Study on Cubic Stiffness Nonlinear Energy Sink Controlling Dynamic Responses of Multi-Degree-of-Freedom Structure by Shake Table Tests
Abstract
1. Introduction
2. Test Introduction
2.1. Introduction of Multi-Degree-of-Freedom Structure Model
2.2. Model of NES Controlling Multi-Degree-of-Freedom Structure
2.3. Shake Table Tests of NES Controlling MDOF Structure
3. Results and Discussion
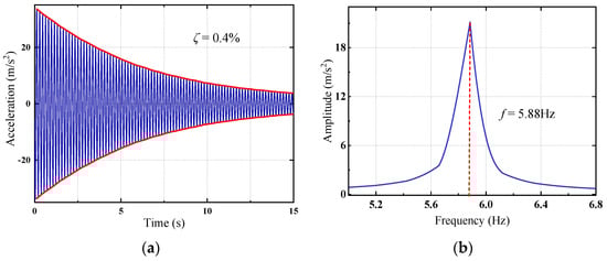
3.1. NES Mitigation Effects on Dynamic Responses of MDOF Structure Under White Noise Excitations
3.2. NES Mitigation Effects on the Dynamic Responses of the MDOF Structure Under Harmonic Excitations
3.3. NES Mitigation Effects on the Dynamic Responses of the MDOF Structure Under Seismic Excitations
4. Conclusions
Author Contributions
Funding
Data Availability Statement
Conflicts of Interest
References
- Housner, G.W.; Bergman, L.A.; Caughey, T.K.; Chassiakos, A.G.; Claus, R.O.; Masri, S.F.; Skelton, R.E.; Soong, T.T.; Spencer, B.F.; Yao, J.T.P. Structural Control: Past, Present, and Future. J. Eng. Mech. 1997, 123, 897–971. [Google Scholar] [CrossRef]
- Gutierrez Soto, M.; Adeli, H. Tuned Mass Dampers. Arch. Comput. Methods Eng. 2013, 20, 419–431. [Google Scholar] [CrossRef]
- Mahmoodi, P. Structural Dampers. J. Struct. Div. 1969, 95, 1661–1672. [Google Scholar] [CrossRef]
- Li, Q.S.; Zhi, L.-H.; Tuan, A.Y.; Kao, C.-S.; Su, S.-C.; Wu, C.-F. Dynamic Behavior of Taipei 101 Tower: Field Measurement and Numerical Analysis. J. Struct. Eng. 2011, 137, 143–155. [Google Scholar] [CrossRef]
- Lu, X.; Chen, J. Mitigation of wind-induced response of Shanghai Center Tower by tuned mass damper. Struct. Des. Tall Spec. Build. 2011, 20, 435–452. [Google Scholar] [CrossRef]
- Li, Q.; He, Y.; Zhou, K.; Han, X.; He, Y.; Shu, Z. Structural health monitoring for a 600 m high skyscraper. Struct. Des. Tall Spec. Build. 2018, 27, e1490. [Google Scholar] [CrossRef]
- Vakakis, A.F. Inducing Passive Nonlinear Energy Sinks in Vibrating Systems. J. Vib. Acoust. 2001, 123, 324–332. [Google Scholar] [CrossRef]
- Lee, Y.S.; Vakakis, A.F.; Bergman, L.A.; McFarland, D.M.; Kerschen, G.; Nucera, F.; Tsakirtzis, S.; Panagopoulos, P.N. Passive non-linear targeted energy transfer and its applications to vibration absorption: A review. Proc. Inst. Mech. Eng. Part K J. Multi-Body Dyn. 2008, 222, 77–134. [Google Scholar] [CrossRef]
- McFarland, D.M.; Kerschen, G.; Kowtko, J.J.; Lee, Y.S.; Bergman, L.A.; Vakakis, A.F. Experimental investigation of targeted energy transfers in strongly and nonlinearly coupled oscillators. J. Acoust. 2005, 118, 791–799. [Google Scholar] [CrossRef]
- Vakakis, A.F.; Bergman, L.A.; McFarland, D.M.; Gendelman, O.V.; Lee, G.K.Y.S. Nonlinear Targeted Energy Transfer in Mechanical and Structural Systems; Springer Science & Business Media: Berlin/Heidelberg, Germany, 2009. [Google Scholar]
- Gourdon, E.; Lamarque, C.H. Energy Pumping with Various Nonlinear Structures: Numerical Evidences. Nonlinear Dyn. 2005, 40, 281–307. [Google Scholar] [CrossRef]
- Nucera, F.; Lo Iacono, F.; McFarland, D.M.; Bergman, L.A.; Vakakis, A.F. Application of broadband nonlinear targeted energy transfers for seismic mitigation of a shear frame: Experimental results. J. Sound Vib. 2008, 313, 57–76. [Google Scholar] [CrossRef]
- Nucera, F.; McFarland, D.M.; Bergman, L.A.; Vakakis, A.F. Application of broadband nonlinear targeted energy transfers for seismic mitigation of a shear frame: Computational results. J. Sound Vib. 2010, 329, 2973–2994. [Google Scholar] [CrossRef]
- Vaurigaud, B.; Savadkoohi, A.T.; Lamarque, C.H. Efficient Targeted Energy Transfer with Parallel Nonlinear Energy Sinks: Theory and Experiments. J. Comput. Nonlinear Dyn. 2011, 6, 041005. [Google Scholar] [CrossRef]
- Wierschem, N.E.; Hubbard, S.A.; Luo, J.; Fahnestock, L.A.; Spencer, B.F.; Quinn, D.D.; McFarland, D.M.; Vakakis, A.F.; Bergman, L.A. Experimental blast testing of a large 9-story structure equipped with a system of nonlinear energy sinks. In Proceedings of the ASME 2013 International Design Engineering Technical Conferences and Computers and Information in Engineering Conference, Portland, OR, USA, 4–7 August 2013. [Google Scholar]
- Wierschem, N.E.; Hubbard, S.A.; Luo, J.; Fahnestock, L.A.; Spencer, B.F., Jr.; McFarland, D.M.; Quinn, D.D.; Vakakis, A.F.; Bergman, L.A. Response attenuation in a large-scale structure subjected to blast excitation utilizing a system of essentially nonlinear vibration absorbers. J. Sound Vib. 2017, 389, 52–72. [Google Scholar] [CrossRef]
- Luo, J.; Wierschem, N.E.; Hubbard, S.A.; Fahnestock, L.A.; Quinn, D.D.; McFarland, D.M.; Spencer, B.F.; Vakakis, A.F.; Bergman, L.A. Large-scale experimental evaluation and numerical simulation of a system of nonlinear energy sinks for seismic mitigation. J. Struct. Eng. 2014, 77, 34–48. [Google Scholar] [CrossRef]
- Wierschem, N.E.; Luo, J.; Al-Shudeifat, M.; Hubbard, S.; Ott, R.; Fahnestock, L.A.; Quinn, D.D.; McFarland, D.M.; Spencer, B.F.; Vakakis, A.; et al. Experimental Testing and Numerical Simulation of a Six-Story Structure Incorporating Two-Degree-of-Freedom Nonlinear Energy Sink. J. Struct. Eng. 2014, 140, 04014027. [Google Scholar] [CrossRef]
- Wang, J.J.; Wierschem, N.E.; Wang, B.; Spencer Jr, B.F. Multi-objective design and performance investigation of a high-rise building with track nonlinear energy sinks. Struct. Des. Tall Spec. Build. 2020, 29, e1692. [Google Scholar] [CrossRef]
- Wang, J.J.; Wierschem, N.; Spencer, B.F.; Lu, X. Experimental study of track nonlinear energy sinks for dynamic response reduction. Eng. Struct. 2015, 94, 9–15. [Google Scholar] [CrossRef]
- Wang, J.J.; Wang, B.; Liu, Z.B.; Zhang, C.; Li, H.B. Experimental and numerical studies of a novel asymmetric nonlinear mass damper for seismic response mitigation. Struct. Control Health Monit. 2020, 27, e2513. [Google Scholar] [CrossRef]
- Wang, J.J.; Zhang, C.; Li, H.; Liu, Z. Experimental and numerical studies of a novel track bistable nonlinear energy sink with improved energy robustness for structural response mitigation. Eng. Struct. 2021, 237, 112184. [Google Scholar] [CrossRef]
- Yang, H.X.; Li, Z.; Wang, H.B.; Zhang, M.H.; Ni, S.Y. Shaking table test study on seismic performance of RC frame structure with NES. Structures 2023, 47, 153–164. [Google Scholar] [CrossRef]
- Ndemanou, B.P.; Oumbé Tékam, G.T.; Kingni, S.T.; Nana Nbendjo, B.R. Energy sink outrigger control of a tall building under wind loads. Eng. Struct. 2023, 288, 116158. [Google Scholar] [CrossRef]
- Wang, Q.; Wu, H.; Qiao, H.; Yu, X.; Huang, P. Asymmetric and Cubic Nonlinear Energy Sink Inerters for Mitigating Wind-Induced Responses of High-Rise Buildings. Struct. Control Health Monit. 2023, 2023, 1150525. [Google Scholar] [CrossRef]
- ISO 5348:1998-05; Mechanical Vibration and Shock—Mechanical Mounting of Accelerometers. ISO: Geneva, Switzerland, 1998.





















| Mass Ratio | f1 (Hz) | f2 (Hz) | f3 (Hz) |
|---|---|---|---|
| 0.0 (no NES) | 5.88 | 18.75 | 31.50 |
| μ1 = 3.0% | 5.71 | 18.40 | 31.17 |
| μ2 = 4.5% | 5.64 | 18.26 | 30.90 |
| μ3 = 6.0% | 5.57 | 18.14 | 30.65 |
| Direction | Range of Displacement (mm) | Direction | Range of Acceleration (g) |
|---|---|---|---|
| X | (−185, 260) | X | (2, 2) |
| Y | (−200, 200) | Y | (−2, 2) |
| Z | (−111, 111) | Z | (−2, 2) |
| Number | Test Conditions | Mass Ratio | Stiffness | Frequency Ratios | Conditions of Control Device |
|---|---|---|---|---|---|
| 1 | Uncontrolled | -- | -- | -- | -- |
| 2 | NES | μ1 | -- | -- | Locked |
| 3 | NES–1 | μ1 | k1 | -- | Unlocked |
| 4 | NES–2 | μ1 | k2 | -- | Unlocked |
| 5 | NES | μ2 | -- | -- | Locked |
| 6 | NES–3 | μ2 | k1 | -- | Unlocked |
| 7 | NES–4 | μ2 | k2 | -- | Unlocked |
| 8 | NES | μ3 | -- | -- | Locked |
| 9 | NES–5 | μ3 | k1 | -- | Unlocked |
| 10 | NES–6 | μ3 | k2 | -- | Unlocked |
| 11 | TMD | μ2 | -- | -- | Locked |
| 12 | TMD | μ2 | -- | f | Unlocked |
Disclaimer/Publisher’s Note: The statements, opinions and data contained in all publications are solely those of the individual author(s) and contributor(s) and not of MDPI and/or the editor(s). MDPI and/or the editor(s) disclaim responsibility for any injury to people or property resulting from any ideas, methods, instructions or products referred to in the content. |
© 2024 by the authors. Licensee MDPI, Basel, Switzerland. This article is an open access article distributed under the terms and conditions of the Creative Commons Attribution (CC BY) license (https://creativecommons.org/licenses/by/4.0/).
Share and Cite
Wang, Q.; Yi, X.; Yang, D.; Tang, Y. Study on Cubic Stiffness Nonlinear Energy Sink Controlling Dynamic Responses of Multi-Degree-of-Freedom Structure by Shake Table Tests. Buildings 2024, 14, 3543. https://doi.org/10.3390/buildings14113543
Wang Q, Yi X, Yang D, Tang Y. Study on Cubic Stiffness Nonlinear Energy Sink Controlling Dynamic Responses of Multi-Degree-of-Freedom Structure by Shake Table Tests. Buildings. 2024; 14(11):3543. https://doi.org/10.3390/buildings14113543
Chicago/Turabian StyleWang, Qinhua, Xueshuang Yi, Dongxu Yang, and Yi Tang. 2024. "Study on Cubic Stiffness Nonlinear Energy Sink Controlling Dynamic Responses of Multi-Degree-of-Freedom Structure by Shake Table Tests" Buildings 14, no. 11: 3543. https://doi.org/10.3390/buildings14113543
APA StyleWang, Q., Yi, X., Yang, D., & Tang, Y. (2024). Study on Cubic Stiffness Nonlinear Energy Sink Controlling Dynamic Responses of Multi-Degree-of-Freedom Structure by Shake Table Tests. Buildings, 14(11), 3543. https://doi.org/10.3390/buildings14113543
