The Cost-Optimal Control of Building Air Conditioner Loads Based on Machine Learning: A Case Study of an Office Building in Nanjing
Abstract
1. Introduction
1.1. Background and Motivation
1.2. Literature Review
1.3. Contributions
2. Materials and Methods
2.1. Data Acquisition and Selection of Input Variables
2.2. Feature Selection
2.3. Hyperparameter Optimization
2.4. CatBoost Model Training
2.5. Load Adjustment Decision
3. Results and Analysis
3.1. Prediction Model
3.1.1. Data Source
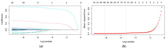
3.1.2. The Result of Feature Selection
3.1.3. The Result of Hyperparameter Optimization
3.1.4. Model Validation
3.2. Set Temperature Adjustment Analysis
4. Discussion
5. Conclusions
Author Contributions
Funding
Data Availability Statement
Conflicts of Interest
References
- IEA. Buildings; IEA: Paris, France, 2022; Available online: https://www.iea.org/reports/buildings (accessed on 1 July 2024).
- D’Ambrosio, D.; Schoenfisch, M. Electricity Sector; IEA: Paris, France, 2022; Available online: https://www.iea.org/reports/electricity (accessed on 1 July 2024).
- Wang, H.; Chen, Y.; Kang, J.; Ding, Z.; Zhu, H. An XGBoost-Based predictive control strategy for HVAC systems in providing day-ahead demand response. Build. Environ. 2023, 238, 110350. [Google Scholar] [CrossRef]
- Li, W.; Xu, P.; Lu, X.; Wang, H.; Pang, Z. Electricity demand response in China: Status, feasible market schemes and pilots. Energy 2016, 114, 981–994. [Google Scholar] [CrossRef]
- Vahid-Ghavidel, M.; Javadi, M.S.; Gough, M.; Santos, S.F.; Shafie-Khah, M.; Catalao, J.P. Demand Response Programs in Multi-Energy Systems: A Review. Energies 2020, 13, 4332. [Google Scholar] [CrossRef]
- Parrish, B.; Heptonstall, P.; Gross, R.; Sovacool, B.K. A systematic review of motivations, enablers and barriers for consumer engagement with residential demand response. Energy Policy 2020, 138, 111221. [Google Scholar] [CrossRef]
- Tyagi, V.V.; Chopra, K.; Kalidasan, B.; Chauhan, A.; Stritih, U.; Anand, S.; Pandey, A.K.; Sarı, A.; Kothari, R. Phase change material based advance solar thermal energy storage systems for building heating and cooling applications: A prospective research approach. Sustain. Energy Technol. Assess. 2021, 47, 101318. [Google Scholar] [CrossRef]
- Ghahary, K.; Abdollahi, A.; Rashidinejad, M.; Alizadeh, M.I. Optimal reserve market clearing considering uncertain demand response using information gap decision theory. Int. J. Electr. Power Energy Syst. 2018, 101, 213–222. [Google Scholar] [CrossRef]
- Guo, Z.; Pinson, P.; Chen, S.; Yang, Q.; Yang, Z. Chance-Constrained Peer-to-Peer Joint Energy and Reserve Market Considering Renewable Generation Uncertainty. IEEE Trans. Smart Grid 2020, 12, 798–809. [Google Scholar] [CrossRef]
- Mu, Y.; Zhang, Y.; Jia, H.; Yu, X.; Zhang, J.; Jin, X.; Deng, Y. Day-ahead optimal scheduling of building energy microgrids based on time-varying virtual energy storage. IET Renew. Power Gener. 2022, 17, 376–388. [Google Scholar] [CrossRef]
- Bu, Y.; Yu, H.; Ji, H.; Song, G.; Xu, J.; Li, J.; Zhao, J.; Li, P. Hybrid data-driven operation method for demand response of community integrated energy systems utilizing virtual and physical energy storage. Appl. Energy 2024, 366, 123295. [Google Scholar] [CrossRef]
- Ji, Y.; Xu, Q.; Luan, K.; Yang, B. Virtual energy storage model of air conditioning loads for providing regulation service. Energy Rep. 2020, 6 (Suppl. 2), 627–632. [Google Scholar] [CrossRef]
- Lu, N.; Zhang, Y. Design Considerations of a Centralized Load Controller Using Thermostatically Controlled Appliances for Continuous Regulation Reserves. IEEE Trans. Smart Grid 2013, 4, 914–921. [Google Scholar] [CrossRef]
- Cheng, M.; Sami, S.S.; Wu, J. Benefits of using virtual energy storage system for power system frequency response. Appl. Energy 2016, 194, 376–385. [Google Scholar] [CrossRef]
- Kaliyamoorthy, V.; Krishnasamy, V.; Kandasamy, N. Prediction of virtual energy storage capacity of the air-conditioner using a stochastic gradient descent based artificial neural network. Electr. Power Syst. Res. 2022, 208, 107879. [Google Scholar]
- Braun, J.E.; Lawrence, T.M.; Herrick, R.W.; Klaassen, C.J.; House, J.M. Demonstration of Load Shifting and Peak Load Reduction with Control of Building Thermal Mass. 1970. Available online: www.energytaxincentives.org (accessed on 8 July 2024).
- Bampoulas, A.; Saffari, M.; Pallonetto, F.; Mangina, E.; Finn, D.P. A fundamental unified framework to quantify and characterise energy flexibility of residential buildings with multiple electrical and thermal energy systems. Appl. Energy 2021, 282, 116096. [Google Scholar] [CrossRef]
- Beil, I.; Hiskens, I.; Backhaus, S. Frequency Regulation From Commercial Building HVAC Demand Response. Proc. IEEE 2016, 104, 1. [Google Scholar] [CrossRef]
- Vijayalakshmi, K.; Vijayakumar, K.; Nandhakumar, K. An ensemble learning model for estimating the virtual energy storage capacity of aggregated air-conditioners. J. Energy Storage 2023, 59, 106512. [Google Scholar] [CrossRef]
- Cao, J.; Zhao, W.; Song, J.; Peng, J.; Yin, R. Development of a dynamic demand response quantification and control framework for fan-coil air-conditioning systems based on prediction models. Appl. Therm. Eng. 2024, 239, 122098. [Google Scholar] [CrossRef]
- Cox, S.J.; Kim, D.; Cho, H.; Mago, P. Real time optimal control of district cooling system with thermal energy storage using neural networks. Appl. Energy 2019, 238, 466–480. [Google Scholar] [CrossRef]
- Hu, M.; Xiao, F.; Jørgensen, J.B.; Wang, S. Frequency control of air conditioners in response to real-time dynamic electricity prices in smart grids. Appl. Energy 2019, 242, 92–106. [Google Scholar] [CrossRef]
- Klein, K.; Herkel, S.; Henning, H.M.; Felsmann, C. Load shifting using the heating and cooling system of an office building: Quantitative potential evaluation for different flexibility and storage options. Appl. Energy 2017, 203, 917–937. [Google Scholar] [CrossRef]
- Hughes, J.T.; Domínguez-García, A.D.; Poolla, K. Identification of Virtual Battery Models for Flexible Loads. IEEE Trans. Power Syst. 2016, 31, 4660–4669. [Google Scholar] [CrossRef]
- Wang, C.; Wang, B.; Cui, M.; Wei, F. Cooling seasonal performance of inverter air conditioner using model prediction control for demand response. Energy Build. 2022, 256, 111708. [Google Scholar] [CrossRef]
- Krstić, H.; Teni, M. Review of Methods for Buildings Energy Performance Modelling. J. IOP Mater. Sci. Eng. 2017, 245, 042049. [Google Scholar] [CrossRef]
- Zhou, X.; Du, H.; Xue, S.; Ma, Z. Recent advances in data mining and machine learning for enhanced building energy management. Energy 2024, 307, 132636. [Google Scholar] [CrossRef]
- Antonopoulos, I.; Robu, V.; Couraud, B.; Kirli, D.; Norbu, S.; Kiprakis, A.; Flynn, D.; Elizondo-Gonzalez, S.; Wattam, S. Artificial intelligence and machine learning approaches to energy demand-side response: A systematic review. Renew. Sustain. Energy Rev. 2020, 130, 109899. [Google Scholar] [CrossRef]
- Joiner, I.A. Artificial intelligence: AI is nearby. In Emerging Library Technologies; Joiner, I.A., Ed.; Chandos Publishing: Oxford, UK, 2018; pp. 1–22. [Google Scholar]
- Kaplan, A.; Haenlein, M. Siri, Siri, in my hand: Who’s the fairest in the land? On the interpretations, illustrations, and implications of artificial intelligence. Bus. Horiz. 2019, 62, 15–25. [Google Scholar] [CrossRef]
- Gonzalez, P.A.; Zamarreno, J.M. Prediction of hourly energy consumption in buildings based on a feedback artificial neural network. Energy Build. 2005, 37, 595–601. [Google Scholar] [CrossRef]
- Kalogirou, S.A.; Bojic, M. Artificial neural networks for the prediction of the energy consumption of a passive solar building. Energy 2000, 25, 479–491. [Google Scholar] [CrossRef]
- Cabrera DF, M.; Zareipour, H. Data association mining for identifying lighting energy waste patterns in educational institutes. Energy Build. 2013, 62, 210–216. [Google Scholar] [CrossRef]
- Santamouris, M.; Mihalakakou, G.; Patargias, P.; Gaitani, N.; Sfakianaki, K.; Papaglastra, M.; Pavlou, C.; Doukas, P.; Primikiri, E.; Geros, V.; et al. Using intelligent clustering techniques to classify the energy performance of school buildings. Energy Build. 2007, 39, 45–51. [Google Scholar]
- Zeng, Y.; Zhang, Z.; Kusiak, A. Predictive modeling and optimization of a multi-zone HVAC system with data mining and firefly algorithms. Energy 2015, 86, 393–402. [Google Scholar] [CrossRef]
- Perera AT, D.; Kamalaruban, P. Applications of reinforcement learning in energy systems. Renew. Sustain. Energy Rev. 2021, 137, 110618. [Google Scholar] [CrossRef]
- Fan, B.; Du, Z.; Jin, X.; Yang, X.; Guo, Y. A hybrid FDD strategy for local system of AHU based on artificial neural network and wavelet analysis. Build. Environ. 2010, 45, 2698–2708. [Google Scholar] [CrossRef]
- Mulumba, T.; Afshari, A.; Yan, K.; Shen, W.; Norford, L.K. Robust model-based fault diagnosis for air handling units. Energy Build. 2015, 86, 698–707. [Google Scholar] [CrossRef]
- Namburu, S.M.; Azam, M.S.; Luo, J.; Choi, K.; Pattipati, K.R. Data-Driven Modeling, Fault Diagnosis and Optimal Sensor Selection for HVAC Chillers. IEEE Trans. Autom. Sci. Eng. 2007, 4, 469–473. [Google Scholar] [CrossRef]
- Yuan, J.; Xiao, Z.; Chen, X.; Lu, Z.; Li, J.; Gang, W. A Temperature & Humidity Setback Demand Response Strategy for HVAC Systems. Sustain. Cities Soc. 2021, 75, 103393. [Google Scholar]
- Yoon, A.Y.; Kim, Y.J.; Zakula, T.; Moon, S.I. Retail electricity pricing via online-learning of data-driven demand response of HVAC systems. Appl. Energy 2020, 265, 114771. [Google Scholar] [CrossRef]
- Zhou, D.; Balandat, M.; Tomlin, C. Residential demand response targeting using machine learning with observational data. In Proceedings of the 2016 IEEE 55th Conference on Decision and Control (CDC), Las Vegas, NV, USA, 12–14 December 2016. [Google Scholar]
- Zhou, D.; Balandat, M.; Tomlin, C. A Bayesian Perspective on Residential Demand Response Using Smart Meter Data. In Proceedings of the 2016 54th Annual Allerton Conference on Communication, Control, and Computing (Allerton), Monticello, IL, USA, 27–30 September 2016. [Google Scholar]
- Behl, M.; Smarra, F.; Mangharam, R. DR-Advisor: A data-driven demand response recommender system. Appl. Energy 2016, 170, 30–46. [Google Scholar] [CrossRef]
- Ben-Nakhi, A.E.; Mahmoud, M.A. Cooling load prediction for buildings using general regression neural networks. Energy Convers. Manag. 2004, 45, 2127–2141. [Google Scholar] [CrossRef]
- Bian, J.; Wang, J.; Yece, Q. A novel study on power consumption of an HVAC system using CatBoost and AdaBoost algorithms combined with the metaheuristic algorithms. Energy 2024, 302, 131841. [Google Scholar] [CrossRef]
- Kaligambe, A.; Fujita, G.; Keisuke, T. Estimation of Unmeasured Room Temperature, Relative Humidity, and CO2 Concentrations for a Smart Building Using Machine Learning and Exploratory Data Analysis. Energies 2022, 15, 4213. [Google Scholar] [CrossRef]
- Dorogush, A.V.; Ershov, V.; Gulin, A. CatBoost: Gradient boosting with categorical features support. arXiv 2018, arXiv:1810.11363. [Google Scholar]
- Kok, B.C.; Choi, J.S.; Oh, H.; Choi, J.Y. Sparse Extended Redundancy Analysis: Variable Selection via the Exclusive LASSO. Multivar. Behav. Res. 2021, 56, 426–446. [Google Scholar] [CrossRef] [PubMed]
- Akiba, T.; Sano, S.; Yanase, T.; Ohta, T.; Koyama, M. Optuna: A next-generation hyperparameter optimization framework. In Proceedings of the 25th ACM SIGKDD International Conference on Knowledge Discovery & Data Mining, Anchorage, AK, USA, 4–8 August 2019; pp. 2623–2631. [Google Scholar]
- Li, L.; Jamieson, K.; Desalvo, G.; Rostamizadeh, A.; Talwalkar, A. Hyperband: A novel bandit-based approach to hyperparameter optimization. J. Mach. Learn. Res. 2018, 18, 1–52. [Google Scholar]
- Langtry, M.; Wichitwechkarn, V.; Ward, R.; Zhuang, C.; Kreitmair, M.J.; Makasis, N.; Conti, Z.X.; Choudhary, R. Impact of data for forecasting on performance of model predictive control in buildings with smart energy storage. Energy Build. 2024, 320, 114605. [Google Scholar] [CrossRef]
- George, R. (ASHRAE Guideline Project Committe14P). ASHRAE GUIDELINE 14-2002 Measurement of Energy and Demand Savings; American Society of Heating, Refrigerating and Air-Conditioning Engineers: Atlanta, GA, USA, 2002; pp. 40–41. [Google Scholar]
- Nozarian, M.; Hajizadeh, A.; Fereidunian, A. A methodological review on management of building cluster meso energy hubs in accordance with the agile framework: Exploring flexibility upward the building-cluster-city hierarchy. Sustain. Energy Technol. Assess. 2024, 67, 103834. [Google Scholar] [CrossRef]
- Saleem, M.U.; Shakir, M.; Usman, M.R.; Bajwa, M.H.T.; Shabbir, N.; Shams Ghahfarokhi, P.; Daniel, K. Integrating smart energy management system with internet of things and cloud computing for efficient demand side management in smart grids. Energies 2023, 16, 4835. [Google Scholar] [CrossRef]















| Variable | Unit | Description | Range | Average | Median |
|---|---|---|---|---|---|
| X1: H | - | current hours | [7, 21] | 14.49 ± 3.85 | 15 |
| X2: Din | % | indoor relative humidity | [41.29, 71.29] | 57.28 ± 4.39 | 57.57 |
| X3: Min | people | indoor occupancy | [0, 111] | 66.23 ± 36.40 | 88 |
| X4: Tout | °C | outdoor temperature | [18.13, 35.1] | 28.98 ± 2.59 | 29.16 |
| X5: Dout | % | outdoor relative humidity | [28.18, 99.99] | 75.57 | 79.63 |
| X6: Vradial | m/s | radial wind speed | [−3.1, 99.99] | 0.71 ± 1.67 | 0.85 |
| X7: Vzonal | m/s | zonal wind speed | [−6.03, 5.92] | −0.45 ± 2.19 | −0.52 |
| X8: Rnet-solar | J/m2 | net solar radiation intensity | [0, 2,862,042] | 1,023,792 ± 808,399 | 904,292 |
| X9: Rtotal-solar | J/m2 | total solar radiation intensity | [−4, 3,439,454] | 1,223,246 ± 965,701 | 1,077,806 |
| X10: Tset | °C | set temperature | [17, 26.5] | 25.38 ± 1.02 | 26 |
| X11: P | kWh | power consumption | [0.00, 3.49] | 1.19 ± 0.70 | 1.07 |
| X12: Tin | °C | indoor temperature | [22.90, 34.50] | 27.33 ± 2.39 | 26.10 |
| Hyperparameter | Search Domain | Set Value |
|---|---|---|
| iterations | [100, 1000] | 880 |
| depth | [4, 10] | 10 |
| learning_rate | [0.01, 0.3] | 0.2949 |
| random_strength | [1 × 10−9, 10] | 0.0092 |
| bagging_temperature | [0.01, 100] | 0.0340 |
| l2_leaf_reg | [1 × 10−8, 10] | 1.0519 × 10−6 |
| Metrics | Scale-Dependent Metrics | Scale-Independent Metrics | ||
|---|---|---|---|---|
| MAE | RMSE | R2 | CV-RMSE | |
| Pre-HPO | 0.22 | 0.30 | 0.84 | 22.5% |
| After-HPO | 0.06 | 0.08 | 0.98 | 6.4% |
| Metrics | Scale-Dependent Metrics | Scale-Independent Metrics | ||
|---|---|---|---|---|
| MAE | RMSE | R2 | CV-RMSE | |
| Pre-HPO | 0.56 | 0.74 | 0.90 | 2.6% |
| After-HPO | 0.36 | 0.62 | 0.94 | 2.2% |
Disclaimer/Publisher’s Note: The statements, opinions and data contained in all publications are solely those of the individual author(s) and contributor(s) and not of MDPI and/or the editor(s). MDPI and/or the editor(s) disclaim responsibility for any injury to people or property resulting from any ideas, methods, instructions or products referred to in the content. |
© 2024 by the authors. Licensee MDPI, Basel, Switzerland. This article is an open access article distributed under the terms and conditions of the Creative Commons Attribution (CC BY) license (https://creativecommons.org/licenses/by/4.0/).
Share and Cite
Guo, Z.; Wang, X.; Wang, Y.; Zhu, F.; Zhou, H.; Zhang, M.; Wang, Y. The Cost-Optimal Control of Building Air Conditioner Loads Based on Machine Learning: A Case Study of an Office Building in Nanjing. Buildings 2024, 14, 3040. https://doi.org/10.3390/buildings14103040
Guo Z, Wang X, Wang Y, Zhu F, Zhou H, Zhang M, Wang Y. The Cost-Optimal Control of Building Air Conditioner Loads Based on Machine Learning: A Case Study of an Office Building in Nanjing. Buildings. 2024; 14(10):3040. https://doi.org/10.3390/buildings14103040
Chicago/Turabian StyleGuo, Zhenwei, Xinyu Wang, Yao Wang, Fenglei Zhu, Haizhu Zhou, Miao Zhang, and Yuxiang Wang. 2024. "The Cost-Optimal Control of Building Air Conditioner Loads Based on Machine Learning: A Case Study of an Office Building in Nanjing" Buildings 14, no. 10: 3040. https://doi.org/10.3390/buildings14103040
APA StyleGuo, Z., Wang, X., Wang, Y., Zhu, F., Zhou, H., Zhang, M., & Wang, Y. (2024). The Cost-Optimal Control of Building Air Conditioner Loads Based on Machine Learning: A Case Study of an Office Building in Nanjing. Buildings, 14(10), 3040. https://doi.org/10.3390/buildings14103040

