Abstract
The ability to manipulate concrete-based and composite materials at the nanoscale represents an innovative approach to improving their mechanical properties and designing high-performance building structures. In this context, a numerical investigation of the reinforcing effect of nano-modified epoxy resin on the structural response of fiber-reinforced polymer (FRP)-plated reinforced concrete (RC) components has been proposed. In detail, an integrated model, based on a cohesive crack approach, is employed in combination with a bond–slip model to perform a failure analysis of strengthened structures. In particular, the proposed model consists of cohesive elements located on the physical interface between concrete and FRP systems equipped with an appropriate bond–slip law able to describe the reinforcing effect induced by the incorporation of nanomaterials in the bonding epoxy resin. Preliminary analyses, performed on reinforced concrete prisms, highlight an increment of 28% in the bond strength between concrete and the FRP system, offered by the nanomaterials embedded in the adhesive layer with respect to the standard one. Moreover, the numerically predicted structural response of a nano-modified FRP-plated beam shows an increment of around 5.5% in the failure load and a reduction in the slip between concrete and the FRP plate of around 76%, with respect to the reinforced beam without nanomaterial incorporation. Finally, the good agreement with experimental results, taken from the literature, highlights the excellent capability of the proposed model to simulate the mechanical behavior of such types of reinforced structures, emphasizing the beneficial effects of the nano-enhanced epoxy resin on the bond strength between concrete and FRP systems.
1. Introduction
It is widely known that extreme loading conditions caused by exceptional events can prematurely deteriorate structures, making them unsafe and unable to reach the end of their design life. However, replacing these structures before their design life ends is very costly, and, therefore, in the last three decades, rehabilitation techniques for existing structures through the employment of advanced and innovative materials (i.e., nano- and micro-reinforced composites [1,2,3] and advanced bioinspired metamaterials for elastic wave attenuation [4,5,6,7,8,9]) are becoming the most common choice to extend their service life, enhancing their original design properties and minimizing the effect of unexpected exceptional events such as earthquakes, flooding, or heavy blasts. For instance, concerning reinforced concrete (RC) structures, the most practiced strengthening techniques involve the application of external reinforcements such as steel or composite plates, carbon fiber sheets and strips, epoxy resin injection, and concrete or steel jacketing [10,11].
Fiber-reinforced polymer materials (FRP) are highly effective for reinforcement applications due to their excellent properties [12] (high stiffness, strength-to-weight ratio, corrosion resistance, minimal geometry change, low thermal transmissibility, and easy application). Although FRP strengthening has made significant progress in the last few years, several issues remain, related to their long-term performance, and thus it is still strongly necessary to resolve the critical concerns related to this strengthening technique so as to reduce the risk of compromising the rehabilitation of existing structures. In general, it is widely known that for any structural system, the effectiveness of the strengthening is strictly related to the failure mode. In the case of FRP-strengthened RC structures, the most common failure modes are concrete crushing, flexural or shear failure with yielded steel, FRP rupture, or FRP debonding [13]. The latter, frequently considered the most important [14], can be classified [15] as intermediate shear- or flexural-induced debonding (related to the onset of intermediate cracks in high-tension regions, which propagate towards the strengthening end), plate end interfacial debonding [16,17] (related to the low adhesive bond strength of the adhesive layer at the concrete–FRP interface), and concrete cover separation [18] (related to adhesive interface layer bond strength significantly higher than concrete tensile strength). Moreover, in the literature, experimental and numerical works investigate the effects of the thickness or the elastic modulus of the FRP plate on the efficiency of the FRP plate bonding [19] and propose an analytical approach to determine the excessive deformation induced by the shear crack propagation [20], also providing retrofitting techniques based on the near-surface-mounted (NSM) carbon fiber-reinforced rod method, as reported in [21].
Many research works have demonstrated that the bond behavior at the interface between the reinforcement and the concrete is strongly affected by many factors, such as the surface roughness of the concrete, concrete and FRP strength, and FRP length and width, together with the mechanical behavior of the employed adhesive [22,23,24,25]. It is therefore easily deducible from the above that the effectiveness of the FRP strengthening is strictly influenced by the bond behavior of the FRP composite and the concrete elements, and, for this reason, in the past few years, huge efforts have been devoted by researchers to improving the reliability of the adhesive bond. The most common strategies are the application of U-jacket sheets or sheets, the employment of the near-surface-mounting technique or new hybrid bonding systems [26], the adoption of mechanically fastened FRP to increase the interlocking effect [27], or, as proposed by Yuan et al. [28], the application of epoxy resin to fill pre-drilled holes in the concrete before bonding to the FRP sheet. Recently, thanks to the increasing interest in new reinforcement technologies based on the incorporation of nanofillers, enhanced mechanical properties have been obtained for concrete, composites, and metals [29,30,31], but also for resins [32], commonly used as FRP adhesives for the application of FRP on concrete structures. Therefore, recent works have demonstrated that the addition of carbon nanotubes (CNTs) into the epoxy resin leads to an enhancement in its flexural and tensile strength, together with its fracture toughness [33,34,35], and therefore the mechanical performance of the FRP–concrete bond, thus enhancing the effectiveness of the strengthening structural system. For instance, Rousakis et al. [36] investigated the effects of the addition of multi-walled carbon nanotubes (MWCNTs) in epoxy resins, showing that the addition of a small amount of nanotubes significantly enhances the mechanical properties of epoxy resins, and, specifically, as compared to a column with non-reinforced epoxy, a specimen with an MWCNT-reinforced polymer showed a 7.5% higher bearing load. Li et al. [37] highlighted that the addition of nano-silica powder in the epoxy binder greatly improves its workability, ductility, and strength and that enhanced bonding between FRP and concrete can be achieved by employing a nano-modified FRP glue. Irshidat et al. [38] investigated the effect of carbon nanotube addition in epoxy resin adhesives in retrofitted beams, highlighting stiffness and ultimate load increases, with an improvement in the mechanical performance strongly related to the percentage of nanofiller dispersion. In addition, Irshidat et al. [39] demonstrated the mechanical behavior improvement, in terms of load-carrying capacity and toughness, of RC columns confined with FRP bonded through a nano-modified epoxy adhesive. Their electron microscopy (SEM) characterization highlighted improved adhesion between the carbon fiber and epoxy, as well as concrete and epoxy, thereby enhancing the load transfer and load-carrying capabilities of the epoxy adhesive. However, despite the above-mentioned experimental studies examining the bonding behavior between concrete and FRP composites using nano-modified epoxy adhesives, to the best of the authors’ knowledge, the nanofiller addition effect in epoxy resins has not been extensively investigated from the numerical point of view. Indeed, from a computational point of view, the attention is mainly focused on the numerical simulation of simple laboratory-scale nano-enhanced concrete elements, without considering accurately the additional strengthening effect of steel reinforcing bars or externally bonded FRP plates required for real-life engineering applications, and a computational framework able to accurately predict all the potential damage mechanisms in nano-enhanced FRP-plated RC structures under both ultimate and service loading conditions seems to still be missing.
Therefore, the aim of this research is to investigate, from the numerical point of view, the mechanical behavior improvement of RC beams strengthened by FRP composites externally bonded at the concrete surface by means of a nano-enhanced epoxy resin adhesive. Specifically, to investigate the failure of FRP-strengthened concrete structures, an integrated numerical model based on a cohesive approach is combined with a particular bond–slip model consisting of cohesive elements placed at the FRP–concrete interface, characterized by a modified bond–slip law able to take into account the effect of the nano reinforcement inside the epoxy resin. Based on the work of Irshidat et al. [40], preliminary numerical analyses are performed on FRP-strengthened concrete prisms to calibrate the cohesive parameters identifying the mechanical behavior of the epoxy resin nano-reinforced through the addition of CNTs. Afterward, the numerically predicted structural response of nano-enhanced FRP-plated RC beams is investigated in terms of load-carrying capacity, crack pattern evolution, and failure mode. Finally, suitable comparisons with experimental results, taken from the literature, are performed, in terms of the loading curve and failure modes of FRP-plated reinforced concrete elements.
2. Numerical Modeling of RC Structures Strengthened with Nano-Modified FRP Sheets
In this section, the numerical model proposed to simulate the mechanical behavior of strengthened RC structural elements is briefly explained. In particular, it consists of three sub-models: (i) a diffuse interface model, illustrated in Section 2.1 and based on a cohesive crack approach for predicting damage phenomena in the concrete phase; (ii) an embedded truss model, reported in Section 2.2, able to simulate the reinforcing effect of rebars and their interaction with the concrete phase, and (iii) a new cohesive bond–slip model, explained in Section 2.3, for describing the mechanical behavior of nano-modified FRP reinforcement elements.
2.1. Concrete Modeling
The concrete modeling is based on a cohesive/volumetric FE approach, already presented by the authors in [41,42,43], according to which nonlinear cohesive interface elements are diffusely inserted between linearly elastic bulk elements. The main constitutive equations adopted for the volumetric stresses and the cohesive tractions acting in the bulk and interface elements, respectively, can be summarized in the following forms:
where and are the fourth-order elasticity tensor and the linear strain operator, while is the approximated displacement field. The nonlinear constitutive behavior of the cohesive interfaces is expressed by the isotropic damage cohesive law, reported in the second row of Equation (1), relating the cohesive traction to the displacement jump between the crack faces, noted as , by the second-order constitutive tensor . The scalar damage variable possesses the following linear-exponential evolution law:
that involves the effective displacement jump , with and being the normal and tangential components of the displacement jump vector . The superscript refers to the maximum value recorded over the entire deformation history attained by the considered quantity; and are the effective displacement jumps at damage onset and total decohesion, respectively; and the symbol is a dimensionless material parameter influencing the rate of damage evolution and set equal to 5 for quasi-brittle materials [44]. A schematic representation of the cohesive crack model with related notations and the adopted cohesive law is reported in Figure 1.
Figure 1.
Schematic representation of the cohesive/volumetric FE approach together with the adopted traction–separation law for the cohesive interface elements.
The expressions of and (not reported for the sake of brevity, but available in [41]) are obtained by the following mixed-mode crack initiation and propagation criteria:
where and are the normal and tangential material strengths, respectively, while and are the mode-I and -II energy release rate components, respectively, with the subscript denoting the critical values of the considered quantities. It is worth noting that the initial stiffness of cohesive elements plays an important role as a penalty parameter (without having a precise physical meaning) and must be suitably set to enforce the inter-element continuity. To avoid artificial compliance effects induced by the undamaged interfaces, moving mesh techniques could be adopted, as reported in [45,46,47]. However, in this work, the stiffness parameters have been calibrated by a micromechanics-based calibration criterion proposed by the authors in [41], which involves dimensionless parameters and obtained by an elastic homogenization procedure, leading to the following relationship:
where is the Young’s modulus of the material or for plane stress or plane strain conditions, while is the average size of the computational mesh.
2.2. Steel Reinforcement Modeling
The rebars are modeled by the embedded truss model, proposed by the authors in [48,49], according to which 1D two-node truss elements are connected to the concrete elements by zero-thickness interface elements equipped with an available bond–slip law, in order to simulate the yielding behavior and the interaction between the rebars and concrete. In particular, the truss element behavior is described by a classical elastoplastic relationship having linear hardening whose tangent plastic modulus is set equal to one hundred times smaller than the elastic one. The bond behavior at the rebar–concrete interface is described by the popular bond–slip law contained in the CEB-FIP Model Code [50] for concrete structures valid for ribbed bars and good bond conditions, thus relating the tangential stresses and the slip displacements occurring between concrete and rebar elements. In the perpendicular direction to the rebars, a perfect constraint is imposed in the overlapped nodes of the two different meshes (i.e., concrete and rebar mesh), thus allowing only tangential displacements (slip). This type of model is very important in the numerical analysis of reinforced concrete structures because it avoids artificial crack arrest phenomena during crack propagation in correspondence with the rebars and stirrups, thus allowing the tension stiffening to be properly captured.
2.3. Nano-Modified FRP Reinforcement Modeling
In this work, the modeling strategy adopted for the nano-modified FRP reinforcement system is based on a cohesive interface approach that takes into account the reinforcing effect of the nanomaterials by adopting bond–slip relations suitably calibrated from experimental results. In particular, the reinforcement system, consisting of the adhesive and FRP sheets, is modeled by four-node quadrilateral finite elements with a linearly elastic behavior, while the physical interface between concrete and FRP is modeled by zero-thickness cohesive elements equipped with a bond–slip law. From a computational point of view, the reinforcing effect provided by the nanomaterials embedded in the epoxy resin has been taken into account by increasing the fracture energy and tangential critical stress of the adopted bond–slip law. As a matter of fact, nano-modified materials, such as nano-reinforced concrete and composites, provide greater strength and fracture toughness than the corresponding unmodified materials [40,51,52].
Here, a trapezoidal bond–slip law, proposed by [53] to investigate ductile adhesives in laminate structures, has been modified and employed to describe the bond behavior between the concrete and nano-enhanced FRP system. It is expressed as
where is the maximum tangential strength, while and are the relative slip identifying the length of the plateau branch. The complete detachment of the reinforcement system occurs at the final slip where the tangential stress drops to zero. The values of these parameters have been chosen to better fit the results of a standard shear test. Moreover, similarly to what was proposed by [53], relationships between the bond–slip parameters and the material properties of the nano-modified adhesive can be proposed. In particular, the parameter, coinciding with the onset of the plateau branch, results in a very small value and is unchanging with the mechanical properties of the adhesive, and it is set equal to . On the other hand, the slips and strongly depend on the fracture energy of the materials, and, as reported in [53], can be computed as and , respectively. It follows that the shear strength at the concrete–FRP interface immediately reaches its critical values, remaining mainly constant up to the complete separation. The maximum tangential stress and fracture energy will be suitably calibrated by fitting the available experimental results (see Section 3.1 of the paper). Such a bond–slip law is also employed for standard adhesives without the incorporation of nanomaterials, showing a smaller plateau length due to the lower value of the fracture energy with respect to the nano-modified epoxy resin. The cohesive elements inserted along the physical interface are also able to predict potential normal separations, through the same cohesive law reported in Equation (5), but as a function of the normal displacement jump occurring along the interface. Moreover, both tangential and normal cohesive laws consider unloading to the origin. Numerical details, including the adopted cohesive law, are reported in Figure 2.
Figure 2.
Computational details of the proposed normal/tangential cohesive model together with the adopted bond–slip law.
3. Calibration of the Bond–Slip Law for the FRP–Concrete Interface Elements
A double lap shear test, experimentally analyzed by [40], has been simulated to calibrate the bond parameters required by the bond–slip law of the cohesive elements inserted along the interface between the concrete and nano-modified FRP plate. The geometry and boundary conditions of the tested specimen are depicted in Figure 3a. In particular, as reported in the experimental work [40], concrete blocks were cast into special wooden forms, and then the concrete surfaces were roughened using a diamond grinding disk and cleaned using a vacuum cleaner. After this, the fiber sheets were cut to the desired sizes and were bonded to the two opposite sides of a 150-mm-thick concrete prism using either neat or CNT-modified epoxy resin. The bonding length of the FRP sheet was 100 mm, leaving a length of 25 mm from the top edge of the prism un-bonded. The concrete Young’s modulus and its compressive strength were equal to 30 GPa and 34 MPa, respectively, as reported in the reference experimental work [40]. The reinforcement system consists of an FRP sheet with a thickness of 1 mm. Two types of FRP have been employed: the first one is based on carbon fibers, while the second one is based on glass fibers, with an elastic modulus of 230 GPa and 73 GPa, respectively, and tensile strength of 4900 MPa and 3400 MPa, respectively, as reported in the reference experimental work [40]. These FRP sheets are bonded on the concrete prisms by neat or nano-modified epoxy resin, adopting a concentration of CNTs in the nano-modified epoxy equal to 3.4 wt%.
Figure 3.
Simulated double lap shear test: (a) geometry and boundary condition; (b) finite element discretization (b).
An unstructured mesh is employed to discretize both the concrete prism and the circular steel support where the load is applied, while a mapped mesh is used for the FRP sheet (see Figure 3b). A mesh refinement is performed in the critical zone near the FRP layer, prescribing a number of 30 elements with a length of 3.33 mm along the FRP–concrete interface. In this zone, according to the proposed numerical strategy explained in Section 2.1, zero-thickness cohesive elements are inserted along the mesh boundaries to simulate damage phenomena, including potential detachments of the concrete substrate. The main cohesive parameters required by the adopted traction–separation law for concrete, illustrated in Section 2.1, are the tensile strength and fracture energy , and are here chosen equal to 3.1 MPa and 100 N/m, as reported in the reference experimental work [40]. The corresponding mode-II cohesive parameters, i.e., and , difficult to derive from experimental tests, have been set by following the numerical calibration proposed in [54], as and . Additional zero-thickness cohesive elements are inserted along the physical interface, between the concrete and the FRP system, in order to simulate interfacial debonding initiation and propagation. These interface elements are equipped with a bond–slip law, explained in Section 2.3, able to predict the reinforcing effect of the nanomaterials embedded in the epoxy resin, whose required parameters for neat and CNT-modified adhesives are chosen to better fit the experimental results and reported in Table 1.
Table 1.
Parameters required by the bond–slip law for the FRP-reinforced concrete prisms.
3.1. Numerical Results of the Double Lap Shear Test
Figure 4 shows the average bond stress versus slip relationships of the tested specimens. The average bond stress has been computed as the ratio between the predicted load and the area where the FRP sheet is bonded. In particular, the structural responses reported in Figure 2a refer to the specimens with neat (N) and nano-modified (CNT) carbon–FRP sheets, i.e., C-N and C-CNT specimens, while those reported in Figure 2b refer to the corresponding glass–FRP sheets, i.e., G-N and G-CNT.
Figure 4.
Bond stress versus slip relationships of the tested specimens: (a) carbon–FRP-strengthened specimens; (b) glass–FRP-strengthened specimens.
The numerical results, obtained by the proposed model, are in good agreement with the experimental ones. All numerical curves immediately exhibit non-linear behavior until the peak in the shear stress. Subsequently, the shear stress remains constant while the slip increases, and drops to zero once debonding phenomena occur. As observed in the experimental test, the CNT content embedded in the epoxy resin improves the bond stress and the energy absorption capacity, with respect to the specimens with neat epoxy resin. Figure 3 shows how the specimens equipped with the nano-additive resin exhibit higher ultimate shear stress and slip values than the non-additive prisms used in the control test. Specifically, bond stress increases of 28% and 22% have been obtained from the numerical simulations of the C-CNT and G-CNT specimens, respectively, with respect to the C-N and G-N specimens. Such behavior is due to the reinforcing effect of the incorporation of CNTs in the epoxy resin, which prevents the early onset and propagation of cracks at the FRP–concrete interfaces. As a result, this led to the modification of the failure mechanism of the specimen. In particular, the classical peeling failure obtained by the C-N specimen is not observed in the C-CNT specimen, where the debonding of the FRP sheet is accompanied by the detachment of the adjacent concrete substrate (see Point C of Figure 5b). Such a failure mode is mainly due to the higher shear strength, provided by the nanomaterials, than the tensile strength of the concrete.
Figure 5.
Deformed configurations (magnified by a scale factor of 15) of the tested specimens: (a) neat carbon–FRP–strengthened specimen; (b) nano–modified carbon–FRP–strengthened specimen.
The deformed configurations together with the related concrete stress maps for the neat and the nano-modified FRP-strengthened specimens at different slip values, highlighted in Figure 4a with Points A, B, and C, are reported in Figure 5.
High stress values are predicted near the concrete–FRP interface, for both tested specimens, from the earliest load levels (Point A). Subsequently, significant slips are observed in the deformed configuration of Point B, especially for the C-CNT specimen. After this, two different failure modes are predicted by the tested specimens (see Point C of both specimens). The C-N specimen exhibits a purely debonding failure mode, whereas the C-CNT specimen shows a debonding that involves the adjacent concrete substrate. These different failure phenomena have been well predicted by the proposed model, able to simulate the damage in both the concrete–FRP interface and concrete phase, with respect to the common numerical models mainly focused on the non-linear processes occurring in the physical concrete–FRP interface.
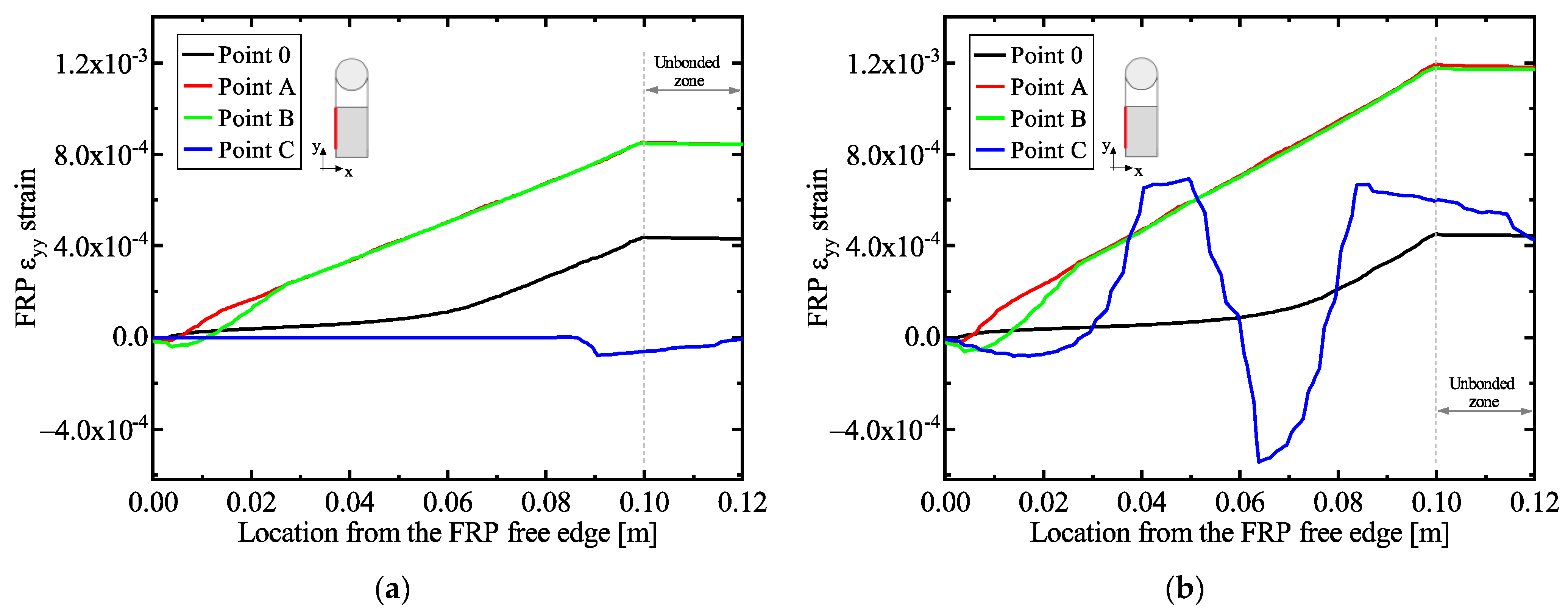
The reinforcing effect induced by the incorporation of nanomaterials in the epoxy resin can be also observed in the numerically predicted strain of the FRP layer. In particular, Figure 6 shows the FRP strain predicted at different slip values (Points 0, A, B, and C highlighted in Figure 4a) concerning the specimens with neat (Figure 6a) and nano-modified (Figure 6b) carbon–FRP layers. We can note that, after the elastic stage (Point 0), where the strains are similar in both tested specimens, the nano-modified FRP-layered sample predicts higher strain values (Points A and B), of approximately 38.9% in the final part of the bonded zone, with respect to the neat FRP-layered specimen. Moreover, after the brittle failure occurs (Point C), the strains of both specimens drop to zero. However, the nano-modified FRP-strengthened sample, characterized by a failure mode with concrete substrate detachments, shows no zero strain values in the contact zones between the concrete prism and FRP system.
Figure 6.
FRP strain predicted by the proposed model in the (a) neat carbon–FRP–strengthened specimen and (b) nano–modified carbon–FRP–strengthened specimen.
4. Analysis of RC Structures Strengthened with Nano-Modified FRP Plate
The proposed model has been here employed to investigate the structural responses of RC beams externally strengthened with an FRP plate bonded on the concrete surface by either neat or nano-modified epoxy resin, subjected to a four-point bending test experimentally performed by [38]. In particular, as reported in the experimental work [38], the tested beams were cast into wooden molds, and, after 28 days, the beams were cleaned before the resin was applied. A layer of epoxy or CNT-modified epoxy was directly applied on the beam surface. Specifically, the simulated test involves a control beam (without FRP reinforcement); an FRP-plated RC beam with neat epoxy resin, denoted as the “N-E Beam”; and an FRP-plated RC beam with nano-modified epoxy resin, denoted as the “CNT-E Beam”. Both the geometric details and boundary conditions are reported in Figure 7.
Figure 7.
Geometric and boundary conditions of the tested FRP-plated RC beam.
The main material properties are taken from the experimental work [38]. In particular, the adopted Young’s modulus and Poisson’s ratio are equal to 20 GPa and 0.2 for concrete, and 200 GPa and 0.3 for rebar steel, respectively. The compressive and tensile strengths of the concrete are set equal to 42.7 MPa and 2 MPa, respectively, while the steel yielding strength is reached at 418 MPa for the longitudinal rebars and 290 MPa for the stirrups. The external reinforcing system consists of a 1-mm-thick carbon fiber plate, already employed in the calibration test (Section 3), whose Young’s modulus and tensile strength are equal to 28 GPa and 4900 MPa, respectively. The C-FRP plate is bonded to the concrete surface by either neat or nano-modified epoxy resin. In particular, the concentration of carbon nanotubes (CNTs) in the nano-modified epoxy resin was equal to 3.4 wt%.
The numerical analyses have been performed adopting the discretization illustrated in Figure 8. According to the numerical strategy illustrated in Section 2.1, the cohesive parameters required by the adopted traction–separation law are the following: tensile strength and fracture energy equal to 2.0 MPa and 100 N/m, as reported in the reference experimental work [38]. The corresponding mode-II cohesive parameters, i.e., and , have been set by following the numerical calibration proposed in [54], as and . On the other hand, according to Section 2.3, the cohesive elements placed along the physical interface between the concrete and FRP system are equipped with a trapezoidal bond–slip law, whose required material parameters, depending on the employed epoxy resin, are taken by the calibration analysis performed in the previous Section 3 (see Table 1).
Figure 8.
Adopted FE discretization.
Numerical Results of the Four-Point Bending Test
The numerically predicted loading curves are reported in Figure 9. All beams exhibit the classical trilinear behavior of the reinforced concrete elements, consisting of the initial elastic stage, the subsequent main crack propagation stage, and, finally, the rebars’ yielding, occurring at a load value of approximately 38.5 kN for the control beam and 44.2 kN for the FRP-plated beams.
Figure 9.
Loading curve of the control beam and FRP-plated beams without (N-E beam) and with (CNT-E beam) nanomaterial incorporation.
We can see that, as expected, the FRP-plated beams provide a stronger structural response with respect to the control beam, mainly due to the reinforcing effect induced by the externally bonded FRP system.
Concerning the FRP-plated beams, it is worth noting that the incorporation of carbon nanotubes in the epoxy resin of the CNT-E beam does not provide a significant improvement in the load-carrying capacity with respect to the FRP-plated beam without nanomaterials (N-E beam). This behavior seems to be in contrast with the results obtained in the previous Section 3.1, where the concrete prism reinforced with the nano-enhanced FRP sheet shows a higher peak load, energy absorption capacity, and final slip than the concrete sample with plain epoxy resin (see Figure 9a). As a matter of fact, the mechanical behavior of reinforced concrete beams is characterized by different stiffness factors, such as tension-stiffening phenomena, concrete compressive behavior, and shear/bending strength offered by rebars and stirrups, and, therefore, the nanomaterial reinforcing effect is not clearly visible as that which occurs in the concrete prisms previously tested, whose mechanical response mainly relies on the bond–slip behavior offered by the nano-enhanced interface between the concrete and FRP sheet. However, an increment in the peak load and final deflection, of approximately 5.53% and 26.34%, respectively, is predicted by the CNT-E beam with respect to the N-E beam.
A comparison with the experimental results obtained in [38] has been carried out in terms of peak load and failure deflection of the FRP-plated beams with plain (B-S-NE beam) and nano-modified epoxy resin and is reported in Table 2. The compared values are in good agreement with each other, highlighting the good prediction capabilities of the proposed model to investigate nano-enhanced reinforced structures and also validating the proposed model.
Table 2.
Peak load and failure deflection obtained by the proposed model and experiment [38].
Similar to the results obtained in previous simulations on concrete prisms, different failure modes are predicted by the FRP-plated beams. In particular, the nanomaterial incorporation in epoxy resin provides better adhesion and shear strength between FRP and concrete, leading to debonding failure by ripping off the concrete cover. In Figure 10, the final deformed configurations of the tested beams, i.e., the control beam, N-E beam, and CNT-E beam, are reported. It is worth noting that the FRP-plated beams exhibit crack patterns characterized by diffuse damage, with many cracks having smaller widths than the control beam. Moreover, the N-E beam, whose FRP plate is bonded with standard epoxy resin, collapses due to the intermediate crack-induced debonding of the FRP system, while the CNT-E beam, reinforced with a nano-modified FRP system, shows the well-known concrete cover separation failure.
Figure 10.
Final deformed configurations and concrete stress maps of the tested beams.
An interesting comparison between the crack patterns of the FRP-plated beams with (CNT-E beam) and without (N-E beam) the incorporation of nanomaterials in the epoxy resin, at different deflection values, is reported in Figure 11. Similar crack patterns are obtained for both beams at low deflection levels (4 mm and 7 mm). However, the CNT-E beam shows diffuse cracking within the concrete substrate between the lower rebars and the FRP system. As a matter of fact, the magnification of the crack pattern (Figure 11b) of the CNT-E beam, at a deflection value of 15 mm, highlights the evolution of microcracks in the concrete cover, thus obtaining lower widths of the main cracks with respect to the N-E beam. This behavior is confirmed by the numerically predicted slips along the FRP–concrete interface reported in Figure 12. High slip values are computed in correspondence with the main cracks for both tested beams; however, the CNT-E beam predicts the highest slip value of around 0.07 mm at the 15 mm deflection, and a reduction of approximately 76% with respect to the highest slip value recorded in the N-E beam equal to 0.31 mm. This result highlights the role of the carbon nanotubes, embedded in the epoxy resin, in providing better shear strength along the FRP–concrete interface, and it is well predicted by the proposed model.
Figure 11.
Crack patterns of the (a) N-E beam and (b) CNT-E beam predicted by the proposed model at different deflection values.
Figure 12.
Slip values along the FRP–concrete interface predicted by the proposed model for (a) N-E beam and (b) CNT-E beam at different deflection values.
5. Conclusions
In this work, an improved numerical model based on a cohesive zone approach and an embedded truss model is employed for simulating the mechanical behavior of reinforced concrete elements retrofitted with nano-enhanced FRP systems by adopting a suitable bond–slip law to describe the bond behavior of the FRP–concrete interface. The conclusions of this work can be summarized in the following points:
- The proposed bond–slip law has been carefully calibrated to match the experimental results of a concrete prism reinforced with nano-modified FRP sheets, and then employed to analyze FRP-plated RC beams.
- The numerical results obtained by the simulation of concrete prisms externally reinforced with FRP sheets show an increment of 28% in the bond strength between the concrete and nano-modified FRP system with respect to the standard one.
- Concerning the results obtained by the simulations of nano-modified FRP-plated RC beams, an increment in the peak load and final deflection, of around 5.53% and 26.34%, respectively, is predicted by the CNT-E beam with respect to the N-E beam. Moreover, a reduction in the slip between concrete and FRP, of around 76%, is obtained by the nano-modified FRP-plated beam with respect to the beam without the nanomaterial incorporation, thus highlighting an improvement in the crack pattern.
As a future perspective of this work, the proposed model could be incorporated into a multiscale strategy in order to analyze damage phenomena at different length scales, as proposed in [55,56].
Author Contributions
Conceptualization, U.D.M., F.G., P.L. and A.P.; methodology, F.G. and P.L.; software, U.D.M., D.G. and A.P.; validation U.D.M., D.G. and A.P.; formal analysis, U.D.M., F.G. and D.G.; investigation, U.D.M., F.G. and P.L.; resources, U.D.M., D.G. and A.P.; data curation, U.D.M., D.G., P.N.B. and A.P.; writing—original draft preparation, U.D.M., D.G., P.N.B. and A.P.; writing—review and editing, U.D.M., F.G., P.L. and A.P.; visualization, U.D.M., D.G. and A.P.; supervision, F.G., P.L. and P.N.B.; project administration, F.G. and P.L.; funding acquisition, P.L. All authors have read and agreed to the published version of the manuscript.
Funding
The authors gratefully acknowledge the financial support of the Italian Ministry of University and Research (MUR), Research Grant PRIN 2020 No. 2020EBLPLS, on “Opportunities and challenges of nanotechnology in advanced and green construction materials”.
Data Availability Statement
The data presented in this study are available on request from the corresponding author.
Conflicts of Interest
The authors declare no conflict of interest.
References
- Demiroglu, S.; Singaravelu, V.; Seydibeyoğlu, M.Ö.; Misra, M.; Mohanty, A.K. The use of nanotechnology for fibre-reinforced polymer composites. In Fiber Technology for Fiber-Reinforced Composites; Elsevier: Amsterdam, The Netherlands, 2017; pp. 277–297. ISBN 978-0-08-101871-2. [Google Scholar]
- Chwał, M.; Muc, A. Design of Reinforcement in Nano- and Microcomposites. Materials 2019, 12, 1474. [Google Scholar] [CrossRef] [PubMed]
- Han, W.; Zhou, J.; Shi, Q. Research progress on enhancement mechanism and mechanical properties of FRP composites reinforced with graphene and carbon nanotubes. Alex. Eng. J. 2023, 64, 541–579. [Google Scholar] [CrossRef]
- Cai, J.; Chen, H.; Li, Y.; Akbarzadeh, A. Lessons from Nature for Carbon-Based Nanoarchitected Metamaterials. Small Sci. 2022, 2, 2200039. [Google Scholar] [CrossRef]
- Greco, F.; Leonetti, L.; Pranno, A.; Rudykh, S. Mechanical behavior of bio-inspired nacre-like composites: A hybrid multiscale modeling approach. Compos. Struct. 2020, 223, 111625. [Google Scholar] [CrossRef]
- Yin, S.; Guo, W.; Wang, H.; Huang, Y.; Yang, R.; Hu, Z.; Chen, D.; Xu, J.; Ritchie, R.O. Strong and Tough Bioinspired Additive-Manufactured Dual-Phase Mechanical Metamaterial Composites. J. Mech. Phys. Solids 2021, 149, 104341. [Google Scholar] [CrossRef]
- Pranno, A.; Greco, F.; Leonetti, L.; Lonetti, P.; Luciano, R.; De Maio, U. Band gap tuning through microscopic instabilities of compressively loaded lightened nacre-like composite metamaterials. Compos. Struct. 2022, 282, 115032. [Google Scholar] [CrossRef]
- De Maio, U.; Greco, F.; Luciano, R.; Sgambitterra, G.; Pranno, A. Microstructural design for elastic wave attenuation in 3D printed nacre-like bioinspired metamaterials lightened with hollow platelets. Mech. Res. Commun. 2023, 128, 104045. [Google Scholar] [CrossRef]
- De Maio, U.; Greco, F.; Leonetti, L.; Pranno, A.; Sgambitterra, G. Nonlinear analysis of microscopic instabilities in fiber-reinforced composite materials. Procedia Struct. Integr. 2020, 25, 400–412. [Google Scholar] [CrossRef]
- Mahaidi, R.; Kalfat, R. Rehabilitation of Concrete Structures with Fiber-Reinforced Polymer; Butterworth-Heinemann: Kidlington, UK, 2018; ISBN 978-0-12-811511-4. [Google Scholar]
- Siddika, A.; Shojib, H.H.; Hossain, M.; Hossain, I.; Mamun, A.A.; Alyousef, R.; Amran, Y.H.M. Flexural performance of wire mesh and geotextile-strengthened reinforced concrete beam. SN Appl. Sci. 2019, 1, 1324. [Google Scholar] [CrossRef]
- Lee, L.S.; Jain, R. The role of FRP composites in a sustainable world. Clean Techn. Environ. Policy 2009, 11, 247–249. [Google Scholar] [CrossRef]
- Mukhtar, F.M.; Shehadah, M.E. Shear behavior of flexural CFRP-strengthened RC beams with crack-induced delamination: Experimental investigation and strength model. Compos. Struct. 2021, 268, 113894. [Google Scholar] [CrossRef]
- Aram, M.R.; Czaderski, C.; Motavalli, M. Debonding failure modes of flexural FRP-strengthened RC beams. Compos. Part B Eng. 2008, 39, 826–841. [Google Scholar] [CrossRef]
- Smith, S.T.; Teng, J.G. FRP-strengthened RC beams. I: Review of debonding strength models. Eng. Struct. 2002, 24, 385–395. [Google Scholar] [CrossRef]
- Bruno, D.; Greco, F. Delamination in composite plates: Influence of shear deformability on interfacial debonding. Cem. Concr. Compos. 2001, 23, 33–45. [Google Scholar] [CrossRef]
- Funari, M.F.; Lonetti, P. Initiation and evolution of debonding phenomena in layered structures. Theor. Appl. Fract. Mech. 2017, 92, 133–145. [Google Scholar] [CrossRef]
- De Maio, U.; Greco, F.; Leonetti, L.; Nevone Blasi, P.; Pranno, A. An investigation about debonding mechanisms in FRP-strengthened RC structural elements by using a cohesive/volumetric modeling technique. Theor. Appl. Fract. Mech. 2022, 117, 103199. [Google Scholar] [CrossRef]
- Wattanapanich, C.; Imjai, T.; Garcia, R.; Rahim, N.L.; Abdullah, M.M.A.B.; Sandu, A.V.; Vizureanu, P.; Matasaru, P.D.; Thomas, B.S. Computer Simulations of End-Tapering Anchorages of EBR FRP-Strengthened Prestressed Concrete Slabs at Service Conditions. Materials 2023, 16, 851. [Google Scholar] [CrossRef]
- Imjai, T.; Guadagnini, M.; Garcia, R.; Pilakoutas, K. A practical method for determining shear crack induced deformation in FRP RC beams. Eng. Struct. 2016, 126, 353–364. [Google Scholar] [CrossRef]
- Imjai, T.; Setkit, M.; Figueiredo, F.P.; Garcia, R.; Sae-Long, W.; Limkatanyu, S. Experimental and numerical investigation on low-strength RC beams strengthened with side or bottom near surface mounted FRP rods. Struct. Infrastruct. Eng. 2022, 1–16. [Google Scholar] [CrossRef]
- Diab, H.M.; Farghal, O.A. Bond strength and effective bond length of FRP sheets/plates bonded to concrete considering the type of adhesive layer. Compos. Part B Eng. 2014, 58, 618–624. [Google Scholar] [CrossRef]
- Mukhtar, F.M.; Jawdhari, A.; Peiris, A. Mixed-Mode FRP–Concrete Bond Failure Analysis Using a Novel Test Apparatus and 3D Nonlinear FEM. J. Compos. Constr. 2022, 26, 04022082. [Google Scholar] [CrossRef]
- Ha, S.K.; Na, S.; Lee, H.K. Bond characteristics of sprayed FRP composites bonded to concrete substrate considering various concrete surface conditions. Compos. Struct. 2013, 100, 270–279. [Google Scholar] [CrossRef]
- Wang, F.; Li, M.; Hu, S. Bond behavior of roughing FRP sheet bonded to concrete substrate. Constr. Build. Mater. 2014, 73, 145–152. [Google Scholar] [CrossRef]
- Wu, Y.-F.; Huang, Y. Hybrid Bonding of FRP to Reinforced Concrete Structures. J. Compos. Constr. 2008, 12, 266–273. [Google Scholar] [CrossRef]
- Bank, L.C.; Arora, D. Analysis of RC beams strengthened with mechanically fastened FRP (MF-FRP) strips. Compos. Struct. 2007, 79, 180–191. [Google Scholar] [CrossRef]
- Yuan, C.; Chen, W.; Pham, T.M.; Hao, H.; Chen, L.; Zhang, M. New epoxy anchor for better bonding between FRP sheets and concrete. Constr. Build. Mater. 2020, 248, 118628. [Google Scholar] [CrossRef]
- Chuah, S.; Pan, Z.; Sanjayan, J.G.; Wang, C.M.; Duan, W.H. Nano reinforced cement and concrete composites and new perspective from graphene oxide. Constr. Build. Mater. 2014, 73, 113–124. [Google Scholar] [CrossRef]
- De Maio, U.; Fantuzzi, N.; Greco, F.; Leonetti, L.; Pranno, A. Failure Analysis of Ultra High-Performance Fiber-Reinforced Concrete Structures Enhanced with Nanomaterials by Using a Diffuse Cohesive Interface Approach. Nanomaterials 2020, 10, 1792. [Google Scholar] [CrossRef]
- Casati, R.; Vedani, M. Metal Matrix Composites Reinforced by Nano-Particles—A Review. Metals 2014, 4, 65–83. [Google Scholar] [CrossRef]
- Wang, S.; Cao, M.; Xue, H.; Cong, F.; Li, X.; Zhao, C.; Su, W. Nano-silica reinforced epoxy resin/nano-rubber composite material with a balance of stiffness and toughness. High Perform. Polym. 2021, 33, 685–694. [Google Scholar] [CrossRef]
- Hu, N.; Li, Y.; Nakamura, T.; Katsumata, T.; Koshikawa, T.; Arai, M. Reinforcement effects of MWCNT and VGCF in bulk composites and interlayer of CFRP laminates. Compos. Part B Eng. 2012, 43, 3–9. [Google Scholar] [CrossRef]
- Kamae, T.; Drzal, L.T. Carbon fiber/epoxy composite property enhancement through incorporation of carbon nanotubes at the fiber–matrix interphase—Part I: The development of carbon nanotube coated carbon fibers and the evaluation of their adhesion. Compos. Part A Appl. Sci. Manuf. 2012, 43, 1569–1577. [Google Scholar] [CrossRef]
- Li, M.; Gu, Y.; Liu, Y.; Li, Y.; Zhang, Z. Interfacial improvement of carbon fiber/epoxy composites using a simple process for depositing commercially functionalized carbon nanotubes on the fibers. Carbon 2013, 52, 109–121. [Google Scholar] [CrossRef]
- Rousakis, T.C.; Kouravelou, K.B.; Karachalios, T.K. Effects of carbon nanotube enrichment of epoxy resins on hybrid FRP–FR confinement of concrete. Compos. Part B Eng. 2014, 57, 210–218. [Google Scholar] [CrossRef]
- Li, Y.; Liu, X.; Li, J. Experimental Study of Retrofitted Cracked Concrete with FRP and Nanomodified Epoxy Resin. J. Mater. Civ. Eng. 2017, 29, 04016275. [Google Scholar] [CrossRef]
- Irshidat, M.R.; Al-Saleh, M.H.; Almashagbeh, H. Effect of carbon nanotubes on strengthening of RC beams retrofitted with carbon fiber/epoxy composites. Mater. Des. 2016, 89, 225–234. [Google Scholar] [CrossRef]
- Irshidat, M.R.; Al-Saleh, M.H.; Al-Shoubaki, M. Using carbon nanotubes to improve strengthening efficiency of carbon fiber/epoxy composites confined RC columns. Compos. Struct. 2015, 134, 523–532. [Google Scholar] [CrossRef]
- Irshidat, M.R.; Al-Saleh, M.H. Effect of using carbon nanotube modified epoxy on bond–slip behavior between concrete and FRP sheets. Constr. Build. Mater. 2016, 105, 511–518. [Google Scholar] [CrossRef]
- De Maio, U.; Greco, F.; Leonetti, L.; Luciano, R.; Nevone Blasi, P.; Vantadori, S. A refined diffuse cohesive approach for the failure analysis in quasibrittle materials—Part I: Theoretical formulation and numerical calibration. Fatigue Fract. Eng. Mater. Struct. 2020, 43, 221–241. [Google Scholar] [CrossRef]
- De Maio, U.; Gaetano, D.; Greco, F.; Lonetti, P.; Pranno, A. The damage effect on the dynamic characteristics of FRP-strengthened reinforced concrete structures. Compos. Struct. 2023, 309, 116731. [Google Scholar] [CrossRef]
- Gaetano, D.; Greco, F.; Leonetti, L.; Lonetti, P.; Pascuzzo, A.; Ronchei, C. An interface-based detailed micro-model for the failure simulation of masonry structures. Eng. Fail. Anal. 2022, 142, 106753. [Google Scholar] [CrossRef]
- Campilho, R.D.S.G.; Banea, M.D.; Neto, J.A.B.P.; da Silva, L.F.M. Modelling adhesive joints with cohesive zone models: Effect of the cohesive law shape of the adhesive layer. Int. J. Adhes. Adhes. 2013, 44, 48–56. [Google Scholar] [CrossRef]
- Ammendolea, D.; Greco, F.; Lonetti, P.; Luciano, R.; Pascuzzo, A. Crack propagation modeling in functionally graded materials using Moving Mesh technique and interaction integral approach. Compos. Struct. 2021, 269, 114005. [Google Scholar] [CrossRef]
- Pascuzzo, A.; Greco, F.; Lonetti, P.; Ammendolea, D. Dynamic fracture analysis in quasi-brittle materials via a finite element approach based on the combination of the ALE formulation and M−integral method. Eng. Fail. Anal. 2022, 141, 106627. [Google Scholar] [CrossRef]
- Greco, F.; Lonetti, P.; Pascuzzo, A. A moving mesh FE methodology for vehicle–bridge interaction modeling. Mech. Adv. Mater. Struct. 2020, 27, 1256–1268. [Google Scholar] [CrossRef]
- De Maio, U.; Greco, F.; Leonetti, L.; Nevone Blasi, P.; Pranno, A. A cohesive fracture model for predicting crack spacing and crack width in reinforced concrete structures. Eng. Fail. Anal. 2022, 139, 106452. [Google Scholar] [CrossRef]
- Pranno, A.; Greco, F.; Lonetti, P.; Luciano, R.; De Maio, U. An improved fracture approach to investigate the degradation of vibration characteristics for reinforced concrete beams under progressive damage. Int. J. Fatigue 2022, 163, 107032. [Google Scholar] [CrossRef]
- New Model Code Fib Special Activity Group; Taerwe, L.; Matthys, S. Fib Model Code for Concrete Structures 2010; Ernst & Sohn: Berlin, Germany, 2013. [Google Scholar]
- Kononova, O.; Krasnikovs, A.; Stonys, R.; Sahmenko, G.; Vitols, R. Investigation of Influence of Nano-Reinforcement on the Mechanical Properties of Composite Materials. J. Civ. Eng. Manag. 2016, 22, 425–433. [Google Scholar] [CrossRef]
- Meng, W.; Khayat, K.H. Mechanical properties of ultra-high-performance concrete enhanced with graphite nanoplatelets and carbon nanofibers. Compos. Part B Eng. 2016, 107, 113–122. [Google Scholar] [CrossRef]
- He, J.; Xian, G.; Zhang, Y.X. Numerical modelling of bond behaviour between steel and CFRP laminates with a ductile adhesive. Int. J. Adhes. Adhes. 2021, 104, 102753. [Google Scholar] [CrossRef]
- De Maio, U.; Greco, F.; Leonetti, L.; Luciano, R.; Nevone Blasi, P.; Vantadori, S. A refined diffuse cohesive approach for the failure analysis in quasibrittle materials—Part II: Application to plain and reinforced concrete structures. Fatigue Fract. Eng. Mater. Struct. 2019, 42, 2764–2781. [Google Scholar] [CrossRef]
- Greco, F. Homogenized mechanical behavior of composite micro-structures including micro-cracking and contact evolution. Eng. Fract. Mech. 2009, 76, 182–208. [Google Scholar] [CrossRef]
- Greco, F.; Leonetti, L.; Nevone Blasi, P. Adaptive multiscale modeling of fiber-reinforced composite materials subjected to transverse microcracking. Compos. Struct. 2014, 113, 249–263. [Google Scholar] [CrossRef]
Disclaimer/Publisher’s Note: The statements, opinions and data contained in all publications are solely those of the individual author(s) and contributor(s) and not of MDPI and/or the editor(s). MDPI and/or the editor(s) disclaim responsibility for any injury to people or property resulting from any ideas, methods, instructions or products referred to in the content. |
© 2023 by the authors. Licensee MDPI, Basel, Switzerland. This article is an open access article distributed under the terms and conditions of the Creative Commons Attribution (CC BY) license (https://creativecommons.org/licenses/by/4.0/).











