Next Article in Journal
Evaluation of Instructor Capability: Perspective from Building Information Modeling Competition Students in Mainland China
Next Article in Special Issue
A Simplified Analysis Model for Predicting the Crack Width and Deflection of Reinforced UHPC Shallow T-Shaped Beams Under Four-Point Bending
Previous Article in Journal
In Situ Testing and Finite Element Analysis of a Discontinuous Mortise and Tenon Stone Bridge Under Natural Excitation
Previous Article in Special Issue
Numerical Analysis of Internal Force Distribution in Combining Supporting Structures for Expansive Soil High Slope along Railway
 
 
Font Type:
Arial Georgia Verdana
Font Size:
Aa Aa Aa
Line Spacing:
Column Width:
Background:
Article

A Numerical Study of Dynamic Behaviors of Graphene-Platelet-Reinforced ETFE Tensile Membrane Structures Subjected to Harmonic Excitation

1
College of Civil Engineering, Nanjing Tech University, Nanjing 211816, China
2
China Construction Third Engineering Bureau Group (Shenzhen) Co., Ltd., Shenzhen 518131, China
*
Author to whom correspondence should be addressed.
Buildings 2024, 14(11), 3597; https://doi.org/10.3390/buildings14113597
Submission received: 15 October 2024 / Revised: 8 November 2024 / Accepted: 11 November 2024 / Published: 12 November 2024
(This article belongs to the Special Issue Research on Structural Analysis and Design of Civil Structures)

Abstract

This study presents a numerical investigation of the dynamic behavior of graphene platelet (GPL)-reinforced ethylene tetrafluoroethylene (ETFE) tensile membrane structures subjected to harmonic excitation. Modal and harmonic response analyses were performed to assess both the natural frequencies and the dynamic responses of the ETFE membrane. GPLs were employed as the reinforcements to enhance the mechanical properties of the membrane materials, whose Young’s modulus was predicted through the effective medium theory (EMT). Parametric studies were conducted to examine the impact of pre-strain and the attributes of the GPL reinforcements, including weight fraction and aspect ratio, on the natural frequencies and amplitude–frequency response curves of the membrane structure. The first natural frequency substantially increased from 5.46 Hz without initial strain to 31.0 Hz with the application of 0.1% initial strain, resulting in a frequency shift that moved the natural frequency out of the range of typical wind-induced pulsations. Embedding GPL fillers into ETFE membrane was another potential solution to enhance the dynamic stability of the membrane structure, with a 1% addition of GPLs resulting in a 48.6% increase in the natural frequency and a 45.1% reduction in resonance amplitude. GPLs with larger aspect ratios provided better reinforcement, offering a means to fine-tune the membrane’s dynamic response. These results underscore that by strategically adjusting both pre-strain levels and GPL characteristics, the membrane’s dynamic behavior can be optimized, offering a promising approach for improving the stability of structures subjected to wind-induced loads.

1. Introduction

Tensile membrane structures have emerged as a compelling solution in modern architecture [1] and civil engineering [2] due to their attractive combination of flexibility, lightweight nature, and structural efficiency [3]. These structures, which rely on pre-stressed membranes to maintain stability, are widely applied in sports facilities [4], airports [5], and exhibition pavilions [6], owing to their ability to cover large spans with minimal material usage. The inherent dynamic flexibility of tensile membranes, however, poses significant challenges under fluctuating environmental loadings such as wind [7,8] and seismic waves. Extensive work has been carried out on the behavior of these membrane structures when subjected to dynamic conditions, with modal analysis [9] and fluid–structure interaction (FSI) modeling [10,11] forming the core methodologies for predicting their dynamic responses. Studies have shown that the pre-stress levels in tensile membranes greatly influence their natural frequencies and overall structural stability under dynamic loading conditions, highlighting the importance of optimizing pre-tensioning to improve dynamic performance.
In an effort to further enhance the mechanical properties and dynamic response of tensile membrane structures, considerable research has been conducted to explore advanced composite materials. Among these, two-dimensional carbon-based materials, such as carbon nanotubes (CNTs) [12] and graphene (including its derivatives), have garnered immense attention due to their extraordinary mechanical, electrical, and thermal properties [13]. In particular, graphene and its derivatives have been attracting great attention as promising reinforcements, offering ultrahigh tensile strength, stiffness, and low weight to the composite matrix [14,15]. Numerous studies have demonstrated that the incorporation of graphene fillers into matrix materials significantly improves their elastic moduli, tensile strength, and fatigue resistance [16,17,18]. For instance, it has been shown that adding a small fraction of graphene platelets (GPLs) into polymer matrices can enhance their tensile modulus by up to 40%. These findings indicate the potential of graphene-based composites to significantly outperform traditional materials in structural applications.
In recent years, significant strides have been made in the development of graphene-enhanced materials for architectural [19,20] and engineering applications [21,22], particularly in the context of tensile membrane structures. The use of graphene-reinforced membranes, such as ethylene tetrafluoroethylene (ETFE) composites, offers the prospect of structures with greater load-bearing capacities, enhanced resistance to environmental degradation, and improved overall durability [23]. ETFE, a fluoropolymer known for its transparency, light weight, and chemical resistance, has widespread application in the field of tensile structures [24,25]. However, its relatively low mechanical strength compared to other polymers has limited its application in more demanding structural environments. Incorporating graphene or its derivatives into ETFE membranes presents a promising avenue for overcoming these limitations, as graphene’s superior mechanical properties can provide the necessary reinforcement to create a composite material capable of withstanding higher dynamic loads and harsher environmental conditions.
Despite these advancements, there remains a significant gap in the research concerning the dynamic behavior of graphene-enhanced ETFE membranes under harmonic excitation. While the mechanical properties of graphene-reinforced composites have been thoroughly explored, few studies have focused on their real-world performance in tensile structures subjected to periodic or harmonic loading conditions. Understanding the natural frequencies and amplitude–frequency response of these structures is critical for their long-term performance, particularly in environments where wind or other fluctuating loads dominate. Addressing this gap is essential for ensuring the reliability and safety of membrane structures in practical applications.
The present study aimed to investigate the dynamic performance of a graphene platelet (GPL)-reinforced ETFE tensile membrane structure consisting of four pieces of 400 µm thick membranes, as shown in Figure 1, under harmonic excitation, focusing on their natural frequencies and amplitude–frequency response characteristics. The detailed dimensions of this tensile membrane structure are illustrated in the multiview orthographic projection drawings. Through parametric studies conducted in finite element simulation, this research examined the effects of pre-strain levels and GPL reinforcements on the dynamic response of the membrane structure. The elastic properties of the GPL-reinforced ETFE were predicted using the effective medium theory (EMT), and harmonic response analysis was deployed to study the structure’s behavior under harmonic pressure on the membrane surface. By addressing the current research gap, this study will provide a deeper understanding of the potential of GPL-enhanced membrane structures to withstand dynamic loads, contributing to the development of more durable and resilient architectural and engineering solutions.

2. Effective Mechanical Properties of GPL-Reinforced ETFE

The effective medium theory (EMT) has proven to be a reliable method for estimating the mechanical properties of composites that incorporate graphene platelets (GPLs) as reinforcements [26]. The EMT allows for the derivation of Young’s modulus for such composites by solving a specific scalar equation [27]:
ϕ matrix L matrix L effective L matrix + 1 / 3 L matrix L effective + 1 3 ϕ filler k = 1 3 L k L effective L effective + S k k L k L effective = 0
In the equation above, Lk (k = 1, 2, 3) corresponds to components of the moduli tensor, while Skk (k = 1, 2, 3) represents the elements of Eshelby’s tensor, which are associated with the GPLs embedded within the local coordinate system. The volume fraction is denoted by ϕ. The subscripts “effective” refer to the composite’s effective properties.
By inserting the relevant elastic parameters into Equation (1), the Young’s modulus of the composites can be determined as:
ϕ matrix E matrix E effective E matrix + 1 / 3 E matrix E effective + 1 3 ϕ filler k = 1 3 E k E effective E effective + S k k E k E effective = 0
where Eeffective denotes the effective Young’s modulus of the composite. Interfacial bonding interactions between graphene platelets (GPLs) and the ETFE matrix play an important role in load transfer within the composite. To account for possible imperfect bonding at this interface, the modulus of the coated GPLs is adjusted accordingly:
E k coated = E 0 interphase 1 + 1 ϕ interphase E k E 0 interphase ϕ interphase S k k E k E 0 interphase + E 0 interphase           k = 1 , 2 , 3
This adjustment considers the interphase layer, representing the transition region between the GPLs and the matrix, where load transfer may vary. The Young’s modulus of the interphase is denoted by E 0 interphase . The pristine GPLs’ Young’s modulus Ek in Equation (2) should be substituted with the value of the coated effective filler E k coated . The in-plane Young’s modulus of GPLs was 1.01 TPa, while the out-of-plane modulus was around 101 TPa. For the ETFE matrix, the Young’s modulus was about 0.9 GPa. The interphase thickness was assumed to be 3 nm, and the average GPL thickness was 50 nm in the calculation. The prediction of the Young’s modulus by this model was evidenced to align well with existing experimental data [26].
The Poisson’s ratio and mass density of the GPL-reinforced composites could be simply estimated by rule of mixtures as:
ν effective = ϕ matrix ν matrix + ϕ filler ν filler ρ effective = ϕ matrix ρ matrix + ϕ filler ρ filler
where ν and ρ denote the Poisson’s ratio and mass density. The mass density of GPL and ETFE were 1780 kg/m3 and 1700 kg/m3, respectively, with the corresponding Poisson’s ratio being 0.175 and 0.305, respectively.

3. Modal and Harmonic Response Analysis

The modal and harmonic response analyses of the tensile membrane structure were conducted using ANSYS 2023 R1 Mechanical to investigate the dynamic characteristics of the structure under various conditions. These analyses are crucial for understanding the behavior of structures subjected to dynamic loads, such as wind-induced excitations, which can lead to resonance and instability if not properly managed. Modal analysis was used to identify the natural frequencies and vibration modes for the first six modes of the membrane structure. The results provided insights into how the structure would vibrate under external excitations. A finer mesh and accurate material properties were applied to capture the complex behavior of the membrane, ensuring the accuracy of these modal parameters. Proper boundary conditions were imposed, where the edges of the membrane were fixed to simulate the connections in real-world applications, as illustrated in Figure 2. Harmonic response analysis, on the other hand, assesses the steady-state response of the structure when subjected to periodic forces. This type of analysis is essential for understanding how the membrane will behave when subjected to harmonic excitations, such as wind loads, that typically occur at certain frequencies. It is particularly valuable for dynamic design as it helps determine whether the structure can withstand repetitive dynamic loads without experiencing significant deformation. In this case, a harmonic pressure load of 1000 Pa was applied uniformly across the membrane to simulate wind forces, and the damping ratio was set to 0.01, representing light damping conditions typical of tensile membrane structures. The boundary condition configurations were the same as the ones in modal analysis and ANSYS 2023 R1 Parametric Design Language (APDL) was utilized to introduce pre-strain into the membrane, replicating the initial tension typically observed in practical applications in both modal and harmonic response analysis.

4. Numerical Results and Discussion

Numerical study was conducted to investigate the dynamic performances of the GPL-reinforced ETFE membrane. Unless otherwise specified, the following material properties were utilized [27], as tabulated in Table 1:
Before conducting the parametric study to investigate the effects of pre-strain and GPL reinforcement, the dynamic characteristics of the membrane structure made of ETFE only were evaluated. No pre-strain was applied in this case. The natural frequencies for the first six modes were found to be 5.46 Hz, 6.66 Hz, 8.37 Hz, 9.70 Hz, 9.79 Hz, and 10.35 Hz, respectively, with the corresponding mode shape depicted in Figure 3. Considering that the pulsation frequency of wind typically ranges between 0.001 Hz and 10 Hz, it is clear that the natural frequencies of the ETFE membrane structure overlapped with the higher end of this range. This overlap indicated the possibility of resonance when the structure was subjected to certain wind conditions, particularly at wind gust frequencies that aligned with the membrane’s natural frequency. Such resonance effects can significantly amplify dynamic responses, making it vital to assess these interactions to ensure the structural integrity of ETFE membranes under wind-induced forces.
Figure 4 depicts the frequency–amplitude response of the ETFE membrane, i.e., the amplitude of average deformation in the y-direction in response to harmonic pressure applied to the membrane surface. As the frequency of the applied harmonic pressure increased from 0 Hz to 20 Hz, the first notable resonance peak occurred at around 5.46 Hz, where the amplitude of average deformation in y-direction reached 0.55152 m. A secondary resonance was observed at 6.66 Hz, corresponding to an average deformation amplitude of 0.31051 m. These resonant frequencies closely aligned with the first two natural modes, highlighting the necessity of implementing pre-strain in the membrane structure or reinforcing the membrane material itself to shift its natural frequencies away from the wind-loading spectrum. Such adjustments are critical in mitigating the risk of resonance and avoiding potential structural instability.

4.1. Effect of Pre-Strain Level

The influence of pre-strain on the natural frequencies of the tensile membrane was investigated, as illustrated in Figure 5. The first six natural frequencies exhibited a significant upward trend as the pre-strain increased. A marked increase was observed across all modes when the strain varied from 0% to 0.5%. For instance, the first mode’s natural frequency increased dramatically from 5.46 Hz at 0% strain to 31.0 Hz at 0.1% strain, representing an approximately 468% increase. Likewise, the second mode experienced a rise from 6.66 Hz to 37.4 Hz, an increase of around 462%, and the third mode shifted from 8.37 Hz to 40.76 Hz, signifying a 387% growth. This pronounced increase in natural frequencies indicates that the membrane structure became significantly stiffer with higher pre-strain, resulting in greater resistance to dynamic excitations.
This effect was further corroborated by the frequency–amplitude response curve shown in Figure 6. Following the application of pre-strain, no resonance was detected within the 0 to 20 Hz frequency range of the harmonic pressure applied to the membrane surface, suggesting that pre-strain was effective in preventing resonance. The frequency–amplitude analysis also showed that the amplitude of the average deformation in the y-direction increased with the harmonic pressure frequency, peaking at 20 Hz. As the pre-strain was increasing from 0.05% to 0.5%, the deformation amplitude decreased from 0.012466 m to 0.0034 m, reflecting a substantial 72.2% reduction. This reduction highlights the enhanced stability and robustness of the membrane structure under dynamic loads. These findings are crucial for the design and optimization of tensile membrane structures, particularly when subjected to fluctuating wind and environmental forces. They demonstrate that raising pre-strain can effectively improve the membrane’s dynamic response, thereby reducing vulnerability to external excitations and ensuring structural integrity.

4.2. Effect of GPL Reinforcements

The influence of varying GPL weight fractions on the dynamic characteristics of the tensile membrane unit was quantitatively evaluated without applying pre-strain. Figure 7 illustrates the changes in the first six natural frequencies as the weight fraction of GPLs increased. A consistent rise in the natural frequencies was observed with the increasing weight fraction of GPLs, signifying a stiffening effect on the membrane structure. Specifically, as the GPL content increases from 0% to 1%, the first natural frequency grew from 5.4602 Hz to 8.1172 Hz, the second from 6.6601 Hz to 9.901 Hz, and the third from 8.3694 Hz to 12.443 Hz. This upward trend demonstrates the considerable stiffening influence introduced by GPL reinforcement.
The enhancement in dynamic performance with GPL incorporation was further confirmed by the frequency–amplitude response curves depicted in Figure 8. In the absence of pre-strain, resonances still occurred within the 0 Hz to 20 Hz range. However, as the GPL weight fraction increased, the membrane’s stiffness was significantly improved, leading to a shift in the resonance frequencies. As the GPL content rose from 0% to 1%, the first resonance frequency shifted from 5.4579 Hz to 8.1137 Hz, while the amplitude of average deformation in the y-direction reduced from 0.55152 m to 0.24894 m, as indicated by the dashed curve with squares. Similarly, the second resonance frequency moved from 6.663 Hz to 9.9054 Hz, with the corresponding amplitude decreasing from 0.31051 m to 0.14014 m, as shown by the dashed curve with circles. The detailed frequency–amplitude response data are tabulated in Table 2. These results once again highlight the effectiveness of GPL reinforcement in enhancing the structural stiffness and mitigating resonance effects, making this a promising approach to improve the dynamic performance of ETFE membrane structures.
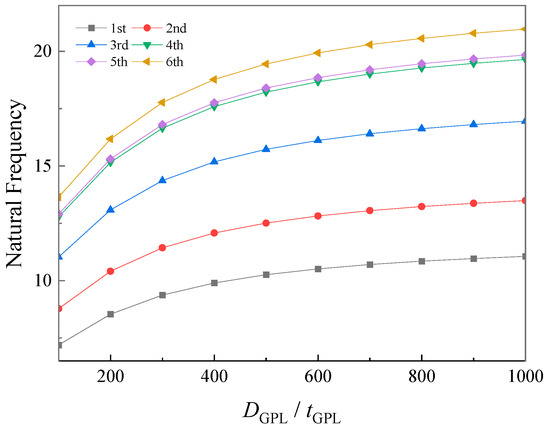
The next phase of the analysis was focused on examining the effects of the aspect ratio of GPLs on the dynamic response of the tensile membrane reinforced with 1% GPLs. The thickness of the GPLs was fixed as 5 × 10−8 m, while the diameter-to-thickness ratio varied between 100 and 1000. No pre-strain was applied to the membrane. As shown in Figure 9, increasing the GPL aspect ratio resulted in a consistent rise in natural frequencies for the first six vibration modes. Specifically, when the aspect ratio increased from 100 to 1000, the first natural frequency increased from 7.1963 Hz to 11.059 Hz, the second from 8.7778 Hz to 13.49 Hz, and the third from 11.032 Hz to 16.954 Hz. However, the rate of increase slowed down at higher aspect ratios, indicating a nonlinear relationship between the GPL aspect ratios and the natural frequencies.
Figure 10 highlights the frequency–amplitude response and demonstrates the influence of the GPL aspect ratio on the resonant behavior. As the aspect ratio increased, the first resonance frequency shifted from 7.1932 Hz to 11.054 Hz, while the corresponding average deformation amplitude in the y-direction decreased from 0.31672 m to 0.13411 m. Similarly, the second resonance frequency increased from 8.7817 Hz to 13.496 Hz, with the deformation amplitude dropping from 0.17831 m to 0.0755 m. This reduction in resonant amplitude suggests that GPLs with higher aspect ratios offer a more pronounced stiffening effect, improving the overall rigidity and dynamic performance of the membrane. Thus, using GPLs with higher surface areas presents a more effective strategy for enhancing the structural resilience of ETFE membranes.

5. Conclusions

This study examined the dynamic performance of ETFE tensile membrane structures reinforced with graphene platelets (GPLs). Through the application of effective medium theory (EMT), the composite’s Young’s modulus was estimated, while the Poisson’s ratio and mass density were derived using the rule of mixtures. Modal and harmonic response analyses showed that introducing pre-strain effectively increased the membrane’s natural frequencies, pushing them outside the resonance range typically associated with wind-induced vibrations and reducing resonance amplitudes. This indicates that pre-strain can play a critical role in enhancing dynamic stability and reducing the risk of resonance under fluctuating wind conditions.
Further, the addition of GPLs proved to be an effective strategy for stiffening the membrane, increasing natural frequencies, and lowering deformation amplitudes, thus improving its dynamic response under wind loading. The parametric study of GPL aspect ratios revealed a nonlinear relationship, where higher aspect ratios resulted in greater structural rigidity and improved dynamic performance. These findings underscore that by adjusting pre-strain levels, varying GPL weight fractions, and optimizing the GPL aspect ratios, the dynamic performance of ETFE membranes can be fine-tuned to avoid resonance with wind loads. This flexibility offers significant potential for architectural designs in environments subject to dynamic loads, ensuring enhanced structural resilience and stability.
On the basis of the current findings, future research may explore experimental validation and testing by conducting controlled experimental tests on fabricated GPL-reinforced ETFE composite samples to validate the numerical findings presented in this study. Experimental measurements of natural frequency, resonance behavior, and deformation under dynamic loading could provide empirical data to confirm the simulated results, further establishing the practical relevance of GPL reinforcement. This empirical validation would also aid in refining the numerical model parameters for future simulations, enhancing accuracy and applicability in real-world scenarios. In addition to affecting factors discussed in the current study, for future research work the following parameters will be considered:
(a)
Temperature effects: Investigating how varying temperatures influence the mechanical properties of ETFE and GPLs, potentially affecting the composite’s dynamic behavior.
(b)
GPL distribution: Exploring the effect of different distributions of GPLs within the ETFE matrix, which may influence load transfer efficiency and dynamic stability.
(c)
Boundary conditions: Analyzing the impact of different boundary conditions on the dynamic behavior of the membrane structures, as constraints may alter response characteristics.
(d)
Alternative materials: Considering the use of different reinforcing fillers and matrices, to evaluate their effects on the dynamic performance and overall properties of the composite structures.

Author Contributions

Conceptualization, C.F.; Methodology, J.F.; Software, X.Z.; Validation, J.F.; Formal analysis, Y.W.; Investigation, J.G. and W.J.; Resources, X.Z.; Data curation, J.G.; Writing—original draft, Y.W.; Writing—review & editing, C.F.; Supervision, C.F.; Project administration, C.F.; Funding acquisition, C.F. All authors have read and agreed to the published version of the manuscript.

Funding

This research was funded by China Construction Third Engineering Bureau Group (Shenzhen) Co., Ltd. and Innovative and Entrepreneurial Talents of Jiangsu Province of China.

Data Availability Statement

The original contributions presented in the study are included in the article, further inquiries can be directed to the corresponding author.

Conflicts of Interest

Authors Jiajun Gu, Xin Zhang, Jian Fan and Wenbin Ji were employed by the company China Construction Third Engineering Bureau Group (Shenzhen) Co., Ltd. The remaining authors declare that the research was conducted in the absence of any commercial or financial relationships that could be construed as a potential conflict of interest.

References

  1. Huntington, C.G. Tensile Fabric Structures: Design, Analysis, and Construction; American Society of Civil Engineers: Reston, VI, USA, 2013. [Google Scholar]
  2. Dutta, S.; Ghosh, S. Analysis and Design of Tensile Membrane Structures: Challenges and Recommendations. Pract. Period. Struct. Des. Constr. 2019, 24, 04019009. [Google Scholar] [CrossRef]
  3. Marbaniang, A.L.; Kabasi, S.; Ghosh, S. Interactive Exploration of Tensile Membrane Structures for Conceptual and Optimal Design. Structures 2024, 60, 105983. [Google Scholar] [CrossRef]
  4. Patel, V.; Acharya, A.; Waggoner, M. Roof Design and Construction of the Narendra Modi Stadium—The World’s Largest Cricket Stadium. Struct. Eng. Int. 2023, 33, 265–269. [Google Scholar] [CrossRef]
  5. Berger, H.; DePaola, E.M. Tensile Structures Highlight New Denver Airport. In Proceedings of the IASS-ASCE International Symposium 1994 on Spatial, Lattice and Tension Structures, Atlanta, GA, USA, 24–28 April 1994. [Google Scholar]
  6. Randjelovic, N. Tensile Membrane Structures at World Fairs. Facta Univ.—Ser. Archit. Civ. Eng. 2022, 20, 035–047. [Google Scholar] [CrossRef]
  7. Chen, B.; Wu, Y.; Shen, S.Z. Wind-Resistant Design of Tensile Membrane Structures. Gongcheng Lixue/Eng. Mech. 2006, 23, 65–71. [Google Scholar]
  8. Dutta, S.; Ghosh, S.; Inamdar, M.M. Optimisation of Tensile Membrane Structures under Uncertain Wind Loads Using PCE and Kriging Based Metamodels. Struct. Multidiscip. Optim. 2018, 57, 1149–1161. [Google Scholar] [CrossRef]
  9. Wei, J.; Ma, R.; Liu, Y.; Yu, J.; Eriksson, A.; Tan, H. Modal Analysis and Identification of Deployable Membrane Structures. Acta Astronaut. 2018, 152, 811–822. [Google Scholar] [CrossRef]
  10. Kazemian, M.; Hosseini Lavassani, S.H. One-Way FSI Coupling with Steady-State and Transient CFD Analysis for the Umbrella Form of Tensile Membrane Structure. Arab. J. Sci. Eng. 2024. [Google Scholar] [CrossRef]
  11. Lou, X.; Liu, Z.H.; Song, S.Y. FSI Numerical Simulation for Wind-Induced Dynamic Response of Tension Membrane Structures. Adv. Mater. Res. 2014, 1065–1069, 1069–1073. [Google Scholar] [CrossRef]
  12. Nguyen, T.N.; Dang, L.M.; Lee, J.; Nguyen, P. Van Load-Carrying Capacity of Ultra-Thin Shells with and without CNTs Reinforcement. Mathematics 2022, 10, 1481. [Google Scholar] [CrossRef]
  13. Sang, M.; Shin, J.; Kim, K.; Yu, K.J. Electronic and Thermal Properties of Graphene and Recent Advances in Graphene Based Electronics Applications. Nanomaterials 2019, 9, 374. [Google Scholar] [CrossRef] [PubMed]
  14. Allen, M.J.; Tung, V.C.; Kaner, R.B. Honeycomb Carbon: A Review of Graphene. Chem. Rev. 2010, 110, 132–145. [Google Scholar] [CrossRef] [PubMed]
  15. Urade, A.R.; Lahiri, I.; Suresh, K.S. Graphene Properties, Synthesis and Applications: A Review. JOM 2023, 75, 614–630. [Google Scholar] [CrossRef] [PubMed]
  16. Wijerathne, D.; Gong, Y.; Afroj, S.; Karim, N.; Abeykoon, C. Mechanical and Thermal Properties of Graphene Nanoplatelets-Reinforced Recycled Polycarbonate Composites. Int. J. Lightweight Mater. Manuf. 2023, 6, 117–128. [Google Scholar] [CrossRef]
  17. Dehnou, K.H.; Norouzi, G.S.; Majidipour, M. A Review: Studying the Effect of Graphene Nanoparticles on Mechanical, Physical and Thermal Properties of Polylactic Acid Polymer. RSC Adv. 2023, 13, 3976–4006. [Google Scholar] [CrossRef]
  18. Atif, R.; Shyha, I.; Inam, F. Mechanical, Thermal, and Electrical Properties of Graphene-Epoxy Nanocomposites-A Review. Polymers 2016, 8, 281. [Google Scholar] [CrossRef]
  19. Asim, N.; Badiei, M.; Samsudin, N.A.; Mohammad, M.; Razali, H.; Soltani, S.; Amin, N. Application of Graphene-Based Materials in Developing Sustainable Infrastructure: An Overview. Compos. B Eng. 2022, 245, 110188. [Google Scholar] [CrossRef]
  20. Galvagno, E.; Tartaglia, E.; Stratigaki, M.; Tossi, C.; Marasco, L.; Menegazzo, F.; Zanardi, C.; Omenetto, F.; Coletti, C.; Traviglia, A.; et al. Present Status and Perspectives of Graphene and Graphene-Related Materials in Cultural Heritage. Adv. Funct. Mater. 2024, 34, 2313043. [Google Scholar] [CrossRef]
  21. Imtiaz, L.; Ur Rehman, S.K.; Memon, S.A.; Khan, M.K.; Javed, M.F. A Review of Recent Developments and Advances in Eco-Friendly Geopolymer Concrete. Appl. Sci. 2020, 10, 7838. [Google Scholar] [CrossRef]
  22. Alateah, A.H. Graphene Concrete: Recent Advances in Production Methods, Performance Properties, Environmental Impact and Economic Viability. Case Stud. Constr. Mater. 2023, 19, e02653. [Google Scholar] [CrossRef]
  23. Raza, H.; Aized, T.; Khan, M.B.; Imran, M. Tensile Testing of Polystyrene Graphene 2D Nano Composite Membrane. Int. J. Adv. Manuf. Technol. 2018, 94, 4343–4349. [Google Scholar] [CrossRef]
  24. Jeong, E.-S.; Kawabata, M.; Kim, S.-D. Experimental and Analytical Study on High Stress of Tensile Membrane Structures by Stretch Fabrication Using ETFE Film. J. Korean Assoc. Spat. Struct. 2014, 14, 85–92. [Google Scholar] [CrossRef]
  25. Li, B.; Chen, Z.; Liu, H.; Zhang, F.; Li, G.; Wang, K. ETFE Air Cushion Membrane Structures. Prog. Steel Build. Struct. 2016, 18. [Google Scholar] [CrossRef]
  26. Hashemi, R.; Weng, G.J. A Theoretical Treatment of Graphene Nanocomposites with Percolation Threshold, Tunneling-Assisted Conductivity and Microcapacitor Effect in AC and DC Electrical Settings. Carbon 2016, 96, 474–490. [Google Scholar] [CrossRef]
  27. Xia, X.; Wang, Y.; Zhong, Z.; Weng, G.J. A Frequency-Dependent Theory of Electrical Conductivity and Dielectric Permittivity for Graphene-Polymer Nanocomposites. Carbon 2017, 111, 221–230. [Google Scholar] [CrossRef]
Figure 1. (a) ETFE composite membrane unit. (b) Multiview orthographic projection with dimensions.
Figure 1. (a) ETFE composite membrane unit. (b) Multiview orthographic projection with dimensions.
Buildings 14 03597 g001
Figure 2. Boundary conditions of the numerical wind tunnel simulation.
Figure 2. Boundary conditions of the numerical wind tunnel simulation.
Buildings 14 03597 g002
Figure 3. The first six natural modes of ETFE tensile membrane with 0.0% pre-strain.
Figure 3. The first six natural modes of ETFE tensile membrane with 0.0% pre-strain.
Buildings 14 03597 g003
Figure 4. Frequency–amplitude curve of ETFE tensile membrane structure under 1000 Pa harmonic excitation.
Figure 4. Frequency–amplitude curve of ETFE tensile membrane structure under 1000 Pa harmonic excitation.
Buildings 14 03597 g004
Figure 5. Effect of pre-strain level on natural frequencies of GPL/ETFE tensile membrane.
Figure 5. Effect of pre-strain level on natural frequencies of GPL/ETFE tensile membrane.
Buildings 14 03597 g005
Figure 6. Frequency–amplitude curves of GPL/ETFE tensile membrane in different pre-strain levels under 1000 Pa harmonic excitation.
Figure 6. Frequency–amplitude curves of GPL/ETFE tensile membrane in different pre-strain levels under 1000 Pa harmonic excitation.
Buildings 14 03597 g006
Figure 7. Effect of GPL weight fraction on the first six natural frequencies of GPL/ETFE tensile membrane.
Figure 7. Effect of GPL weight fraction on the first six natural frequencies of GPL/ETFE tensile membrane.
Buildings 14 03597 g007
Figure 8. Frequency–amplitude curves of ETFE tensile membrane structure with different GPL weight fractions under 1000 Pa harmonic excitation.
Figure 8. Frequency–amplitude curves of ETFE tensile membrane structure with different GPL weight fractions under 1000 Pa harmonic excitation.
Buildings 14 03597 g008
Figure 9. Effect of GPL aspect ratio on the first six natural frequencies of GPL-reinforced ETFE tensile membrane.
Figure 9. Effect of GPL aspect ratio on the first six natural frequencies of GPL-reinforced ETFE tensile membrane.
Buildings 14 03597 g009
Figure 10. The frequency–amplitude curves of ETFE tensile membrane structures reinforced by 1% GPLs with different aspect ratios under 1000 Pa harmonic excitation.
Figure 10. The frequency–amplitude curves of ETFE tensile membrane structures reinforced by 1% GPLs with different aspect ratios under 1000 Pa harmonic excitation.
Buildings 14 03597 g010
Table 1. Material properties of ETFE and graphene platelets (GPLs).
Table 1. Material properties of ETFE and graphene platelets (GPLs).
MaterialProperty
ETFEElastic modulusEm = 0.9 GPa
Poisson’s ratioνm = 0.305
Densityρm = 1700 kg/m3
Graphene plateletsElastic modulus (in-plane)E1 = E2 = 1010 GPa
Elastic modulus (out-of-plane)E3 = 101 TPa
Poisson’s ratioνGPL = 0.175
DensityρGPL = 2200 kg/m3
ThicknesstGPL = 5 × 10−8 m
DiameterDGPL = 8.1967 × 10−6 m
Table 2. Comparison of the first two resonance frequencies and associated resonance amplitudes of unreinforced and graphene-platelet-reinforced ETFE membranes.
Table 2. Comparison of the first two resonance frequencies and associated resonance amplitudes of unreinforced and graphene-platelet-reinforced ETFE membranes.
Weight Fraction of GPLs1st Resonance2nd Resonance
Frequency (Hz)Amplitude (m)Frequency (Hz)Amplitude (m)
0.0% (Unreinforced)5.45790.551526.6630.31051
0.1%5.69170.507016.94850.28545
0.2%5.93350.466417.24370.26259
0.3%6.18310.429417.54850.24176
0.4%6.44030.39577.86250.22278
0.5%6.70470.365018.18530.2055
0.6%6.97580.337118.51620.18979
0.7%7.2530.311768.85470.17551
0.8%7.53560.288749.19960.16256
0.9%7.82270.267879.55020.1508
1.0%8.11370.248949.90540.14014
Disclaimer/Publisher’s Note: The statements, opinions and data contained in all publications are solely those of the individual author(s) and contributor(s) and not of MDPI and/or the editor(s). MDPI and/or the editor(s) disclaim responsibility for any injury to people or property resulting from any ideas, methods, instructions or products referred to in the content.

Share and Cite

MDPI and ACS Style

Wang, Y.; Gu, J.; Zhang, X.; Fan, J.; Ji, W.; Feng, C. A Numerical Study of Dynamic Behaviors of Graphene-Platelet-Reinforced ETFE Tensile Membrane Structures Subjected to Harmonic Excitation. Buildings 2024, 14, 3597. https://doi.org/10.3390/buildings14113597

AMA Style

Wang Y, Gu J, Zhang X, Fan J, Ji W, Feng C. A Numerical Study of Dynamic Behaviors of Graphene-Platelet-Reinforced ETFE Tensile Membrane Structures Subjected to Harmonic Excitation. Buildings. 2024; 14(11):3597. https://doi.org/10.3390/buildings14113597

Chicago/Turabian Style

Wang, Yu, Jiajun Gu, Xin Zhang, Jian Fan, Wenbin Ji, and Chuang Feng. 2024. "A Numerical Study of Dynamic Behaviors of Graphene-Platelet-Reinforced ETFE Tensile Membrane Structures Subjected to Harmonic Excitation" Buildings 14, no. 11: 3597. https://doi.org/10.3390/buildings14113597

APA Style

Wang, Y., Gu, J., Zhang, X., Fan, J., Ji, W., & Feng, C. (2024). A Numerical Study of Dynamic Behaviors of Graphene-Platelet-Reinforced ETFE Tensile Membrane Structures Subjected to Harmonic Excitation. Buildings, 14(11), 3597. https://doi.org/10.3390/buildings14113597

Note that from the first issue of 2016, this journal uses article numbers instead of page numbers. See further details here.

Article Metrics

Back to TopTop