Analyses of Structural Robustness of Prefabricated Modular Buildings: A Case Study on Mid-Rise Building Configurations
Abstract
:1. Introduction
2. Case Study Buildings Design
2.1. Design of Modular Buildings
2.2. Numerical Modeling
3. Robustness of Modular Buildings
3.1. Non-Linear Static Analysis (NLS)
3.2. Non-Linear Dynamic Analysis (NLD)
4. Results and Discussion
4.1. Effect of Column Removal Location
4.2. Effect of Span
4.3. Estimation of Appropriate DAF
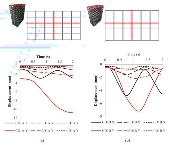
4.4. Lateral Deformation Due to the Column Loss
4.5. Effect of Damping Ratios
5. Conclusions
- The analyses revealed that 1% damping can be considered to assess the robustness of typical modular building types. Although a significant change in the element forces and displacements could not be observed, the highest forces and displacements were recorded in the models with 1% damping. Considering the three column loss scenarios analysed, the effect of the changes in damping ratio for building A was significant in the corner column loss scenario.
- It was observed from the analyses that the corner column removal scenario does not significantly reduce the robustness compared to the other two column removal scenarios (edge and interior column removal). It was further discovered that the corner column removal scenario has the ability of sharing the forces to the adjacent elements than the other two scenarios. The formation of several hinges in the frame indicates the participation of higher number of members in load sharing mechanism of the modular building systems considered.
- When the span of the module was doubled, the column loss in the corner showed the highest increment in axial forces (i.e., axial demand capacity ratios (DCR) of the columns). The increment in axial DCRs of edge, interior, and corner column losses are 23%, 24% and 30%, respectively. The increments of the bending capacity ratios of the beams adjacent to the collapsed columns for the aforementioned those cases were 56%, 75% and 88% respectively, and significantly affected the performance of the building under the interior column removal scenario than in the other two cases.
- The results from the nonlinear static analysis and nonlinear dynamic analysis indicate that the use of DAF of 2 for modular buildings was an over-estimation. When considering the axial forces in columns and the moments in the beams, a DAF value of 1.25 can be used, since the values obtained the dynamic analyses are in the range of 1.0 to 1.25. This may not be valid for all the layouts and heights. Therefore, further analyses with different parameters such as material properties and sectional details are required.
Author Contributions
Funding
Institutional Review Board Statement
Informed Consent Statement
Data Availability Statement
Acknowledgments
Conflicts of Interest
Appendix A
| Grid Y | Grid X (%) | |||||||||||
|---|---|---|---|---|---|---|---|---|---|---|---|---|
| A | B | C | D | E | F | G | H | I | J | K | L | |
| 1 | - | 25 | 32 | 8 | 8 | 4 | 3 | 2 | 1 | 1 | −1 | −5 |
| 2 | 41 | −2 | 5 | 1 | 0 | 2 | 0 | 1 | −1 | 1 | −1 | −2 |
| 3 | 10 | −2 | 3 | 1 | 0 | 1 | −1 | 1 | −1 | 1 | −1 | −3 |
| 4 | 8 | −1 | 1 | 0 | −1 | 4 | 2 | 1 | −1 | 1 | −1 | −2 |
| 5 | 3 | 1 | 0 | 1 | −1 | 0 | −1 | 1 | −1 | 1 | −1 | −2 |
| 6 | −1 | 3 | −1 | 0 | −2 | −2 | −4 | −1 | −3 | −3 | −5 | −5 |
| Grid Y | Grid X (%) | |||||||||||
|---|---|---|---|---|---|---|---|---|---|---|---|---|
| A | B | C | D | E | F | G | H | I | J | K | L | |
| 1 | 12 | - | 61 | 8 | 7 | 2 | 2 | 1 | 0 | 1 | 0 | −1 |
| 2 | 4 | 5 | −3 | 0 | 0 | 1 | 0 | 0 | 0 | 0 | 0 | 0 |
| 3 | 2 | 3 | −3 | 0 | 0 | 0 | 0 | 0 | 0 | 0 | 0 | −1 |
| 4 | 1 | 2 | −2 | 0 | 0 | 1 | 0 | 0 | 0 | 0 | 0 | 0 |
| 5 | 1 | 0 | 0 | 0 | 0 | 0 | 0 | 0 | 0 | 0 | 0 | 0 |
| 6 | 2 | −2 | 0 | 0 | 0 | 0 | 0 | 0 | 0 | 0 | −1 | −2 |
| Grid Y | Grid X (%) | |||||||||||
|---|---|---|---|---|---|---|---|---|---|---|---|---|
| A | B | C | D | E | F | G | H | I | J | K | L | |
| 1 | −2 | 23 | −13 | −1 | −2 | 0 | −1 | 0 | −1 | 0 | 0 | −1 |
| 2 | −1 | 2 | 0 | 0 | −1 | 0 | 0 | 0 | 0 | 0 | 0 | 0 |
| 3 | 0 | - | 89 | 0 | 1 | 0 | 0 | 0 | 0 | 0 | 0 | 0 |
| 4 | 0 | 4 | 1 | 0 | −1 | 0 | −1 | 0 | 0 | 0 | 0 | −1 |
| 5 | 0 | 1 | −1 | 0 | −1 | 0 | 0 | 0 | 0 | 0 | 0 | 0 |
| 6 | 0 | 2 | −1 | 0 | −1 | −1 | 0 | 0 | 0 | 0 | 0 | −1 |
Nomenclature
| Symbols | |
| A | Building A |
| B | Building B |
| C | Corner column loss |
| D | Dynamic analysis |
| Ce | Sub soil class (Shallow soil) |
| E | Edge column loss |
| Ed | Design load |
| G | Dead load |
| I | Interior column loss |
| kp | Probability factor |
| Q | Live load |
| R | Rotation |
| RA | Building A before column removal under ULS loading condition |
| RB | Building B before column removal under ULS loading condition |
| S | Static analysis |
| T | Fundamental frequency of the building |
| U | Translation |
| W | Wind Load |
| Subscripts | |
| s | Load at serviceability limit state |
| u | Load at ultimate limit state |
| Abbreviations | |
| DAF | Dynamic Amplification Factor |
| DCR | Demand Capacity Ratio |
| FE | Finite Element |
| HC | Horizontal Connection |
| IO | Immediate Occupancy |
| NLD | Non-linear dynamic analysis |
| NLS | Non-linear static analysis |
| SLS | Serviceability Limit State |
| ULS | Ultimate Limit State |
| VC | Vertical Connection |
References
- Deng, E.-F.; Zong, L.; Ding, Y.; Zhang, Z.; Zhang, J.-F.; Shi, F.-W.; Cai, L.-M.; Gao, S.-C. Seismic performance of mid-to-high rise modular steel construction-A critical review. Thin-Walled Struct. 2020, 155, 106924. [Google Scholar] [CrossRef]
- Ferdous, W.; Bai, Y.; Ngo, T.D.; Manalo, A.; Mendis, P. New advancements, challenges and opportunities of multi-storey modular buildings—A state-of-the-art review. Eng. Struct. 2019, 183, 883–893. [Google Scholar] [CrossRef]
- Ye, Z.; Giriunas, K.; Sezen, H.; Wu, G.; Feng, D.C. State-of-the-art review and investigation of structural stability in multi-story modular buildings. J. Build. Eng. 2021, 33, 101844. [Google Scholar] [CrossRef]
- Kamali, M.; Hewage, K. Life cycle performance of modular buildings: A critical review. Renew. Sustain. Energy Rev. 2016, 62, 1171–1183. [Google Scholar] [CrossRef]
- Minunno, R.; O’Grady, T.; Morrison, G.M.; Gruner, R.L. Exploring environmental benefits of reuse and recycle practices: A circular economy case study of a modular building. Resour. Conserv. Recycl. 2020, 160, 104855. [Google Scholar] [CrossRef]
- Kamali, M.; Hewage, K.; Sadiq, R. Economic sustainability benchmarking of modular homes: A life cycle thinking approach. J. Clean. Prod. 2022, 348, 131290. [Google Scholar] [CrossRef]
- Razkenari, M.; Fenner, A.; Shojaei, A.; Hakim, H.; Kibert, C. Perceptions of offsite construction in the United States: An investigation of current practices. J. Build. Eng. 2020, 29, 101138. [Google Scholar] [CrossRef]
- Chen, Z.; Popovski, M.; Ni, C. A novel floor-isolated re-centering system for prefabricated modular mass timber construction—Concept development and preliminary evaluation. Eng. Struct. 2020, 222, 111168. [Google Scholar] [CrossRef]
- Liew, J.Y.R.; Chua, Y.S.; Dai, Z. Steel concrete composite systems for modular construction of high-rise buildings. Structures 2019, 21, 135–149. [Google Scholar] [CrossRef]
- Loss, C.; Davison, B. Innovative composite steel-timber floors with prefabricated modular components. Eng. Struct. 2017, 132, 695–713. [Google Scholar] [CrossRef]
- Wang, Z.; Pan, W.; Zhang, Z. High-rise modular buildings with innovative precast concrete shear walls as a lateral force resisting system. Structures 2020, 26, 39–53. [Google Scholar] [CrossRef]
- Navaratnam, S.; Small, D.W.; Gatheeshgar, P.; Poologanathan, K.; Thamboo, J.; Higgins, C.; Mendis, P. Development of cross laminated timber-cold-formed steel composite beam for floor system to sustainable modular building construction. Structures 2021, 32, 681–690. [Google Scholar] [CrossRef]
- Thamboo, J.; Zahra, T.; Navaratnam, S.; Asad, M.; Poologanathan, K. Prospects of Developing Prefabricated Masonry Walling Systems in Australia. Buildings 2021, 11, 294. [Google Scholar] [CrossRef]
- Hyun, H.; Lee, Y.M.; Kim, H.G.; Kim, J.S. Framework for long-term public housing supply plan focusing on small-scale offsite construction in Seoul. Sustainability 2021, 13, 5361. [Google Scholar] [CrossRef]
- Musa, M.F.; Yusof, M.R.; Mohammad, M.F.; Samsudin, N.S. Towards the adoption of modular construction and prefabrication in the construction environment: A case study in Malaysia. ARPN J. Eng. Appl. Sci. 2016, 11, 8122–8131. [Google Scholar]
- Navaratnam, S.; Satheeskumar, A.; Zhang, G.; Nguyen, K.; Venkatesan, S.; Poologanathan, K. The challenges confronting the growth of sustainable prefabricated building construction in Australia: Construction industry views. J. Build. Eng. 2022, 48, 103935. [Google Scholar] [CrossRef]
- Gao, S.; Jin, R.; Lu, W. Design for manufacture and assembly in construction: A review. Build. Res. Inf. 2020, 48, 538–550. [Google Scholar] [CrossRef]
- Thai, H.-T.; Ngo, T.; Uy, B. A review on modular construction for high-rise buildings. Structures 2020, 28, 1265–1290. [Google Scholar] [CrossRef]
- Gatheeshgar, P.; Parker, S.; Askew, K.; Poologanathan, K.; Navaratnam, S.; McIntosh, A.; Small, D.W. Flexural behaviour and design of modular construction optimised beams. Structures 2021, 32, 1048–1068. [Google Scholar] [CrossRef]
- Gatheeshgar, P.; Poologanathan, K.; Thamboo, J.; Roy, K.; Rossi, B.; Molkens, T.; Perera, D.; Navaratnam, S. On the fire behaviour of modular floors designed with optimised cold-formed steel joists. Structures 2021, 30, 1071–1085. [Google Scholar] [CrossRef]
- Liu, X.; Zhou, X.; Zhang, A.; Tian, C.; Zhang, X.; Tan, Y. Design and compilation of specifications for a modular-prefabricated high-rise steel frame structure with diagonal braces. Part I: Integral structural design. Struct. Des. Tall Spec. Build. 2018, 27, e1415. [Google Scholar] [CrossRef]
- Srisangeerthanan, S.; Hashemi, M.J.; Rajeev, P.; Gad, E.; Fernando, S. Numerical study on the effects of diaphragm stiffness and strength on the seismic response of multi-story modular buildings. Eng. Struct. 2018, 163, 25–37. [Google Scholar] [CrossRef]
- Sultana, P.; Youssef, M.A. Seismic Performance of Modular Steel-Braced Frames Utilizing Superelastic Shape Memory Alloy Bolts in the Vertical Module Connections. J. Earthq. Eng. 2020, 24, 628–652. [Google Scholar] [CrossRef]
- Dan-Adrian, C.; Tsavdaridis, K.D. A comprehensive review and classification of inter-module connections for hot-rolled steel modular building systems. J. Build. Eng. 2022, 50, 104006. [Google Scholar]
- Lacey, A.W.; Chen, W.; Hao, H.; Bi, K. Review of bolted inter-module connections in modular steel buildings. J. Build. Eng. 2019, 23, 207–219. [Google Scholar] [CrossRef]
- Lacey, A.W.; Chen, W.; Hao, H.; Bi, K. Structural response of modular buildings—An overview. J. Build. Eng. 2018, 16, 45–56. [Google Scholar] [CrossRef]
- Lawson, M.; Ogden, R.; Goodier, C. Design in Modular Construction; CRC: Boca Raton, FL, USA, 2014. [Google Scholar]
- Murray-Parkes, J.B.Y.; Styles, A.; Wang, A. Handbook for the Design of Modular Structures; Construction Codes Board: Melbourne, Australia, 2017.
- Diab, M.e.; Desprez, C.; Orcesi, A.; Bleyer, J. Structural robustness quantification through the characterization of disproportionate collapse compared to the initial local failure. Eng. Struct. 2022, 255, 113869. [Google Scholar] [CrossRef]
- Izzuddin, B.A. Rational Robustness Design of Multistory Building Structures. J. Struct. Eng. 2022, 148, 04021279. [Google Scholar] [CrossRef]
- General Services Administration. Alternate Path Analysis and Design Guidelines for Progressive Collapse Resistance; revision 1; General Services Administration: Washington, DC, USA, 2016.
- General Services Administration. Progressive Collapse Analysis and Design Guidelines for New Federal Office Buildings and Major Modernization Projects; General Services Administration: Washington, DC, USA, 2003.
- Ghobadi, M.S.; Yavari, H. Progressive collapse vulnerability assessment of irregular voided buildings located in Seismic-Prone areas. Structures 2020, 25, 785–797. [Google Scholar] [CrossRef]
- Kokot, S. Response spectrum of a reinforced concrete frame structure under various column removal scenarios. J. Build. Eng. 2022, 49, 103992. [Google Scholar] [CrossRef]
- Nair, R. Progressive collapse basics. J. Modern Steel Constr. 2004, 44, 37–42. [Google Scholar]
- Jeyarajan, S. Robustness Analysis and Design of Steel Concrete Composite Buildings. In Proceedings of the Twenty-Sixth KKHTCNN Symposium on Civil Engineering, Singapore, 18–20 November 2013. [Google Scholar]
- He, X.H.C.; Chan, T.M.; Chung, K.F. Effect of inter-module connections on progressive collapse behaviour of MiC structures. J. Constr. Steel Res. 2021, 185, 106823. [Google Scholar] [CrossRef]
- Peng, J.; Hou, C.; Shen, L. Progressive collapse analysis of corner-supported composite modular buildings. J. Build. Eng. 2022, 48, 103977. [Google Scholar] [CrossRef]
- SAP2000, Integrated Software for Structural Analysis and Design; Computers and Structures, Inc.: Berkeley, CA, USA, 2017.
- Lacey, A.W.; Chen, W.; Hao, H.; Bi, K. Effect of inter-module connection stiffness on structural response of a modular steel building subjected to wind and earthquake load. Eng. Struct. 2020, 213, 110628. [Google Scholar] [CrossRef]
- AS 4100A; Standards, Steel Structures (Reconfirmed 2016 Incorporating Amendment No. 1). Standards Australia: Sydney, Australia, 2016.
- AS/NZS 1170.2:2011; Australian/New Zealand Standard for Structural Design Actions, Part 2: Wind Actions. Standards Australia: Sydney, Australia, 2011.
- AS 1170.4-2007; Structural Design Actions-Part 4: Earthquake Actions in Australia, BD-006 (General Design Requirements and Loading on Structures). Standards Australia: Sydney, Australia, 2007.
- AS/NZS 1170.0; Structural design actions—Part 0: General principals, Sydney, 2002. Standards Australia, and New Zealand: Sidney, Australia.
- Satheeskumar, N.; Henderson, D.J.; Ginger, J.D.; Wang, C.H. Finite element modelling of the structural response of roof to wall framing connections in timber-framed houses. Eng Struct. 2017, 134, 25–36. [Google Scholar] [CrossRef]
- Alembagheri, M.; Sharafi, P.; Tao, Z.; Hajirezaei, R.; Kildashti, K. Robustness of multistory corner-supported modular steel frames against progressive collapse. Struct. Des. Tall Spec. Build. 2021, 30, e1896. [Google Scholar] [CrossRef]
- Chua, Y.S.; Pang, S.D.; Liew, J.Y.R.; Dai, Z. Robustness of inter-module connections and steel modular buildings under column loss scenarios. J. Build. Eng. 2022, 47, 103888. [Google Scholar] [CrossRef]
- Unified Facilities Criteria, Design of Buildings to Resist Progressive Collapse; U.S. Army Corps of Engineers: Washington, DC, USA, 2009.
- Yu, J.; Yin, C. Effect of damping on progressive collapse performance of structures. In Mechanics of Structures and Materials, Advancement and Challenges; CRC Press: Boca Raton, FL, USA, 2016; pp. 715–720. [Google Scholar]
- Kim, J.; Kim, T. Assessment of progressive collapse-resisting capacity of steel moment frames. J. Constr. Steel Res. 2009, 65, 169–179. [Google Scholar] [CrossRef]
- Thai, H.T.; Ho, Q.V.; Li, W.; Ngo, T. Progressive collapse and robustness of modular high-rise buildings. Struct. Infrastruct. Eng. 2021, 104, 643–656. [Google Scholar] [CrossRef]
- Rezvani, F.H.; Yousefi, A.M.; Ronagh, H.R. Effect of span length on progressive collapse behaviour of steel moment resisting frames. Structures 2015, 3, 81–89. [Google Scholar] [CrossRef]
- Russell, J.M.; Owen, J.S.; Hajirasouliha, I. Dynamic column loss analysis of reinforced concrete flat slabs. Eng. Struct. 2019, 198, 109453. [Google Scholar] [CrossRef]
- Kiakojouri, F.; Sheidaii, M.R. Effects of finite element modeling and analysis techniques on response of steel moment-resisting frame in dynamic column removal scenarios. Asian J. Civ. Eng. 2018, 19, 295–307. [Google Scholar] [CrossRef]
- Yu, J.; Yin, C.; Guo, Y. Nonlinear SDOF model for progressive collapse responses of structures with consideration of viscous damping. J. Eng. Mech. 2017, 143, 04017108. [Google Scholar] [CrossRef]

















| Details | Building A | Building B |
|---|---|---|
| Floor area per one accommodation (m2) | 18.7 | 18.7 |
| Modular size (m) | 4 × 12 × 3 | 4 × 12 × 3 |
| Column size (mm)/(Member Capacity (kN)) | SHS 150 × 150 × 8/(680) | SHS 150 × 150 × 8/(1050) |
| Floor beam size (mm)/(Member Capacity (kNm)) | SHS 120 × 80 × 5/(20.5) | SHS 150 × 100 × 5/(33.5) |
| Ceiling beam size (mm)/(Member Capacity (kNm)) | SHS 70 × 70 × 5/(8.5) | SHS 70 × 70 × 5/(8.5) |
| Bracing size (mm)/(Member capacity (kN)) | SHS 80 × 80 × 6.3/(140) | SHS 80 × 80 × 6.3/(140) |
| Floor | 20 mm thick cement board with floor purlins at 400 mm centre to centre | 20 mm thick cement board with floor purlins at 400 mm centre to centre |
| Ceiling | Gypsum board | Gypsum board |
| Inter module connection | Figures 4 and 5 [40] | Figures 4 and 5 [40] |
| Foundation | Shallow foundation | Shallow foundation |
| Building A (A) | Building B (B) | ||||||
|---|---|---|---|---|---|---|---|
| Corner Column Loss (CA) | Edge Column Loss (EA) | Interior Column Loss (IA) | Corner Column Loss (CB) | Edge Column Loss (EB) | Interior Column Loss (IB) | ||
| Reference (1.2G + 1.5Q) | RA | RA | RA | RB | RB | RB | |
| Static Analysis (S) | DAF = 1 | CS1A | ES1A | IS1A | CS1B | ES1B | IS1B |
| DAF = 1.25 | CS1.25A | ES1.25A | IS1.25A | CS1.25B | ES1.25B | IS1.25B | |
| DAF = 1.5 | CS1.5A | ES1.5A | IS1.5A | CS1.5B | ES1.5B | IS1.5B | |
| DAF = 2 | CS2A | ES2A | IS2A | CS2B | ES2B | IS2B | |
| Dynamic Analysis (D) | 0% | CD0A | ED0A | ID0A | - | - | - |
| 1% | CD1A | ED1A | ID1A | CD1B | ED1B | ID1B | |
| 2% | CD2A | ED2A | ID2A | - | - | - | |
| 5% | CD5A | ED5A | ID5A | - | - | - | |
| Column | RA | NLS | NLD | |||
|---|---|---|---|---|---|---|
| DAF = 1 | DAF = 1.25 | DAF = 1.5 | DAF = 2 | |||
| A1-1 | −3.05 | −7.51 (CS1A) | −9.4 (CS1.25A) | −11.27 (CS1.5A) | −15.03 (CS2A) | −7.75 (CD1A) |
| B1-1 | −3.07 | −4.2 (ES1A) | −5.25 (ES1.25A) | −6.3 (ES1.5A) | −8.4 (ES2A) | −4.28 (ED1A) |
| B3-1 | −2.14 | −3.31 (IS1A) | −4.14 (IS1.25A) | −4.97 (IS1.5A) | −6.62 (IS2A) | −3.33 (ID1A) |
| Axial Forces of Columns (kN) | Moments in Beams (kNm) | ||||||
|---|---|---|---|---|---|---|---|
| B1-1 | C1-1 | C1-2 | B1-2 | FB01 | FB02 | ||
| Dynamic Analysis (D) | CD1A | −523.38 | −556.87 | −457.76 | −447.72 | 6.89 | 6.38 |
| CD2A | −522.38 | −555.84 | −457.02 | −446.87 | 6.88 | 6.36 | |
| CD5A | −520.64 | −553.98 | −455.81 | −445.32 | 6.87 | 6.34 | |
Publisher’s Note: MDPI stays neutral with regard to jurisdictional claims in published maps and institutional affiliations. |
© 2022 by the authors. Licensee MDPI, Basel, Switzerland. This article is an open access article distributed under the terms and conditions of the Creative Commons Attribution (CC BY) license (https://creativecommons.org/licenses/by/4.0/).
Share and Cite
Munmulla, T.; Navaratnam, S.; Thamboo, J.; Ponnampalam, T.; Damruwan, H.-G.H.; Tsavdaridis, K.D.; Zhang, G. Analyses of Structural Robustness of Prefabricated Modular Buildings: A Case Study on Mid-Rise Building Configurations. Buildings 2022, 12, 1289. https://doi.org/10.3390/buildings12081289
Munmulla T, Navaratnam S, Thamboo J, Ponnampalam T, Damruwan H-GH, Tsavdaridis KD, Zhang G. Analyses of Structural Robustness of Prefabricated Modular Buildings: A Case Study on Mid-Rise Building Configurations. Buildings. 2022; 12(8):1289. https://doi.org/10.3390/buildings12081289
Chicago/Turabian StyleMunmulla, Thisari, Satheeskumar Navaratnam, Julian Thamboo, Thusiyanthan Ponnampalam, Hidallana-Gamage Hasitha Damruwan, Konstantinos Daniel Tsavdaridis, and Guomin Zhang. 2022. "Analyses of Structural Robustness of Prefabricated Modular Buildings: A Case Study on Mid-Rise Building Configurations" Buildings 12, no. 8: 1289. https://doi.org/10.3390/buildings12081289
APA StyleMunmulla, T., Navaratnam, S., Thamboo, J., Ponnampalam, T., Damruwan, H.-G. H., Tsavdaridis, K. D., & Zhang, G. (2022). Analyses of Structural Robustness of Prefabricated Modular Buildings: A Case Study on Mid-Rise Building Configurations. Buildings, 12(8), 1289. https://doi.org/10.3390/buildings12081289

