Shaking Table Tests of a Novel Flat Slab-Flanged Wall (FSFW) Coupled System with Embedded Concrete-Filled-Steel-Tubes in Wall Piers
Abstract
:1. Introduction
2. Test Program
2.1. Description of the Prototype and Test Structure
2.2. Scaling Factors, Construction Materials and Manufacture of the Test Structure
2.3. Capacity of the Shake Table and Mass Applied to the Test Structure
2.4. Input Ground Motions
2.5. Instrumentation
2.6. Loading Protocol
3. Test Results
3.1. General Observations
- (1)
- After the excitations equivalent to the frequent level of intensity 7 (Phase I, PGA below 0.1 g), no visible cracks were found on the concrete surface of the entire test structure. The results of the white-noise test (i.e., W2 in Table 5) also indicated that after this level of shaking, the first three natural frequencies of the specimen were reduced only slightly, by 4.88%, 5.39%, and 4.41% in turn, compared to the results of W1. Thus it can be said that the FSFW structure was well within the elastic state in this phase, satisfying the performance objective (remaining almost undamaged) specified by the seismic design code [29];
- (2)
- Upon the loadings equivalent to the moderate level of intensity 7 (Phase II, the design intensity, with PGA ≤ 0.25 g), the white-noise test (W3) indicated that the natural frequencies were reduced by 17.38%, 14.26%, and 8.65%, relative to those obtained after Phase I. As shown in Figure 8, a few minor cracks were observed in this stage, mainly concentrated on the first and second stories, in the vicinity of slab-wall connections. Nevertheless, those visible damages were generally not severe, and still within the expected damage level stipulated by the seismic code;
- (3)
- After a series of shaking representing the rare level of intensity 7 (Phase III, PGA ≤ 0.50 g), the natural frequencies were dropped by 25.17%, 26.37%, and 13.89%, with respect to the prior white-noise test (W3). As shown in Figure 9, cracks formed in the previous phase now extended and widened; new cracks were also observed. However, the structure still performed well, though some local damages were appreciable;
- (4)
- To look at how the structure would fare under extremely strong earthquakes, excitations equivalent to the rare level of intensity 8 were exerted on the test structure (Phase IV, PGA ≤ 1.0 g). At the end of this final phase, the first three natural frequencies were decreased by 10.14%, 10.81%, and 17.36% in turn, in comparison with the previous measurements (W4). This suggested a further reduction in the structural stiffness. As shown in Figure 10, previous damages developed more severely. At the proximity of some slab-wall connections, spalling of concrete was obvious (Figure 10a,b). Several cracks even spread from one wall pier to another along the slab (Figure 10c). However, the structure and the walls still remained stable. Neither obvious tilt nor distortion of the specimen was noticed. It can therefore be concluded that the tested FSFW structure was able to resist the rare earthquakes far stronger than the design intensity.
3.2. Variation of Dynamic Characteristics
3.3. Drift Ratio Envelope
3.4. Maximum Floor Shear Force
3.5. Strain Response of CFSTs
4. Numerical Modeling
4.1. General Descriptions of Modeling
4.2. Material Constitutive Models
4.3. Modeling Results
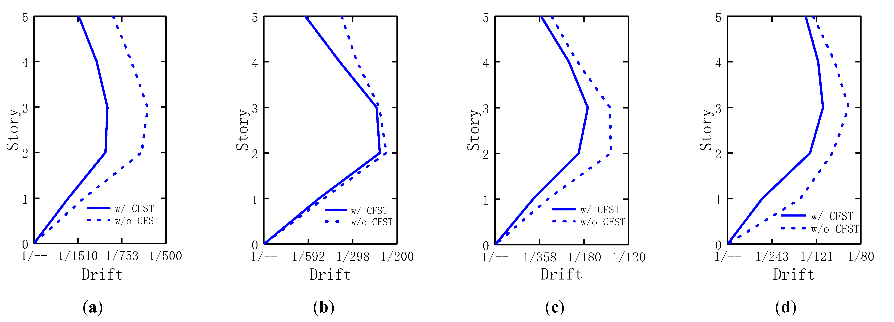
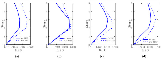
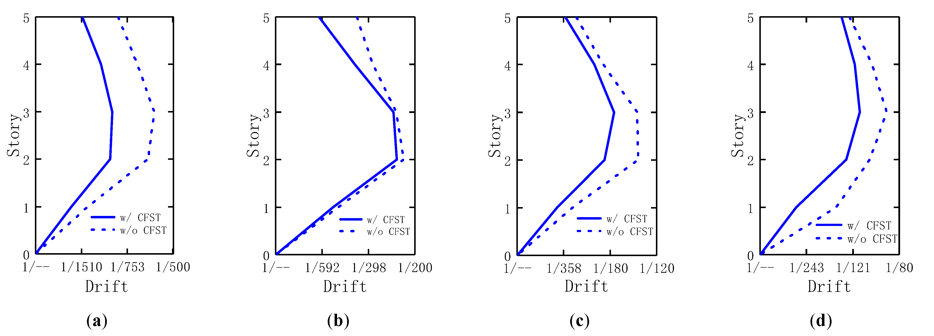
4.4. Comparison of FSFW Systems with and without CFSTs
5. Conclusions
- (1)
- The application of CFSTs in flanged concrete walls helps to resist earthquake loads acting on the FSFW system. Consequently, the performance objectives specified in the seismic code are generally met, even under extremely strong earthquakes;
- (2)
- The seismic damage is mainly localized in the vicinity of slab-wall connections of the tested structure, which leads to a significant loss of natural frequencies (up to 47%). Clearly, these regions are the most vulnerable part of the FSFW structure. As such, detailing of the connections between the walls and slabs should be adequately considered and further addressed;
- (3)
- In spite of the above disadvantages, it is observed that the composite walls themselves performed fairly well, even when subjected to ground motions much stronger than the design intensity. This may partially explain why the FSFW model structure was still standing after the shake table tests;
- (4)
- A 3D non-linear FE model is developed to simulate the dynamic responses of the tested structure. Adopting the method suggested herein for modeling the embedded CFSTs, a good match is found between the FE results and the experimental observations. Nevertheless, a detailed description of the non-linear behavior of slab-wall connections and a rational representation of the floor contribution deserve further investigation.
Author Contributions
Funding
Data Availability Statement
Acknowledgments
Conflicts of Interest
References
- Paulay, T.; Taylor, R.G. Slab coupling of earthquake-resisting shearwalls. ACI J. Proc. 1981, 78, 130–140. [Google Scholar]
- Wallace, J.W.; Moehle, J.P. Ductility and detailing requirements of bearing wall buildings. J. Struct. Eng.-ASCE 1992, 118, 1625–1644. [Google Scholar] [CrossRef]
- Balkaya, C.; Kalkan, E. Three-dimensional effects on openings of laterally loaded pierced shear walls. J. Struct. Eng.-ASCE 2004, 130, 1506–1514. [Google Scholar] [CrossRef]
- Mwafy, A. Analytically derived fragility relationships for the modern high-rise buildings in the UAE. Struct. Des. Tall. Spec. 2010, 21, 824–843. [Google Scholar] [CrossRef]
- Mwafy, A.; Khalifa, S. Effect of vertical structural irregularity on seismic design of tall buildings. Struct. Des. Tall. Spec. 2017, 26, e1399. [Google Scholar] [CrossRef]
- Massone, L.M.; Sayre, B.L.; Wallace, J.W. Load–deformation responses of slender structural steel reinforced concrete walls. Eng. Struct. 2017, 140, 77–88. [Google Scholar] [CrossRef]
- Ramos, L.; Hube, M.A. Seismic response of reinforced concrete wall buildings with nonlinear coupling slabs. Eng. Struct. 2021, 234, 111888. [Google Scholar] [CrossRef]
- Massone, L.M.; Bonelli, P.; Lagos, R.; Lüders, C.; Moehle, J.P.; Wallace, J.W. Seismic design and construction practices for RC structural wall buildings. Earthq. Spectra. 2012, 28 (Suppl. 1), S245–S256. [Google Scholar] [CrossRef]
- Sritharan, S.; Beyer, K.; Henry, R.S.; Chai, Y.H.; Kowalsky, M.; Bull, D. Understanding poor seismic performance of concrete walls and design implications. Earthq. Spectra. 2014, 30, 307–334. [Google Scholar] [CrossRef]
- Jünemann, R.; de La Llera, J.C.; Hube, M.A.; Cifuentes, L.A.; Kausel, E. A statistical analysis of reinforced concrete wall buildings damaged during the 2010, Chile earthquake. Eng. Struct. 2015, 82, 168–185. [Google Scholar] [CrossRef]
- Jünemann, R.; de la Llera, J.C.; Hube, M.A.; Vásquez, J.A.; Chacón, M.F. Study of the damage of reinforced concrete shear walls during the 2010 Chile earthquake. Earthq. Eng. Struct. Dyn. 2016, 45, 1621–1641. [Google Scholar] [CrossRef]
- Song, C.; Pujol, S.; Lepage, A. The collapse of the Alto Río building during the 27 February 2010 Maule, Chile, earthquake. Earthq. Spectra. 2012, 28 (Suppl. 1), S301–S334. [Google Scholar] [CrossRef]
- Deger, Z.T.; Wallace, J.W. Collapse assessment of the Alto Río building in the 2010 Chile earthquake. Earthq. Spectra. 2015, 31, 1397–1425. [Google Scholar] [CrossRef]
- Qadeer, A.; Smith, B.S. The bending stiffness of slabs connecting shear walls. ACI J. Proc. 1969, 66, 464–473. [Google Scholar]
- Coull, A.; El Hag, A.A. Effective coupling of shearwalls by floor slabs. ACI J. Proc. 1975, 72, 429–431. [Google Scholar]
- Wong, Y.C.; Coull, A. Interaction between floor slabs and shearwalls in tall buildings. ACI Spec. Publ. 1980, 63, 543–574. [Google Scholar]
- Coull, A.; Chee, W.Y. Stresses in slabs coupling flanged shear walls. J. Struct. Eng.-ASCE 1984, 110, 105–119. [Google Scholar] [CrossRef]
- Coull, A.; Chee, W.Y. Cracked coupling slabs in shear wall buildings. J. Struct. Eng.-ASCE 1990, 116, 1744–1748. [Google Scholar] [CrossRef]
- Ugalde, D.; Parra, P.F.; Lopez-Garcia, D. Assessment of the seismic capacity of tall wall buildings using nonlinear finite element modeling. Bull. Earthq. Eng. 2019, 17, 6565–6589. [Google Scholar] [CrossRef]
- Pavel, F.; Vacareanu, R.; Marcu, D. Seismic performance assessment and rating for a flat-slab RC core wall structure in Bucharest, Romania. Structures 2021, 31, 1006–1016. [Google Scholar] [CrossRef]
- Pantazopoulou, S.; Imran, I. Slab-wall connections under lateral forces. ACI Struct. J. 1992, 89, 515–527. [Google Scholar]
- Panagiotou, M.; Restrepo, J.I.; Conte, J.P. Shake-table test of a full-scale 7-story building slice. Phase I: Rectangular wall. J. Struct. Eng.-ASCE 2011, 137, 691–704. [Google Scholar] [CrossRef]
- Greeshma, S.; Jaya, K.P. Effect of slab shear reinforcement on the performance of the shear wall–floor slab connection. J. Perform. Constr. Fac. 2013, 27, 391–401. [Google Scholar] [CrossRef]
- Brunesi, E.; Peloso, S.; Pinho, R.; Nascimbene, R. Cyclic testing and analysis of a full-scale cast-in-place reinforced concrete wall-slab-wall structure. Bull. Earthq. Eng. 2018, 16, 4761–4796. [Google Scholar] [CrossRef]
- Fischinger, M.; Kante, P.; Isakovic, T. Shake-table response of a coupled RC wall with thin T-shaped piers. J. Struct. Eng.-ASCE 2017, 143, 04017004. [Google Scholar] [CrossRef]
- Zhou, J.; Fang, X.D.; Yao, Z.Q. Mechanical behavior of a steel tube-confined high-strength concrete shear wall under combined tensile and shear loading. Eng. Struct. 2018, 171, 673–685. [Google Scholar] [CrossRef]
- Zhou, J.; Li, P.; Guo, N.F. Seismic performance assessment of a precast concrete-encased CFST composite wall with twin steel tube connections. Eng. Struct. 2020, 207, 110240. [Google Scholar] [CrossRef]
- Zhou, J.; Fang, X.D.; Jiang, Y. Cyclic behavior of concrete-encased high-strength concrete-filled steel tube composite walls: An experiment. Struct. Concr. 2021, 22, 691–708. [Google Scholar] [CrossRef]
- GB50011-2016; Code for Seismic Design of Buildings. China Architecture and Building Press: Beijing, China, 2016.
- Lu, X.L.; Zou, Y.; Lu, W.S.; Zhao, B. Shaking table model test on shanghai world financial center tower. Earthq. Eng. Struct. Dyn. 2007, 36, 439–457. [Google Scholar] [CrossRef]
- GB50010-2010; Code for Design of Concrete Structures. China Architecture and Building Press: Beijing, China, 2010.
- Harris, H.G. Structural Modeling and Experimental Techniques, 2nd ed.; CRC Press: Boca Raton, FL, USA, 1999. [Google Scholar]
- Maekawa, K.; Ishida, T.; Kishi, T. Multi-Scale Modeling of Structural Concrete; Taylor & Francis: London, UK, 2009. [Google Scholar]
- Lu, X.L.; Chen, C.; Jiang, H.J.; Wang, S.S. Shaking table tests and numerical analyses of an RC coupled wall structure with replaceable coupling beams. Earthq. Eng. Struct. Dyn. 2018, 47, 1882–1904. [Google Scholar] [CrossRef]
- Erberik, M.A.; Elnashai, A.S. Fragility analysis of flat-slab structures. Eng. Struct. 2004, 26, 937–948. [Google Scholar] [CrossRef]
- Hassan, M.; El-Tawil, S. Inelastic dynamic behavior of hybrid coupled walls. J. Struct. Eng.-ASCE 2004, 130, 285–296. [Google Scholar] [CrossRef]
- Computers & Structures Inc. Perform3D V5 Nonlinear Analysis and Performance Assessment for 3D Structures; Computers & Structures Inc.: Berkeley, CA, USA, 2015. [Google Scholar]
- Correal, J.F.; Hidalgo, V.; Reyes, J.C.; Ángel, C.C. A comparative study of seismic diaphragm design forces for RC dual system buildings. Bull. Earthq. Eng. 2020, 18, 4515–4540. [Google Scholar] [CrossRef]
- Kolozvari, K.; Kalbasi, K.; Orakcal, K.; Wallace, J. Three-dimensional model for nonlinear analysis of slender flanged reinforced concrete walls. Eng. Struct. 2021, 236, 112105. [Google Scholar] [CrossRef]
- Grossman, J.S. Verification of proposed design methodologies for effective width of slabs in slab-column frames. ACI Struct. J. 1997, 94, 181–196. [Google Scholar]
- Tao, Z.; Wang, Z.B.; Yu, Q. Finite element modelling of concrete-filled steel stub columns under axial compression. J. Constr. Steel Res. 2013, 89, 121–131. [Google Scholar] [CrossRef]
- Hu, H.S.; Xu, L.; Guo, Z.X.; Shahrooz, B.M. Behavior of eccentrically loaded square spiral-confined high-strength concrete-filled steel tube columns. Eng. Struct. 2020, 216, 110743. [Google Scholar] [CrossRef]
- Kolozvari, K.; Arteta, C.; Fischinger, M.; Gavridou, S.; Hube, M.; Isakovic, T.; Lowes, L.; Orakcal, K.; Vásquez, J.; Wallace, J. Comparative study of state-of-the-art macroscopic models for planar reinforced concrete walls. ACI Struct. J. 2018, 115, 1637–1657. [Google Scholar] [CrossRef]
- Wallace, J.W. Modelling issues for tall reinforced concrete core wall buildings. Struct. Des. Tall. Spec. 2007, 16, 615–632. [Google Scholar] [CrossRef]
- Shin, M.; Kang, T.H.K.; Grossman, J.S. Practical modelling of high-rise dual systems with reinforced concrete slab-column frames. Struct. Des. Tall. Spec. 2010, 19, 728–749. [Google Scholar] [CrossRef]
- Alwaeli, W.; Mwafy, A.; Pilakoutas, K.; Guadagnini, M. A methodology for defining seismic scenario-structure-based limit state criteria for RC high-rise wall buildings using net drift. Earthq. Eng. Struct. Dyn. 2017, 46, 1325–1344. [Google Scholar] [CrossRef]
- Terzic, V.; Kolozvari, K.; Saldana, D. Implications of modeling approaches on seismic performance of low-and mid-rise office and hospital shear wall buildings. Eng. Struct. 2019, 189, 129–146. [Google Scholar] [CrossRef]
- Kilar, V.; Fajfar, P. Simple push-over analysis of asymmetric buildings. Earthq. Eng. Struct. Dyn. 1997, 26, 233–249. [Google Scholar] [CrossRef]




















| Materials of Prototype Structure | Materials of Test Structure | Properties of Test Materials |
|---|---|---|
| C30 concrete | M7.5 cement mortar | |
| C40 concrete | M10 cement mortar | |
| HRB400 steel bar | Galvanized wire mesh | |
| Q235 steel tube | #304 stainless steel tube |
| Parameters | Capacity | |
|---|---|---|
| Maximum payload | 20 t | |
| DOF generation | SixDOF motions | |
| Frequency | 0.1~50 Hz | |
| Maximum displacement | X&Y: ±125 mm; Z: ±80 mm | |
| Maximum velocity | X&Y&Z: 1.0 m/s | |
| Maximum acceleration | X | 2.4 g (No load); 1.0 g (20 t) |
| Y | 2.4 g (No load); 1.0 g (20 t) | |
| Z | 4.8 g (No load); 2.0 g (20 t) | |
| Story | mp (t) 1 | mm (t) 1 | mma (t) 1 |
|---|---|---|---|
| 1 | 1741.8 | 2.569 | 1.317 |
| 2 | 1741.8 | 2.569 | 1.317 |
| 3 | 1741.8 | 2.569 | 1.317 |
| 4 | 1741.8 | 2.569 | 1.317 |
| 5 | 1741.8 | 2.532 | 1.280 |
| Total | 8683.9 | 12.809 | 6.548 |
| Seismic Wave | Station and Direction | |
|---|---|---|
| RGW (i.e., the artificial wave) | – | |
| Northridge, CA, USA, 1994 | West Covina | SOA225 |
| SOA315 | ||
| Imperial Valley, CA, USA,1940 | El Centro Array #9 | ELC180 |
| ELC270 | ||
| Chi-Chi, Taiwan, China, 1999 | CHY056 | E-W |
| S-N | ||
| No. | Loading Case 1 | Intensity | Excitation | Duration (s) | PGA (g) | ||
|---|---|---|---|---|---|---|---|
| X | Y | Z | |||||
| 1 | W1 | White-noise test | 40 | 0.0500 | 0.0500 | – | |
| 2 | F7RXY | Frequent level of intensity 7 (Phase I) | RGW | 16 | 0.0833 | 0.0708 | – |
| 3 | F7RYX | 16 | 0.0708 | 0.0833 | – | ||
| 4 | F7NXY | Northridge | 16 | 0.0833 | 0.0708 | – | |
| 5 | F7NYX | 16 | 0.0708 | 0.0833 | – | ||
| 6 | F7EXY | El Centro | 16 | 0.0833 | 0.0708 | – | |
| 7 | F7EYX | 16 | 0.0708 | 0.0833 | – | ||
| 8 | F7CXY | Chi-Chi | 20 | 0.0833 | 0.0708 | – | |
| 9 | F7CYX | 20 | 0.0708 | 0.0833 | – | ||
| 10 | W2 | White-noise test | 40 | 0.0500 | 0.0500 | – | |
| 11 | B7RXY | Moderate level of intensity 7 (Phase II) | RGW | 16 | 0.2500 | 0.2125 | – |
| 12 | B7RYX | 16 | 0.2125 | 0.2500 | – | ||
| 13 | B7NXY | Northridge | 16 | 0.2500 | 0.2125 | – | |
| 14 | B7NYX | 16 | 0.2125 | 0.2500 | – | ||
| 15 | B7EXY | El Centro | 16 | 0.2500 | 0.2125 | – | |
| 16 | B7EYX | 16 | 0.2125 | 0.2500 | – | ||
| 17 | B7CXY | Chi-Chi | 20 | 0.2500 | 0.2125 | – | |
| 18 | B7CYX | 20 | 0.2125 | 0.2500 | – | ||
| 19 | W3 | White-noise test | 40 | 0.0500 | 0.0500 | – | |
| 20 | R7RXY | Rare level of intensity 7 (Phase III) | RGW | 16 | 0.5000 | 0.4250 | 0.3250 |
| 21 | R7RYX | 16 | 0.4250 | 0.5000 | 0.3250 | ||
| 22 | R7NXY | Northridge | 16 | 0.5000 | 0.4250 | – | |
| 23 | R7NYX | 16 | 0.4250 | 0.5000 | – | ||
| 24 | R7EXY | El Centro | 16 | 0.5000 | 0.4250 | – | |
| 25 | R7EYX | 16 | 0.4250 | 0.5000 | – | ||
| 26 | R7CXY | Chi-Chi | 20 | 0.5000 | 0.4250 | 0.3250 | |
| 27 | R7CYX | 20 | 0.4250 | 0.5000 | 0.3250 | ||
| 28 | W4 | White-noise test | 40 | 0.0500 | 0.0500 | – | |
| 29 | R8RXY | Rare level of intensity 8 (Phase III) | RGW | 16 | 1.0000 | 0.8500 | 0.6500 |
| 30 | R8RYX | 16 | 0.8500 | 1.0000 | 0.6500 | ||
| 31 | R8NXY | Northridge | 16 | 1.0000 | 0.8500 | – | |
| 32 | R8NYX | 16 | 0.8500 | 1.0000 | – | ||
| 33 | W5 | White-noise test | 40 | 0.0500 | 0.0500 | – | |
| Testing Phase | Frequency (Hz)/Period (s) | ||
|---|---|---|---|
| 1st Order | 2nd Order | 3rd Order | |
| Before test | 3.690/0.271 | 5.190/0.193 | 5.440/0.184 |
| Phase I | 3.510/0.285 | 4.910/0.204 | 5.200/0.192 |
| Phase II | 2.900/0.345 | 4.210/0.238 | 4.750/0.211 |
| Phase III | 2.170/0.461 | 3.100/0.323 | 4.090/0.244 |
| Phase IV | 1.950/0.513 | 2.765/0.362 | 3.380/0.296 |
Publisher’s Note: MDPI stays neutral with regard to jurisdictional claims in published maps and institutional affiliations. |
© 2022 by the authors. Licensee MDPI, Basel, Switzerland. This article is an open access article distributed under the terms and conditions of the Creative Commons Attribution (CC BY) license (https://creativecommons.org/licenses/by/4.0/).
Share and Cite
Zhao, X.-Y.; Fang, X.-D.; Wang, F.; Zhou, J. Shaking Table Tests of a Novel Flat Slab-Flanged Wall (FSFW) Coupled System with Embedded Concrete-Filled-Steel-Tubes in Wall Piers. Buildings 2022, 12, 1441. https://doi.org/10.3390/buildings12091441
Zhao X-Y, Fang X-D, Wang F, Zhou J. Shaking Table Tests of a Novel Flat Slab-Flanged Wall (FSFW) Coupled System with Embedded Concrete-Filled-Steel-Tubes in Wall Piers. Buildings. 2022; 12(9):1441. https://doi.org/10.3390/buildings12091441
Chicago/Turabian StyleZhao, Xin-Yu, Xiao-Dan Fang, Fan Wang, and Jing Zhou. 2022. "Shaking Table Tests of a Novel Flat Slab-Flanged Wall (FSFW) Coupled System with Embedded Concrete-Filled-Steel-Tubes in Wall Piers" Buildings 12, no. 9: 1441. https://doi.org/10.3390/buildings12091441
APA StyleZhao, X.-Y., Fang, X.-D., Wang, F., & Zhou, J. (2022). Shaking Table Tests of a Novel Flat Slab-Flanged Wall (FSFW) Coupled System with Embedded Concrete-Filled-Steel-Tubes in Wall Piers. Buildings, 12(9), 1441. https://doi.org/10.3390/buildings12091441

