Elastic Local Buckling of I-Sections under Axial Compression Incorporating Web–Flange Interaction
Abstract
:1. Introduction
2. Theoretical Approach
3. Finite Element Analysis
3.1. Finite Element Modelling
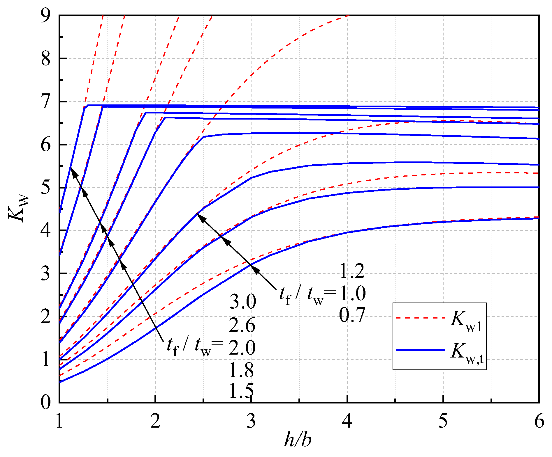
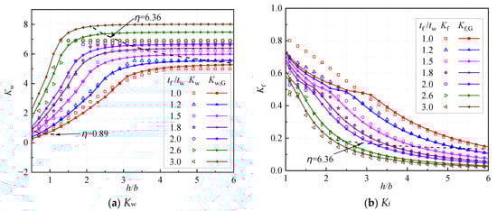
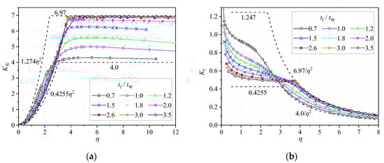
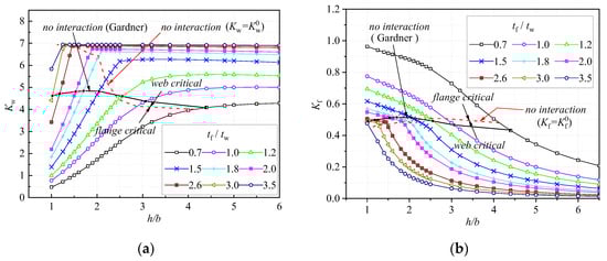
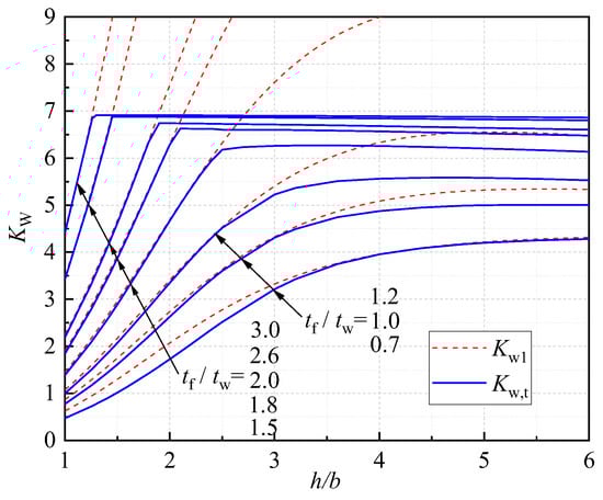
3.2. Results and Discussions
3.3. Buckling Mode
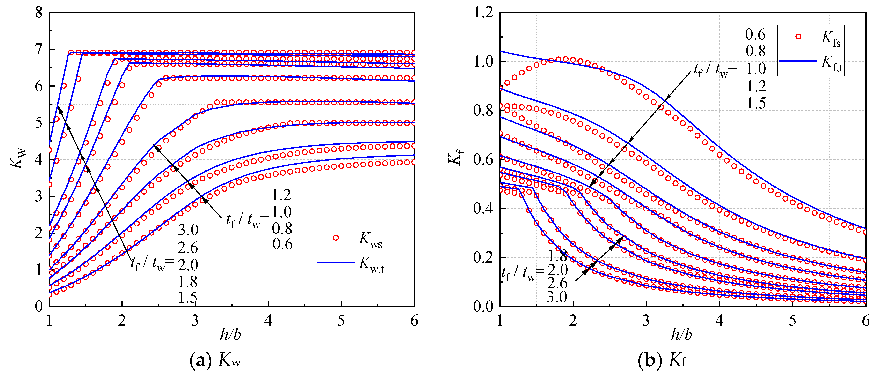
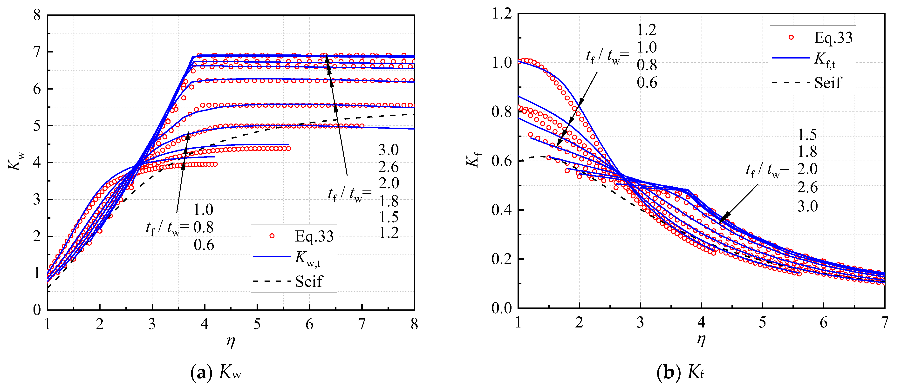
4. Simple Solution Development
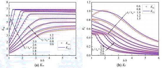
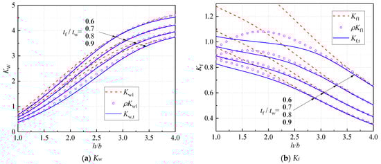
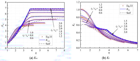
4.1. Energy Method
4.2. Compared with Existing Solutions
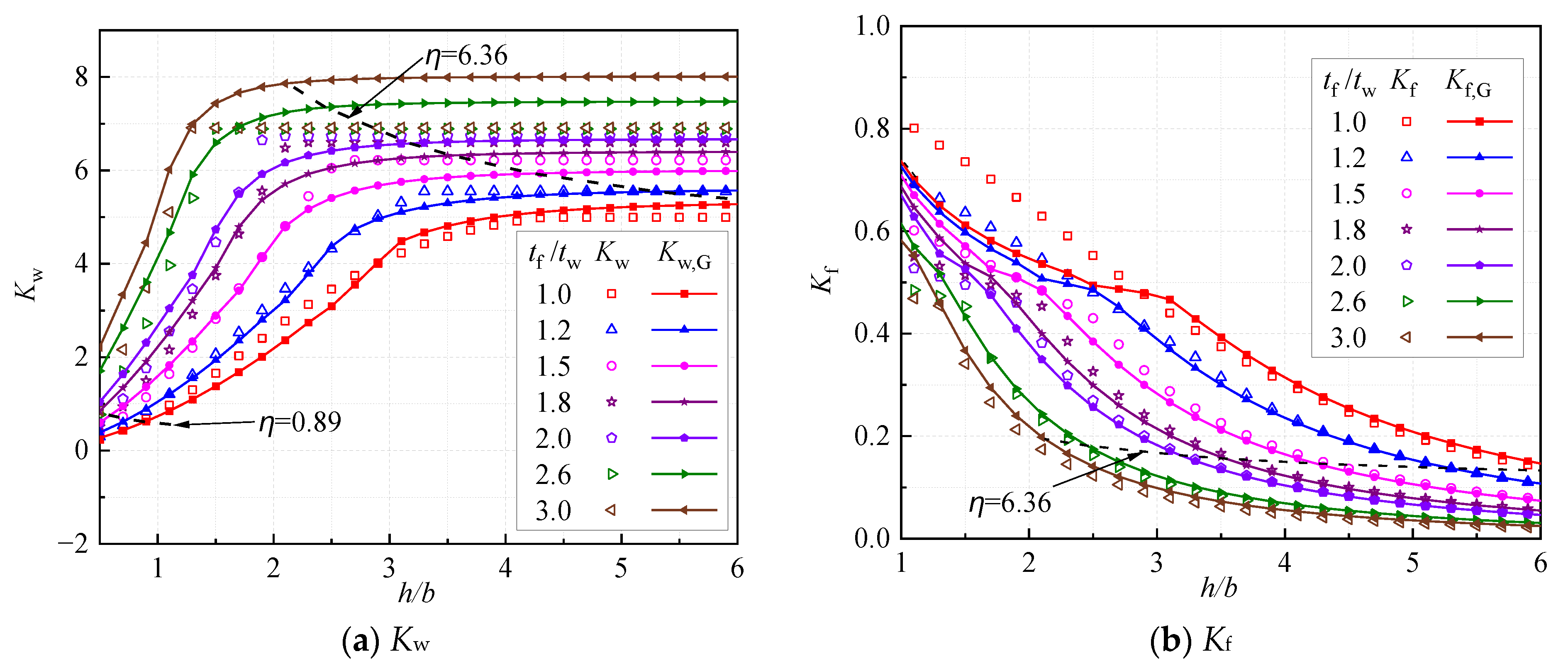
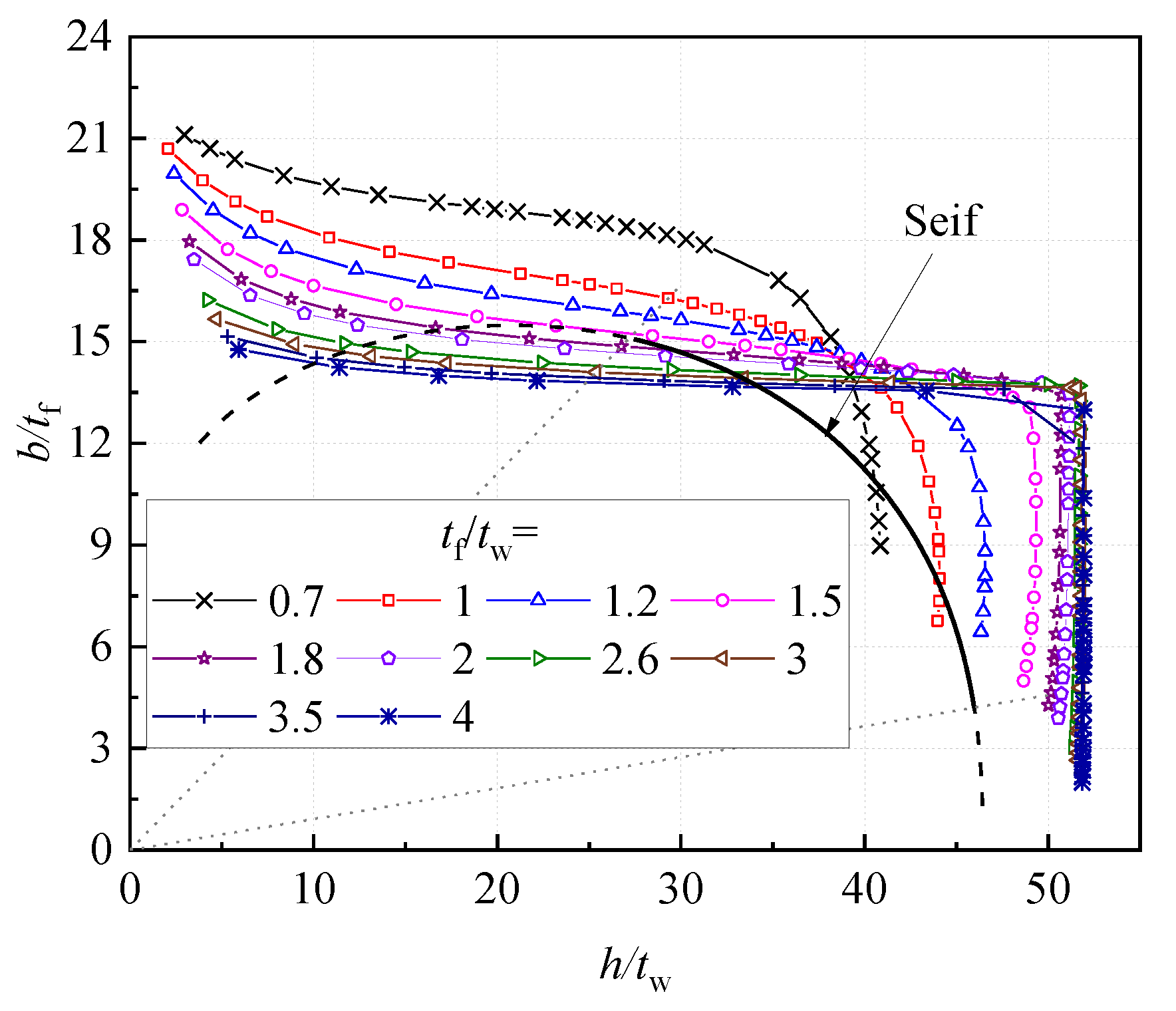
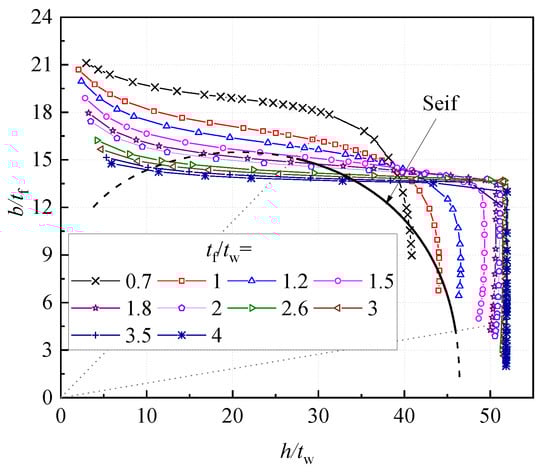
5. Width-to-Thickness Ratio Limit for I-Section Columns
5.1. Method for Determination of Limited Values
5.2. Revised Criteria for Limitation
5.3. Comparison with the Provisions of AISC and EC
5.4. Comparison with Existing Solutions in Literature
6. Conclusions
Author Contributions
Funding
Data Availability Statement
Conflicts of Interest
References
- GB50017-2017; Standard for Design of Steel Structures. China Architecture & Building Press: Beijing, China, 2017.
- American Institute of Steel Construction. Specification for Structural Steel Buildings (ANSI/AISC 360-16); American Institute of Steel Construction: Chicago, IL, USA, 2016. [Google Scholar]
- EN 1993-1-1; Eurocode 3: Design of Steel Structures—Part 1-1: General Rules and Rules for Buildings. European Committee for Standardization: Brussels, Belgium, 2005.
- Kroll, W.D.; Fisher, G.P.; Heimerl, G.J. Charts for Calculation of the Critical Stress for Local Instabilty of Columns with I-, Z-, Channel, and Rectangular-Tube Section; NACA: Washington, DC, USA, 1943. [Google Scholar]
- Lundquist, E.E.; Stowell, E.Z.; Schuette, E.H. Principles of Moment Distribution Applied to Stability of Structures Composed of Bars or Plates; NACA: Washington, DC, USA, 1943. [Google Scholar]
- Lundquist, E.E.; Stowell, E.Z. Critical Compressive Stress for Flat Rectangualr Plates Supported along All Edges and Elastically Restrained against Rotation along the Unloaded Edges; NACA: Washington, DC, USA, 1942. [Google Scholar]
- Lundquist, E.E.; Stowell, E.Z. Critical Compressive Stress for Outstanding Flanges; NACA: Washington, DC, USA, 1942. [Google Scholar]
- Bedair, O. Stability of web plates in W-shape columns accounting for flange/web interaction. Thin Wall. Struct. 2009, 47, 768–775. [Google Scholar] [CrossRef]
- Peng, G. The Research on Local Buckling of Thin-Walled Section. Master’s Thesis, Zhejiang University, Hangzhou, China, 2012. [Google Scholar]
- Seif, M.; Schafer, B.W. Local buckling of structural steel shapes. J. Constr. Steel Res. 2010, 66, 1232–1247. [Google Scholar] [CrossRef]
- Gardner, L.; Fieber, A.; Macorini, L. Formulae for Calculating Elastic Local Buckling Stresses of Full Structural Cross-sections. Structures 2019, 17, 2–20. [Google Scholar] [CrossRef]
- Fieber, A.; Gardner, L.; Macorini, L. Formulae for determining elastic local buckling half-wavelengths of structural steel cross-sections. J. Constr. Steel Res. 2019, 159, 493–506. [Google Scholar] [CrossRef]
- Jin, Y.; Tong, G. Elastic Buckling of Web Restrained by Flanges in I-section members. J. Zhejiang Univ. (Eng. Sci.) 2009, 43, 1883–1891. [Google Scholar]
- Vieira, L.; Gonçalves, R.; Camotim, D. On the local buckling of RHS members under axial force and biaxial bending. Thin Wall. Struct. 2018, 129, 10–19. [Google Scholar] [CrossRef]
- Ragheb, W.F. Local buckling of welded steel I-beams considering flange-web interaction. Thin Wall. Struct. 2015, 97, 241–249. [Google Scholar] [CrossRef]
- Johnson, D.L. An Investigation into the Interaction of Flanges and Webs in Wide-Flange Shapes. In Proceedings of the Annual Technical Session and Meeting, Cleveland, OH, USA, 16–17 April 1985; pp. 395–405. [Google Scholar]
- Kroll, W.D. Tables of Stiffness and Carry-Over Factor for Flat Rectangular Plates under Compression; NACA: Washington, DC, USA, 1943. [Google Scholar]
- Timoshenko, S.P.; Gere, J.M. Theory of Elastic Stability, 2nd ed.; McGraw-Hill: New York, NY, USA, 1961. [Google Scholar]
- EN 1993-1-5; Eurocode 3: Design of Steel Structures—Part 1-5: Plated Structrual Elements. European Committee for Standardization: Brussels, Belgium, 2006.

















| 0.7 | 1 | 1.2 | 1.5 | 1.8 | 2 | 2.6 | 3 | 3.5 | 4 | |
|---|---|---|---|---|---|---|---|---|---|---|
| 1.25 | 0.72 a | 1.164 a | 1.498 a | 2.085 a | 2.784 a | 3.313 a | 5.214 a | 6.743 a | 6.936 a | 6.947 a |
| 0.719 b | 1.163 b | 1.497 b | 2.083 b | 2.781 b | 3.311 b | 5.211 b | 6.739 b | 6.833 b | 6.85 b | |
| 1.5 | 1.015 a | 1.615 a | 2.074 a | 2.89 a | 3.871 a | 4.619 a | 6.88 a | 6.913 a | 6.935 a | 6.947 a |
| 1.015 b | 1.615 b | 2.075 b | 2.892 b | 3.874 b | 4.623 b | 6.831 b | 6.867 b | 6.895 b | 6.911 b | |
| 1.8 | 1.425 a | 2.213 a | 2.83 a | 3.947 a | 5.308 a | 6.35 a | 6.877 a | 6.911 a | 6.934 a | 6.946 a |
| 1.425 b | 2.213 b | 2.828 b | 3.945 b | 5.307 b | 6.346 b | 6.839 b | 6.878 b | 6.905 b | 6.921 b | |
| 2 | 1.726 a | 2.628 a | 3.348 a | 4.667 a | 6.285 a | 6.74 a | 6.875 a | 6.91 a | 6.933 a | 6.946 a |
| 1.726 b | 2.623 b | 3.34 b | 4.656 b | 6.262 b | 6.702 b | 6.844 b | 6.882 b | 6.909 b | 6.925 b | |
| 2.2 | 2.041 a | 3.038 a | 3.851 a | 5.354 a | 6.625 a | 6.735 a | 6.872 a | 6.908 a | 6.932 a | 6.945 a |
| 2.041 b | 3.025 b | 3.83 b | 5.325 b | 6.592 b | 6.703 b | 6.846 b | 6.885 b | 6.912 b | 6.927 b | |
| 2.5 | 2.517 a | 3.603 a | 4.517 a | 6.179 a | 6.604 a | 6.727 a | 6.868 a | 6.905 a | 6.931 a | 6.944 a |
| 2.516 b | 3.599 b | 4.509 b | 6.161 b | 6.591 b | 6.702 b | 6.847 b | 6.887 b | 6.915 b | 6.93 b | |
| 3 | 3.213 a | 4.309 a | 5.227 a | 6.261 a | 6.604 a | 6.713 a | 6.86 a | 6.9 a | 6.927 a | 6.942 a |
| 3.209 b | 4.3 b | 5.213 b | 6.239 b | 6.584 b | 6.694 b | 6.845 b | 6.886 b | 6.916 b | 6.932 b | |
| 3.6 | 3.749 a | 4.744 a | 5.51 a | 6.269 a | 6.583 a | 6.694 a | 6.85 a | 6.893 a | 6.923 a | 6.939 a |
| 3.741 b | 4.733 b | 5.495 b | 6.252 b | 6.568 b | 6.68 b | 6.839 b | 6.883 b | 6.915 b | 6.931 b | |
| 4 | 3.955 a | 4.874 a | 5.563 a | 6.258 a | 6.567 a | 6.68 a | 6.843 a | 6.888 a | 6.92 a | 6.937 a |
| 3.945 b | 4.862 b | 5.549 b | 6.243 b | 6.554 b | 6.668 b | 6.833 b | 6.88 b | 6.913 b | 6.93 b | |
| 4.4 | 4.085 a | 4.948 a | 5.583 a | 6.24 a | 6.55 a | 6.665 a | 6.835 a | 6.883 a | 6.916 a | 6.935 a |
| 4.075 b | 4.936 b | 5.569 b | 6.227 b | 6.539 b | 6.656 b | 6.827 b | 6.876 b | 6.911 b | 6.929 b | |
| 5 | 4.199 a | 4.998 a | 5.579 a | 6.205 a | 6.524 a | 6.643 a | 6.823 a | 6.876 a | 6.911 a | 6.932 a |
| 4.189 b | 4.987 b | 5.567 b | 6.193 b | 6.515 b | 6.636 b | 6.817 b | 6.869 b | 6.907 b | 6.927 b | |
| 5.5 | 4.251 a | 5.008 a | 5.559 a | 6.171 a | 6.501 a | 6.623 a | 6.813 a | 6.869 a | 6.907 a | 6.928 a |
| 4.241 b | 4.997 b | 5.549 b | 6.161 b | 6.493 b | 6.619 b | 6.809 b | 6.863 b | 6.903 b | 6.925 b | |
| 6 | 4.281 a | 5.003 a | 5.53 a | 6.136 a | 6.478 a | 6.603 a | 6.803 a | 6.862 a | 6.902 a | 6.925 a |
| 4.271 b | 4.992 b | 5.52 b | 6.126 b | 6.471 b | 6.6 b | 6.799 b | 6.857 b | 6.9 b | 6.922 b | |
| , | |||
![]() Isometric view Front view Side view | |||
| Side view | |||
![]() | ![]() | ![]() | |
![]() | ![]() | ![]() | |
![]() | ![]() | ![]() | |
![]() | ![]() | ![]() | |
| Class | ||||
|---|---|---|---|---|
| S1 | S2 | S3 | S4 | |
| 28 | 34 | 39 | 45 | |
| 10 | 12 | 14 | 16 | |
| Code | Section | Elements | in Design Code | Used in Design Codes | Used in This Paper |
|---|---|---|---|---|---|
| AISC [2] | rolled I-shaped sections | flange | 0.7 [10] | 0.7 | |
| web | 0.7 [10] | 0.7 | |||
| built-up I-shaped sections | flange | 0.673 [10] | 0.7 | ||
| web | 0.7 [10] | 0.7 | |||
| EC3 (Class 3) | flange | [3] | 0.748 [19] | 0.673 | |
| web | [3] | 0.673 [19] | 0.673 | ||
Disclaimer/Publisher’s Note: The statements, opinions and data contained in all publications are solely those of the individual author(s) and contributor(s) and not of MDPI and/or the editor(s). MDPI and/or the editor(s) disclaim responsibility for any injury to people or property resulting from any ideas, methods, instructions or products referred to in the content. |
© 2023 by the authors. Licensee MDPI, Basel, Switzerland. This article is an open access article distributed under the terms and conditions of the Creative Commons Attribution (CC BY) license (https://creativecommons.org/licenses/by/4.0/).
Share and Cite
Zhang, Q.; Zhang, L.; Zhang, Y.; Liu, Y.; Zhou, J. Elastic Local Buckling of I-Sections under Axial Compression Incorporating Web–Flange Interaction. Buildings 2023, 13, 1912. https://doi.org/10.3390/buildings13081912
Zhang Q, Zhang L, Zhang Y, Liu Y, Zhou J. Elastic Local Buckling of I-Sections under Axial Compression Incorporating Web–Flange Interaction. Buildings. 2023; 13(8):1912. https://doi.org/10.3390/buildings13081912
Chicago/Turabian StyleZhang, Qianjing, Lei Zhang, Yujia Zhang, Yufei Liu, and Jia Zhou. 2023. "Elastic Local Buckling of I-Sections under Axial Compression Incorporating Web–Flange Interaction" Buildings 13, no. 8: 1912. https://doi.org/10.3390/buildings13081912
APA StyleZhang, Q., Zhang, L., Zhang, Y., Liu, Y., & Zhou, J. (2023). Elastic Local Buckling of I-Sections under Axial Compression Incorporating Web–Flange Interaction. Buildings, 13(8), 1912. https://doi.org/10.3390/buildings13081912














