Abstract
In the present study, multiscale finite element (FE) models of half-through steel basket-handle arch bridges were established. The eigenvalue analyses were conducted to explore the dynamic characteristics of the arch bridges based on the FE models. In addition, a parametric analysis was carried out to investigate the impact of the inclination angle of the arch rib (0°, 4°, and 7°) on the longitudinal and transverse seismic performances of arch bridges. The results show that with the increase in inclination angle, the out-of-plane stiffness of half-through steel basket-handle arch bridges increases, resulting in the natural period of the structure becoming shorter from 3.09 s to 2.93 s. Adjusting the inclination angle appropriately has a beneficial impact on the overall seismic performance of the structures, affecting both displacement and internal forces, in which the most significant improvements include a 42.8% decrease in displacement and a 62.6% reduction in internal forces. Adjusting the inclination angle can cause the arch springing and transverse brace to undergo larger plastic deformation. It is advisable to judiciously enlarge the sectional dimensions and enhance the material strength of both the arch springing and the transverse bracing in seismic designs.
1. Introduction
Steel structures are often used in areas with high seismic requirements due to their higher strength and better ductility [1]. Steel arch bridges are one of the most common bridge types for some bridges with high seismic demand and requiring larger spans. However, previous studies have carried out tests and finite element studies on columns, beams, joints, and other common components in steel structures under various extreme loads (such as earthquake, corrosion, fire, etc.), and little research has been conducted at the structural level [2,3,4,5,6,7,8,9,10]. When extreme loads such as earthquakes act on structures (such as long-span steel arch bridges), even if members such as columns and joints are not completely destroyed, the damage caused by excessive relative displacement between members (such as unseating due to damage of restrainers) might still seriously affect the service function of the bridge [11,12,13]. Therefore, from the perspective of the whole, the analysis at the structural level may be closer to the real situation. In addition, the seismic design specification of bridges implemented in China requires special research on the seismic design of bridges in areas with seismic fortification intensity greater than 9 degrees and long-span or special bridges with special requirements, and there is no specific seismic design regulation for long-span arch bridges under major earthquakes [14]. Therefore, the seismic performance of long-span arch bridges under major earthquake action needs further research and analysis.
In recent years, many scholars have studied the seismic performance of arch bridges. Dusseau et al. conducted a seismic performance evaluation on three deck-type arch bridges with different main spans [15]. Usami et al. proposed a dynamic analysis approach and simplified verification procedure to evaluate the seismic performance of steel arch bridges against major earthquakes [16,17]. Nonaka et al. adopted the fiber FE model to study the dynamic response of a half-through steel arch bridge [18]. Sevim et al. investigated the seismic performance of the Mikron Arch Bridge through nonlinear numerical simulation considering the Drucker–Prager damage criterion [19]. Xia et al. assessed the seismic performance of Nanjing Dashengguan Yangtze River Bridge when subjected to nonuniform seismic excitations [20]. Álvarez et al. carried out seismic assessment for a long-span arch bridge considering the variation in axial forces [21]. Tang et al. conducted seismic response analysis of steel arch bridges considering the elastoplastic effect [22]. Sui et al. evaluated the seismic performance of the arch bridge and proposed the seismic reinforcement method with additional dampers [23]. The analysis at the structure level in civil engineering has been further developed [24,25,26,27,28], and the research results show that the mechanical performance of structures may not be fully reflected in the simple superposition of member ultimate states [29,30,31,32]. In recent years, studies on arch bridges have shown differentiated analysis results [33,34,35,36,37], which shows that the complex structural characteristics of arch bridges may affect the mechanical behavior of structures [38,39,40]. Therefore, it is necessary to further study the structure level, especially for the long-span arch bridge with complex internal force distribution under earthquake action.
To the best of our knowledge, the research on the influence of the inclination angle of arch rib on the seismic performance of arch bridges under major earthquakes is insufficient. Therefore, the finite element software ABAQUS 6.14 is used to establish the finite element model of arch bridges with internal inclination angles of 0°, 4°, and 7° on the engineering background motion of a steel arch bridge under construction. The dynamic time history analysis and the seismic performance analysis of the arch bridge under the action of JRT-NS wave were carried out, and the displacement and internal force response of the arch springing section, arch top section, mid-span section of the main beam, and 1/4 arch span section were extracted. The influence of the inclination angle of arch ribs on the seismic performance of the bridge under a strong earthquake was analyzed.
2. Configuration of the Bridge
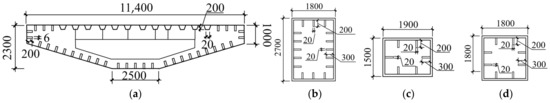
In the present paper, a half-through steel basket-handle bridge that was built in Japan is the study object [41,42]. The specific dimensions of the bridge are as follows: the total length is 362 m, the main span is 350 m, the rise is 63.3 m, the rise–span ratio is 1/5.5, and the inclination angle is 4°, as shown in Figure 1. The arch ribs are fixed on two springings, and their cross-section are the box section. The geometrical dimension of the arch ribs is depicted in Figure 2b. There are 10 transverse braces connecting the arch ribs, in which 6 braces are above a desk, and their cross-section dimension is illustrated in Figure 2c. An orthotropic steel deck with a width of 11,400 mm and a height of 2300 mm (see Figure 2a) was adopted as the deck of the bridge and supports the asphalt concrete pavement with a thickness of 80 mm. The desk is suspended by 13 sets of suspension hangers and supported by 4 sets of steel-box columns with 1800 mm × 1800 mm (see Figure 2d).
Figure 1.
Overview of the half-through steel basket-handle bridge. (a) Elevation; (b) plan; (c) transverse (unit: mm).
Figure 2.
Cross-sectional geometrical dimension of each structural component. (a) Desk; (b) arch rib; (c) braces; (d) column (unit: mm).
3. Finite Element Model of the Bridge
In this section, the multiscale finite element model of the bridge was established by using the finite element software ABAQUS. To reduce the computation time, each original component with stiffeners, including the desk, the arch rib, the transverse brace, and the column, is simplified into components with simple rectangular sections by using the equivalent stiffness principle [43]. The simplified geometric dimensions of each component are tabulated in Table 1.
Table 1.
Size of arch bridge components (unit: mm).
3.1. Element Type and Mesh
Arch springings are prone to local instability. Therefore, the arch springings are modeled by a shell element (S4R) that can simulate the local deformation [22]. The arch springing and the arch rib are connected by a cover plate, and the cover plate is also modeled by a shell element (S4R). In addition, the bridge decks, diaphragms, braces, and arch ribs are simulated by Timoshenko beam elements of type B31 [16]. Since suspension hangers are only in tension, the truss element (T3D2) is selected to simulate the hangers.
To assess the effect of the mesh size on analytical precision, pushover analyses with horizontal displacement added to the vault were conducted. The analysis results of FE models with different mesh sizes are compared in this study, and the influence of the mesh sizes on the analysis results is carefully differentiated for different element types, as shown in Figure 3. For shell elements, the fine, medium, and coarse mesh sizes are, respectively, set as 0.06 m, 0.2 m, and 0.6 m. In the case of beam elements, the corresponding sizes are set within 1~0.2 m, 0.6~0.1 m, and 0.4~0.1 m, respectively. It can be observed from the figure that different mesh sizes yield limited variation in the finite element analysis results. Considering the computational efficiency and better reflecting the local buckling of the component, the mesh size of the finite element model in this study is detailed as follows. Except for springing, the approximate mesh size of the other components is 1 m. The approximate mesh size of the springing is 0.2 m. In addition, a grid encryption area is set up at the springing, and the specific grid layout is as follows. The arch springing section is divided into 12 elements along the web direction, 8 elements along the flange direction, and the stiffener is divided into 2 elements along the height direction. The bridge model divides 2162 beam elements and 11,904 shell elements, as shown in Figure 4.
Figure 3.
Mesh quality analysis of finite element model. (a) Shell element; (b) beam element.
Figure 4.
FE model of the arch bridge.
3.2. Material Properties
The Q345 steel is selected as the material of the bridge, and its specific material properties are as follows: Young’s modulus E is 210 GPa, yield strength is 345 MPa, Poisson ratio is 0.3, and density is 7800 kg/m3. The stress–strain relationship is described by a bilinear model and the plastic secant modulus is one percent of Young’s modulus [16]. In addition, the kinematic hardening that can simulate the Bauschinger effect is selected as the hardening model in the constitutive model [4].
3.3. Interaction and Boundary Condition
The arch springing is united with the arch rib by the cover plate. The restraint between the arch springing and the cover plate is “Tie” (binding constraint), and the cover plate is connected to the arch rib with a rigid connection. The distance of diaphragms in the desk is 15 m, and they are connected to the desk with a rigid connection. Both ends of the suspension hanger are hinged to connect with the arch rib and the desk, respectively. According to the actual engineering situation, when the soil layer underlying a structural foundation is relatively hard, its impact on the structure tends to be minimal. In such scenarios, adopting a rigid foundation model is a feasible approach. The arch bridge chosen in this paper is located in Ground Type II and is simplified in the simulation. The rotational degree of freedom on both the desk and arch springing is free. In terms of the translational degree of freedom, the arch springing is fully fixed in these three freedoms. However, except that the translational freedom on the desk along the longitudinal direction of the bridge is free, the other two directions are also fixed. In the seismic dynamic analysis, the seismic waves were loaded on the arch springing.
4. Dynamic Characteristics of the Bridge
In this section, the eigenvalue analyses were conducted to obtain the fundamental dynamic characteristics of the bridge. In addition, arch bridge models with different inclination angles were established to investigate the effect of the inclination angle on the dynamic characteristics of the bridges.
4.1. Eigenvalue Analysis
The Lanczos method, which is widely used, is employed to conduct the eigenvalue analysis. The eigenvalue analysis results are listed in Table 2. In this paper, the first 60 mode shapes are calculated, and the results show that the effective mass ratio of the arch bridge along the longitudinal direction, vertical direction, and transverse direction are 90.54%, 91.3%, and 94.07%, respectively, in which effective mass ratios of all directions are more than 90%. The first 15 mode shapes contain the predominant eigenmodes in each direction. Due to limited space, only the first 15 mode shapes and frequencies are listed. For the original bridge (inclination angle = 4°), the first natural vibration is the fundamental mode in the longitudinal direction of the bridge and presents an antisymmetric shape, which has a natural period of 2.95 s. The second-order mode shape with a natural period of 2.70 s is symmetric along the transverse direction of the bridge, which is the fundamental out-of-plane model with an effective mass ratio of 70.57. The thirteen-order mode shape is the fundamental mode in the vertical direction with an effective mass ratio of 40.98%. The fourth-order, seventh-order, fourteenth-order, and fifteenth-order mode shapes exhibit a local mechanism. Two predominant eigenmodes in the longitudinal direction (mode shapes 1 and 5), two in the vertical direction (mode shapes 8 and 13), and two in the transverse direction (mode shapes 8 and 10) are exerted in Figure 5a.
Table 2.
Eigenvalue results of arch bridge.
Figure 5.
Predominant mode shapes of bridges. (a) Inclination angle = 0°; (b) inclination angle = 4° or (inclination angle = 7°).
4.2. Effect of the Inclination Angle on Dynamic Characteristics
The effect of the inclination angle on the dynamic characteristics of the bridge was estimated. It can be found that with the increase in the inclination angle, the natural period of the first-order mode shape decreases. The mode shape of the bridge with the inclination angle of 7° is similar to the case of the inclination angle of 4°. The first- and second-order mode shapes are antisymmetric in the longitudinal direction and symmetric along the transverse direction, respectively. In terms of the bridge with the inclination angle of 0°, the first- and second-order mode shapes are opposite to those of the inclination angles of 4° and 7°. The first-order mode shape is the fundamental mode in the longitudinal direction and the second-order mode shape is the fundamental mode in the transverse direction, as depicted in Figure 5. This is because the lateral stiffness of the arch rib increases with the increase in the inclination angle, which enhances the lateral stability. During the vibration, there is an uneven vertical displacement difference between the two arch ribs, which leads to torsion. Compared with the parallel arch, the length of the transverse brace of the arch bridge decreases from the arch springing to the vault, which has a strong restraint effect on the two arch ribs. The inclination angle has a different impact on out-of-plane and in-plane vibrations. The influence on the former is greater than the latter. In addition, the greater the inclination angle is, the more significant the effect of the inclination angle on out-of-plane is. It also shows that the inclination angle of the arch rib greatly improves the out-of-plane stiffness of the long-span steel basket-handle arch bridge, thereby increasing its out-of-plane stability. For other predominant eigenmodes, the inclination has little effect on them, and the mode shapes in the three cases are very similar; only the order and period of the modes are slightly different.
5. Effect of Inclination Angle on Seismic Performance of the Bridge
In this section, a parametric analysis is performed to assess the influence of the inclination angle on seismic performance. The Newmark-β direct integration method with α = 0.5 and β = 0.25, in which Rayleigh damping is used, and the damping ratios of the first mode and the second mode are 0.02. The time interval ΔT is 0.002 s. Three seismic waves, JRT-NS wave, JRT-EW wave, and OGF-N27W wave, were selected and applied along the transverse direction and longitudinal direction, respectively, on the arch bridge FE models with the inclination angle of 0°, 4°, and 7°. Three seismic recordings from the 1995 Hyogoken-Nanbu earthquake were captured at different locations with specific components: (1) west of JR Takatori station with NS components, (2) west of JR Takatori station with EW components, and (3) Hukiai supply center of Osaka Gas with N27W components. These recordings are recommended Level 2 earthquake ground motion in JRA Code [44] for Ground Type II, and their peak accelerations are 0.7 g, 0.69 g, and 0.75 g, respectively. Their time history curves are plotted in Figure 6. In addition, for convenience, four cross-sections of crucial positions are selected to present the seismic performance of the arch bridge, namely, arch vault (position 1), mid-span of the deck slab (position 2), quarter-span of arch rib (position 3), and arch springing (position 4), as shown in Figure 7.
Figure 6.
Earthquake records. (a) JRT-NS wave; (b) JRT-EW wave; (c) OGF-N27W wave.
Figure 7.
Crucial positions of the arch bridges.
5.1. Displacement Responses
This section discusses the impact of the inclination angle on the displacement of arch bridges under both transverse and longitudinal seismic ground motions, respectively. Due to the significant influence of transverse seismic ground motion on the transverse displacement of arch bridges, this paper focuses solely on the transverse displacement at various crucial positions of the arch bridge under transverse seismic action. Similarly, as the lateral displacement of arch bridges is not significant under longitudinal seismic action, the study concentrates only on the vertical and longitudinal displacements at crucial positions of the arch bridge.
5.1.1. Displacement Responses under Transverse Direction Seismic Ground Motion
Under the transverse seismic ground motion, the displacement curves of crucial positions in the arch bridge are illustrated in Figure 8. It can be observed that at the quarter-span of the arch ribs, with the increase in the inclination angle; the transverse displacement initially decreases and then increases. At the inclination angles of 4° and 7°, in comparison to the absence of an inclination angle, the transverse displacement decreases by 4.9% and increases by 2.3%, respectively. The trend of the influence of the inclination angle on the transverse displacement at the mid-span of the deck slab is similar to that at the quarter-span of the arch ribs. As the inclination angle increases from 0° to 4°, and then to 7°, the transverse displacement at the arch springing first decreases by 1.4% and then increases by 11.0%. Additionally, the inclination angle positively affects the reduction in displacement at the arch vault. With inclination angles of 4° and 7°, compared to the case with no inclination angle, the displacement at the arch vault decreases by 7.6% and 7.4%, respectively. Although the transverse displacement increases from 4° to 7°, the increase is only by 0.2%.
Figure 8.
Displacement response under transverse seismic waves. (a) Quarter-span of arch rib; (b) mid-span of desk slab; (c) arch vault.
Overall, the transverse seismic excitation has the greatest impact on the transverse displacement at the arch vault, with the least impact at the quarter-span of the arch ribs. When the inclination angle is set at 4°, the transverse displacements at all three crucial positions decrease. However, at an inclination angle of 7°, there is an increase in the transverse displacement at both the mid-span of the bridge deck and the quarter-span of the arch ribs, but the effects are limited and less than 10%. Therefore, appropriately setting the inclination angle can effectively enhance the lateral stiffness of the arch bridge.
5.1.2. Displacement Responses under Longitudinal Direction Seismic Ground Motion
Under the seismic excitation along the longitudinal direction of bridges, the time history curves of displacements at key sections of the arch bridge are presented in Figure 9. Due to the consideration of constant loads, the initial values of the vertical displacements in the figures are negative. As shown in the figures, the impact of the inclination angle on the vertical displacements at the three key sections follows a consistent trend, where the vertical displacement first decreases and then increases with the increase in the inclination angle. However, at the quarter-span of the arch ribs, even with an inclination angle of 7°, the displacement is still reduced by 7.7% compared to the case with no inclination angle. For the vertical displacements at the mid-span of the bridge deck and the arch vault, although there is an increase compared to the case with no inclination angle, the increases are only 1.1% and 1.3%, respectively, which are negligible. When the inclination angle is 4°, although the vertical displacements at all three key sections are reduced, the effects are not significant at the mid-span of the bridge deck and the arch vault, with only a 3.3% and 1.1% reduction, respectively. The reduction is much more pronounced at the quarter-span of the arch ribs, decreasing by 27.8%.
Figure 9.
Displacement response under longitudinal seismic waves. (a) Vertical displacement at quarter-span of arch rib; (b) longitudinal displacement at quarter-span of arch rib; (c) vertical displacement at mid-span of desk slab; (d) longitudinal displacement at mid-span of desk slab; (e) vertical displacement of the arch vault; (f) longitudinal displacement of the arch vault.
Regarding the longitudinal displacement, the inclination angle is beneficial for all key sections, reducing the displacement. At the quarter-span of the arch ribs and the arch vault, the effect of the inclination angle on longitudinal displacement is consistent, reaching a minimum value at an inclination angle of 4°, reducing by 42.8% and 11.9%, respectively, compared to an inclination angle of 0°. At an inclination angle of 7°, the reduction in displacement is more limited, only decreasing by 11.4% and 3.5%, respectively. The longitudinal displacement at the mid-span of the bridge deck, in contrast to the other two sections, is most significantly reduced at an inclination angle of 7°, decreasing by 10% compared to the case with no inclination angle. However, at an inclination angle of 4°, there is almost no change in displacement amplitude. Overall, setting an inclination angle has a beneficial effect in reducing both vertical and longitudinal displacements. Furthermore, compared to an inclination angle of 7°, an inclination angle of 4° has a more pronounced beneficial impact on the reduction in both vertical and longitudinal displacements.
In summary, the transverse ground motion has a limited effect on transverse displacement. The variation amplitude of displacement is less than 10%. The effect of longitudinal ground motion on vertical and longitudinal displacement is relatively obvious at the quarter-span of the arch ribs, where the change of longitudinal displacement is larger than vertical displacement, while the inclination angle slightly affects displacement in these two directions. Compared to no inclination angle, an inclination angle of 4° generally results in a reduction or almost no change in displacement across various sections, which is a positive effect. However, when the leaning is 7°, displacement increases in some areas while it decreases in others.
5.2. Internal Force Responses
5.2.1. Internal Force Responses under Transverse Direction Seismic Ground Motion
With the increase in the inclination angle of the arch ribs, the axial forces at the arch springing, the quarter-span of the arch ribs, and the arch vault all increase under the transverse seismic ground motion, as shown in Figure 10. As the inclination angle increases from 0° to 4°, the axial forces increase by 16.6%, 5.8%, and 28.2%, respectively, corresponding to the arch springing, the quarter-span of the arch ribs, and the arch vault. Further, when the inclination angle increases to 7°, the axial forces for three crucial sections increase by 51.3%, 38.1%, and 50.2%, respectively. Overall, the axial forces at the arch vault, the quarter-span of the arch ribs, and the arch springing increase sequentially. The impact of the inclination angle is least at the quarter-span of the arch ribs, especially when the inclination angle is 4°, where the change in axial force is not significant.
Figure 10.
Axial force time history curves under transverse seismic waves. (a) Springing; (b) quarter-span of arch rib; (c) arch vault.
Figure 11 shows the shear forces at various key sections of the arch bridge under seismic excitation along the transverse direction of bridges. The figure distinctly demonstrates that, when compared to a situation where there is no inclination angle of ribs, the shear force at the section of the arch springing intensifies with an increase in the inclination angle. Notably, the shear force experiences a 12.9% and 43.6% rise, corresponding to the inclination angles of 4° and 7°, respectively. For the section at the quarter-span of the arch ribs, the shear force decreases with the presence of an inclination angle. The decrease is more pronounced at an inclination angle of 4°, reducing by 39.4%. When the inclination angle increases to 7°, the shear force decreases by 31.7%. Regarding the shear force at the arch vault, the inclination angle has a negligible impact. When the inclination angle is equal to 4°, it decreases by only 3.5% compared to 0°. In the case of the inclination angle of 7°, there is almost no change, increasing by only 0.3%. In summary, under transverse seismic ground motion, the inclination angle has a minimal impact on the shear force at the arch vault, which can be neglected. Conversely, the impact on the shear force at the quarter-span of the arch ribs is significant, but this effect is beneficial, especially when the inclination angle is 4°. As for the shear force at the arch springing, although it increases with the inclination angle, the adverse effect is limited at 4° but becomes significantly pronounced at 7°.
Figure 11.
Shear force time history curves under transverse seismic waves. (a) Springing; (b) quarter-span of arch rib; (c) arch vault.
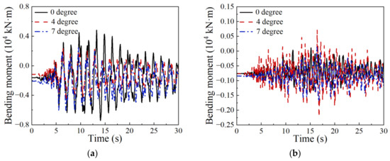
The time history curves of the bending moments at the quarter-span and the arch vault are shown in Figure 12. The bending moments at both two sections change similarly with the change of the inclination angle, initially decreasing and then increasing. The bending moments of the quarter-span of the arch ribs and the arch vault are reduced by 42% and 48%, respectively, when the leaning increases from 0° to 4°. For the inclination angle of 7°, compared with no inclination angle, the bending moment decreases by 21.3% and 25.3%, corresponding to the quarter-span of the arch ribs and the arch vault. Overall, the inclination angle has a beneficial effect in reducing the bending moment, and this effect is most significant with an inclination angle of 4°.
Figure 12.
Moment time history curves under transverse seismic waves. (a) Quarter-span of arch rib; (b) arch vault.
5.2.2. Internal Force Responses under Longitudinal Direction Seismic Ground Motion
The effect of longitudinal seismic excitation on internal force responses at the structural key sections is shown in Figure 13. The data from the figure suggest that the axial force at the arch springing diminishes with an increase in the inclination angle. Nonetheless, this effect is relatively minor. In comparison to a 0° inclination angle, the axial forces at 4° and 7° inclination angles show decreases of 6.5% and 7.5%, respectively. The maximum axial force at the quarter-span of the arch ribs occurs at an inclination angle of 0°, followed by 7°, with the minimum at 4°. Compared to an inclination angle of 0°, the axial force with an inclination angle of 7° is 4.1% less than at 0°, whereas it decreases by 18.1% with that of 4°. At the arch vault, the axial force decreases with increasing inclination angle. Compared to no inclination angle, it decreases by 1.7% and by 3.6%, corresponding to inclination angles of 4° and 7°, respectively. The comparison shows that setting an inclination angle for the arch ribs is beneficial for reducing the axial forces at all key sections, although the reduction at the arch springing and arch vault is not significant. However, at the quarter-span of the arch ribs, the axial force significantly decreases at an inclination angle of 4°, while the decrease is limited at an inclination angle of 7°. Therefore, setting an appropriate inclination angle can effectively reduce axial forces.
Figure 13.
Axial force time history curves under longitudinal seismic waves. (a) Springing; (b) quarter-span of arch rib; (c) arch vault.
As depicted in Figure 14, at the arch springing, the shear force decreases with increasing inclination angle, decreasing by 7.8% and 9.5% at 4° and 7°, respectively. At the quarter-span of the arch ribs, the optimal reduction in shear force is observed at a 4° inclination angle. At this angle, there is a significant decrease of 62.6% in shear force compared to the 0° angle. Moreover, at an inclination angle of 7°, the reduction in shear force is 37.0%, also measured against the 0° baseline. The maximum shear force still occurs at an inclination angle of 0° for the arch vault, decreasing with increasing inclination angle. From an inclination angle of 0° to 4°, the shear force decreases by 24.4%, and the change is not significant from 4° to 7°, only decreasing by 1.1%. Under earthquakes along a longitudinal direction, the shear force at the arch springing is the largest, with the shear forces at the quarter-span of the arch ribs and the arch vault being similar. Increasing the inclination angle of the arch ribs reduces the shear forces at all key sections, but at the quarter-span, the minimum shear force occurs at an inclination angle of 4°. Although the shear force continuously decreases with increasing inclination angle at the other two sections, the reduction from 4° to 7° is not significant, in contrast to the notable decrease from 0° to 4°.
Figure 14.
Shearing force time history curves under longitudinal seismic waves. (a) Springing; (b) quarter-span of arch rib; (c) arch vault.
The time history curves of the bending moments at the quarter-span and arch vault are shown in Figure 15. From the figure, it is evident that at the quarter-span of the arch ribs, the section moment is minimized at an inclination angle of 4°, decreasing by 24.7% compared to that of 0°. At an inclination angle of 7°, it is almost equivalent to the result at 0°. However, at the arch vault, the section moment increases with the inclination angle, showing a near-linear increase. From the inclination angle of 0° to 4° and 7°, the bending moment at the crown increases by 7.5% and 14.33%, respectively. This indicates that setting an appropriate inclination angle can significantly reduce the bending moment at the quarter-span of the arch ribs, with a minimal increase in the bending moment at the arch vault.
Figure 15.
Moment time history curves under longitudinal seismic waves. (a) Quarter-span of arch rib; (b) arch vault.
In summary, under transverse bridge earthquakes, the axial force of key sections increases significantly with the increase in the inclination angle, especially at the vault. For the shear force and bending moment, the addition of the inclination angle is advantageous, which can reduce the amplitude of the internal force, except for the shear force at the arch springing. On the contrary, due to the inclination angle, the internal force is reduced at all key locations, except for the bending moment at the vault. As a whole, when the inclination angle of 4°, it is most beneficial to reduce the internal force of the arch rib.
5.3. Envelopes of Internal Force
5.3.1. Envelopes of Internal Force under Transverse Direction Seismic Ground Motion
To further observe the effect of the inclination angle on axial forces and bending moments of the arch ribs, the seismic responses under JRT-NS wave excitation are used as an example, as shown in Figure 16. From the figure, it is evident that the axial force response is maximum at an inclination angle of 7°, followed by 4°, and minimum at 0°, and the axial force is greatest at the arch springing for all the cases. The axial force decreases progressively along the arch springing towards the arch vault. For the cases of the inclination angles of 4° and 7°, however, the axial force increases slightly near the arch vault.
Figure 16.
Axial force envelopes of arch rib under transverse seismic ground motion.
The out-of-plane bending moment envelopes for the arch ribs are shown in Figure 17. It can be seen that the peak out-of-plane bending moments occur at the columns, with moments at other locations being less than those at the columns. When the inclination angle is equal to 7°, the maximum response occurs at the first column that is closest to the arch springings, while that of 0° occurs in the second column. The moments increase slightly near the arch vaults, where the case of 0° increased the most, and 4° increased the least.
Figure 17.
Out-of-plane bending moment envelopes of arch rib under transverse seismic ground motion.
Figure 18 shows the in-plane bending moment envelopes for the arch ribs. As observed, the peak in-plane bending moments occur at the transverse braces. These peak values decrease from the arch springing to the arch vault. The brace located closest to the springing undergoes the maximum in-plane bending moment when the arch rib has an inclination angle of 7°. However, this case changes when the inclination angle is adjusted to 4°. In this case, the highest in-plane bending moment shifts and becomes most pronounced from the springing up to the quarter-span of the arch rib. Near the arch vault, the case of 0° has the highest in-plane bending moment. Overall, the results of the three envelopes are very close and exhibit a symmetrical trend.
Figure 18.
In-plane bending moment envelopes of arch rib under transverse seismic ground motion.
5.3.2. Envelopes of Internal Force under Longitudinal Direction Seismic Ground Motion
Figure 19 illustrates the axial force envelopes for three arch bridges subjected to longitudinal seismic ground motion. The figure displays the variations in axial forces along the arch ribs, with the coordinate origin situated at the arch springing. The figure indicates that the axial forces of the arch rib near the arch springing are relatively high, and the axial forces decrease continuously from the quarter-span of the arch rib to the arch vault. Under the influence of longitudinal earthquake ground motion, the axial force experienced by the arch rib is greatest at an inclination angle of 0°, reaching 0.34 times the yield axial force. The arch bridge with a 4° inclination angle experiences the next highest axial force, while the bridge with a 7° angle is subjected to the smallest axial force, which indicates a decrease in axial force as the inclination angle increases.
Figure 19.
Axial force envelopes of arch rib under longitudinal seismic ground motion.
The in-plane and out-of-plane bending moment envelopes for the arch ribs are shown in Figure 20 and Figure 21. From these figures, it can be observed that the out-of-plane bending moment trends for arch bridges with different inclination angles are similar, all exhibiting a symmetrical state. The out-of-plane bending moment reaches its peak at the locations with columns, then gradually increases, slowly decreases, and reaches the minimum at the arch vault. Similarly, the in-plane bending moment is nearly zero at the arch springing, peaks at the quarter-span of the arch rib, and then continuously decreases towards the arch vault, where the bending moment is minimized.
Figure 20.
Out-of-plane bending moment envelopes of arch rib under longitudinal seismic ground.
Figure 21.
In-plane bending moment envelopes of arch rib under longitudinal seismic ground motion.
In summary, changing the inclination angle does not change the law of the internal force of the arch rib; for example, the axial force is the largest at the springing, but it has a significant impact on the internal force amplitude. From the aspect of envelopes, when the inclination angle is 4°, the internal force distribution of the arch rib is the most reasonable.
5.4. Stress–Strain Hysteresis Curve
Due to the longitudinal displacement of arch ribs being minor, this section only discusses the transverse seismic performance of the arch rib from the aspect of the stress–strain hysteresis curve. Figure 22 presents the stress–strain hysteresis curves for key sections of three arch bridges under seismic action. It can be observed from the figure that the transverse braces in all three models have entered the plastic phase. By selecting the element with the maximum stress at the arch springing section of the arch, stress–strain curves were plotted. The hysteresis curves of the arch springing indicate that only the arch springing of the arch bridge with the inclination angle of 7° enters the yield phase under the JRT-EW wave, while the other two arch bridges do not reach the plastic state. In some local areas, the plastic strain exceeds, by 1.1 times, the yield strain. This also shows that under lateral seismic action, the transverse braces in all cases enter the yield state earlier than the arch springing. Therefore, in design considerations, it could be beneficial to increase the section size of the transverse braces. Additionally, stiffening ribs can be added at the arch springing to prevent local instability of the arch springing.

Figure 22.
Stress–strain hysteretic curves. (a) JRT-NS wave; (b) JRT-EW wave; (c) OGF-N27W wave.
6. Conclusions
To investigate the influence of inclination angle on the natural vibration and seismic performance, three multiscale finite element (FE) models of half-through steel basket-handle arch bridges with the different inclination angles of the arch rib (0°, 4°, and 7°) were established. In addition, based on FE models, eigenvalue analyses and parametric analyses were conducted to estimate the dynamic characteristics of the arch bridges and seismic performance. Finally, the components (springings and transverse brace) that had undergone significant plastic deformation were meticulously examined through a comparative analysis of their hysteretic curves. The conclusions are summarized as follows:
- The out-of-plane stiffness of half-through steel basket-handle arch bridges is influenced by variations in the inclination angle of the arch rib. As the angle increases from 0° to 7°, the natural period of the structures correspondingly decreases from 3.09 s to 2.93 s, significantly enhancing their transverse stiffness. Meanwhile, the in-plane stiffness of the bridges remains largely unaffected.
- The inclination angle has little effect on the transverse displacement of the arch ribs and the bridge deck. Under longitudinal seismic excitation, the influence of inclination angle on vertical displacement and longitudinal displacement is mainly reflected in the quarter-span of the arch ribs, with a maximum reduction of 42.8%. However, compared with an inclination of 7°, an inclination of 4° is more beneficial to reduce the displacement response of the arch bridges.
- Setting the inclination angle typically reduces the axial force, shear force, and bending moment in arch ribs, notably decreasing shear force by up to 62.6% under longitudinal seismic excitation. However, increased inclination can adversely affect internal forces in a few cases, especially under lateral excitation, raising axial forces of the arch ribs and shear forces at the springing. Nevertheless, at an inclination of 4°, these negative impacts are minimal, with internal force changes below 20% at most sections. It is essential to carefully determine the inclination angle of the arch ribs in design.
- The inclination angle of the arch ribs can increase the seismic demand of the springing and the transverse brace. Moreover, regardless of whether an inclination is set or not, the transverse braces undergo pronounced plastic deformation. Consequently, the author will conduct a detailed analysis of the impact of the geometric dimensions and material properties of the arch springing and the transverse brace on the seismic performance of arch bridges in future work, incorporating the steel bridge corrosion.
Author Contributions
Conceptualization, J.S. and Z.W.; methodology, J.S.; software, J.S.; validation, J.S., S.C. and Z.W.; formal analysis, J.S.; investigation, S.C.; resources, J.S.; data curation, J.S.; writing—original draft preparation, J.S.; writing—review and editing, W.S. and Q.Z.; visualization, S.C.; supervision, Z.W.; project administration, Z.W. and J.S.; funding acquisition, J.S. All authors have read and agreed to the published version of the manuscript.
Funding
The study is supported in part by grants from school fund project of Wuhan Institute of Technology (No. K2023024).
Data Availability Statement
The original contributions presented in the study are included in the article, further inquiries can be directed to the corresponding author.
Acknowledgments
The authors wish to express their thanks for the financial assistance.
Conflicts of Interest
The authors declare that they have no known competing financial interests or personal relationships that could have appeared to influence the work reported in this paper.
Nomenclature
| TF | The thickness of the flange |
| TFS | The thickness of the flange stiffener |
| TW | The thickness of the web |
| TWS | The simplified thickness of the web |
| TF,SIM | The simplified thickness of the flange |
| TW,SIM | The simplified thickness of the web |
| U | U-shape stiffener |
| P | Plane stiffener |
| T | The natural period |
| α | Newmark integration method parameter |
| β | Newmark integration method parameter |
References
- Fang, C.; Wang, W.; Qiu, C.; Hu, S.; MacRae, G.A.; Eatherton, M.R. Seismic resilient steel structures: A review of research, practice, challenges and opportunities. J. Constr. Steel Res. 2022, 191, 107172. [Google Scholar] [CrossRef]
- Karagah, H.; Shi, C.; Dawood, M.; Belarbi, A. Experimental investigation of short steel columns with localized corrosion. Thin-Walled Struct. 2015, 87, 191–199. [Google Scholar] [CrossRef]
- Zhong, Y.; Zhao, O.; Gardner, L. Experimental and numerical investigation of S700 high strength steel CHS beam–columns after exposure to fire. Thin-Walled Struct. 2022, 175, 109248. [Google Scholar] [CrossRef]
- Zhang, Q.; Wen, J.; Han, Q.; Wang, Z.; Sun, J. Seismic performance evaluation of steel circular hollow section bridge piers with corroded ends. Bull. Earthq. Eng. 2023, 21, 5625–5653. [Google Scholar] [CrossRef]
- Sun, Y.; Liang, Y.; Zhao, O. Minor-axis flexural buckling behaviour and resistances of pin-ended S690 high strength steel welded I-section columns. Thin-Walled Struct. 2020, 156, 106980. [Google Scholar] [CrossRef]
- Zhang, Q.; Wen, J.; Han, Q.; Zhuge, H.; Zhou, Y. Life-cycle assessment and prediction on ultimate capacity of corroded Q690 steel columns with H-section under bi-directional cyclic loading. Thin-Walled Struct. 2024, 195, 111391. [Google Scholar] [CrossRef]
- Der, B.; Raszková, S.; Wald, F.; Bihina, G.; Gaigl, C.; Rus, V.; Malaska, M. Emissivity of hot-dip galvanized surfaces in future development of EN 1993-1-2. J. Struct. Fire Eng. 2022, 13, 535–557. [Google Scholar] [CrossRef]
- Molkens, T.; Cashell, K.A.; Rossi, B. Post-fire mechanical properties of carbon steel and safety factors for the reinstatement of steel structures. Eng. Struct. 2021, 234, 111975. [Google Scholar] [CrossRef]
- Der, B.; Wald, F. Experimental and Numerical Studies of Bolted Lap Joints at Elevated Temperature. Ce/papers 2022, 5, 204–209. [Google Scholar] [CrossRef]
- Simoncelli, M.; Aloisio, A.; Zucca, M.; Venturi, G.; Alaggio, R. Intensity and location of corrosion on the reliability of a steel bridge. J. Constr. Steel Res. 2023, 206, 107937. [Google Scholar] [CrossRef]
- Sun, J.; Zhang, Q.; Wang, Z.; Li, H.; Ge, H. Experimental and numerical study on steel ring restrainers with rectangular section. J. Constr. Steel Res. 2021, 177, 106458. [Google Scholar] [CrossRef]
- Xiang, N.; Li, J. Seismic performance of highway bridges with different transverse unseating-prevention devices. J. Bridge Eng. 2016, 21, 04016045. [Google Scholar] [CrossRef]
- Won, J.H.; Mha, H.S.; Cho, K.I.; Kim, S.H. Effects of the restrainer upon bridge motions under seismic excitations. Eng. Struct. 2008, 30, 69–80. [Google Scholar] [CrossRef]
- JTG/T 2231-01-2008; Specifications for Seismic Design of Highway Bridge. China Communications Press: Beijing, China, 2008. (In Chinese)
- Dusseau, R.A.; Wen, R.K. Seismic responses of deck-type arch bridges. Earthq. Eng. Struct. Dyn. 1989, 18, 701–715. [Google Scholar] [CrossRef]
- Usami, T.; Lu, Z.; Ge, H.; Kono, T. Seismic performance evaluation of steel arch bridges against major earthquakes. Part 1: Dynamic analysis approach. Earthq. Eng. Struct. Dyn. 2004, 33, 1337–1354. [Google Scholar] [CrossRef]
- Lu, Z.; Usami, T.; Ge, H. Seismic performance evaluation of steel arch bridges against major earthquakes. Part 2: Simplified verification procedure. Earthq. Eng. Struct. Dyn. 2004, 33, 1355–1372. [Google Scholar] [CrossRef]
- Nonaka, T.; Ali, A. Dynamic response of half-through steel arch bridge using fiber model. J. Bridge Eng. 2001, 6, 482–488. [Google Scholar] [CrossRef]
- Sevim, B.; Bayraktar, A.; Altunişik, A.C.; Atamtürktür, S.; Birinci, F. Assessment of nonlinear seismic performance of a restored historical arch bridge using ambient vibrations. Nonlinear Dyn. 2011, 63, 755–770. [Google Scholar] [CrossRef]
- Xia, C.; Zhong, T. Numerical analysis of the Nanjing Dashengguan Yangtze River Bridge subjected to non-uniform seismic excitations. J. Mech. Sci. Technol. 2011, 25, 1297–1306. [Google Scholar] [CrossRef]
- Álvarez, J.J.; Aparicio, A.C.; Jara, J.M.; Jara, M. Seismic assessment of a long-span arch bridge considering the variation in axial forces induced by earthquakes. Eng. Struct. 2012, 34, 69–80. [Google Scholar] [CrossRef]
- Tang, Z.; Xie, X.; Wang, T.; Wang, J. Study on FE models in elasto-plastic seismic performance evaluation of steel arch bridge. J. Constr. Steel Res. 2015, 113, 209–220. [Google Scholar] [CrossRef]
- Sui, W.; Li, H.; Zhang, Q.; Wang, Z.; Jin, X. The mechanical properties of a new corrugated steel plate damper and its application in a steel arch bridge. KSCE J. Civ. Eng. 2020, 24, 228–240. [Google Scholar] [CrossRef]
- Hua, W.; Ye, J. Seismic risk assessment of reticulated shell structures considering multiple uncertainties. Thin-Walled Struct. 2023, 185, 110618. [Google Scholar] [CrossRef]
- Xiang, Y.; Zhou, X.; Shi, Y.; Zhou, J.; Ke, K.; Deng, F. Study on the seismic performance of cold-formed thin-walled steel frame with K-shaped braced shear panel. Thin-Walled Struct. 2023, 184, 110449. [Google Scholar] [CrossRef]
- Huang, F.Y.; Fu, C.; Zhuang, Y.Z.; Xiong, Z.H. Experiment on seismic performance of concrete filled steel tubular arch-rib under multi-shaking-tables. Thin-Walled Struct. 2017, 116, 212–224. [Google Scholar] [CrossRef]
- Liu, C.; Wang, Y.; Wang, W.; Wu, X. Seismic performance and collapse prevention of concrete-filled thin-walled steel tubular arches. Thin-Walled Struct. 2014, 80, 91–102. [Google Scholar] [CrossRef]
- Zhou, Z.; Chen, Y.; Yam, M.C.; Ke, K.; He, X. Experimental investigation of a high strength steel frame with curved knee braces subjected to extreme earthquakes. Thin-Walled Struct. 2023, 185, 110596. [Google Scholar] [CrossRef]
- Zhou, G.; Zhu, Z.; Tang, Y.; Xu, W.; Li, X.; Jiang, L. Seismic scenario reproduction and damage mechanism analysis of Liuhuanggou Bridge under near-fault earthquake. Bull. Earthq. Eng. 2023, 21, 6091–6120. [Google Scholar] [CrossRef]
- Lin, K.; Xu, Y.L.; Lu, X.; Guan, Z.; Li, J. Digital twin-based life-cycle seismic performance assessment of a long-span cable-stayed bridge. Bull. Earthq. Eng. 2023, 21, 1203–1227. [Google Scholar] [CrossRef]
- Li, J.; Xu, L.H. Seismic response characteristics and whiplash effect mechanism of continuous rigid-frame bridges subjected to near-fault ground motions. Bull. Earthq. Eng. 2023, 21, 3719–3744. [Google Scholar] [CrossRef]
- Xie, W.; Sun, L.; Lou, M. Wave-passage effects on seismic responses of pile–soil–cable-stayed bridge model under longitudinal non-uniform excitation: Shaking table tests and numerical simulations. Bull. Earthq. Eng. 2020, 18, 5221–5246. [Google Scholar] [CrossRef]
- Farahani, E.M.; Maalek, S. An investigation of the seismic behavior of a deck-type reinforced concrete arch bridge. Earthq. Eng. Eng. Vib. 2017, 16, 609–625. [Google Scholar] [CrossRef]
- Chu, Y.; Li, R.; Li, X. Analysis of Seismic Response of the Arch Bridge across Reservoir considering Fluid-Solid Coupling Effect. Shock Vib. 2022, 2022, 3873935. [Google Scholar] [CrossRef]
- Gao, H.; Zhang, K.; Wu, X.; Liu, H.; Zhang, L. Application of BRB to Seismic Mitigation of Steel Truss Arch Bridge Subjected to Near-Fault Ground Motions. Buildings 2022, 12, 2147. [Google Scholar] [CrossRef]
- Liu, Z.; Zhang, S. Artificial neural network-based method for seismic analysis of concrete-filled steel tube Arch bridges. Comput. Intell. Neurosci. 2021, 2021, 5581637. [Google Scholar] [CrossRef]
- Xie, X.; Zhuge, H.; Tang, Z.; Wang, T.; Liao, Y. Damage characteristics of thin-walled steel arch bridges subjected to in-plane earthquake action. J. Constr. Steel Res. 2018, 151, 70–82. [Google Scholar] [CrossRef]
- Wang, T.; Xie, X.; Shen, C.; Tang, Z. Effect of hysteretic constitutive models on elasto-plastic seismic performance evaluation of steel arch bridges. Earthq. Struct. 2016, 10, 1089–1109. [Google Scholar] [CrossRef]
- Nguyen, V.T.; Ahn, J.H.; Haldar, A.; Huh, J. Fragility-based seismic performance assessment of modular underground arch bridges. Structures 2022, 39, 1218–1230. [Google Scholar] [CrossRef]
- Clemente, P.; Saitta, F.; Buffarini, G.; Ormando, C. Masonry Arch Bridges with Finite Compression Strength Subject to Horizontal Longitudinal Seismic Actions. Appl. Sci. 2023, 13, 7509. [Google Scholar] [CrossRef]
- Sakamoto, T.; Harada, S.; Tomomitsu, H.; Obe, K.; Tohashi, R.; Machida, N. Design of Shin-Tenmon Bridge on Kumamoto-Amakusa Main Road (Route 266 Oyano BP). Bridge Found. Eng. 2016, 10, 30–36. (In Japanese) [Google Scholar]
- Matsunaga, H.; Ogino, S.; Yamada, A. Construction Report of Tiancheng Bridge. Available online: https://jasbc.or.jp/wp/wp-content/themes/jasbc/images/release/document/2019/kasetu02.pdf (accessed on 6 December 2023). (In Japanese).
- Zheng, Y.; Usami, T.; Ge, H. Seismic response predictions of multi-span steel bridges through pushover analysis. Earthq. Eng. Struct. Dyn. 2003, 32, 1259–1274. [Google Scholar] [CrossRef]
- Japan Road Association (JRA). Specifications for Highway Bridges, Part V. Seismic Design; JRA: Tokyo, Japan, 2012. [Google Scholar]
Disclaimer/Publisher’s Note: The statements, opinions and data contained in all publications are solely those of the individual author(s) and contributor(s) and not of MDPI and/or the editor(s). MDPI and/or the editor(s) disclaim responsibility for any injury to people or property resulting from any ideas, methods, instructions or products referred to in the content. |
© 2024 by the authors. Licensee MDPI, Basel, Switzerland. This article is an open access article distributed under the terms and conditions of the Creative Commons Attribution (CC BY) license (https://creativecommons.org/licenses/by/4.0/).