168, 106131. [Google Scholar] [CrossRef]
- Gordon, C. Generic criteria for vibration-sensitive equipment. In Proceedings of the SPIE—The International Society for Optical Engineering, San Jose, CA, USA, 4–6 November 1991; Volume 1619, pp. 71–85. [Google Scholar]
- Amick, H.; Gendreau, M.; Busch, T.; Gordon, C. Evolving criteria for research facilities: I-Vibration. In Proceedings of the SPIE Conference 5933: Buildings for Nanoscale Research and Beyond, San Diego, CA, USA, 31 July–4 August 2005. [Google Scholar]
















| Vibration Level | Frequency Range (Hz) | Vibration Limit |
|---|---|---|
| VC-A | 4~8 | The acceleration does not exceed 260 . |
| 8-80 | The velocity does not exceed 50 . | |
| VC-B | 4~8 | The acceleration does not exceed 130 . |
| 8~80 | The velocity does not exceed 25 . | |
| VC-C | 1~80 | The velocity does not exceed 12.5 . |
| VC-D | 1~80 | The velocity does not exceed 6.25 . |
| VC-E | 1~80 | The velocity does not exceed 3.12 . |
| VC-F | 1~80 | The velocity does not exceed 1.56 . |
| VC-G | 1~80 | The velocity does not exceed 0.78 . |
Disclaimer/Publisher’s Note: The statements, opinions and data contained in all publications are solely those of the individual author(s) and contributor(s) and not of MDPI and/or the editor(s). MDPI and/or the editor(s) disclaim responsibility for any injury to people or property resulting from any ideas, methods, instructions or products referred to in the content. |
© 2024 by the authors. Licensee MDPI, Basel, Switzerland. This article is an open access article distributed under the terms and conditions of the Creative Commons Attribution (CC BY) license (https://creativecommons.org/licenses/by/4.0/).
Share and Cite
Zhang, Z.; Li, X.; Zhang, X.; Xu, G.; Wu, A. Measurements and Evaluation of Road Traffic-Induced Micro-Vibration in a Workshop Equipped with Precision Instruments. Buildings 2024, 14, 1142. https://doi.org/10.3390/buildings14041142
Zhang Z, Li X, Zhang X, Xu G, Wu A. Measurements and Evaluation of Road Traffic-Induced Micro-Vibration in a Workshop Equipped with Precision Instruments. Buildings. 2024; 14(4):1142. https://doi.org/10.3390/buildings14041142
Chicago/Turabian StyleZhang, Zhijun, Xiaozhen Li, Xun Zhang, Guihong Xu, and Anjie Wu. 2024. "Measurements and Evaluation of Road Traffic-Induced Micro-Vibration in a Workshop Equipped with Precision Instruments" Buildings 14, no. 4: 1142. https://doi.org/10.3390/buildings14041142
APA StyleZhang, Z., Li, X., Zhang, X., Xu, G., & Wu, A. (2024). Measurements and Evaluation of Road Traffic-Induced Micro-Vibration in a Workshop Equipped with Precision Instruments. Buildings, 14(4), 1142. https://doi.org/10.3390/buildings14041142

